Promising Anticancer Activity of Novel Hydroxyethyloxy and Bromo derivatives of Curcumin and Its Complexes with BF2
Abstract
1. Introduction
2. Results and Discussion
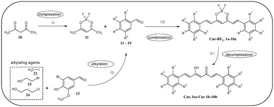
2.1. Synthesis
2.2. NMR Study
2.3. UV-Vis Study
2.4. X-Ray Diffraction Studies
2.5. Biological Activity of Tested Compounds
2.5.1. Structure–Activity Relationships for Curcuminoids with Methoxyl Groups
2.5.2. Structure–Activity Relationships for Curcuminoids and Bromo-Curcuminoids
2.5.3. Fluorescence Microscopic Analysis of Cell Death Induced by the Most Active Compounds
2.5.4. The Affinity of Studied Compounds Towards DNA
2.5.5. Tested Compounds Influence Reactive Oxygen Species Level in HCT-116 Cells
3. Materials and Methods
3.1. Materials
3.1.1. Reagents Used for In Vitro Experiments
3.1.2. Cell Lines
3.2. Synthesis
3.2.1. Aldehyde Synthesis–General Procedure
3-Bromo-4,5-dimethoxybenzaldehyde (17) ESI [M + H]+ m/z 244.98
3-Bromo-4-(2-hydroxyethoxy)-5-methoxybenzaldehyde (18) ESI [M + H]+ m/z 274.99
3-Bromo-4-(3-hydroxypropoxy)-5-methoxybenzaldehyde (19) ESI [M + H]+ m/z 289.00
3.2.2. Curcuminoids Synthesis
3.3. HPLC Purity and Chromatographic Conditions for Determining the Purity of the Tested Compounds
3.4. Single Crystal X-Ray Diffraction Studies
3.5. Biological Studies
3.5.1. MTT Assay for Measuring Cell Viability
3.5.2. The Fluorescent Microscopy of HCT-116 Cells
3.5.3. Methyl Green Displacement Assay
3.5.4. DHE Staining of HCT-116 Cells
3.5.5. Diphenylamine Assay
4. Conclusions
Supplementary Materials
Author Contributions
Funding
Data Availability Statement
Acknowledgments
Conflicts of Interest
References
- Kuzminska, J.; Szyk, P.; Mlynarczyk, D.T.; Bakun, P.; Muszalska-Kolos, I.; Dettlaff, K.; Sobczak, A.; Goslinski, T.; Jelinska, A. Curcumin Derivatives in Medicinal Chemistry: Potential Applications in Cancer Treatment. Molecules 2024, 29, 5321. [Google Scholar] [CrossRef] [PubMed]
- Zintle, M.; Khwaza, V.; Blessing, A.A. Curcumin and Its Derivative agents in Prostate, Colon and Breast Cancers. Molecules 2019, 24, 4386–4409. [Google Scholar]
- Idoudi, S.; Bedhiafi, T.; Hijji, Y.M.; Billa, N. Curcumin and Derivatives in Nanoformulations with Therapeutic Potential on Colorectal Cancer. AAPS PharmSciTech 2022, 23, 115. [Google Scholar] [CrossRef]
- Karatayli, E.; Sadiq, S.C.; Schattenberg, J.M.; Grabbe, S.; Biersack, B.; Kaps, L. Curcumin and Its Derivatives in Hepatology: Therapeutic Potential and Advances in Nanoparticle Formulations. Cancers 2025, 17, 484. [Google Scholar] [CrossRef]
