Sign in to use this feature.

Years

Between: -

Subjects

remove_circle_outline
remove_circle_outline
remove_circle_outline
remove_circle_outline
remove_circle_outline
remove_circle_outline
remove_circle_outline
remove_circle_outline
remove_circle_outline

Journals

Article Types

Countries / Regions

remove_circle_outline
remove_circle_outline
remove_circle_outline

Search Results (204)

Search Parameters:
Keywords = brominated derivatives

Order results
Result details
Results per page
Select all
Export citation of selected articles as:
17 pages, 1578 KB  
Article
Tranexamic Acid-Phenol Smart Scaffolds with Imine Linker: Unlocking Antimicrobial Potential Through In Vitro and In Silico Insights
by Jovana S. Dragojević, Žiko Milanović, Kristina Milisavljević, Nevena Petrović, Jelena Petronijević, Nenad Joksimović, Vera M. Divac, Marijana Kosanić and Marina D. Kostić
Organics 2025, 6(4), 54; https://doi.org/10.3390/org6040054 - 16 Dec 2025
Viewed by 26
Abstract
A novel series of Schiff bases (3a3k), incorporating tranexamic acid (TXA) and phenol-derived aldehydes via imine linkers, was synthesized and structurally characterized. The antimicrobial activity of the compounds was evaluated against a range of clinically and environmentally relevant bacterial [...] Read more.
A novel series of Schiff bases (3a3k), incorporating tranexamic acid (TXA) and phenol-derived aldehydes via imine linkers, was synthesized and structurally characterized. The antimicrobial activity of the compounds was evaluated against a range of clinically and environmentally relevant bacterial and fungal strains. Among them, derivatives 3i and 3k, bearing bromine and chlorine substituents on the phenol ring, exhibited the most potent antimicrobial effects, particularly against Penicillium italicum and Proteus mirabilis (MIC as low as 0.014 mg/mL). To elucidate the underlying mechanism of action, in silico molecular docking studies were conducted, revealing strong binding affinities of 3i and 3k toward fungal sterol 14α-demethylase (CYP51B), with predicted binding energies surpassing those of the reference antifungal ketoconazole. Additionally, UV-Vis and fluorescence spectroscopy assays demonstrated good stability of compound 3k in PBS and its effective binding to human serum albumin (HSA), respectively. ADMET and ProTox-II predictions further supported the drug-likeness, low toxicity (Class 4), and favorable pharmacokinetic profile of compound 3k. Collectively, these findings highlight TXA–phenol imine derivatives as promising scaffolds for the development of next-generation antimicrobial agents, particularly targeting resistant fungal pathogens. Full article
Show Figures

Graphical abstract

19 pages, 2305 KB  
Article
Bromo Analogues of Active 3,4,5,4′-Tetramethoxy-trans-stilbene (DMU-212)—A New Path of Research to Anticancer Agents
by Dawid Łażewski, Gabriela Korzańska, Łukasz Popenda, Karolina Chmaj-Wierzchowska, Artur Korzański, Eduard Potapskyi, Julian Myszkiewicz, Agnieszka Gielara-Korzańska, Agnieszka Zgoła-Grześkowiak, Nataliya Finiuk, Yuliia Kozak, Iryna Ivasechko, Roman Lesyk, Joanna Kuźmińska, Tomasz Goslinski and Marcin Wierzchowski
Molecules 2025, 30(24), 4788; https://doi.org/10.3390/molecules30244788 - 15 Dec 2025
Viewed by 120
Abstract
Stilbenes are a group of polyphenols that are gaining steady attention and have promising biological activity. While much attention is given to polyhydroxy compounds derived from resveratrol, other substituents remain largely unexplored. In this work, we present the results of studies on the [...] Read more.
Stilbenes are a group of polyphenols that are gaining steady attention and have promising biological activity. While much attention is given to polyhydroxy compounds derived from resveratrol, other substituents remain largely unexplored. In this work, we present the results of studies on the synthesis, physicochemical characterisation, and ADME parameters simulation of polymethoxy and brominated stilbenes. We also examined their anticancer activity and found that some of the brominated compounds reveal desirable properties. While the brominated derivatives are not significantly more active than the polymethoxy derivatives, they were found to be safer for the tested pseudo-normal cell lines. Full article
(This article belongs to the Section Medicinal Chemistry)
Show Figures

