Sign in to use this feature.

Years

Between: -

Subjects

remove_circle_outline
remove_circle_outline
remove_circle_outline
remove_circle_outline
remove_circle_outline
remove_circle_outline
remove_circle_outline
remove_circle_outline
remove_circle_outline

Journals

remove_circle_outline
remove_circle_outline
remove_circle_outline
remove_circle_outline

Article Types

Countries / Regions

remove_circle_outline
remove_circle_outline
remove_circle_outline
remove_circle_outline

Search Results (296)

Search Parameters:
Keywords = bubble point

Order results
Result details
Results per page
Select all
Export citation of selected articles as:
28 pages, 12993 KB  
Article
The 12 November 2025 Ugly Duckling Geomagnetic Storm: From the Sun to the Earth
by Yury Yasyukevich, Ekaterina Danilchuk, Aleksandr Beletsky, Egor Borvenko, Aleksandr Chernyshov, Victor Fainshtein, Vera Ivanova, Denis Khabituev, Marina Kravtsova, Alexey Oinats, Sergey Olemskoy, Artem Padokhin, Konstantin Ratovsky, Valery Sdobnov, Artem Vesnin, Anna Yasyukevich and Sergey Yazev
Sensors 2026, 26(5), 1490; https://doi.org/10.3390/s26051490 - 27 Feb 2026
Abstract
The 12 November 2025 G4 geomagnetic storm—the third most intense of solar cycle 25—was triggered by a complex shock-ICME (interplanetary coronal mass ejection) structure as a result of three ICMEs and driven shocks that arrived on 11–12 November. The main enhancement in the [...] Read more.
The 12 November 2025 G4 geomagnetic storm—the third most intense of solar cycle 25—was triggered by a complex shock-ICME (interplanetary coronal mass ejection) structure as a result of three ICMEs and driven shocks that arrived on 11–12 November. The main enhancement in the interplanetary magnetic field occurred in the sheath region behind the shock driven by the second ICME. The Dst index reached −217 nT (the SYM-H index reached −254 nT) and the maximum Kp index was 9-. To comprehensively analyze the causes of the storm and its complex effects on near-Earth space, we used a multi-instrumental data set, involving data from satellite missions (ACE, SDO, PROBA2), GNSS networks, ionosondes, optical instruments, high-frequency radars (SuperDARN-like), and cosmic ray monitors. The auroral oval expanded equatorward (down to ~35° N in America). We recorded a super equatorial plasma bubble that almost reached the auroral oval boundary. The equatorial anomaly crests intensified, exceeding 175 TECU, and shifted poleward (8–10°). At mid-latitudes, the F2 layer critical frequency exhibited a strong negative disturbance (−50%) during the main phase, followed by an unusually prolonged and intense positive phase (+100%). GPS Precise Point Positioning errors increased to 2–3 m at high latitudes and in regions affected by the equatorial bubble. The event also featured a Forbush decrease and ground-level enhancement (GLE 77 according to the database hosted by the University of Oulu) associated with the X5.1 solar flare. The results underscore the complex chain of processes from solar storm to geomagnetic and ionospheric responses, highlighting the risks to satellite-based navigation and communication systems. Full article
(This article belongs to the Special Issue Advanced Sensing Technologies for Space Electromagnetic Environments)
Show Figures