- Mari, M.; Carrozza, D.; Ferrari, E.; Asti, M. Applications of radiolabelled curcumin and its derivatives in medicinal chemistry. Int. J. Mol. Sci. 2021, 22, 7410. [Google Scholar] [CrossRef]
- Lazewski, D.; Kucinska, M.; Potapskiy, E.; Kuzminska, J.; Popenda, L.; Tezyk, A.; Goslinski, T.; Wierzchowski, M.; Murias, M. Enhanced Cytotoxic Activity of PEGylated Curcumin Derivatives: Synthesis, Structure–Activity Evaluation, and Biological Activity. Int. J. Mol. Sci. 2023, 24, 1467. [Google Scholar] [CrossRef]
- Tomeh, M.A.; Hadianamrei, R.; Zhao, X. A review of curcumin and its derivatives as anticancer agents. Int. J. Mol. Sci. 2019, 20, 1033. [Google Scholar] [CrossRef]
- Komal, K.; Chaudhary, S.; Yadav, P.; Pramanik, R.; Singh, M. The therapeutic and preventive efficacy of curcumin and its derivatives in esophageal cancer. Asian Pac. J. Cancer Prev. 2019, 20, 1329–1337. [Google Scholar] [CrossRef] [PubMed][Green Version]
- Alhasawi, M.A.I.; Aatif, M.; Muteeb, G.; Alam, M.W.; El Oirdi, M.; Farhan, M. Curcumin and Its Derivatives Induce Apoptosis in Human Cancer Cells by Mobilizing and Redox Cycling Genomic Copper Ions. Molecules 2022, 27, 7410. [Google Scholar] [CrossRef] [PubMed]
- Abadi, A.J.; Mirzaei, S.; Mahabady, M.K.; Hashemi, F.; Zabolian, A.; Hashemi, F.; Raee, P.; Aghamiri, S.; Ashrafizadeh, M.; Aref, A.R.; et al. Curcumin and its derivatives in cancer therapy: Potentiating antitumor activity of cisplatin and reducing side effects. Phytother. Res. 2022, 36, 189–213. [Google Scholar] [CrossRef]
- Kaur, K.; Al-Khazaleh, A.K.; Bhuyan, D.J.; Li, F.; Li, C.G. A Review of Recent Curcumin Analogues and Their Antioxidant, Anti-Inflammatory, and Anticancer Activities. Antioxidants 2024, 13, 1092. [Google Scholar] [CrossRef]
- Liu, K.; Chen, J.; Chojnacki, J.; Zhang, S. BF3·OEt2-promoted concise synthesis of difluoroboron-derivatized curcumins from aldehydes and 2,4-pentanedione. Tetrahedron Lett. 2013, 54, 2070–2073. [Google Scholar] [CrossRef] [PubMed]
- Abonia, R.; Laali, K.K.; Somu, D.R.; Bunge, S.D.; Wang, E.C. A Flexible Strategy for Modular Synthesis of Curcuminoid-BF2/Curcuminoid Pairs and Their Comparative Antiproliferative Activity in Human Cancer Cell Lines. ChemMedChem 2020, 15, 354–362. [Google Scholar] [CrossRef] [PubMed]
- Laali, K.K.; Rathman, B.M.; Bunge, S.D.; Qi, X.; Borosky, G.L. Fluoro-curcuminoids and curcuminoid-BF2 adducts: Synthesis, X-ray structures, bioassay, and computational/docking study. J. Fluor. Chem. 2016, 191, 29–41. [Google Scholar] [CrossRef]
