Next Article in Journal
VLEO Satellite Development and Remote Sensing: A Multidomain Review of Engineering, Commercial, and Regulatory Solutions
Previous Article in Journal
BPANS: A Turbulence Model That Spans the Speed Range from Subsonic to Supersonic Flows
 
 
Due to scheduled maintenance work on our servers, there may be short service disruptions on this website between 11:00 and 12:00 CEST on March 28th.
Font Type:
Arial Georgia Verdana
Font Size:
Aa Aa Aa
Line Spacing:
Column Width:
Background:
Article

Oscillation Modes of Transonic Buffet on a Laminar Airfoil

Khristianovich Institute of Theoretical and Applied Mechanics SB RAS, Institutskaya, 4/1, Novosibirsk 630090, Russia
*
Author to whom correspondence should be addressed.
Aerospace 2026, 13(2), 120; https://doi.org/10.3390/aerospace13020120
Submission received: 1 December 2025 / Revised: 31 December 2025 / Accepted: 20 January 2026 / Published: 26 January 2026
(This article belongs to the Section Aeronautics)

Abstract

This paper presents an experimental investigation of unsteady phenomena in shock wave/boundary-layer interaction on natural laminar flow airfoils at transonic speeds. Two airfoils of different relative thickness were studied over a Mach number range of M = 0.62–0.72 using high-speed schlieren visualization, unsteady pressure transducers, and Particle Image Velocimetry (PIV). Two distinct self-sustained periodical oscillation modes were identified. The first mode is a low-frequency oscillation analogous to classical turbulent buffet. The second modes are higher-frequency phenomena linked to oscillations of the laminar separation bubble. A key finding is a novel periodical oscillation regime, which accompanies the first/second mode, and represents laminar-turbulent transition point detaches from the normal shock wave, generating a new shock wave. The results show that the domiN/At mode and its characteristics depend strongly on the airfoil geometry, Mach number, and angle of attack, indicating a more complex transonic buffet behaviour in the presence of extensive laminar flow.

1. Introduction

The problem of transonic buffet has attracted significant attention due to both its practical importance for aviation and the insufficient level of understanding of its underlying physical mechanisms. Transonic buffet manifests as a quasi-periodic motion of the shock wave that terminates the supersonic region, which typically develops on the upper surface of an airfoil. This phenomenon is a source of substantial unsteady loads on aircraft structures [1,2,3]. Comprehensive reviews of the current state of research on buffet can be found in [4,5].
A large number of studies, primarily experimental, have been dedicated to this phenomenon, conducted in wind tunnels using models of both straight and swept wings. Given its practical implications, the main focus has been on wing buffet where the boundary layer is fully turbulent. A key outcome of these investigations has been the development of empirical criteria for the onset of the transonic buffet regime, which has partially addressed flight safety concerns [6].
Nevertheless, despite the extensive body of experimental data, a consensus regarding the root causes and the precise mechanism of this phenomenon is still lacking. Currently, two primary approaches exist to explain the mechanism of self-sustained shock wave oscillations on a wing airfoil at transonic speeds.
The first approach explains the self-sustained shock wave oscillations on an airfoil in transonic flow through the existence of a feedback loop [5,7,8]. Under certain conditions, a sufficiently strong interaction between the shock wave and the boundary layer induces flow separation. Due to the unsteady nature of this separation, large-scale turbulent structures are generated in the interaction zone. These structures are then convected downstream towards the airfoil’s trailing edge. Their interaction with the developing wake generates acoustic disturbances, known as upstream traveling waves (UTW), which propagate upstream. Upon reaching the shock wave, these disturbances force its displacement, thereby closing the feedback loop and establishing cyclic flow oscillations around the wing. Studies [4,5] provide analytical estimates of the characteristic frequency; however, their application requires detailed flow-field data in the vicinity of the airfoil, which are typically unavailable in experiments. Nevertheless, available statistical data suggest that the characteristic Strouhal number is approximately S h     0.06 0.07 .
The existence of this mechanism has been confirmed through both experiments [8,9,10,11,12,13,14] and numerical simulations [15,16,17]. It has been demonstrated that UTWs behave as acoustic waves propagating upstream at a velocity on the order of a     U   (i.e., close to the speed of sound relative to the freestream). UTWs are weakly inclined waves, clearly observable along their entire path from the trailing edge to the shock wave region. Their wavelength is a fraction of the airfoil chord (typically between 0.2 c and 0.5 c, depending on the flow regime), which is consistent with the observed buffet frequency and the acoustic phase speed. Furthermore, studies have shown that accurate prediction of the loop frequency requires accounting for UTW propagation along both the upper and lower surfaces of the airfoil.
The approach proposed by Crouch et al. [18,19] links buffet to a global flow instability, interpreting it as a global mode of the steady RANS solution that becomes unstable at high Reynolds numbers. By linearizing the URANS equations around a stationary base flow and computing the spectrum of the Jacobian operator, a pair of complex-conjugate eigenmodes is identified. At the onset of the buffet boundary, the real part of the leading eigenvalue for this mode crosses zero, and in the unstable regime, a distinct frequency and spatial structure of the oscillations emerge. On 2D airfoils, this mode is localized within the shock wave-boundary layer interaction zone and the separation bubble.
This theory provides a quantitatively accurate criterion for the onset of self-sustained oscillations in terms of Mach number and angle of attack. A key aspect of this approach is that the frequency parameters and mode shapes of the buffet are obtained without requiring an explicit acoustic feedback loop. This is because the feedback mechanism is inherently embedded within the global linear operator; both acoustic and convective mechanisms, as well as the shock-separation interaction, are automatically captured in the linear spectrum. This methodology can be readily extended to the case of three-dimensional buffet [20].
The preceding brief review demonstrates that 2D turbulent buffet is now relatively well-understood. However, the flow physics become significantly more complex when a substantial laminar region is present in the boundary layer [21]. The utilization of natural laminar flow (NLF) airfoils offers the potential for a substantial reduction in overall aircraft drag. A primary concern, however, is that a laminar boundary layer’s heightened sensitivity to adverse pressure gradients may lead to a laminar buffet phenomenon of greater intensity than its turbulent counterpart. Despite this concern, the characteristics and regimes of transonic buffet for flows with extensive laminar boundary layers have not been thoroughly investigated [22].
To date, these concerns regarding the severity of laminar buffet have been partially alleviated. Experimental studies [23,24] have revealed significant differences in the frequency and amplitude of transonic buffet between turbulent and laminar cases. Under turbulent conditions, large-scale shock oscillations were observed over a significant portion of the wing model. In contrast, for the laminar case, oscillations were confined to the vicinity of the laminar separation bubble, and the pulsation frequency increased by an order of magnitude compared to the turbulent scenario [23,24]. Similar unsteady behavior for a laminar airfoil was demonstrated in the experimental work of [25].
However, this emerging consensus is not uN/Aimous. Certain investigations, such as [22], have reported no significant difference in shock oscillation behavior between laminar and turbulent transonic buffet.
This problem has been addressed more extensively in numerical studies. For instance, an attempt was made in [26] to identify the mechanism of “laminar transonic buffet” and contrast it with “classical” turbulent buffet. Using Large Eddy Simulation (LES) for a laminar flow regime, the study confirmed the existence of shock wave oscillations with an amplitude of 0.06 c and a Strouhal number of S h 1.2 —a frequency nearly an order of magnitude higher than that expected for classical turbulent buffet. Notably, no low-frequency oscillations were observed.
The authors proposed a mechanism for laminar transonic buffet that is not related to a global instability mode of the Crouch type. Instead, they attributed it to a high-frequency “breathing” of the laminar separation bubble, which is intrinsically coupled with the shock wave-boundary layer interaction (SWBLI) mechanism [27,28].
Subsequently, for a different airfoil, low-frequency laminar buffet regimes were successfully captured using DNS in studies [29,30]. A modal analysis conducted in this work revealed the presence of a low-frequency mode involving oscillations of the shock wave and the separation zone. This mode was linked to the global instability mode previously identified in [18]. Furthermore, it was demonstrated that the self-sustained motion of the separation bubble is not the cause of laminar buffet. In subsequent research by the same group [31], which employed implicit LES, a parametric study of laminar buffet was conducted. It concluded that laminar buffet is indeed a result of the established global instability mechanism.
In later investigations [31,32] focusing on the V2C laminar airfoil, two distinct modes were identified: (1) a low-frequency buffet mode, and (2) a high-frequency “wake mode” associated with the breathing of the separation bubble, which does not induce significant shock wave motion. A similar result was obtained for the OALT25 airfoil [33], where, in addition to the two aforementioned modes, an intermediate-frequency separation-bubble mode was discovered. These studies also found that laminar buffet exhibits a classical Mach number dependence characteristic of turbulent buffet. Moreover, it was shown that the bubble mode has a Strouhal number linked to the bubble length and the reverse flow velocity, making it more sensitive to the Reynolds number than to the Mach number. The breathing process itself is highly non-trivial due to a complex phase dependence between flow separation and reattachment. In summary, a consensus is emerging from these studies that several competing oscillation modes can coexist in the laminar regime. Consequently, the results of [23] should be interpreted not as evidence of a fundamentally distinct “laminar buffet” phenomenon, but rather as the manifestation of a specific bubble mode within the broader buffet dynamics.
An interesting effect was found in [34], which investigated the influence of perturbations generated by an electric discharge located near the leading edge on the transonic buffet realized on NLF airfoils. It was shown that, at least up to Sh = 1, the frequency of the transonic buffet becomes equal to the frequency of the introduced perturbations. The data obtained indicate a significant influence of the perturbations impinging on the leading edge on the transonic buffet realized at NLF airfoils.
In summary, numerical studies have significantly advanced our understanding of the origin of different laminar buffet modes. However, the limited set of experimental data leaves open questions regarding the potential existence of additional oscillation regimes in such flows. These regimes are likely influenced by specific airfoil characteristics and the particular features of the laminar-turbulent transition on the surface.
It can be hypothesized that the airfoil geometry, in combination with freestream conditions, exerts a strong influence on the emergence and development of the various oscillation modes present in laminar buffet. The present study aims to extend the understanding of this influence and to elucidate the underlying physical processes associated with laminar buffet.