Figure 1

13 pages, 1748 KB  
Article
The Onset of a Boiling Crisis as a Stochastic Three-Dimensional Off-Lattice Percolation Transition
by Oleg Penyazkov and Pavel Grinchuk
Fluids 2026, 11(3), 60; https://doi.org/10.3390/fluids11030060 - 25 Feb 2026
Viewed by 76
Abstract
Boiling crises are complex stochastic processes that are influenced by the physical phenomena of heat transfer and evaporation, as well as the shape and roughness of the boiling surface. When calculating the critical heat fluxes corresponding to the point of the first boiling [...] Read more.
Boiling crises are complex stochastic processes that are influenced by the physical phenomena of heat transfer and evaporation, as well as the shape and roughness of the boiling surface. When calculating the critical heat fluxes corresponding to the point of the first boiling crisis, it is important to know the numerical density of the formed bubbles per unit surface and volume. Most models consider only non-interacting bubbles. This greatly reduces their predictive accuracy. An analysis of the video footage of bubble boiling near the point of the first boiling crisis allows us to conclude that this is a typical picture for a continuum off-lattice problem of percolation theory. The main purpose of the work is to consider the point of the first boiling crisis as the percolation threshold for a three-dimensional problem. This threshold describes the transition from finite size inclusions (single bubbles and small groups of weakly interacting bubbles) to a percolation structure in which there is a macroscopic irregular bubble, the size of which is comparable to the size of the entire system. This hypothesis allows us to make estimates for the concentration of bubbles at the boiling point and to obtain estimates for critical heat fluxes at this point. The fundamental difference between the proposed approach and previous attempts to apply percolation theory to the description of boiling crises is the consideration of a three-dimensional problem in liquid volume, rather than a two-dimensional problem onto a hot boiling surface. It is shown, for the first time, that the proportionality constant in the Kutateladze–Zuber equation coincides with the percolation threshold for a three-dimensional continuum percolation problem on overlapping ellipsoids. Full article
(This article belongs to the Special Issue Stochastic Equations in Fluid Dynamics, 2nd Edition)
Show Figures

Figure 1

17 pages, 1028 KB  
Article
Evolution of Pristine Emulsions and Hypothesis Explaining Their Existence
by Andrei Dukhin, Renliang Xu and Darrell Velegol
Int. J. Mol. Sci. 2026, 27(4), 1837; https://doi.org/10.3390/ijms27041837 - 14 Feb 2026
Viewed by 123
Abstract
The term “pristine emulsion” is used for differentiating emulsions that consist of only water and oil with no surfactant from the Pickering emulsions, which are also surfactant-free but stabilized with colloidal particles. We review 22 papers dedicated to such emulsions prepared from a [...] Read more.
The term “pristine emulsion” is used for differentiating emulsions that consist of only water and oil with no surfactant from the Pickering emulsions, which are also surfactant-free but stabilized with colloidal particles. We review 22 papers dedicated to such emulsions prepared from a wide variety of liquids. We studied here the evolution of one such emulsion, hexadecane-in-water at 4% vl, over a long period of time, from days to weeks. We discovered that the droplet size grows with time, with a rate that depends on mixing conditions, which supports a coalescence hypothesis. However, this coalescence is unusual because the size reaches a certain constant value, which contradicts typical coalescence behavior. To explain this peculiarity and such emulsification in general, we employ a theoretical model that was developed for explaining pristine nano-bubble stability. We hypothesize the existence of a layer of structured water molecules at the interface, following Eastoe and Ellis (Adv in Colloid and Interface Sci., 134–135, 89–95, 2007) and others. We point out that the Electric Double Layer exerts a force on the water dipole moments in this layer (dielectrostatic force) that compensates Kelvin’s pressure. The droplet size calculated using this model is close to the measured size. The second factor associated with this layer is the repulsion of the water dipole moments, which we show can compensate for the surface tension tangential to the interface. After ruling out alternative hypotheses with our data, we conclude that the model suggested for explaining the stability of nano-bubbles is also consistent with our results for these “pristine emulsions”. Full article
(This article belongs to the Special Issue Current Research on Colloidal Emulsions: Preparation and Applications)
Show Figures