Figure 1

31 pages, 2882 KB  
Article
Synthesis, Reactions, and Agrochemical Studies of New 4,6-Diaryl-2-hydrazinylnicotinonitriles
by Victor V. Dotsenko, Vladislav K. Kindop, Vyacheslav K. Kindop, Renat G. Achmiz, Arina G. Levchenko, Polina G. Dakhno, Azamat Z. Temerdashev, Yu-Qi Feng, Quan-Fei Zhu, Eva S. Daus, Igor V. Yudaev, Yuliia V. Daus, Alexander V. Aksenov, Nicolai A. Aksenov and Inna V. Aksenova
Int. J. Mol. Sci. 2025, 26(24), 11874; https://doi.org/10.3390/ijms262411874 - 9 Dec 2025
Viewed by 361
Abstract
This work aimed to synthesize new derivatives of 2-hydrazinylpyridine-3-carbonitrile and to investigate their biological activity as safeners for the 2,4-D herbicide. The new 2-hydrazinylnicotinonitriles were obtained in high yields (up to quantitative) under mild conditions (25 °C, dioxane) by treating 4,6-diaryl-2-bromo-3-cyanopyridines with hydrazine [...] Read more.
This work aimed to synthesize new derivatives of 2-hydrazinylpyridine-3-carbonitrile and to investigate their biological activity as safeners for the 2,4-D herbicide. The new 2-hydrazinylnicotinonitriles were obtained in high yields (up to quantitative) under mild conditions (25 °C, dioxane) by treating 4,6-diaryl-2-bromo-3-cyanopyridines with hydrazine hydrate. The latter were synthesized by brominating 2-(3-oxo-1,3-diarylpropyl)malononitriles, the Michael adducts, which are readily available from 1,3-diarylpropenones (chalcones) and malononitrile. An unusual side product of the bromination/carbocyclization was isolated and characterized; it consisted of co-crystals of 3-benzoyl-4-hydroxy-4-phenyl-2,6-di-(p-tolyl)cyclohexane-1,1-dicarbonitrile and 3-benzoyl-5-bromo-4-hydroxy-4-phenyl-2,6-di-(p-tolyl)cyclohexane-1,1-dicarbonitrile at a ~4:6 ratio. The new 2-hydrazinylnicotinonitriles react with halogen-containing aromatic aldehydes to form the corresponding hydrazones. The biological activity of the new nicotinonitriles was examined for their function as 2,4-D antidotes. It was found that, under laboratory conditions, eight of the synthesized compounds exhibited a notable antidote effect against 2,4-D on sunflower seedlings. Full article
(This article belongs to the Section Molecular Plant Sciences)
Show Figures

