Sign in to use this feature.

Years

Between: -

Subjects

remove_circle_outline
remove_circle_outline
remove_circle_outline
remove_circle_outline
remove_circle_outline
remove_circle_outline
remove_circle_outline
remove_circle_outline
remove_circle_outline

Journals

Article Types

Countries / Regions

Search Results (175)

Search Parameters:
Keywords = bituminous mixture

Order results
Result details
Results per page
Select all
Export citation of selected articles as:
16 pages, 5371 KB  
Article
Evaluation of Workability and Crack Resistance of Recycled Plastic Asphalt Mixtures
by Haosen Jing, Riccardo Monticelli, Claudia Graiff, Laura Bergamonti, Elena Romeo and Gabriele Tebaldi
Polymers 2025, 17(21), 2840; https://doi.org/10.3390/polym17212840 - 24 Oct 2025
Viewed by 174
Abstract
To address the global plastic crisis, recycled plastics from food packaging were used as road materials by the dry method for practical application research. First, the main components of the recycled plastics were identified based on FTIR, and their thermal stability was evaluated [...] Read more.
To address the global plastic crisis, recycled plastics from food packaging were used as road materials by the dry method for practical application research. First, the main components of the recycled plastics were identified based on FTIR, and their thermal stability was evaluated through DSC, TG, and microscopic analysis. Then, the workability of the plastic–asphalt mixture was evaluated using the gyratory compaction indicator, void content, and compaction energy index (CEI). Finally, the effect of reused plastics on the cracking resistance of bituminous mixtures was examined with the Superpave IDT test. The results indicate that recycled plastics from food packaging are polyolefin composite materials, primarily consisting of Low-Density Polyethylene (LDPE), Linear Low-Density Polyethylene (LLDPE), High-Density Polyethylene (HDPE), and Polypropylene (PP), and that their thermal stability meets production requirements. Good compaction performance was observed with plastic content below 2% of the aggregate weight, while higher contents reduced void content due to the space occupied by plastics. When the plastic content increased from 0.5% to 2.0%, creep compliance decreased from 68.4% to 77.87%, while the m-value, tensile strength, and elastic energy maximum decreased by 30.77%, 5.6%, and 7%, respectively. In contrast, the failure strain, fracture energy, and maximum DSCE increased by 25.86%, 87.43%, and 133.05%, respectively. The recycled plastic enhanced the toughness of the asphalt mixture, increasing the dissipated energy during crack propagation and improving its resistance to permanent deformation. Moreover, the plastics hindered crack propagation through a bridging effect, leading to fewer cracks within plastic zones compared with surrounding areas. This study provides actionable guidance for the application of composite plastics in asphalt pavements and supports their sustainable development. Full article
(This article belongs to the Section Circular and Green Sustainable Polymer Science)
Show Figures

Figure 1

19 pages, 2193 KB  
Article
Recycling of Cement-Based and Biomass Ashes Waste Powders as Alternative Fillers for Hot Mix Asphalts: A Preliminary Laboratory Evaluation
by Piergiorgio Tataranni, Giulia Tarsi, Yunfei Guo, Paolino Caputo, Manuel De Rose, Cesare Oliviero Rossi and Rosolino Vaiana
Sustainability 2025, 17(19), 8799; https://doi.org/10.3390/su17198799 - 30 Sep 2025
Viewed by 372
Abstract
The construction sector has a prominent role in raw materials consumption and environmental depletion due to waste and emissions connected to the production of construction materials and construction/demolition operations. Thus, research is pushing to develop sustainable construction materials, mainly recycling waste and by-products. [...] Read more.
The construction sector has a prominent role in raw materials consumption and environmental depletion due to waste and emissions connected to the production of construction materials and construction/demolition operations. Thus, research is pushing to develop sustainable construction materials, mainly recycling waste and by-products. Following this trend, the present study explores the possible use of two different blends of cement-based waste powder and biomass ashes as filler for the production of asphalt concretes. The materials have been tested following the EN 13043 standard requirements for fillers for bituminous mixtures. Still, the basic performances of hot mix asphalts produced with the recycled materials have been evaluated on a laboratory scale. The physical, chemical, and mechanical characterization of the waste fillers and the bituminous mixtures showed advantages and downsides in the use of the recycled powders for hot mix asphalt production. Despite final performances in line with traditional hot mix asphalt, the chemical composition of the proposed fillers has a negative influence mainly on the water susceptibility of the mixture. However, the findings of the study open new perspectives on future possible applications of the recycled fillers in the road pavements sector. Full article
Show Figures