Figure 1

30 pages, 15335 KB  
Article
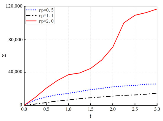
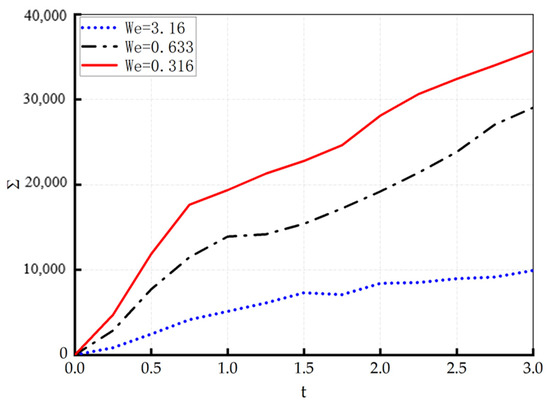
Effect of Density Ratio and Surface Tension on Vortex–Interface Interactions: A Numerical Study
by Xiaobin Yang, Yiding Hu, Zhihan Li, Chenghan Wu, Ping Wei, Weige Liang and Shiyan Sun
J. Mar. Sci. Eng. 2026, 14(4), 326; https://doi.org/10.3390/jmse14040326 - 7 Feb 2026
Viewed by 224
Abstract
In two-phase flow, the interaction between multi-scale vortex structures and interfaces (bubbles or free surfaces) triggers a range of complex physical phenomena. This study employs numerical simulations to investigate the interaction between a horizontal vortex and the interface separating two layers of immiscible [...] Read more.
In two-phase flow, the interaction between multi-scale vortex structures and interfaces (bubbles or free surfaces) triggers a range of complex physical phenomena. This study employs numerical simulations to investigate the interaction between a horizontal vortex and the interface separating two layers of immiscible fluids with different densities (e.g., water and air). The vortex is initialized as an internal motion within the heavier phase. We focus specifically on the impact of the phase density ratio and surface tension. Numerical simulations reveal that when the density ratio is near unity, interface rupture occurs only at high Weber numbers (We), where low surface tension enables the rupture of sharp interface points. Conversely, at high surface tension (low We), these sharp points stretch into thin liquid films, significantly increasing the surface area without causing breakage. As the density ratio increases, interface rupture at sharp points accelerates, even under high surface tension, leading to faster dissipation of the initial vortex. In high-We scenarios, an increased density ratio promotes the faster formation and greater intensity of new vortex layers at the interface. However, increasing surface tension enhances the vorticity of these layers but simultaneously slows their generation rate. The findings highlight the critical interplay between surface tension and density differences in vortex–interface interactions, with surface tension stabilizing the interface and density differences driving more intense vortex shedding and deformation. These insights offer valuable guidance for understanding two-phase flow behavior and improving the design of systems involving multiphase fluids. Full article
(This article belongs to the Section Physical Oceanography)
Show Figures

Figure 1

14 pages, 1411 KB  
Article
Pilot-Scale Evaluation of Flat-Sheet Membrane Bioreactor for In Situ Retrofitting Textile Dyeing Wastewater Treatment Plant
by Chaoqun Zhou, Chunhai Wei, Huarong Yu, Hongwei Rong and Kang Xiao
Membranes 2026, 16(2), 59; https://doi.org/10.3390/membranes16020059 - 2 Feb 2026
Viewed by 388
Abstract
It is promising to in situ retrofit the activated sludge process with a membrane bioreactor (MBR) to increase treatment capacity and improve effluent quality in a textile dyeing wastewater treatment plant (WWTP). Membrane selection among commercial products for real engineering applications is critical [...] Read more.
It is promising to in situ retrofit the activated sludge process with a membrane bioreactor (MBR) to increase treatment capacity and improve effluent quality in a textile dyeing wastewater treatment plant (WWTP). Membrane selection among commercial products for real engineering applications is critical for this specific wastewater, and little information is available in the literature. This study systematically evaluated the application potential of two flat-sheet microfiltration membranes made of polyvinylidene fluoride (PVDF) and polyether sulfone (PES) in pilot-scale MBRs for in situ retrofitting textile dyeing WWTP. During the four stages with different loads, both membranes achieved nearly the same effluent quality and rejection performance. Both membranes showed little trans-membrane pressure (TMP) increase at an average flux of 15 L/(m2·h) with sub-critical flux characteristics, and showed a sharp TMP increase with super-critical flux characteristics observed at an average flux of 18/22.5 L/(m2·h). After 74 d of filtration, at an average sludge concentration of 12,000 g/L, the PVDF membrane showed less variation in pore size distribution and bubble point pressure, while the PES membrane showed less change in permeability and contact angle. Both membranes met general MBR requirements due to the minimizing pristine effects of both membranes by this specific wastewater matrix. The PVDF membrane showed better anti-fouling capability, especially during high-/over-load stages, and thus was suggested for MBR retrofit, with a sustainable membrane flux below 18 L/(m2·h). Full article
(This article belongs to the Collection Feature Papers in 'Membrane Physics and Theory')
Show Figures