Figure 1

25 pages, 5234 KB  
Article
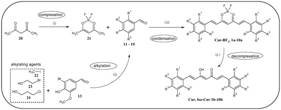
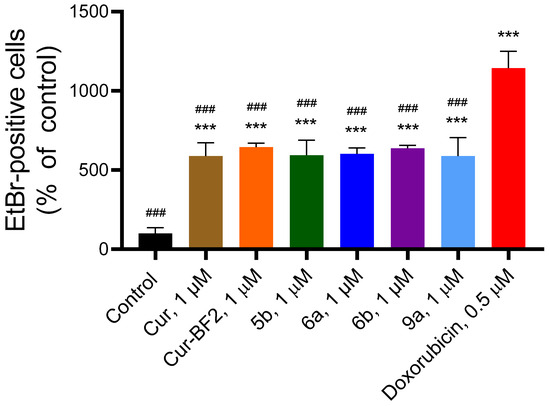
Promising Anticancer Activity of Novel Hydroxyethyloxy and Bromo derivatives of Curcumin and Its Complexes with BF2
by Eduard Potapskyi, Dawid Lazewski , Julian Myszkiewicz, Gabriela Korzańska, Joanna Kuzminska , Łukasz Popenda, Artur Korzański, Agnieszka Zgoła-Grześkowiak, Agnieszka Gielara-Korzańska, Karolina Chmaj-Wierzchowska, Nataliya Finiuk, Yuliia Kozak, Iryna Ivasechko, Rostyslav Stoika, Roman Lesyk and Marcin Wierzchowski
Molecules 2025, 30(23), 4609; https://doi.org/10.3390/molecules30234609 - 30 Nov 2025
Viewed by 244
Abstract
Curcumin has long been used for health purposes and is currently attracting significant research interest. In this study, we present a series of curcumin derivatives featuring structural modifications, including methoxy groups, short alcohol chains, and bromine atoms. The cytotoxic activity of the compounds [...] Read more.
Curcumin has long been used for health purposes and is currently attracting significant research interest. In this study, we present a series of curcumin derivatives featuring structural modifications, including methoxy groups, short alcohol chains, and bromine atoms. The cytotoxic activity of the compounds obtained was tested against BA/F3 wt, BA/F3 del52, BA/F3 ins5, K562, Jurkat, HCT-116, and MDA-MB-231 cell lines and non-cancerous Balb/3T3 fibroblast lines. The most promising compounds 2a, 6a, and 9a demonstrated anticancer activity comparable to that of doxorubicin, while exhibiting toxicity toward fibroblasts similar to natural curcumin. In addition, thanks to microscopic fluorescence analysis, a mechanism of action was proposed for the most active compounds against the HCT-116 cell line. Some compounds exhibit moderate or strong proapoptotic activity, while others are characterized by cytostatic activity. Studied compounds demonstrated the DNA-intercalation ability and increased the content of cellular ROS in treated HCT-116 cells. Full article
Show Figures

Graphical abstract

13 pages, 2065 KB  
Article
Synthesis, Bioevaluation and Structure-Activity Relationships of Novel N-Aryl Carbamate Derivatives as Potential Fungicidal Agents
by Xiyao Liu, Zhonghao Han, Xufei Duan, Jiajun Zhang, Yanyan Cai, Meili Gao, Liyan Song, Binbin Huang and Ran Lin
Agronomy 2025, 15(12), 2741; https://doi.org/10.3390/agronomy15122741 - 28 Nov 2025
Viewed by 260
Abstract
The exploitation of natural products as lead compounds continues to serve as a vital strategy for the discovery of novel fungicidal agents. This work designed and synthesized a series of carbamate derivatives based on the natural product physostigmine and commercial carbamate fungicides. The [...] Read more.
The exploitation of natural products as lead compounds continues to serve as a vital strategy for the discovery of novel fungicidal agents. This work designed and synthesized a series of carbamate derivatives based on the natural product physostigmine and commercial carbamate fungicides. The title compounds were synthesized from readily available aromatic aldehydes via green Curtius rearrangement. The antifungal activities of those compounds were evaluated in vitro against eight phytopathogenic fungi. Many of the carbamate compounds exhibited good fungicidal activities. Among those molecules, compounds 3a9, 3b1, 3b2 and 3b12 outperformed the potency of the positive control azoxystrobin against certain fungi. Moreover, compounds 3b2, 3b3, and 3b12 showed outstanding and broad-spectrum in vitro antifungal activities against seven fungi with an inhibition rate of over 70% at 50 μg/mL. The preliminary structure-activity relationship (SAR) investigations demonstrated that N-aryl carbamates bearing a chlorine atom(s) or two bromine atoms on the di-substituted phenyl ring showed superior antifungal potency. This work might lay the foundation for investigating natural-source-based green fungicides, which exhibited great potential as novel antifungal lead compounds. Full article
(This article belongs to the Special Issue Natural Products in Crop Diseases Control)
Show Figures