- Kim, J.Y.; Kang, Y.Y.; Kim, E.J.; Ahn, J.-H.; Mok, H. Effects of curcumin-/boron-based compound complexation on antioxidant and antiproliferation activity. Appl. Biol. Chem. 2018, 61, 403–408. [Google Scholar] [CrossRef]
- Potapskyi, E.; Kustrzyńska, K.; Łażewski, D.; Skupin-Mrugalska, P.; Lesyk, R.; Wierzchowski, M. Introducing bromine to the molecular structure as a strategy for drug design. J. Med. Sci. 2024, 93, e1128. [Google Scholar] [CrossRef]
- Nagargoje, A.A.; Deshmukh, T.R.; Shaikh, M.H.; Khedkar, V.M.; Shingate, B.B. Anticancer perspectives of monocarbonyl analogs of curcumin: A decade (2014–2024) review. Arch. Pharm. 2024, 357, e2400197. [Google Scholar] [CrossRef]
- Hatamipour, M.; Hadizadeh, F.; Jaafari, M.R.; Khashyarmanesh, Z.; Sathyapalan, T.; Sahebkar, A. Anti-Proliferative Potential of Fluorinated Curcumin Analogues: Experimental and Computational Analysis and Review of the Literature. Curr. Med. Chem. 2022, 29, 1459–1471. [Google Scholar] [CrossRef]
- Khan, T.A.; Koko, W.S.; Al Nasr, I.S.; Schobert, R.; Biersack, B. Activity of Fluorinated Curcuminoids against Leishmania major and Toxoplasma gondii Parasites. Chem. Biodivers. 2021, 18, e2100381. [Google Scholar] [CrossRef]
- Kuźmińska, J.; Kobyłka, P.; Wierzchowski, M.; Łażewski, D.; Popenda, Ł.; Szubska, P.; Jankowska, W.; Jurga, S.; Goslinski, T.; Muszalska-Kolos, I.; et al. Novel fluorocurcuminoid-BF2 complexes and their unlocked counterparts as potential bladder anticancer agents—synthesis, physicochemical characterization, and in vitro anticancer activity. J. Mol. Struct. 2023, 1283, 135269. [Google Scholar] [CrossRef]
- Kumar, R.; Gullapalli, R.R. High Throughput Screening Assessment of Reactive Oxygen Species (ROS) Generation using Dihydroethidium (DHE) Fluorescence Dye. J. Vis. Exp. 2024, 203, e66238. [Google Scholar] [CrossRef] [PubMed]
- Dolomanov, O.V.; Bourhis, L.J.; Gildea, R.J.; Howard, J.A.K.; Puschmann, H. OLEX2: A complete structure solution, refinement and analysis program. J. Appl. Cryst. 2009, 42, 339–341. [Google Scholar] [CrossRef]
- Sheldrick, G.M. Crystal structure refinement with SHELXL. Acta Crystallogr. Sect. C Struct. Chem. 2015, 71, 3–8. [Google Scholar] [CrossRef]
- Macrae, C.F.; Bruno, I.J.; Chisholm, J.A.; Edgington, P.R.; McCabe, P.; Pidcock, E.; Rodriguez-Monge, L.; Taylor, R.; Van De Streek, J.; Wood, P.A. Mercury CSD 2.0—New features for the visualization and investigation of crystal structures. J. Appl. Crystallogr. 2008, 41, 466–470. [Google Scholar] [CrossRef]