Figure 1

17 pages, 4990 KB  
Article
Oscillation Modes of Transonic Buffet on a Laminar Airfoil
by Pavel Polivanov and Andrey Sidorenko
Aerospace 2026, 13(2), 120; https://doi.org/10.3390/aerospace13020120 - 26 Jan 2026
Viewed by 292
Abstract
This paper presents an experimental investigation of unsteady phenomena in shock wave/boundary-layer interaction on natural laminar flow airfoils at transonic speeds. Two airfoils of different relative thickness were studied over a Mach number range of M = 0.62–0.72 using high-speed schlieren visualization, unsteady [...] Read more.
This paper presents an experimental investigation of unsteady phenomena in shock wave/boundary-layer interaction on natural laminar flow airfoils at transonic speeds. Two airfoils of different relative thickness were studied over a Mach number range of M = 0.62–0.72 using high-speed schlieren visualization, unsteady pressure transducers, and Particle Image Velocimetry (PIV). Two distinct self-sustained periodical oscillation modes were identified. The first mode is a low-frequency oscillation analogous to classical turbulent buffet. The second modes are higher-frequency phenomena linked to oscillations of the laminar separation bubble. A key finding is a novel periodical oscillation regime, which accompanies the first/second mode, and represents laminar-turbulent transition point detaches from the normal shock wave, generating a new shock wave. The results show that the domiN/At mode and its characteristics depend strongly on the airfoil geometry, Mach number, and angle of attack, indicating a more complex transonic buffet behaviour in the presence of extensive laminar flow. Full article
(This article belongs to the Section Aeronautics)
Show Figures

Figure 1

11 pages, 1701 KB  
Article
Morphological Analysis and Short-Term Evolution in Pulmonary Infarction Ultrasound Imaging: A Pilot Study
by Chiara Cappiello, Elisabetta Casto, Alessandro Celi, Camilla Tinelli, Francesco Pistelli, Laura Carrozzi and Roberta Pancani
Diagnostics 2026, 16(3), 383; https://doi.org/10.3390/diagnostics16030383 - 24 Jan 2026
Viewed by 316
Abstract
Background: Pulmonary infarction (PI) is the result of the occlusion of distal pulmonary arteries resulting in damage to downstream lung areas that become ischemic, hemorrhagic, or necrotic, and it is often a complication of an underlying condition such as pulmonary embolism (PE). Since [...] Read more.
Background: Pulmonary infarction (PI) is the result of the occlusion of distal pulmonary arteries resulting in damage to downstream lung areas that become ischemic, hemorrhagic, or necrotic, and it is often a complication of an underlying condition such as pulmonary embolism (PE). Since in most of cases it is located peripherally, lung ultrasound (LUS) can be a good evaluation tool. The typical radiological features of PI are well-known; however, there are limited data on its sonographic characteristics and its evolution. Methods: The aim of this study is to evaluate, using LUS, a convenience sample of patients with acute PE with computed tomography (CT) consolidation findings consistent with PI. Patients’ clinical characteristics were collected and LUS findings at baseline and their short-term progression was assessed. LUS was performed within 72 h of PE diagnosis (T0) and repeated after one (T1) and four weeks (T2). Each procedure started with a focused examination of the areas of lesions based on CT findings, followed by an exploration of the other posterior and lateral lung fields. The convex probe was used for initial evaluation integrating LUS evaluation with the linear one was employed for smaller and more superficial lesions and when appropriate. Color Doppler mode was added to study vascularization. Results: From June to October 2023, 14 consecutive patients were enrolled at the Respiratory Unit of the University Hospital of Pisa. The main population characteristics included the absence of respiratory failure and prognostic high-risk PE (100%), the absence of significant comorbidities (79%), and the presence of typical symptoms, such as chest pain (57%) and dyspnea (50%). The average number of consolidations per patient was 1.4 ± 0.6. Follow-up LUS showed the disappearance of some consolidations and some morphological changes in the remaining lesions: the presence of hypoechoic consolidation with a central hyperechoic area (“bubbly consolidation”) was more typical at T1 while the presence of a small pleural effusion often persisted both at T1 and T2. A decrease in wedge/triangular-shaped consolidations was observed (82% at T0, 67% at T1, 24% at T2), as was an increase in elongated shapes, representing a residual pleural thickening over time (9% at T0, 13% at T1, 44% at T2). A reduction in size was also observed by comparing the mean diameter, long axis, and short axis measurements of each consolidation at the three different studied time points: the average of the short axes and the median of the mean diameters showed a statistically significant reduction after four weeks. Additionally, a correlation between lesion size and pleuritic pain was described, although it did not achieve statistical significance. Conclusions: Patients’ clinical characteristics and ultrasound features are consistent with previous studies studying PI at PE diagnosis. Most consolidations detected by LUS change over time regarding size and form, but a minority of them do not differ. LUS is a safe and non-invasive exam that could help to improve patients’ clinical approach in emergency rooms as well as medical and pulmonology settings, clinically contextualized for cases of chest pain and dyspnea. Future studies could expand the morphological study of PI. Full article
Show Figures