2. Experimental Setup

The experiments were conducted in the T-325 transonic wind tunnel at ITAM SB RAS. The facility’s test section allows for Mach number adjustment in the range of M = 0.55–0.72 (Figure 1). Investigations were performed at a stagnation temperature of T0 ≈ 293 K and two specific stagnation pressure values, P0 = 50 kPa and 70 kPa. The test section dimensions are 200 mm (width) by 208 mm (height). The Mach number was regulated by rotating an elliptical body (referred to as the “second throat”) positioned downstream of the model location. A mirror was installed behind the second throat to introduce the laser sheet for the PIV measurements.
Two natural laminar flow (NLF) airfoils of differing geometries were employed in this study (Figure 2). The models were mounted on a specialized holder designed for precise adjustment of the angle of attack (AoA) (Figure 3). The investigation focused on the transonic buffet phenomenon across an AoA range of 4° to 6.5°. The primary distinction between the two airfoils is their thickness-to-chord ratio t/c, where t is the maximum thickness and c is the chord length. For Model 1, t/c ≈ 14.3% (c = 70 mm), and for Model 2, t/c ≈ 10.2% (c = 83 mm). For Model 1, the chord based Reynolds numbers within the Mach range M = 0.65–0.7 were Re = 0.42–0.44 × 106 at P0 = 50 kPa and Re = 0.59–0.62 × 106 at P0 = 70 kPa. These relatively low Reynolds numbers were selected to accentuate viscous effects and to ensure a laminar state of the incoming boundary layer.
The primary experimental data used to characterise transonic buffet were obtained from unsteady pressure transducers. To measure surface pressure fluctuations, both models were instrumented with two CPC15A pressure transducers, each offering a time response of 0.1 ms. The sensors were mounted at the following non-dimensional chord location: X/c = 0.42 and 0.56 for Model 1, and X/c = 0.34 and 0.57 for Model 2.
Preliminary Computational Fluid Dynamics (CFD) simulations were utilized to determine optimal overall dimensions of the experimental models and their appropriate positioning within the test section, effectively avoiding wind tunnel choking. A 5 mm gap was maintained between the model ends and the test section sidewalls to mitigate potential sidewall flow separation effects.
The secondary measurement techniques employed were schlieren visualization using a high-speed camera and Particle Image Velocimetry (PIV). The thickness of the laser sheet was approximately 0.7–1 mm. For the PIV measurements, DEHS microparticles with an average diameter of 0.9 µm, served as flow tracers. Velocity fields were reconstructed from acquired particle images using cross-correlation adaptive algorithms incorporating continuous window shifting and iterative grid refinement. Mean velocity distributions and turbulent statistics were calculated from ensembles of 2000 instantaneous velocity fields, acquired at a frequency 15 Hz. The low sampling rate of the PIV system precluded the investigation of time-resolved velocity dynamics. Consequently, the PIV data were used solely to derive statistical moments, namely the first moment (time-averaged velocity fields) and the second moment (root-mean-square velocity fields). It should be noted that, in the present setup, the maximum resolvable frequency is limited by particle inertia rather than by the acquisition rate. According to the authors’ estimates, the tracer particles (approximately 0.9 µm in diameter) were capable of resolving velocity fluctuations at frequencies of at least 200 kHz.
Within the investigated velocity range, particle inertia poses a significant challenge. One primary issue is the low particle concentration within the laminar boundary layer [35], which may lead to substantial errors in velocity estimation in this region. This limitation must therefore be taken into account when interpreting the PIV results. However, it is estimated that particle inertia did not lead to gradient smearing exceeding 1–3 mm. Given the selected field of view, this effect does not introduce significant distortions in the inviscid or turbulent regions of the flow. For schlieren visualization, a Phantom V310 high-speed camera was used, operating with a frame rate of 8–13 kHz and an exposure time ranging from 3–10 µs. A 35-watt xenon lamp provided the necessary light source. The models themselves were manufactured from PEEK (polyether ether ketone) plastic. All experiments were conducted under natural laminar flow (NLF) conditions.