Figure 1

8 pages, 804 KB  
Article
Anion Transfer Reactions from Chiral Hypervalent Iodine Macrocycles
by Mina Dumre Pandey, Tahir Awais, Krishna Pandey, Samsul Arafin, Eli Jones and Kyle N. Plunkett
Organics 2025, 6(4), 52; https://doi.org/10.3390/org6040052 - 20 Nov 2025
Viewed by 665
Abstract
The direct chlorination, bromination and azidation of beta keto esters, 2-acetyl-1-tetralone and methyl 1-oxo-2,3-dihydro-1H-indene-2-carboxylate is achieved utilizing anion-coordinated hypervalent iodine benziodazoles derived from hypervalent iodine macrocycles. This reaction, which introduces the halogen, azido or cyano group at the alpha carbon atom of beta [...] Read more.
The direct chlorination, bromination and azidation of beta keto esters, 2-acetyl-1-tetralone and methyl 1-oxo-2,3-dihydro-1H-indene-2-carboxylate is achieved utilizing anion-coordinated hypervalent iodine benziodazoles derived from hypervalent iodine macrocycles. This reaction, which introduces the halogen, azido or cyano group at the alpha carbon atom of beta keto esters, is accomplished in chloroform at 60 °C and results in the formation of a chiral center. Depending on the structure of the benziodazole reagent, the reaction can have mild enantioselectivity. The reaction between 2-acetyl-1-tetralone and phenylalanine-derived hypervalent iodine benziodazoles results in the chlorinated product with 26% enantiomeric excess. Full article
Show Figures

Graphical abstract

35 pages, 13446 KB  
Article
Anisotropic X-Band Microwave Properties of Amine-Functionalized Carbon Fibers Derived from Polyacrylonitrile
by Liudmyla M. Grishchenko, Maksym A. Popov, Hryhorii L. Chumak, Vitaliy E. Diyuk, Viktoriia D. Malovychko, Igor P. Matushko, Volodymyr Yu. Malyshev, Ruslan T. Mariychuk, Olga Yu. Boldyrieva, Oleksandr V. Mischanchuk, Maksym O. Kremenskoy and Vladyslav V. Lisnyak
Textiles 2025, 5(4), 58; https://doi.org/10.3390/textiles5040058 - 14 Nov 2025
Viewed by 460
Abstract
Carbon fibers derived from carbonized and activated polyacrylonitrile (CFPAN) were sequentially brominated and subsequently functionalized with selected primary and secondary amines to engineer a directional electromagnetic (EM) response. Besides bromine incorporation, bromination introduced oxygen-containing surface groups (e.g., carboxyl, lactone), enabling nucleophilic substitution by [...] Read more.
Carbon fibers derived from carbonized and activated polyacrylonitrile (CFPAN) were sequentially brominated and subsequently functionalized with selected primary and secondary amines to engineer a directional electromagnetic (EM) response. Besides bromine incorporation, bromination introduced oxygen-containing surface groups (e.g., carboxyl, lactone), enabling nucleophilic substitution by amines. Surface characterization (SEM-EDS, FTIR ATR) confirmed successful amine grafting, while thermal analysis (TGA, TPD MS) revealed increased weight loss in the 150–450 °C range due to the decomposition of covalently bonded nitrogen- and oxygen-containing moieties, evidencing strong surface functionalization. Microwave characterization in the X-band (8.2–12.4 GHz) demonstrated that functionalization strongly influences the EM response of CFPAN fibers. The measured reflection coefficient varied from −1.0 to −2.5 dB for sulfonylethylenediamine (SuEn)-functionalized fibers and from −2.0 to −4.0 dB for ethylenediamine (En)-treated ones, depending on frequency and fiber orientation. The frequency-averaged absorption coefficient of pure CFPAN amounted to 32–41%, with absorption maxima and minima corresponding to orientations differing by 90°. SuEn modification decreased absorption to 21–35%, while En functionalization enhanced it to 32–51%. Pure CFPAN exhibited the lowest absorption anisotropy (factor 1.28), whereas piperazine- and En-modified samples showed the highest anisotropy (1.57 and 1.59, respectively). Across all compositions, the attenuation constant remained within 1.5–4.5 mm−1. The observed anisotropic behavior is governed primarily by orientation-dependent variations in characteristic impedance and, to a lesser extent, by anisotropic attenuation constants. Such tunable anisotropy is particularly advantageous for EM shielding textiles, where fiber alignment can be tailored to enhance interaction with polarized fields. Among the tested amines, En-functionalized CFPAN exhibited the highest nitrogen content (up to 10.1 at%) and the most significant enhancement in microwave absorption, positioning it as a promising candidate for advanced orientation-sensitive shielding applications. Full article
Show Figures