Figure 1

10 pages, 1009 KB  
Article
Impact of Stromal Deposit Depth on Pneumatic Dissection During DALK for TGFBI Corneal Dystrophies
by Luca Lucchino, Giacomo Visioli, Giulio Pocobelli, Fabio Scarinci, Rossella Anna Maria Colabelli Gisoldi, Chiara Komaiha, Giacinta Buffon, Marco Marenco, Alessandro Lambiase and Augusto Pocobelli
J. Clin. Med. 2026, 15(3), 917; https://doi.org/10.3390/jcm15030917 - 23 Jan 2026
Viewed by 196
Abstract
Objectives: To evaluate whether preoperative anterior segment optical coherence tomography (AS-OCT) parameters differ according to Big Bubble (BB) formation during deep anterior lamellar keratoplasty (DALK) in patients with TGFBI-related corneal stromal dystrophies (CSD). Methods: This retrospective cohort study included 17 eyes [...] Read more.
Objectives: To evaluate whether preoperative anterior segment optical coherence tomography (AS-OCT) parameters differ according to Big Bubble (BB) formation during deep anterior lamellar keratoplasty (DALK) in patients with TGFBI-related corneal stromal dystrophies (CSD). Methods: This retrospective cohort study included 17 eyes from 12 patients undergoing DALK with an attempted BB technique. Stromal deposit depth was assessed by AS-OCT using both a categorical depth-based classification (anterior, mid-, and posterior stroma) and continuous measurements of stromal involvement (µm). The ratio between stromal involvement and the thinnest corneal point was calculated. Intraoperative data included BB success, BB type, and complications. Inter-eye correlation was accounted for in comparisons of continuous variables using linear mixed-effects models. Results: BB formation was achieved in 11 of 17 eyes (64.7%), with type 1 BB observed in all successful cases. BB success was observed in all eyes with anterior or mid-stromal involvement and in 33.3% of eyes with posterior stromal involvement. Greater stromal deposit depth and a higher stromal-depth-to-thinnest-point ratio were observed in eyes in which BB formation failed (p < 0.01). No intraoperative perforations or conversions to penetrating keratoplasty occurred. Inter-observer agreement for AS-OCT measurements was high. Conclusions: BB failure was more frequent in eyes with greater absolute and relative stromal deposit depth, as assessed by preoperative AS-OCT during DALK in TGFBI-related CSD. These AS-OCT-derived parameters may support surgical planning and improve patient selection for BB DALK in this clinical setting. Full article
(This article belongs to the Special Issue Prevention, Diagnosis, and Clinical Treatment of Corneal Diseases)
Show Figures

Figure 1

26 pages, 5898 KB  
Article
Research on Disturbance Factors of Transformer Insulation Using Submersible Internal Inspection Robot
by Wenbin Zhao, Shiyuan Wang and Lei Su
Energies 2026, 19(3), 581; https://doi.org/10.3390/en19030581 - 23 Jan 2026
Viewed by 153
Abstract
Large oil-immersed power transformers are core equipment in power grids, and the use of robots for internal inspection can significantly enhance efficiency. However, existing research has primarily focused on the development of robotic bodies, neglecting the potential impact of their operation on the [...] Read more.
Large oil-immersed power transformers are core equipment in power grids, and the use of robots for internal inspection can significantly enhance efficiency. However, existing research has primarily focused on the development of robotic bodies, neglecting the potential impact of their operation on the transformer’s oil–paper insulation system. This paper addresses this issue, evaluates the risk of underwater inspection robots colliding with internal structures, and finds that the maximum elongation rate of insulation paperboard at a speed of 0.1 m/s is far below the damage limit. Simultaneously, it analyzes the process by which propellers induce bubbles in oil, pointing out the need to optimize propeller design to ensure insulation safety. The study also extends the classical cavitation theory in water to the oil medium, reveals the conditions for gas generation by the propeller and the variation in the patterns of gas components (such as C2H2, H2, etc.) through experiments, and discusses the gas source issue of cavitation in oil. Full article
Show Figures