3. Experimental Results

Figure 4 presents a schlieren visualization for Model 1, which has a relative thickness of 14.3%. A bright white line near the surface of model, indicative of the laminar boundary layer, is clearly visible adjacent to the model surface, extending upstream of the shock wave. Downstream of the normal shock wave, the presence of vortex structures signifies flow transition to turbulence. The dashed line denotes the oblique shock wave induced by the increasing displacement thickness within the laminar separation bubble. This shock wave will hereafter be referred to as the leading shock wave.
For the flow regime presented in Figure 4 (Model 1), large-scale oscillations of the separation zone and the shock wave were observed at angles of attack higher than 4.5–5°. The specific angle for the onset of these oscillations was dependent on the freestream Mach and Reynolds numbers. This unsteady behavior was analogous to classical transonic buffet and is hereafter referred to as Mode 1. The application of a turbulator delayed the onset of transonic buffet to higher angles of attack. This low-frequency laminar transonic buffet mode was only detected for Model 1, a result that may be attributable to the limited range of Mach numbers and angles of attack investigated in this experimental series.
A second unsteady periodic mode, designated as Mode 2, was identified on all models. A representative example is provided in Figure 5 for Model 2, which has a relative thickness of approximately 10.2%. This mode is associated with self-sustained oscillations of the laminar separation zone and its associated leading shock wave, indicated by the dashed line in Figure 5. It is noteworthy that the angles of attack for the onset of large-scale shock oscillations for the thicker airfoil (Model 1) were similar to those at which the self-sustained oscillations of the separation zone commenced for the thinner airfoil (Model 2). In the experiments conducted with Model 2, the classical transonic buffet (Mode 1) was not observed. While some low-frequency oscillations were detected at high angles of attack—where the normal shock wave had shifted significantly toward the leading edge—these pulsations were non-harmonic in nature.
Figure 5 illustrates the unsteady flow over Model 2, capturing instantaneous states of the maximum (left) and minimum (right) extent of the separation bubble. During the minimum-bubble state, the associated oblique shock wave is nearly absent. This oscillatory phenomenon had a negligible impact on the wake flow downstream of the shock wave and did not induce significant oscillations in that region. Furthermore, the amplitude of the separation zone oscillations diminished with decreasing angle of attack.
For both the first and second unsteady modes, laminar-turbulent transition occurs at the point where the trailing (normal) shock wave interacts with the boundary layer. When the level of incoming flow unsteadiness is increased—for instance, by introducing small surface roughness—the transition location relative to the normal shock wave shifts only slightly; however, the extent of the laminar separation bubble is significantly reduced. The laminar turbulent transition near the normal shock wave is driven by high amplification rates of disturbances developing within the laminar boundary layer under the influence of an adverse pressure gradient at transonic Mach numbers [36,37]. The rapid exponential growth of these disturbances leads to an abrupt boundary layer transition in the vicinity of the shock. Only in cases of weak shock waves (at lower Mach numbers or smaller angles of attack) can the transition location shift downstream of the normal shock wave; however, transonic buffet is not observed under these specific regimes.
In experiments on Models 1 and 2, a new unsteady process was identified, characterized by a laminar-turbulent transition location that was decoupled from the normal shock wave position. As this phenomenon was identified solely through schlieren visualization data and exists exclusively in conjunction with either Mode 1 or Mode 2, it was decided not to categorize this regime as a distinct or separate mode. This unsteady process similarity with Mode 2, specifically the upstream and downstream movement of the shock wave associated with the expansion and contraction of the laminar separation zone. However, a key distinction exists: in this case, the transition point does not remain fixed but shifts upstream concurrently with the shock wave as the separation zone grows. A rapid increase in displacement thickness, associated with the transition process, leads to the generation of a new oblique shock wave. This shock wave will hereafter be referred to as the LT (laminar-turbulent transition) shock wave. The unsteady regime associated with LT shock wave oscillations will be called LT oscillations.
Figure 6 provides an example of these oscillations for Model 1. The left and right sides of the figure correspond to the instantaneous states of minimum and maximum separation zone extent, respectively. As evident from the figure, at the maximum separation zone extent, a new oblique shock wave—LT shock wave (indicated by the green dashed line) is observed in addition to the leading shock wave (red dashed line). This new shock is generated by the upstream shift of the transition point, which is now decoupled from the trailing shock wave.
To further elucidate the dynamics captured by schlieren visualisation, the present paper is accompanied by Supplementary Material consisting of four video files for Model 1. The files Video S1 and Video S2 illustrate the periodic shock-wave oscillations characteristic of Mode 1 and Mode 2, respectively. The file Video S3 shows the onset of the LT oscillation regime superimposed on the Mode 2 oscillations. Finally, Video S4 presents a regime characterised by the simultaneous occurrence of Mode 1, Mode 2, and LT oscillations.
To investigate the origin and evolution of the oscillations associated with this unsteady modes, the shock wave motion was tracked over time. This was achieved by plotting the schlieren image intensity along a defined curve (Figure 7) for a sequence of frames, as shown in Figure 8 and Figure 9. An example of such a curve is provided in Figure 7 (blue line). This curve was defined parallel to the model surface and offset from it by a distance of 20 pixels. In Figure 8 and Figure 9, and all subsequent data, the streamwise coordinate (X) is defined with its origin (X = 0) at the model’s leading edge.
For both models at Mach numbers below 0.64, no periodic shock wave oscillations were detected. When the angle of attack was increased to approximately 8 degrees for Models 1 and 2, chaotic shock wave oscillations emerged near the leading edge. On both models, periodic oscillations corresponding to the second unsteady mode (Mode 2) were identified as the Mach number increased. A representative case for Model 2 is shown in Figure 9b, where the periodic motion of the leading shock wave in the range of X = 10–30 mm at a frequency of approximately 1300 Hz is clearly visible. During these oscillations, the normal shock wave remains relatively fixed at X ≈ 40 mm.
An increase in the Mach number from M = 0.68 to M = 0.70 caused the normal shock wave to move downstream. While the oscillations of the leading shock wave persisted in the range of X = 10–40 mm, they were joined by additional oscillations between X = 40 and 55 mm. These higher-streamwise oscillations are attributed to the newly identified LT oscillations, driven by oscillations in the laminar-turbulent transition position. Furthermore, the onset of LT shock wave periodical oscillation was observed at lower Mach numbers when the angle of attack was increased from 4 to 7 degrees.
Model 1 exhibits trends similar to those of Model 2. However, at an angle of attack of 5 degrees and a Mach number of M = 0.69, the first unsteady mode (Mode 1) was identified. An example of the normal shock wave oscillations associated with Mode 1 is presented in Figure 8a. The dark and light bands, which exhibit a sinusoidal pattern, correspond to the low-frequency oscillations (≈300 Hz) of the normal and leading shock waves, respectively. Under certain flow parameters and angles of attack, the unsteady modes can coexist, which is also confirmed in the additional materials in the file Video S4. For instance, in Figure 8a, the low-frequency oscillations of Mode 1 are superimposed with the higher-frequency oscillations (approximately 1500 Hz) characteristic of Mode 2. A further increase in the angle of attack from 5 to 5.5 degrees (Figure 8b) resulted in a transition of the shock wave oscillation regime from Mode 1 to Mode 2 with LT oscillations. As clearly shown in Figure 8b, prominent vortex structures emerge in the wake as the leading shock wave collapses, coinciding with the maximum extent of the separation bubble (see Video S3).