Figure 1

41 pages, 7520 KB  
Article
Modification Mechanism of Multipolymer Granulated Modifiers and Their Effect on the Physical, Rheological, and Viscoelastic Properties of Bitumen
by Yao Li, Ke Chao, Qikai Li, Kefeng Bi, Yuanyuan Li, Dongliang Kuang, Gangping Jiang and Haowen Ji
Materials 2025, 18(17), 4182; https://doi.org/10.3390/ma18174182 - 5 Sep 2025
Viewed by 819
Abstract
Polymer-modified bitumen is difficult to produce and often separates during storage and transport. In contrast, granular bitumen modifiers offer wide applicability, construction flexibility, and ease of transport and storage. This study involved preparing a multipolymer granulated bitumen modifier with a styrene–butadiene–styrene block copolymer, [...] Read more.
Polymer-modified bitumen is difficult to produce and often separates during storage and transport. In contrast, granular bitumen modifiers offer wide applicability, construction flexibility, and ease of transport and storage. This study involved preparing a multipolymer granulated bitumen modifier with a styrene–butadiene–styrene block copolymer, polyethylene, and aromatic oil. To elucidate the modification mechanism of a multipolymer granulated bitumen modifier on bitumen, the elemental composition of bitumen A and B, the micro-morphology of the modifiers, the changes in functional groups, and the distribution state of the polymers in the bitumen were investigated using an elemental analyzer, a scanning electron microscope, Fourier-transform infrared spectroscopy, and fluorescence microscopy. The effects of the multipolymer granulated bitumen modifier on the physical, rheological, and viscoelastic properties of two types of base bituminous binders were investigated at various dosages. The test results show that the ZH/C ratio of base bitumen A is smaller than that of base bitumen B and that the cross-linking effect with the polymer is optimal. Therefore, the direct-feed modified asphalt of A performs better than the direct-feed modified asphalt of B under the same multipolymer granulated bitumen modifier content. The loose, porous surface structure of styrene–butadiene–styrene block copolymer promotes the adsorption of light components in bitumen, and the microstructure of the multipolymer granulated bitumen modifier is highly coherent. When the multipolymer granulated bitumen modifier content is 20%, the physical, rheological, and viscoelastic properties of the direct-feed modified asphalt of A/direct-feed modified asphalt of B and the commodity styrene–butadiene–styrene block copolymer are essentially identical. While the multipolymer granulated bitumen modifier did not significantly improve the performance of bitumen A/B at contents greater than 20%, the mass loss rate of the direct-feed modified asphalt of A to aggregate stabilized, and the adhesion effect reached stability. Image processing determined the optimum mixing temperature and time for multipolymer granulated bitumen modifier and aggregate to be 185–195 °C and 80–100 s, respectively, at which point the dispersion homogeneity of the multipolymer granulated bitumen modifier in the mixture was at its best. The dynamic stability, fracture energy, freeze–thaw splitting strength ratio, and immersion residual stability of bitumen mixtures were similar to those of commodity styrene–butadiene–styrene block copolymers with a 20% multipolymer granulated bitumen modifier mixing amount, which was equivalent to the wet method. The styrene–butadiene–styrene block copolymer bitumen mixture reached the same technical level. Full article
(This article belongs to the Section Construction and Building Materials)
Show Figures

Figure 1

17 pages, 1543 KB  
Article
Valorization of Agricultural Wastes into Environmentally Sustainable Asphalt Binders
by Paolino Caputo, Valentina Gargiulo, Pietro Calandra, Valeria Loise, Luciana Cimino, Claudio Clemente, Aliya Kenzhegaliyeva, Yerdos Ongarbayev, Cesare Oliviero Rossi, Mikołaj Pochilskj, Jacek Gapinski and Michela Alfè
Molecules 2025, 30(17), 3473; https://doi.org/10.3390/molecules30173473 - 23 Aug 2025
Viewed by 743
Abstract
The use of solid products deriving from the pyrolysis of wastes as potential substitute of traditional binders in asphalt preparation is investigated with the final goal of reducing production costs, preserving non-renewable resources, and promoting an effective resource use as well as recovery [...] Read more.
The use of solid products deriving from the pyrolysis of wastes as potential substitute of traditional binders in asphalt preparation is investigated with the final goal of reducing production costs, preserving non-renewable resources, and promoting an effective resource use as well as recovery and recycling procedures, thus implementing a regenerative circular economy approach. Char derived from the pyrolysis of agricultural and aquaculture wastes has been explored as a novel alternative additive for asphalt production. Different feedstocks were used for the preparation of biochar by pyrolysis. The produced char samples, after an in-depth chemical and structural characterization, have been implemented in the preparation of asphalt mixtures, with their potential use as a binder evaluated by performing conventional rheological tests. To evaluate the potential anti-aging effect of char as an additive, bituminous formulations containing 3 to 6 wt.% char were subjected to short-term simulated aging using the Rolling Thin-Film Oven Test (RTFOT) method. The resulting mechanical properties were then assessed. The results indicate that the all the tested char samples have limited modifying properties towards the gel-to-sol transition temperature. Among the samples, lemon peel-derived char (LP-char) showed superior antioxidant properties against bitumen oxidative aging. This study suggests that certain chemical characteristics can serve as predictive indicators of antioxidant activity in biochars produced from biomass pyrolysis. Full article
(This article belongs to the Collection Recycling of Biomass Resources: Biofuels and Biochemicals)
Show Figures