Figure 1

24 pages, 3852 KB  
Review
Ions at Helium Interfaces: A Review
by Paul Leiderer
Entropy 2026, 28(1), 109; https://doi.org/10.3390/e28010109 - 16 Jan 2026
Viewed by 248
Abstract
Ions in liquid helium exist in their simplest form in two configurations, as negatively charged “electron bubbles” (electrons in a void of about 35 Å in diameter) and as positive “snowballs” (He+ ions surrounded by a sphere of solid helium, about 14 [...] Read more.
Ions in liquid helium exist in their simplest form in two configurations, as negatively charged “electron bubbles” (electrons in a void of about 35 Å in diameter) and as positive “snowballs” (He+ ions surrounded by a sphere of solid helium, about 14 Å in diameter). Here, we give an overview of studies with these ions when they are trapped at interfaces between different helium phases, i.e., the “free” surface between liquid and vapor, but also the interfaces between liquid and solid helium at high pressure and between phase-separated 3He-4He mixtures below the tricritical point. Three cases are discussed: (i) if the energy barrier provided by the interface is of the order of the thermal energy kBT, the ions can pass from one phase to the other with characteristic trapping times at the interface, which are in qualitative agreement with the existing theories; (ii) if the energy barrier is sufficiently high, the ions are trapped at the interface for extended periods of time, forming 2D Coulomb systems with intriguing properties; and (iii) at high electric fields and high ion densities, an electrohydrodynamic instability takes place, which is a model for critical phenomena. Full article
Show Figures

Figure 1

45 pages, 10369 KB  
Article
Evaluation and Prediction of Stock Market Crash Risk in Mexico Using Log-Periodic Power-Law Modeling
by Suryansh Sunil, Amit Kumar Goyal, Rajesh Mahadeva and Varun Sarda
Risks 2026, 14(1), 3; https://doi.org/10.3390/risks14010003 - 1 Jan 2026
Viewed by 892
Abstract
This study applies the Log-Periodic Power-Law (LPPL) framework to three major equity markets—Mexico (IPC), Brazil (IBOVESPA), and the United States (NYSE Composite)—using daily closes from 8 November 1991–30 January 2025 for IPC and NYSE, and 3 May 1993–30 January 2025 for IBOVESPA. Multi-window [...] Read more.
This study applies the Log-Periodic Power-Law (LPPL) framework to three major equity markets—Mexico (IPC), Brazil (IBOVESPA), and the United States (NYSE Composite)—using daily closes from 8 November 1991–30 January 2025 for IPC and NYSE, and 3 May 1993–30 January 2025 for IBOVESPA. Multi-window calibrations (Lϵ 180, 240, 300, 360, 420) are estimated in raw and log space to evaluate bubble signatures and the stability of the critical time tc. Across all indices, log-space fits consistently outperform raw fits in terms of RMSE and R2, and longer windows reduce parameter variability, yielding coherent clusters of tc. Under full-sample conditions, the LPPL structure points to March–April 2025 for NYSE, mid-October 2025 for IBOVESPA, and October–December 2025 for IPC, while shorter windows pull tc forward. A rolling early-warning ensemble translates these estimates into lead-based risk bands, with numerical reporting used when median leads fall just outside the 60-trading-day decision horizon. The early-2025 weakening in the U.S. market is consistent with the NYSE cluster, whereas Brazil and Mexico remain within their projected windows as of September 2025. The analysis highlights the strengths of LPPL—behavioral interpretability and hazard-based framing—while noting limitations such as window sensitivity and parameter sloppiness, reinforcing the need for conservative communication and the use of longer-window weighting in practical applications. Full article
(This article belongs to the Special Issue Stochastic Modelling in Financial Mathematics, 2nd Edition)
Show Figures