The main quantitative data were obtained using pressure sensors. Figure 10 and Figure 11 present the power spectral density (PSD) of the wall pressure fluctuations measured near the normal shock wave. Distinct peaks in the spectra are clearly visible and are associated with the periodic oscillations of the separation zone and the shock wave. For Model 2 at a stagnation pressure of 0.5 bar (Figure 11a), the domiN/At pulsation frequencies correspond to those extracted from the schlieren visualizations for the leading shock wave in Figure 9a, thereby validating the measurement technique. An increase in stagnation pressure (Figure 11b) amplifies the oscillations of Mode 2 and enhances the low-frequency (<400 Hz) broadband content.
The data in Figure 10 confirm the transition from the transonic buffet (Mode 1) to a regime dominated by Modes 2 as the angle of attack increases from 5° to 5.5°. In Figure 10a, the primary pulsations occur at approximately 300 Hz (Mode 1), while at the higher angle of attack (Figure 10b), the spectral peak shifts to approximately 1500 Hz (Mode 2). A reduction in the Mach number results in a decrease in pulsation amplitude. It is noteworthy that this reduction in Mach number does not produce a significant shift in the domiN/At frequency (the change is less than ~10%), despite a substantial change (approximately 1.5 to 2.5 times) in the extent of the laminar separation zone.
Figure 12 and Figure 13 present the compiled pressure sensor data for Model 1. The solid and dashed lines correspond to stagnation pressures (P0) of 0.5 bar and 0.7 bar, respectively. The Strouhal number was defined as S h = f · c / V 0 , where V 0 is the freestream velocity, and f is the frequency of the transonic buffet mode. Figure 12a illustrates the influence of the Mach number and angle of attack on the frequency of the first (classical) transonic buffet mode. It is evident that an increase in the Mach number from 0.66 to 0.69 primarily results in a twofold increase in frequency. An exception is the case at a 6.5° angle of attack and P0 = 0.5 bar, for which the oscillation frequency remains independent of the Mach number.
A plausible explanation for this behavior is the diminished influence of the Mach number on the parameters of the turbulent wake developing downstream of the normal shock wave at high angles of attack. The characteristics of the turbulent wake are expected to be critical in establishing the feedback mechanism necessary for self-sustained periodic oscillations. At lower angles of attack, the thickness of the turbulent wake increases with the Mach number, which likely influences the characteristic oscillation frequency.
Figure 12b displays the oscillation amplitudes measured by the pressure transducer. When analyzing this graph, it is crucial to note that the sensor was installed at a fixed position, X / b = 0.56. Since the position of the shock wave system changes with variations in the angle of attack and Mach number, the data in Figure 12b cannot be used for a quantitative assessment of the influence of these parameters on the amplitude of the transonic buffet oscillations. Nevertheless, these data can be valuable for comparing the experimental results with computational simulations. However, it can be concluded that an increase in the Reynolds number (stagnation pressure) leads to a decrease in the amplitude of pressure fluctuations on the surface of the model.
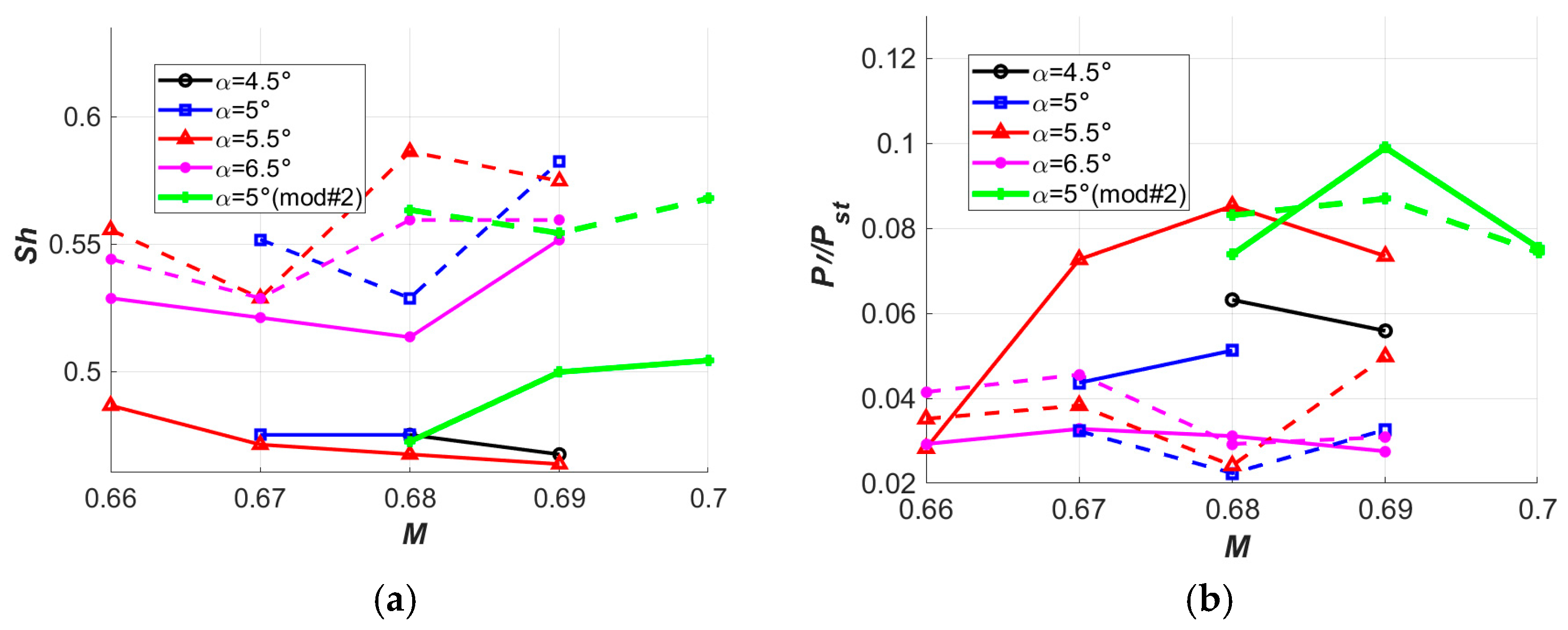
Figure 13a presents the non-dimensional frequencies corresponding to the second transonic buffet mode (Mode 2). Data for Model 2 are also included in this figure (green line). The plot clearly reveals that the frequency of Mode 2 is largely insensitive to variations in the angle of attack and Mach number. Furthermore, this mode is characterized by a significantly higher frequency—approximately 5 to 10 times greater—than the first (classical) oscillation mode (cf. Figure 12a).
As noted previously, the extent of the laminar separation increases substantially with both the angle of attack and Mach number. Since Mode 2 is primarily associated with oscillations of the laminar separation zone and its associated leading shock wave, a significant influence of the separation size on the oscillation frequency would be expected; however, no such correlation is observed. Resolving this discrepancy requires further investigation. A comparison of Figure 12b with Figure 13b indicates that the oscillation amplitudes of the first and second modes are of comparable magnitude.
The data presented in Figure 12 and Figure 13 are compiled in Table 1, Table 2, Table 3 and Table 4. The N/A entry denotes cases in which Mode 1 or Mode 2 oscillations were not detected, either because they were absent or because their amplitude was insufficient to be distinguished from sensor noise in the PSD spectra. Each cell in these tables is divided diagonally into two sections. In each cell the top-left section corresponds to the first (classical) transonic buffet mode (Mode 1), while the bottom-right region corresponds to the second (high-frequency) mode (Mode 2). Cells highlighted in green indicate flow conditions where an additional LT oscillations occurred, driven by oscillations of the boundary layer transition point relative to the normal shock wave. The LT oscillations could not be detected from the pressure transducer readings and was identified exclusively through schlieren visualization. As a result, the identification of this oscillation mode is subject to uncertainty, since the data were analysed manually. The compiled data indicate that LT oscillations emerges when the intensity of the normal shock wave increases.
Representative example of the streamwise velocity and its root-mean-square (RMS) fluctuations for Model 1 are presented in Figure 14 and Figure 15. Due to the limited number of PIV experimental runs, the resulting data should be regarded as preliminary and are used here only to provide qualitative support for the primary measurements. The dashed line denotes the sonic line (M = 1) contour. It is evident that an increase in the Mach number from M = 0.67 to 0.70 results in a significant growth of the boundary layer thickness downstream of the normal shock wave. Furthermore, this Mach number increase leads to the emergence of high-amplitude fluctuations within the normal shock wave region (Figure 15b).
The sharp increase in boundary layer thickness in the wake of the shock wave-boundary layer interaction (SWBLI) is the most plausible cause for the establishment of the feedback mechanism required for the first oscillation mode (Mode 1). Conversely, the thinner Model 2 likely does not generate a sufficiently thick wake, at least within the Mach number range investigated in this study. This would explain the absence of Mode 1 for Model 2, but further research is needed.
The origin of the high-frequency second mode (Mode 2) is most likely the presence of the laminar separation bubble. However, since the characteristic oscillation scale is clearly not related to the size of the separation zone (as the frequency remains nearly constant), it is highly probable that the characteristic length scale is associated with some feedback. There may be different feedback mechanism for each mode. For the low-frequency Mode 1, the characteristic oscillation period is approximately equal to the sum of the time for a convective disturbance to travel along the airfoil and the time for an acoustic wave to propagate upstream [4,5]. For Mode 2, more detailed studies are required to explain the origin of the periodic oscillations.
Another critical aspect is the interaction between Mode 1 and Mode 2 during their co-existence. A preliminary analysis can be derived from Figure 12 and Figure 13. For instance, consider the evolution of the frequency and amplitude of disturbances for P0 = 0.7 bar and an angle of attack of 5.5 degree (indicated by the red dashed curve). At M = 0.66, only the high-frequency Mode 2 is present. Increasing the Mach number to 0.67 leads to the onset of co-existing Mode 1 and Mode 2 oscillations; however, no significant shifts in the amplitude or frequency of Mode 2 are observed. A further increase in the Mach number to 0.69 results in the suppression of Mode 1, while the characteristics of Mode 2 remain virtually unchanged. These observations potentially suggest a weak coupling between the two modes.
It should be noted that the investigated range of Mach numbers and angles of attack is insufficient to establish more precise scaling laws for the onset and evolution of periodic shock wave oscillations on laminar transonic airfoils. Therefore, additional research is required and is planned for the future.