Figure 1

28 pages, 3804 KB  
Article
Sustainable Management of Bottom Ash and Municipal Sewage Sludge as a Source of Micronutrients for Biomass Production
by Jacek Antonkiewicz, Beata Kołodziej, Maja Bryk, Magdalena Kądziołka, Robert Pełka and Tilemachos Koliopoulos
Sustainability 2025, 17(16), 7493; https://doi.org/10.3390/su17167493 - 19 Aug 2025
Viewed by 602
Abstract
Sustainable waste management is one of the most serious global challenges today. Reusing waste materials can be an effective alternative to landfill, while recovering valuable nutrients. The purpose of this six-year field study was to investigate the potential of bottom ash from combustion [...] Read more.
Sustainable waste management is one of the most serious global challenges today. Reusing waste materials can be an effective alternative to landfill, while recovering valuable nutrients. The purpose of this six-year field study was to investigate the potential of bottom ash from combustion of bituminous coal or biomass and municipal sewage sludge, and different doses of the waste mixtures, as a micronutrient source for plants. Yield, concentration, concentration index, uptake and simplified balance of the micronutrients (manganese, iron, molybdenum, cobalt, aluminium) in plant biomass were measured. Results showed that the wastes differently affected the parameters studied, which generally increased via treatment as follows: coal ash, biomass ash < coal or biomass ash mixtures with sewage sludge < sewage sludge. Irrespective of treatment, micronutrient recovery rate followed the following trend: Mn > Mo > Fe > Co > Al, from 0.32–25.82% for Mn to 0.04–0.28% for Al. For individual elements, recovery depended on waste. For Mn, Fe and Al, the application of ash separately or in mixtures with sludge at higher doses reduced recovery (0.04–0.78%). For Mn, Fe, Al and Mo, the application of ash–sludge mixtures at lower doses increased recovery (0.11–5.82%), with the highest recoveries when sludge was used separately (0.28–25.82%). For Co, the separate application of sewage sludge and ash–sludge mixture at the lower dose increased recovery (2.41–2.52%), with the highest Co recovery following the separate application of coal ash (2.78%). Ash, sludge and their mixtures were a valuable source of micronutrients for plants. Ash–sludge mixtures improved micronutrient uptake compared to ash used separately. Application of these wastes as fertilisers aligns with the EU Action Plan on the Circular Economy and can contribute to achieving SDGs 2 and 12. Full article
(This article belongs to the Special Issue Organic Matter Degradation, Biomass Conversion and CO2 Reduction)
Show Figures

Figure 1

14 pages, 1685 KB  
Article
Targeted LC-MS Orbitrap Method for the Analysis of Azaarenes, and Nitrated and Oxygenated PAHs in Road Paving Emissions
by Maria Bou Saad, Sylvain Ravier, Amandine Durand, Brice Temime-Roussel, Vincent Gaudefroy, Audrey Pevere, Henri Wortham and Pierre Doumenq
Molecules 2025, 30(16), 3397; https://doi.org/10.3390/molecules30163397 - 16 Aug 2025
Viewed by 716
Abstract
Polycyclic aromatic hydrocarbon (PAH) derivatives, specifically azaarenes and nitrated and oxygenated PAHs, are emerging contaminants of concern due to their increased toxicity and persistence compared to the parent PAHs. Despite their toxicity, their simultaneous analysis in complex matrices, such as in fumes emitted [...] Read more.
Polycyclic aromatic hydrocarbon (PAH) derivatives, specifically azaarenes and nitrated and oxygenated PAHs, are emerging contaminants of concern due to their increased toxicity and persistence compared to the parent PAHs. Despite their toxicity, their simultaneous analysis in complex matrices, such as in fumes emitted from bituminous mixtures, remains challenging due to limitations of conventional analytical techniques. To address this, an advanced methodology was developed using Ultra-High-Performance Liquid Chromatography coupled with High-Resolution Mass Spectrometry (UHPLC-HRMS Orbitrap Eclipse) equipped with an APCI source for the simultaneous identification and quantification of 14 PAH derivatives. Chromatographic and ionization parameters were optimized to ensure maximum sensitivity and selectivity. Following ICH Q2(R2) guidelines, the method was validated, demonstrating excellent linearity (R2 > 0.99), high mass accuracy (≤5 ppm), strong precision (<15%), and excellent sensitivity. Limits of detection (LODs) ranged from 0.1 µg L−1 to 0.6 µg L−1 and limits of quantification (LOQs) ranged from 0.26 µg L−1 to 1.87 µg L−1. The validated method was successfully applied to emissions from asphalt pavement materials collected on quartz filters under controlled conditions, enabling the identification and quantification of all 14 targeted compounds. These results confirm the method’s robustness and suitability for trace-level analysis of PAH derivatives in complex environmental matrices. Full article
Show Figures