Figure 1

37 pages, 13984 KB  
Article
Reliability Assessment of Multi-Source TEC Maps over Brazil Using Ground Truth Validation
by Marco A. de U. Cintra, Stephan Stephany, Lamartine N. F. Guimarães, Eurico R. de Paula, André R. F. Martinon, Patrícia M. de S. Negreti, Alison de O. Moraes and Jonas R. de Souza
Atmosphere 2026, 17(1), 36; https://doi.org/10.3390/atmos17010036 - 26 Dec 2025
Viewed by 391
Abstract
Total Electron Content (TEC) maps allow the evaluation of the state of the ionosphere. There are many providers/sources of worldwide or regional TEC maps for the continuous monitoring of the ionosphere, which employ different GNSS monitoring networks for data acquisition, TEC calculation or [...] Read more.
Total Electron Content (TEC) maps allow the evaluation of the state of the ionosphere. There are many providers/sources of worldwide or regional TEC maps for the continuous monitoring of the ionosphere, which employ different GNSS monitoring networks for data acquisition, TEC calculation or interpolation methods for generating the maps, or different spatial and temporal resolutions and coverage. How reliable are TEC maps over Brazil? We employed TEC maps from four different providers for 2022–2024, in the growing phase of the current solar cycle 25. Seasonality is also taken into account. A systematic comparison of TEC maps over Brazil was performed using correlation and similarity analysis between maps of different sources. Significant differences were found. Even for the same source there are differences in the density of monitoring stations according to the region. An example of bubble signature in TEC maps is also analyzed. Ground truth validation of TEC is performed by comparing TEC point values extracted from the maps with values derived from a set of GNSS stations over Brazil. As a result, no TEC maps of these sources were deemed reliable, due to low spatial and/or temporal resolution, low monitoring station density, or inadequate interpolation scheme. Full article
(This article belongs to the Special Issue Ionospheric Disturbances and Space Weather)
Show Figures

Figure 1

22 pages, 3843 KB  
Article
Numerical Simulation Study on the Mechanism of Pore Volume Expansion and Permeability Enhancement by High-Pressure Water Injection in Low Permeability Reservoirs
by Yugong Wang, Yang Xu, Yong Li, Ping Chen, Hongjiang Zou, Jianan Li, Yuwei Sun, Jianyu Li, Hualei Xu and Jie Wang
Processes 2026, 14(1), 48; https://doi.org/10.3390/pr14010048 - 22 Dec 2025
Viewed by 318
Abstract
High-pressure water injection (HPWI) refers to injecting water into the formation under conditions where the injection pressure is higher than or close to the formation fracture pressure. This technique can effectively improve the water absorption capacity of low-permeability reservoirs and maintain the formation [...] Read more.
High-pressure water injection (HPWI) refers to injecting water into the formation under conditions where the injection pressure is higher than or close to the formation fracture pressure. This technique can effectively improve the water absorption capacity of low-permeability reservoirs and maintain the formation pressure above the bubble point. It is a key technology for solving the problem of “difficult injection and difficult recovery” in low-permeability reservoirs, thereby achieving increased injection and enhanced production. However, due to the lack of a unified understanding of the mechanisms of dynamic micro-fractures and the mechanism of pore volume expansion and permeability enhancement during HPWI, the technology has not been widely promoted and applied. Based on an in-depth analysis of the mechanism of high-pressure water injection and by building a geological model for an actual oilfield development block, the “compaction–expansion” theory of rocks is used to characterize the variation in reservoir properties with pore pressure. This model is used to simulate the reservoir’s pore volume expansion and permeability enhancement effects during high-pressure water injection. The research results show the following: (1) HPWI can increase the effective distance of injected water by changing the permeability of the affected area. (2) During HPWI, the effective areas in the reservoir are divided into three regions: the enhanced-permeability zone (EPZ), the swept zone without permeability enhancement, and the unswept zone. Moreover, the EPZ expands significantly with higher injection pressure, rate, and volume. However, the degree of reservoir heterogeneity will significantly affect the effect of HPWI. (3) Simulation of two production modes—“HPWI–well soaking–oil production” and “simultaneous HPWI and oil production”—shows that under the first production mode, the degree of uniformity of the production wells’ response is higher. However, in the production wells in the EPZ, after a certain stage, an overall water flooding phenomenon occurs. In the second mode, the production wells in the water channeling direction show an alternating and rapid water-flooding phenomenon, while the production wells in the non-water channeling areas are hardly affected. Meanwhile, for local production wells with poor effectiveness of high-pressure water injection, hydraulic fracturing can be used as a pilot or remedial measure to achieve pressure-induced effectiveness and improve the sweep efficiency of the injected water. The results of this study explain the mechanisms of volume expansion and permeability enhancement during high-pressure water injection, providing guiding significance for the on-site application and promotion of high-pressure water injection technology in low-permeability reservoirs. Full article
(This article belongs to the Special Issue Hydraulic Fracturing Experiment, Simulation, and Optimization)
Show Figures