- Ivasechko, I.; Lozynskyi, A.; Senkiv, J.; Roszczenko, P.; Kozak, Y.; Finiuk, N.; Klyuchivska, O.; Kashchak, N.; Manko, N.; Maslyak, Z.; et al. Molecular design, synthesis and anticancer activity of new thiopyrano [2,3-d] thiazoles based on 5-hydroxy-1,4-naphthoquinone (juglone). Eur. J. Med. Chem. 2023, 252, 115304. [Google Scholar] [CrossRef]
- Arora, S.; Tandon, S. DNA fragmentation and cell cycle arrest: A hallmark of apoptosis induced by Ruta graveolens in human colon cancer cells. Homeopathy 2015, 104, 36–47. [Google Scholar] [CrossRef]















| Compounds | Aromatic Ring Substituents (Positions) | ||||
|---|---|---|---|---|---|
| R1 (pos. 2) | R2 (pos. 3) | R3 (pos. 4) | R4 (pos. 5) | R5 (pos.6) | |
| 11 | -H | -H | -OH | -OCH3 | -H |
| 12 | -H | -H | -OCH3 | -OH | -H |
| 13 | -H | -Br | -OH | -OCH3 | -H |
| 14 | -Br | -H | -OCH3 | -OH | -H |
| 15 | -H | -OCH3 | -OCH3 | -OCH3 | -H |
| 16 | -H | -OCH3 | -OH | -OCH3 | -H |
| 17 | -H | -Br | -OCH3 | -OCH3 | -H |
| 18 | -H | -Br | -O(CH2)2OH | -OCH3 | -H |
| 19 | -H | -Br | -O(CH2)3OH | -OCH3 | -H |
| 1a, 1b | -H | -Br | -OH | -OCH3 | -H |
| 2a, 2b | -H | -Br | -O(CH2)2OH | -OCH3 | -H |
| 3a, 3b | -H | -Br | -OCH3 | -OCH3 | -H |
| 4a, 4b | -Br | -H | -OCH3 | -OH | -H |
| 5a, 5b | -H | -Br | -O(CH2)3OH | -OCH3 | -H |
| 6a, 6b | -H | -OCH3 | -OCH3 | -OCH3 | -H |
| 7a, 7b | -H | -OCH3 | -OH | -OCH3 | -H |
| 8a, 8b | -OCH3 | -H | -OCH3 | -H | -OCH3 |
| 9a, 9b | -H | -OCH3 | -H | -OCH3 | -H |
| 10a, 10b | -OCH3 | -H | -OCH3 | -H | -H |
| Cur-BF2, Cur | -H | -H | -OH | -OCH3 | -H |
| Iso-Cur | -H | -OH | -OCH3 | -H | -H |
| Crystal Data | |
|---|---|
| Chemical formula | C25H27BF2O8 |
| Mr | 504.27 |
| Crystal system, space group | Monoclinic, P21/c |
| Temperature (K) | 100.0(1) |
| a, b, c (Å) | 15.8025(3), 7.6000(1), 20.1625(3) |
| α, β, γ (°) | 90.0, 99.795(2), 90.0 |
| V (Å3) | 2386.20(7) |
| Z | 4 |
| Radiation type | Mo Kα |
| μ (mm−1) | 0.113 |
| Crystal size (mm) | 0.4 × 0.4 × 0.3 |
| Data collection | |
| Diffractometer | Xcalibur, Eos four-circle diffractometer |
| Absorption correction | Multi-scan CrysAlisPro 1.171.43.93a (Rigaku Oxford Diffraction, 2023). Empirical absorption correction using spherical harmonics, implemented in SCALE3 ABSPACK scaling algorithm. |
| Tmin, Tmax | 0.972, 1.000 |
| No. of measured, independent and observed [I > 2σ(I)] reflections | 9256, 5038, 4632 |
| Rint | 0.019 |
| (sin θ/λ)max (Å−1) | 0.634 |
| Refinement | |
| R[F2 > 2σ(F2)], wR(F2), S | 0.034, 0.085, 1.046 |
| No. of reflections | 4632 |
| No. of parameters | 332 |
| H-atom treatment | H-atom parameters constrained |
| Δ⟩max, Δ⟩min (e Å−3) | 0.25, −0.21 |
| Compound | Parameter IC50 [µM] | |||||||
|---|---|---|---|---|---|---|---|---|