4. Conclusions

This study identified two distinct transonic buffet modes on a natural laminar flow airfoil. The first mode is analogous to classical transonic buffet observed on turbulent airfoils, characterized by a Strouhal number of Sh ≈ 0.05–0.1. The second mode is associated with oscillations of the laminar separation bubble, occurring at a significantly higher Strouhal number of Sh ≈ 0.5.
A comparison of the two airfoils revealed that a reduction in airfoil thickness suppresses the low-frequency buffet (Mode 1). This effect is likely attributable to a less pronounced turbulent wake region generated by the thinner airfoil.
Furthermore, it was established that the laminar-turbulent transition point detaches from the normal shock wave position when the shock wave intensity remains near a specific threshold.
This study demonstrated that the laminar-turbulent transition location generally coincides with the position of the normal shock wave. However, when the intensity of the shock wave exceeded a specific threshold, localized oscillations of the transition point relative to the shock were observed. This newly identified phenomenon always accompanied by transonic buffet of mode 1/2 is designated as LT oscillations.
Thus, the data obtained in this study demonstrate that periodic shock wave oscillations (transonic buffet) in the laminar regime exhibit significantly greater diversity than those in the turbulent regime.

5. Future Work

To establish more precise criteria for the onset and suppression of the various laminar transonic buffet modes, further studies are planned with finer increments in the angle of attack and over a broader range of Reynolds numbers. To improve the analysis of the unsteady flow structure—particularly the mechanisms underlying the Mode 2 oscillations—the application of the PIV technique will be extended and complemented by correlation analysis and Proper Orthogonal Decomposition (POD). Furthermore, the scope of the investigation will be broadened to include the use of electrical discharges to introduce weak artificial disturbances, with the aim of assessing the receptivity of transonic buffeting to incoming perturbations. Finally, a key objective is the performance of numerical simulations using Large Eddy Simulation (LES) or Direct Numerical Simulation (DNS) at the experimentally identified critical regimes, which is expected to provide deeper insight into the underlying flow physics.