Figure 1

17 pages, 4789 KB  
Article
Flash-Boiling Effect on Water–Methanol Blends Sprays Generated Under Low Injection Pressure
by Łukasz Boruc and Łukasz Jan Kapusta
Appl. Sci. 2026, 16(1), 106; https://doi.org/10.3390/app16010106 - 22 Dec 2025
Viewed by 355
Abstract
This study presents experimental research on the injection of water–methanol mixtures under both subcooled and superheated conditions. Injecting superheated liquid results in the formation of flash-boiling sprays, generating smaller droplets compared to non-superheated conditions. This improved atomisation leads to a decrease in spray [...] Read more.
This study presents experimental research on the injection of water–methanol mixtures under both subcooled and superheated conditions. Injecting superheated liquid results in the formation of flash-boiling sprays, generating smaller droplets compared to non-superheated conditions. This improved atomisation leads to a decrease in spray penetration and evaporation time. The mixture of water and methanol is a non-azeotropic mixture, meaning it exhibits different bubble and dew points. Non-azeotropic mixtures are the most common type of mixture. This study investigates the atomisation characteristics of water–methanol mixtures injected under low pressure (0.5 MPa) into a quiescent ambience. The experiments were conducted in an open environment at 1-atm absolute pressure and 22 °C temperature. Five different compositions were tested, including pure water, pure methanol (99.9%), and mixtures with water–methanol volume ratios of 75/25, 50/50, and 25/75. Using laser shadowgraphy with long-distance microscopy, droplet size distributions were measured at four distinct locations. Under high superheat conditions, the droplet distribution was similar for all mixtures. The Sauter mean diameter (SMD) rapidly decreased for all liquids when subjected to superheated injection. This led to the conclusion that the composition of non-azeotropic substances has little significance in terms of droplet diameter at high superheat. Full article
(This article belongs to the Section Fluid Science and Technology)
Show Figures

Figure 1

45 pages, 5180 KB  
Review
Structural Defects and Processing Limitations for Polymer Film Blowing Applications: A Comprehensive Review of Conventional and Emerging Sustainable Technologies
by Ilke Pelgrims, Annabelle Verberckmoes, Ignatii Efimov, Paul H. M. Van Steenberge, Dagmar R. D’hooge and Mariya Edeleva
Polymers 2025, 17(24), 3314; https://doi.org/10.3390/polym17243314 - 15 Dec 2025
Viewed by 1446
Abstract
This review provides an in-depth look at the key process limitations and (structural) defects encountered in the production of polymer films via film blowing extrusion technology. Film blowing is the most widely used method for producing plastic films across various industries, with its [...] Read more.
This review provides an in-depth look at the key process limitations and (structural) defects encountered in the production of polymer films via film blowing extrusion technology. Film blowing is the most widely used method for producing plastic films across various industries, with its increasing demand driven by flexible packaging needs. Overcoming the challenges of this complex production process is essential for ensuring high quality and meeting the growing demand for modern applications, taking into account polymer circularity. In the first part of this paper, the focus is on conventional films, generally polyolefin single-layer films. Common defects such as bubble instability, gauge variations, wrinkles, melt fractures, optical defects, blocking, and surface imperfections like fish eyes are discussed. The most important causes behind these issues are elaborated on, including various molecular and processing parameters, with this paper also offering practical mitigating strategies. In the second part, the specific process limitations and defect types associated with emerging sustainable film technology are focused on, covering films made from recycled materials, biodegradable polymers, polymer blends, and multilayer and machine-direction oriented (MDO) films. While these innovative films offer significant advantages in terms of sustainability and property enhancement, they also present additional points of attention. Also, effective mitigation strategies for addressing these technical issues are incorporated. Overall, this study provides a comprehensive review of film blowing defects, contributing to improved process control, reduced waste, and the production of high-quality films that meet modern requirements. By identifying the root causes of common defects and discussing viable solutions, this review plays a key role in advancing the efficiency, consistency, and sustainability of film blowing technology by presenting a combined experimental and modelling approach that can be used in future work. Full article
(This article belongs to the Section Polymer Processing and Engineering)
Show Figures

Figure 1

Back to TopTop