Figure 1

6 pages, 329 KB  
Short Note
(E)-4-(4-((8-Bromooctyl)oxy)styryl)-N,N-diphenylaniline
by Yi-Qiong Sun, Ya-Na Wang, Kai-Wei Zhu, Ruirui Li, Maxwell Ampomah-Wireko, Cedric Dzidzor Kodjo Amengor, En Zhang and Yi-Hong Zhao
Molbank 2025, 2025(4), M2087; https://doi.org/10.3390/M2087 - 10 Nov 2025
Cited by 1 | Viewed by 285
Abstract
Triphenylamine and phenol derivatives are two types of antimicrobial molecules with broad application prospects. Through functional modification, these compounds integrate fluorescence imaging and photodynamic antibacterial therapy, thereby achieving theranostic capabilities. They exert broad-spectrum and highly efficient antimicrobial activity via a membrane-disrupting mechanism, which [...] Read more.
Triphenylamine and phenol derivatives are two types of antimicrobial molecules with broad application prospects. Through functional modification, these compounds integrate fluorescence imaging and photodynamic antibacterial therapy, thereby achieving theranostic capabilities. They exert broad-spectrum and highly efficient antimicrobial activity via a membrane-disrupting mechanism, which consequently reduces the propensity for inducing drug resistance. In this work, triphenylamine-phenol derivatives (TPO) were designed and synthesized through three consecutive reactions: Wittig reaction, Heck reaction, and substitution reaction. Double bonds, hydroxyl groups, and brominated alkyl chains were gradually introduced to finally obtain the target product (E)-4-(4-((8-bromooctyl)oxy)styryl)-N,N-diphenylaniline (5). This study provides new insights into the development of novel and highly efficient antibacterial agents. Full article
Show Figures

Figure 1

20 pages, 3820 KB  
Article
Ultrasound/Peracetic Acid Degradation of Sunset Yellow FCF: Scavenger-Mapped Radical Pathways and the Impact of Salts and Environmental Water Matrices
by Abdulmajeed Baker, Oualid Hamdaoui, Lahssen El Blidi, Mohamed K. Hadj-Kali and Abdulaziz Alghyamah
Catalysts 2025, 15(11), 1044; https://doi.org/10.3390/catal15111044 - 3 Nov 2025
Viewed by 557
Abstract
The ability of ultrasound/peracetic acid (US/PAA) to degrade the azo dye Sunset Yellow FCF (SSY) was evaluated considering the impacts of power, pH, inorganic carbon, common salts, radical scavengers, and real water matrices. Pseudo-first-order rate constants revealed synergy indices of 2.90, 3.28, 2.22, [...] Read more.
The ability of ultrasound/peracetic acid (US/PAA) to degrade the azo dye Sunset Yellow FCF (SSY) was evaluated considering the impacts of power, pH, inorganic carbon, common salts, radical scavengers, and real water matrices. Pseudo-first-order rate constants revealed synergy indices of 2.90, 3.28, 2.22, and 2.03 at electrical powers of 40, 60, 80, and 100 W, respectively. Selective scavenger assays revealed a mixed radical regime. OH radical involvement was confirmed by inhibition with alcohols (tert-butanol, 2-propanol), benzoic acid, nitrobenzene, sodium azide, and phenol, while suppression by TEMPO highlighted the key role of PAA-derived acyl and peroxyl radicals. Nitrobenzene caused pronounced inhibition at elevated doses, while nitrite acted as a decisive quencher by converting OH and other oxidants into less reactive species. Carbonate alkalinity exerted dual effects: at acidic pH (3.7–4.4) it diverted OH radicals to carbonate radicals and reduced cavitation through dissolved CO2, whereas at near-neutral pH it buffered conditions toward the optimum (pH 9) and enhanced degradation. Common anions (chloride, sulfate, nitrate) at ≤10 mM produced minor effects. Tests in environmental waters revealed the following reactivity order: seawater > ultrapure water > tap water ≈ Zamzam water > tertiary effluent. Enhanced performance in seawater was attributed to halide-mediated formation of reactive chlorine and bromine species, while inhibition in effluent was linked to organic matter scavenging. Overall, US/PAA emerges as a robust and adaptable advanced oxidation process for azo dye abatement across diverse water matrices. Full article
Show Figures