| Cell Line Type | ||||||||
| BA/F3 wt | BA/F3 Calr del52 | BA/F3 Calr ins5 | K562 | Jurkat | HCT-116 | MDA-MB-231 | Balb/3T3 | |
| Cur-BF2 | 0.65 ± 0.09 | 0.65 ± 0.09 | 0.52 ± 0.09 | 3.00 ± 0.53 | 0.57 ± 0.09 | 0.62 ± 0.09 | 6.09 ± 0.06 | 36.82 ± 0.36 |
| Cur | 26.36 ± 0.83 | 13.54 ± 1.72 | 28.57 ± 0.96 | 27.76 ± 0.06 | 5.08 ± 0.72 | 6.96 ± 0.15 | 27.58 ± 0.08 | 36.99 ± 0.85 |
| Iso-Cur | 5.32 ± 0.76 | 6.46 ± 0.57 | 7.13 ± 0.12 | 8.20 ± 0.38 | 6.14 ± 0.41 | 5.31 ± 0.57 | 5.05 ± 0.52 | 26.20 ± 3.45 |
| 1a | 11.03 ± 0.57 | 21.68 ± 2.61 | 7.05 ± 0.72 | 24.22 ± 2.01 | 5.35 ± 0.81 | 4.71 ± 0.75 | 30.27 ± 0.69 | 36.19 ± 0.11 |
| 1b | 33.90 ± 2.10 | 34.25 ± 1.64 | 37.03 ± 2.79 | 39.15 ± 1.97 | 36.91 ± 0.38 | 21.94 ± 0.20 | 30.45 ± 0.68 | 38.07 ± 0.35 |
| 2a | 0.52 ± 0.09 | 0.49 ± 0.08 | 0.48 ± 0.08 | 3.84 ± 0.65 | 0.66 ± 0.09 | 1.70 ± 0.21 | 4.17 ± 0.55 | 35.30 ± 0.06 |
| 2b | 5.69 ± 0.06 | 5.78 ± 0.02 | 5.90 ± 0.04 | 6.38 ± 0.11 | 5.87 ± 0.37 | 4.10 ± 0.61 | 5.09 ± 0.24 | 35.06 ± 0.54 |
| 3a | 6.13 ± 0.07 | 5.84 ± 0.02 | 5.89 ± 0.04 | 5.46 ± 0.53 | 5.70 ± 0.66 | 5.73 ± 0.16 | 4.86 ± 0.40 | 36.95 ± 0.16 |
| 3b | >50 | >50 | >50 | 33.01 ± 0.29 | 37.04 ± 1.29 | 12.83 ± 1.54 | >50 | >50 |
| 4a | 6.18 ± 0.08 | 5.52 ± 0.01 | 5.91 ± 0.04 | 5.97 ± 0.04 | 2.36 ± 0.40 | 4.11 ± 0.62 | 4.90 ± 0.30 | 31.93 ± 1.75 |
| 4b | 34.43 ± 1.80 | 33.92 ± 1.24 | 22.56 ± 0.47 | 35.01 ± 2.05 | 36.80 ± 1.98 | 27.00 ± 0.22 | 27.25 ± 0.59 | 37.62 ± 0.18 |
| 5a | 5.93 ± 0.05 | 3.53 ± 0.58 | 5.83 ± 0.03 | 5.93 ± 0.04 | 3.95 ± 0.70 | 3.51 ± 0.60 | 5.97 ± 0.06 | 36.19 ± 4.19 |
| 5b | 29.82 ± 0.14 | 5.74 ± 0.02 | 7.51 ± 0.33 | 6.21 ± 0.08 | 6.98 ± 0.18 | 0.89 ± 0.06 | 6.14 ± 0.07 | 38.68 ± 0.03 |
| 6a | 0.49 ± 0.08 | 0.50 ± 0.09 | 0.52 ± 0.09 | 2.97 ± 0.53 | 0.53 ± 0.09 | 0.70 ± 0.09 | 5.13 ± 0.49 | 29.70 ± 2.37 |
| 6b | 6.43 ± 0.08 | 5.63 ± 0.41 | 4.17 ± 0.63 | 7.05 ± 0.71 | 6.16 ± 0.03 | 0.62 ± 0.09 | 7.89 ± 0.45 | 20.88 ± 3.84 |
| 7a | 4.35 ± 0.59 | 5.51 ± 0.18 | 6.26 ± 0.07 | 5.80 ± 0.13 | 3.79 ± 0.75 | 2.39 ± 0.40 | 5.26 ± 0.33 | 35.04 ± 2.95 |
| 7b | 36.59 ± 2.52 | 31.97 ± 1.12 | 34.38 ± 2.52 | 39.12 ± 3.24 | 24.73 ± 0.09 | 17.84 ± 0.05 | 32.21 ± 0.81 | 42.29 ± 0.94 |
| 8a | >50 | >50 | 37.48 ± 3.49 | >50 | >50 | >50 | >50 | >50 |
| 8b | >50 | >50 | >50 | >50 | >50 | >50 | >50 | >50 |
| 9a | 0.49 ± 0.08 | 0.50 ± 0.09 | 0.48 ± 0.08 | 0.65 ± 0.09 | 0.58 ± 0.09 | 0.53 ± 0.09 | 0.87 ± 0.06 | 40.03 ± 0.29 |
| 9b | 22.16 ± 0.17 | 35.05 ± 2.38 | 26.69 ± 0.16 | 7.06 ± 0.71 | 7.37 ± 0.23 | 4.96 ± 0.40 | 13.79 ± 1.95 | 32.91 ± 5.69 |
| 10a | >50 | >50 | >50 | >50 | >50 | >50 | >50 | >50 |