Supplementary Materials

The following supporting information can be downloaded at: https://www.mdpi.com/article/10.3390/aerospace13020120/s1, Video S1: Mode 1; Video S2: Mode 2; Video S3: Mode 1 + LT oscillations; Video S4: Mode 1 + Mode 2 + LT oscillations.

Author Contributions

Conceptualization, P.P. and A.S.; Methodology, P.P.; Formal analysis, P.P.; Investigation, P.P.; Data curation, P.P.; Writing—original draft, P.P. and A.S.; Writing—review and editing, A.S. and P.P. All authors have read and agreed to the published version of the manuscript.

Funding

The research was carried out within the state assignment of Ministry of Science and Higher Education of the Russian Federation (124021500012-0).

Data Availability Statement

The data can be provided on request.

Acknowledgments

The study was conducted at the Equipment Sharing Center «Mechanics» of ITAM SB RAS.

Conflicts of Interest

The authors declare no conflicts of interest.

References

  1. Mabey, D.G. Beyond the buffet boundary. Aeronaut. J. 1973, 77, 201–215. [Google Scholar] [CrossRef]
  2. Mabey, D.G. Some aspects of aircraft dynamic loads due to flow separation. Prog. Aerosp. Sci. 1989, 26, 115–151. [Google Scholar] [CrossRef]
  3. Roos, F.W. Some features of the unsteady pressure field in transonic airfoil buffeting. J. Aircr. 1980, 17, 781–788. [Google Scholar] [CrossRef]
  4. Giannelis, N.F.; Vio, G.A.; Levinski, O. A review of recent developments in the understanding of transonic shock buffet. Prog. Aerosp. Sci. 2017, 92, 39–84. [Google Scholar] [CrossRef]
  5. Lee, B.H.K. Self-sustained shock oscillations on airfoils at transonic speeds. Prog. Aerosp. Sci. 2001, 37, 147–196. [Google Scholar] [CrossRef]
  6. Pearcey, H.; Holder, D. Simple Methods for the prediction of wing buffeting resulting from bubble type separation. In NPL AEROREP-1024; National Physics Laboratory: London, UK, 1962. [Google Scholar]
  7. Lee, B.H.K. Oscillatory shock motion caused by transonic shock boundary-layer interaction. AIAA J. 1990, 28, 942–944. [Google Scholar] [CrossRef]
  8. Jacquin, L.; Molton, P.; Deck, S.; Maury, B.; Soulevant, D. Experimental study of shock oscillation over a transonic supercritical profile. AIAA J. 2009, 47, 1985–1994. [Google Scholar] [CrossRef]
  9. Feldhusen-Hoffmann, A.; Lagemann, C.; Loosen, S.; Meysonnat, P.; Klaas, M.; Schröder, W. Analysis of transonic buffet using dynamic mode decomposition. Exp. Fluids 2021, 62, 66. [Google Scholar] [CrossRef]
  10. D’Aguanno, A.; Schrijer, F.F.J.; van Oudheusden, B.W. Experimental investigation of the transonic buffet cycle on a supercritical airfoil. Exp. Fluids 2021, 62, 214. [Google Scholar] [CrossRef]
  11. D’Aguanno, A.; Schrijer, F.F.J.; van Oudheusden, B.W. Spanwise organization of upstream traveling waves in transonic buffet. Phys. Fluids 2021, 33, 106105. [Google Scholar] [CrossRef]
  12. Accorinti, A.; Korthäuer, T.; Scharnowski, S.; Kähler, C.J. Characterization of transonic shock oscillations over the span of an OAT15A profile. Exp. Fluids 2023, 64, 61. [Google Scholar] [CrossRef]
  13. Kokmanian, K.; Scharnowski, S.; Schäfer, C.; Accorinti, A.; Baur, T.; Kähler, C.J. Investigating the flow field dynamics of transonic shock buffet using particle image velocimetry. Exp. Fluids 2022, 63, 149. [Google Scholar] [CrossRef]
  14. Sidorenko, A.A.; Budovskii, A.D.; Polivanov, P.A.; Vishnyakov, O.I. Nonstationary phenomena in the region of shock-wave interaction with a boundary layer at transonic flow velocities. Tech. Phys. Lett. 2017, 43, 570–573. [Google Scholar] [CrossRef]
  15. Fukushima, Y.; Kawai, S. Wall-modeled large-eddy simulation of transonic airfoil buffet at high Reynolds number. AIAA J. 2018, 56, 2372–2388. [Google Scholar] [CrossRef]
  16. Hartmann, A.; Feldhusen, A.; Schröder, W. On the interaction of shock waves and sound waves in transonic buffet flow. Phys. Fluids 2013, 25, 026101. [Google Scholar] [CrossRef]
  17. Zauner, M.; Sandham, N.D. Wide domain simulations of flow over an unswept laminar wing section undergoing transonic buffet. Phys. Rev. Fluids 2020, 5, 083903. [Google Scholar] [CrossRef]
  18. Crouch, J.D.; Garbaruk, A.; Magidov, D.; Travin, A. Origin of transonic buffet on aerofoils. J. Fluid Mech. 2009, 628, 357–369. [Google Scholar] [CrossRef]
  19. Crouch, J.D.; Garbaruk, A.; Strelets, M. Global instability in the onset of transonic-wing buffet. J. Fluid Mech. 2019, 88, 3–22. [Google Scholar] [CrossRef]
  20. He, W.; Timme, S. Triglobal infinite-wing shock-buffet study. J. Fluid Mech. 2021, 925, A27. [Google Scholar] [CrossRef]
  21. Polivanov, P.A.; Sidorenko, A.A.; Maslov, A.A. The influence of the laminar-turbulent transition on the interaction between the shock wave and boundary layer at a low supersonic Mach number. Tech. Phys. Lett. 2015, 41, 933–937. [Google Scholar] [CrossRef]
  22. Swoboda, M.; Nitsche, W. Shock boundary-layer interaction on transonic airfoils for laminar and turbulent flow. J. Aircr. 1996, 33, 100–108. [Google Scholar] [CrossRef]
  23. Brion, V.; Dandois, J.; Abart, J.C.; Paillart, P. Experimental analysis of the shock dynamics on a transonic laminar airfoil. Prog. Flight Phys. 2017, 9, 365–386. [Google Scholar][Green Version]
  24. Brion, V.; Dandois, J.; Mayer, R.; Reijasse, P.; Lutz, T.; Jacquin, L. Laminar buffet and flow control. Proc. Inst. Mech. Eng. Part G J. Aerosp. Eng. 2019, 234, 124–139. [Google Scholar] [CrossRef]
  25. Polivanov, P.A.; Sidorenko, A.A.; Maslov, A.A. Effective plasma buffet and drag control for laminar transonic aerofoil. Proc. Inst. Mech. Eng. Part G J. Aerosp. Eng. 2018, 234, 58–67. [Google Scholar] [CrossRef]
  26. Dandois, J.; Mary, I.; Brion, V. Large-eddy simulation of laminar transonic buffet. J. Fluid Mech. 2018, 850, 156–178. [Google Scholar] [CrossRef]