Figure 1

18 pages, 1484 KB  
Article
Haloamines of the Neurotransmitter γ-Aminobutyric Acid (GABA) and Its Ethyl Ester: Mild Oxidants for Reactions in Hydrophobic Microenvironments and Bactericidal Activity
by Luiza de Carvalho Bertozo, Markus Nagl and Valdecir Farias Ximenes
Molecules 2025, 30(21), 4227; https://doi.org/10.3390/molecules30214227 - 29 Oct 2025
Viewed by 536
Abstract
N-chlorotaurine (Tau-Cl) is a mild oxidizing haloamine formed from the reaction of hypochlorous acid (HOCl) with taurine (2-amino-ethanesulfonic acid). It is widely used as a topical antiseptic. In this study, we investigated haloamines derived from the neurotransmitter γ-aminobutyric acid, specifically GABA chloramine and [...] Read more.
N-chlorotaurine (Tau-Cl) is a mild oxidizing haloamine formed from the reaction of hypochlorous acid (HOCl) with taurine (2-amino-ethanesulfonic acid). It is widely used as a topical antiseptic. In this study, we investigated haloamines derived from the neurotransmitter γ-aminobutyric acid, specifically GABA chloramine and bromamine (GABA-Cl, GABA-Br), as well as their halogenated γ-aminobutyric acid ethyl esters (GABAet-Cl, GABAet-Br). Due to their higher hydrophobicity, the esterified haloamines were more potent oxidants in the presence of lyophilic surfactant micelles, demonstrating their greater ability to access hydrophobic environments. By using fluorescent azapentalenes as molecular targets incorporated into sodium dodecyl sulfate (SDS) micelles, the second-order oxidation rate constants (k2) resulted in 1.15 × 102 and 1.10 × 104 M−1min−1 for GABA-Cl and GABAet-Cl, respectively. As expected, due to the presence of a bromine atom, GABAet-Br was even more reactive (4.50 × 106 M−1min−1). The ability of GABAet-Br to access hydrophobic sites was demonstrated by comparing the reaction rate using micelles generated by different surfactants such as SDS (4.5 × 106 M−1min−1), cetyltrimethylammonium chloride (CTAC, 2.5 × 104 M−1min−1), and triton X-100 (TX-100, 3.9 × 103 M−1min−1). GABAet-Cl and GABAet-Br exhibited higher bactericidal activity against Staphylococcus aureus and Escherichia coli, probably due to their increased lipophilicity and improved penetration into microorganisms compared to GABA-Cl and GABA-Br. The enhancement of the oxidation capacity by GABAet-Cl and GABAet-Br represents a new direction in the exploration and application of haloamines as antiseptic agents. Full article
Show Figures

Graphical abstract

14 pages, 1797 KB  
Article
Novel Discorhabdin Derivatives from Antarctic Sponges of the Genus Latrunculia: Expanding the Chemical Diversity of Polar Marine Natural Products
by Sam Afoullouss, Stine S. H. Olsen, Sydney Morrow, Ezequiel Cruz Rosa, Kaley Geu, Nerida G. Wilson and Bill J. Baker
Mar. Drugs 2025, 23(10), 401; https://doi.org/10.3390/md23100401 - 15 Oct 2025
Viewed by 3249
Abstract
In this study, three Antarctic sponges of the genus Latrunculia were investigated, leading to the isolation of five unreported pyrroloiminoquinone alkaloids along with the known metabolite (+)-debromodiscorhabdin A (3). Three of the new metabolites were brominated, while the other two were [...] Read more.
In this study, three Antarctic sponges of the genus Latrunculia were investigated, leading to the isolation of five unreported pyrroloiminoquinone alkaloids along with the known metabolite (+)-debromodiscorhabdin A (3). Three of the new metabolites were brominated, while the other two were found to have a C-5/C-8 sulfur bridge and a C-2/N-18 bridge. Three of the metabolites were shown to have a phenyl ketone substituent on C-14, not previously reported for discorhabdin derivatives. The cytotoxicity against the A549 cell lines was studied and compounds 14 showed activity of 4.3, 1.8, 1.0, and 23.9 µM, respectively, while no inhibition was found for 5 and 6. Full article
(This article belongs to the Section Structural Studies on Marine Natural Products)
Show Figures