| 10b | >50 | >50 | 48.84 ± 0.26 | >50 | 37.14 ± 2.34 | 30.71 ± 0.67 | >50 | >50 |
| Doxorubicin | 0.55 ± 0.03 | 0.54 ± 0.01 | 0.55 ± 0.02 | 0.62 ± 0.02 | 0.51 ± 0.16 | 0.60 ± 0.03 | 0.72 ± 0.02 | 0.73 ± 0.02 |
| Time [min] | Phase A [%] | Phase B [%] |
|---|---|---|
| 0 | 10 | 90 |
| 10 | 30 | 70 |
| 13 | 50 | 50 |
| 15 | 10 | 90 |
Disclaimer/Publisher’s Note: The statements, opinions and data contained in all publications are solely those of the individual author(s) and contributor(s) and not of MDPI and/or the editor(s). MDPI and/or the editor(s) disclaim responsibility for any injury to people or property resulting from any ideas, methods, instructions or products referred to in the content. |
© 2025 by the authors. Licensee MDPI, Basel, Switzerland. This article is an open access article distributed under the terms and conditions of the Creative Commons Attribution (CC BY) license (https://creativecommons.org/licenses/by/4.0/).
Share and Cite
Potapskyi, E.; Lazewski, D.; Myszkiewicz, J.; Korzańska, G.; Kuzminska, J.; Popenda, Ł.; Korzański, A.; Zgoła-Grześkowiak, A.; Gielara-Korzańska, A.; Chmaj-Wierzchowska, K.; et al. Promising Anticancer Activity of Novel Hydroxyethyloxy and Bromo derivatives of Curcumin and Its Complexes with BF2. Molecules 2025, 30, 4609. https://doi.org/10.3390/molecules30234609
Potapskyi E, Lazewski D, Myszkiewicz J, Korzańska G, Kuzminska J, Popenda Ł, Korzański A, Zgoła-Grześkowiak A, Gielara-Korzańska A, Chmaj-Wierzchowska K, et al. Promising Anticancer Activity of Novel Hydroxyethyloxy and Bromo derivatives of Curcumin and Its Complexes with BF2. Molecules. 2025; 30(23):4609. https://doi.org/10.3390/molecules30234609
Chicago/Turabian StylePotapskyi, Eduard, Dawid Lazewski, Julian Myszkiewicz, Gabriela Korzańska, Joanna Kuzminska, Łukasz Popenda, Artur Korzański, Agnieszka Zgoła-Grześkowiak, Agnieszka Gielara-Korzańska, Karolina Chmaj-Wierzchowska, and et al. 2025. "Promising Anticancer Activity of Novel Hydroxyethyloxy and Bromo derivatives of Curcumin and Its Complexes with BF2" Molecules 30, no. 23: 4609. https://doi.org/10.3390/molecules30234609
APA StylePotapskyi, E., Lazewski, D., Myszkiewicz, J., Korzańska, G., Kuzminska, J., Popenda, Ł., Korzański, A., Zgoła-Grześkowiak, A., Gielara-Korzańska, A., Chmaj-Wierzchowska, K., Finiuk, N., Kozak, Y., Ivasechko, I., Stoika, R., Lesyk, R., & Wierzchowski, M. (2025). Promising Anticancer Activity of Novel Hydroxyethyloxy and Bromo derivatives of Curcumin and Its Complexes with BF2. Molecules, 30(23), 4609. https://doi.org/10.3390/molecules30234609