  27. Vishnyakov, O.; Polivanov, P.; Sidorenko, A. Response of the shock wave/boundary layer interaction to disturbances induced by the plasma discharge. Aerospace 2023, 10, 798. [Google Scholar] [CrossRef]
  28. Bugeat, B.; Robinet, J.-C.; Chassaing, J.-C.; Sagaut, P. Low-frequency resolvent analysis of the laminar oblique shock wave/boundary layer interaction. J. Fluid Mech. 2022, 942, A43. [Google Scholar] [CrossRef]
  29. Zauner, M.; Sandham, N.D. Modal analysis of a laminar-flow airfoil under buffet conditions at Re = 500,000. Flow Turbul. Combust. 2020, 104, 509–532. [Google Scholar] [CrossRef]
  30. Zauner, M.; De Tullio, N.; Sandham, N.D. Direct numerical simulations of transonic flow around an airfoil at moderate Reynolds numbers. AIAA J. 2019, 57, 597–607. [Google Scholar] [CrossRef]
  31. Moise, P.; Zauner, M.; Sandham, N.D. Large-eddy simulations and modal reconstruction of laminar transonic buffet. JFM 2022, 944. [Google Scholar] [CrossRef]
  32. Moise, P.; Zauner, M.; Sandham, N.D.; Timme, S.; He, W. Transonic buffet characteristics under conditions of free and forced transition. AIAA J. 2023, 61, 1061–1076. [Google Scholar] [CrossRef]
  33. Zauner, M.; Moise, P.; Sandham, N.D. On the Co-existence of Transonic Buffet and Separation-Bubble Modes for the OALT25 Laminar-Flow Wing Section. Flow Turbul. Combust 2023, 110, 1023–1057. [Google Scholar] [CrossRef]
  34. Polivanov, P.A.; Sidorenko, A.A. Study of the receptivity of laminar buffet to disturbances generated by electric discharge. Plasma Phys. Rep. 2023, 49, 602–608. [Google Scholar] [CrossRef]
  35. Vishnyakov, O.I.; Polivanov, P.A.; Sidorenko, A.A. On the problem of using particle image velocimetryfor measurements in high-velocity thin shear layers. J. Appl. Mech. Tech. Phys. 2020, 61, 748–756. [Google Scholar] [CrossRef]
  36. Polivanov, P.A.; Khotyanovsky, D.V.; Kutepova, A.I.; Sidorenko, A.A. Investigation of various approaches to the simulationof laminar–turbulent transitionin compressible separated flows. J. Appl. Mech. Tech. Phys. 2020, 61, 717–726. [Google Scholar] [CrossRef]
  37. Babinsky, H.; Dupont, P.; Polivanov, P.; Sidorenko, A.; Bur, R.; Giepman, R.; Schrijer, F.; van Oudheusden, B.; Sansica, A.; Sandham, N.; et al. Wp-2 basic investigation of transition effect. Notes Numer. Fluid Mech. Multidiscip. Des. 2021, 144, 129–225. [Google Scholar] [CrossRef]
Figure 1. Overall view of the wind tunnel test section.
Figure 1. Overall view of the wind tunnel test section.
Aerospace 13 00120 g001
Figure 2. Schematic drawing of the airfoils.
Figure 2. Schematic drawing of the airfoils.
Aerospace 13 00120 g002
Figure 3. Photograph of the model installed in the wind tunnel test section.
Figure 3. Photograph of the model installed in the wind tunnel test section.
Aerospace 13 00120 g003
Figure 4. Schlieren visualization of the transonic buffet flow field for Model 1. The dashed line indicates the oblique shock wave generated by the laminar separation bubble (leading shock wave). (a) downstream position of the normal shock wave, (b) upstream position of the normal shock wave.
Figure 4. Schlieren visualization of the transonic buffet flow field for Model 1. The dashed line indicates the oblique shock wave generated by the laminar separation bubble (leading shock wave). (a) downstream position of the normal shock wave, (b) upstream position of the normal shock wave.
Aerospace 13 00120 g004
Figure 5. Instantaneous schlieren visualizations illustrating oscillations of the laminar separation zone for Model 2. The dashed line denotes the leading shock wave. (a) maximum and (b) minimum size of laminar separation bubble.
Figure 5. Instantaneous schlieren visualizations illustrating oscillations of the laminar separation zone for Model 2. The dashed line denotes the leading shock wave. (a) maximum and (b) minimum size of laminar separation bubble.
Aerospace 13 00120 g005
Figure 6. Instantaneous schlieren visualizations of the laminar-turbulent transition point oscillations for Model 1. The red and green dashed lines indicate the oblique shock waves generated by the laminar separation bubble (leading shock wave) and the upstream transition point (LT shock wave), respectively. ((a) small and (b) maximum size of laminar separation bubble).
Figure 6. Instantaneous schlieren visualizations of the laminar-turbulent transition point oscillations for Model 1. The red and green dashed lines indicate the oblique shock waves generated by the laminar separation bubble (leading shock wave) and the upstream transition point (LT shock wave), respectively. ((a) small and (b) maximum size of laminar separation bubble).
Aerospace 13 00120 g006
Figure 7. Sample schlieren image with an analysis line. The blue line indicates the location where the image intensity was extracted to generate the space-time diagrams in Figure 8 and Figure 9.
Figure 7. Sample schlieren image with an analysis line. The blue line indicates the location where the image intensity was extracted to generate the space-time diagrams in Figure 8 and Figure 9.
Aerospace 13 00120 g007
Figure 8. The shock wave position vs. time for model #1 at M = 0.69 and P0 = 0.7 bar ((a)—α = 5°, (b)—α = 5.5°).
Figure 8. The shock wave position vs. time for model #1 at M = 0.69 and P0 = 0.7 bar ((a)—α = 5°, (b)—α = 5.5°).
Aerospace 13 00120 g008
Figure 9. The shock wave position vs. time for model #2 at P0 = 0.5 bar and α = 5° ((a)—M = 0.7, (b)—M = 0.68).
Figure 9. The shock wave position vs. time for model #2 at P0 = 0.5 bar and α = 5° ((a)—M = 0.7, (b)—M = 0.68).
Aerospace 13 00120 g009
Figure 10. Power spectral density of surface pressure of the model 1 at X/c = 0.56 and P0 = 0.7 bar ((a)—α = 5°, (b)—α = 5.5°).