Graphical abstract

17 pages, 28303 KB  
Article
Design and Synthesis of Marine-Inspired Itampolin A Derivatives to Overcome Chemoresistance in NSCLC via Cholesterol Homeostasis Modulation
by Hai-Ying Zhang, Shun-Chang Ji, Si-Hua Xie, Yu Chen, Cai-Xia Lin, Xu Huang, Yi-Qiao Wang, Jing-Wei Liang and Yan Liu
Mar. Drugs 2025, 23(9), 357; https://doi.org/10.3390/md23090357 - 15 Sep 2025
Viewed by 798
Abstract
Recent studies on brominated tyrosine-derived marine natural products have significantly expanded the library of known structures and revealed their potent and diverse antitumor mechanisms. Building upon our previous research on the natural product itampolin A isolated from marine sponges, we conducted structural optimizations [...] Read more.
Recent studies on brominated tyrosine-derived marine natural products have significantly expanded the library of known structures and revealed their potent and diverse antitumor mechanisms. Building upon our previous research on the natural product itampolin A isolated from marine sponges, we conducted structural optimizations and explored the structure–-activity relationships (SARs) of novel scaffold derivatives concerning their inhibitory activities against lung cancer cells. In the present study, we further synthesized 15 novel derivatives, and compound 4l demonstrated selective anti-proliferative activity against gefitinib-resistant PC9/GR cells, showing 4-fold greater potency compared to parental PC9 cells. Building on this finding, the present study aims to investigate the molecular mechanisms underlying the anti-proliferative effects of 4l in drug-resistant NSCLC models. Through cell cycle analysis, apoptosis assays, and signaling pathway evaluation, we seek to establish a theoretical foundation for developing novel therapeutic agents against chemotherapy-resistant lung cancer. Full article
(This article belongs to the Special Issue Bio-Active Components from Marine Sponge)
Show Figures

Figure 1

21 pages, 3429 KB  
Article
Novel Isoindigo-Based Organic Semiconductors End Capped with 1,1-Dicyanomethylene-3-Indanone: Effect of the Bromination and Position of Bromine Substituents on the Chemical–Physical and Electrical Properties
by Fabio Mocerino, Mario Barra, Fabio Borbone, Antonio Carella, Roberto Centore, Fabio Chiarella, Alessandro Landi and Andrea Peluso
Molecules 2025, 30(18), 3672; https://doi.org/10.3390/molecules30183672 - 9 Sep 2025
Viewed by 931
Abstract
We report here on the synthesis and characterization of three novel isoindigo (II)-based organic semiconductors. The three dyes are based on an electron acceptor II core, symmetrically linked to two 3-octylthiophene donor rings; this common fragment, easily synthesizable, is end-capped with three different [...] Read more.
We report here on the synthesis and characterization of three novel isoindigo (II)-based organic semiconductors. The three dyes are based on an electron acceptor II core, symmetrically linked to two 3-octylthiophene donor rings; this common fragment, easily synthesizable, is end-capped with three different auxiliary electron acceptor groups, 1,1-Dicyanomethylene-3-Indanone (IDM) and two derivatives of it, bearing a bromine atom in position 5 or 6 of the IDM ring. The effect of the bromination and of the position of the bromine atom on the chemical–physical and electrical properties of the compounds were examined by means of thermal, optical, and electrochemical analysis; the electronic properties were investigated in more details at the DFT level. The novel compounds were used as active layers in organic field effect transistors: all the II derivatives were n-type unipolar semiconductors with electron mobilities ranging between 10−3 and 10−4 cm2/V∙s. Full article
(This article belongs to the Section Materials Chemistry)
Show Figures