Figure 10. Power spectral density of surface pressure of the model 1 at X/c = 0.56 and P0 = 0.7 bar ((a)—α = 5°, (b)—α = 5.5°).
Aerospace 13 00120 g010
Figure 11. Power spectral density of surface pressure of the model 1 at X/c = 0.57 and α = 5° ((a)—P0 = 0.5 bar, (b)—P0 = 0.7 bar).
Figure 11. Power spectral density of surface pressure of the model 1 at X/c = 0.57 and α = 5° ((a)—P0 = 0.5 bar, (b)—P0 = 0.7 bar).
Aerospace 13 00120 g011
Figure 12. Effect of Mach number on the first transonic buffet mode (Mode 1) for Model 1: (a) Strouhal number (Sh), and (b) dimensionless oscillation amplitude (solid line—P0 = 0.5 bar, dashed line—P0 = 0.7 bar).
Figure 12. Effect of Mach number on the first transonic buffet mode (Mode 1) for Model 1: (a) Strouhal number (Sh), and (b) dimensionless oscillation amplitude (solid line—P0 = 0.5 bar, dashed line—P0 = 0.7 bar).
Aerospace 13 00120 g012
Figure 13. Effect of Mach number on the second transonic buffet mode (Mode 2): (a) Strouhal number (Sh), and (b) dimensionless oscillation amplitude (solid line—P0 = 0.5 bar, dashed line—P0 = 0.7 bar).
Figure 13. Effect of Mach number on the second transonic buffet mode (Mode 2): (a) Strouhal number (Sh), and (b) dimensionless oscillation amplitude (solid line—P0 = 0.5 bar, dashed line—P0 = 0.7 bar).
Aerospace 13 00120 g013
Figure 14. Mean streamwise velocity fields for Model 1 at P0 = 0.7 bar and α = 5.5°: (a) M = 0.66, (b) M = 0.68. The dashed line indicates the sonic line (M = 1).
Figure 14. Mean streamwise velocity fields for Model 1 at P0 = 0.7 bar and α = 5.5°: (a) M = 0.66, (b) M = 0.68. The dashed line indicates the sonic line (M = 1).
Aerospace 13 00120 g014
Figure 15. RMS of the streamwise velocity fluctuations for Model 1 at P0 = 0.7 bar and α = 5.5°: (a) M = 0.66, (b) M = 0.68. The dashed line indicates the sonic line (M = 1).
Figure 15. RMS of the streamwise velocity fluctuations for Model 1 at P0 = 0.7 bar and α = 5.5°: (a) M = 0.66, (b) M = 0.68. The dashed line indicates the sonic line (M = 1).
Aerospace 13 00120 g015
Table 1. Strouhal number of transonic buffet at P0 = 0.5 bar (In each cell, the upper-left region represents Mode 1, the lower-right region represents Mode 2, and green cells denote LT oscillations).
Table 1. Strouhal number of transonic buffet at P0 = 0.5 bar (In each cell, the upper-left region represents Mode 1, the lower-right region represents Mode 2, and green cells denote LT oscillations).
M\α °4.55.05.56.5
0.66N/A 0.0460 N/A 0.0536
N/A N/A 0.4866 0.5288
0.670.0843 0.0920 N/A 0.0536
N/A 0.4751 0.4713 0.5211
0.680.1111 0.0996 N/A 0.0536
0.4751 0.4751 0.4675 0.5135
0.690.0996 0.0996 N/A N/A
0.4675 N/A 0.4636 0.5518
Table 2. Strouhal number of transonic buffet at P0 = 0.7 bar (In each cell, the upper-left region represents Mode 1, the lower-right region represents Mode 2, and green cells denote LT oscillations).
Table 2. Strouhal number of transonic buffet at P0 = 0.7 bar (In each cell, the upper-left region represents Mode 1, the lower-right region represents Mode 2, and green cells denote LT oscillations).
M\α °4.55.05.56.5
0.66N/A0.0460 N/A 0.0460
N/A 0.5556 0.5441
0.67N/A0.0613 0.0920 N/A
0.5518 0.5288 0.5288
0.68N/A0.0920 0.0996 N/A
0.5288 0.5863 0.5594
0.69N/A0.0996 N/A N/A
0.5824 0.5748 0.5594
Table 3. Dimensionless amplitude of transonic buffet at P0 = 0.5 bar (In each cell, the upper-left region represents Mode 1, the lower-right region represents Mode 2, and green cells denote LT oscillations).
Table 3. Dimensionless amplitude of transonic buffet at P0 = 0.5 bar (In each cell, the upper-left region represents Mode 1, the lower-right region represents Mode 2, and green cells denote LT oscillations).
M\α °4.55.05.56.5
0.66N/A 0.0461 N/A 0.0816
N/A N/A 0.0282 0.0292
0.670.0826 0.0690 N/A 0.0467
N/A 0.0437 0.0727 0.0328
0.680.0695 0.0969 N/A 0.0387
0.0632 0.0513 0.0853 0.0311
0.690.0633 0.1088 N/A N/A
0.0559 N/A 0.0735 0.0275
Table 4. Dimensionless amplitude of transonic buffet at P0 = 0.7 bar (In each cell, the upper-left region represents Mode 1, the lower-right region represents Mode 2, and green cells denote LT oscillations).
Table 4. Dimensionless amplitude of transonic buffet at P0 = 0.7 bar (In each cell, the upper-left region represents Mode 1, the lower-right region represents Mode 2, and green cells denote LT oscillations).
M\α °4.55.05.56.5
0.66N/A0.0310 N/A 0.0371
N/A 0.0352 0.0415
0.67N/A0.0475 0.0318 N/A
0.0323 0.0383 0.0456
0.68N/A0.0601 0.0470 N/A
0.0224 0.0242 0.0292
0.69N/A0.0330 N/A N/A
0.0326 0.0498 0.0309
Disclaimer/Publisher’s Note: The statements, opinions and data contained in all publications are solely those of the individual author(s) and contributor(s) and not of MDPI and/or the editor(s). MDPI and/or the editor(s) disclaim responsibility for any injury to people or property resulting from any ideas, methods, instructions or products referred to in the content.

Share and Cite

MDPI and ACS Style

Polivanov, P.; Sidorenko, A. Oscillation Modes of Transonic Buffet on a Laminar Airfoil. Aerospace 2026, 13, 120. https://doi.org/10.3390/aerospace13020120

AMA Style

Polivanov P, Sidorenko A. Oscillation Modes of Transonic Buffet on a Laminar Airfoil. Aerospace. 2026; 13(2):120. https://doi.org/10.3390/aerospace13020120

Chicago/Turabian Style

Polivanov, Pavel, and Andrey Sidorenko. 2026. "Oscillation Modes of Transonic Buffet on a Laminar Airfoil" Aerospace 13, no. 2: 120. https://doi.org/10.3390/aerospace13020120

APA Style

Polivanov, P., & Sidorenko, A. (2026). Oscillation Modes of Transonic Buffet on a Laminar Airfoil. Aerospace, 13(2), 120. https://doi.org/10.3390/aerospace13020120

Note that from the first issue of 2016, this journal uses article numbers instead of page numbers. See further details here.

Article Metrics

Back to TopTop