Graphical abstract

24 pages, 2706 KB  
Article
Functionalized Indolizines as Potential Anticancer Agents: Synthetic, Biological and In Silico Investigations
by Roxana Ciorteanu, Catalina Ionica Ciobanu, Narcis Cibotariu, Sergiu Shova, Vasilichia Antoci, Ionel I. Mangalagiu and Ramona Danac
Int. J. Mol. Sci. 2025, 26(17), 8368; https://doi.org/10.3390/ijms26178368 - 28 Aug 2025
Viewed by 1128
Abstract
Three new series of indolizines (5af, 6af and 7ag), functionalized with bromine or ethyl ester substituents on the pyridine ring, were designed and synthesized as promising anticancer agents. The synthesis of indolizine derivatives was [...] Read more.
Three new series of indolizines (5af, 6af and 7ag), functionalized with bromine or ethyl ester substituents on the pyridine ring, were designed and synthesized as promising anticancer agents. The synthesis of indolizine derivatives was carried out using the 1,3-dipolar cycloaddition of pyridinium N-ylides to ethyl propiolate as a key step. Spectral characterization (using NMR, FT-IR, HRMS and X-ray diffraction) showed that two types of cycloadducts 5af and 6af were obtained when the ylides generated by the 3-bromopyridinium salts were used as 1,3-dipoles in Huisgen cycloaddition reactions to ethyl propiolate. The anticancer effect of selected compounds was in vitro assessed against the National Cancer Institute (NCI) panel of 60 human tumor cells, at 10 μM concentration, with three compounds (5c, 6c and 7g) showing promising inhibitory activity on the growth of several cell lines including lung, brain, renal cancer and melanoma, as well as a cytotoxic effect against HOP-62 non-small cell lung cells (34% for compound 5c and 15% for compound 7g) and SNB-75 glioblastoma cells (15% for compound 5c and 14% for derivative 7c). Molecular docking revealed favorable binding affinities for 5c, 6c and 7g (–9.22 to –9.88 kcal/mol) at the colchicine-binding site of tubulin with key interactions involving βASN-258, βALA-317, and βLYS-352 residues for 5c, βASN-258 in case of 6c, and αVAL-181 and βLYS-254 for derivative 7g. According to the in silico ADMET analysis, the active compounds are predicted to exhibit good oral bioavailability, promising drug-like qualities and low toxicity risks. Full article
(This article belongs to the Section Molecular Pharmacology)
Show Figures

Graphical abstract

29 pages, 3993 KB  
Article
Ammonium Catecholaldehydes as Multifunctional Bioactive Agents: Evaluating Antimicrobial, Antioxidant, and Antiplatelet Activity
by Andrei V. Bogdanov, Roza G. Tagasheva, Alexandra Voloshina, Anna Lyubina, Olga Tsivileva, Artem N. Kuzovlev, Wang Yi, Aleksandr V. Samorodov, Guzel K. Ziyatdinova, Elnara R. Zhiganshina, Maxim V. Arsenyev and Sergey V. Bukharov
Int. J. Mol. Sci. 2025, 26(16), 7866; https://doi.org/10.3390/ijms26167866 - 14 Aug 2025
Viewed by 963
Abstract
A wide range of water-soluble quaternary ammonium acylhydrazones based on catecholaldehyde were synthesized and characterized using NMR, IR spectroscopy, and elemental analysis. The total antioxidant capacity of the acylhydrazones discussed herein was estimated via coulometric titration with electrogenerated bromine. Pyridinium derivatives 11a [...] Read more.
A wide range of water-soluble quaternary ammonium acylhydrazones based on catecholaldehyde were synthesized and characterized using NMR, IR spectroscopy, and elemental analysis. The total antioxidant capacity of the acylhydrazones discussed herein was estimated via coulometric titration with electrogenerated bromine. Pyridinium derivatives 11ae exhibited the highest antioxidant capacity. Quaternary ammonium acylhydrazones demonstrated high antimicrobial activity against Gram-positive bacteria, including methicillin-resistant Staphylococcus aureus strains. Furthermore, low hemo- and cytotoxicity and the absence of a negative effect on the hemostatic system were confirmed for the studied compounds. According to the results of a CV test, the antimicrobial effect of the most active acylhydrazones, namely, 9a, 10b, 10c, and 11a, is associated with the destruction of the bacterial cell wall. High or moderate activity against phytopathogens of bacterial origin was observed for all the acylhydrazones evaluated. Anti-aggregation activity was observed for compound 10b; the extent was 1.6-fold greater than that exhibited by acetylsalicylic acid. On the contrary, compound 9d exhibited a pro-aggregant effect (with a 6.3% increase in platelet aggregation and a >15% decrease in the latent period compared to the control). Thus, the data obtained can be considered the basis for further pharmaceutical development of these effective drugs with antithrombotic and hemostatic potential. Full article
(This article belongs to the Special Issue Biosynthesis and Application of Natural Compound)
Show Figures

Figure 1

Back to TopTop