Figure 1

20 pages, 3125 KB  
Article
Study on the Influence of Multiple Factors on the CH4/CO2 Adsorption Selective Prediction Model in Coal
by Min Yan, Cheng Wang, Haifei Lin, Pengfei Ji, Shugang Li and Huilin Jia
Processes 2025, 13(6), 1757; https://doi.org/10.3390/pr13061757 - 3 Jun 2025
Viewed by 673
Abstract
More accurate prediction of CO2/CH4 adsorption selectivity coefficients in the CO2 Enhanced Coal Bed CH4 Recovery (CO2-ECBM) project can help to judge the CO2 adsorption concentration and the desorption purity of CH4 during the [...] Read more.
More accurate prediction of CO2/CH4 adsorption selectivity coefficients in the CO2 Enhanced Coal Bed CH4 Recovery (CO2-ECBM) project can help to judge the CO2 adsorption concentration and the desorption purity of CH4 during the CO2 injection process, and to achieve the maximization of CO2 sequestration as well as the optimization of the CH4 recovery rate. To this end, a coal molecular slit model with 16 sizes including micro-, meso-, and macropores was constructed in this study, and the competitive adsorption characteristics of CO2 and CH4 gas mixtures in bituminous coal molecules were investigated using molecular dynamics and giant canonical Monte Carlo simulations. The CO2/CH4 adsorption selectivity coefficients (Sc) as a function of gas ratio, gas pressure, pore size, and temperature were analyzed using a large amount of adsorption isotherm data. Based on the simulation results, considering the neglect of pressure and component changes when calculating the adsorption selectivity coefficient using the traditional extended Langmuir (E-L) model, a correction term regarding the pressure of the mixed gas and the mole fraction of CO2 is set, and a modified equation is proposed. The results show that the adsorption potential energy of CO2 is significantly higher than that of CH4, giving it an absolute advantage in the competition. Through multiple regression analysis, the ranking of the influence weights of the four factors on Sc is as follows: pore size > mixed gas pressure > molar fraction of CO2 > temperature. The negative exponential function can describe the variation of Sc with four factors. The fitting degree between the modified prediction model and the Sc data obtained through simulation reaches 0.84, and the model effect is good. The research results provide theoretical guidance for the optimization of gas injection parameters in the CO2-ECBM project. Full article
(This article belongs to the Section Chemical Processes and Systems)
Show Figures

Figure 1

26 pages, 3439 KB  
Article
The Prediction of the Compaction Curves and Energy of Bituminous Mixtures
by Filippo Giammaria Praticò and Giusi Perri
Infrastructures 2025, 10(6), 132; https://doi.org/10.3390/infrastructures10060132 - 29 May 2025
Viewed by 542
Abstract
The optimisation of road construction planning and design prioritises safety, comfort, cost-effectiveness, and sustainability by aligning with sustainable development goals (SDGs) and integrating life cycle assessment (LCA)-based criteria. Asphalt mixture compaction is a critical construction-phase process that requires careful monitoring due to its [...] Read more.
The optimisation of road construction planning and design prioritises safety, comfort, cost-effectiveness, and sustainability by aligning with sustainable development goals (SDGs) and integrating life cycle assessment (LCA)-based criteria. Asphalt mixture compaction is a critical construction-phase process that requires careful monitoring due to its significant impact on fuel consumption, CO2 emissions, and pavement performance. However, characterising the compaction process during the design stage is challenging due to the unavailability of primary data, such as the compaction energy applied by the roller on-site. This study addresses this gap by developing a methodology for deriving compaction-energy-related data at the laboratory stage. An algorithm is proposed to estimate key compaction parameters, specifically the locking point and compaction curves, based on aggregate grading. Equations to improve the design of bituminous mixtures based on compaction targets were derived. The findings support more sustainable planning, the optimised selection of construction equipment, and improved competitive equilibria between different pavement technologies by promoting low-carbon and energy-efficient strategies aligned with SDGS. Full article
(This article belongs to the Special Issue Sustainable Road Design and Traffic Management)
Show Figures

Figure 1

18 pages, 4764 KB  
Article
Hydrothermal Carbonization of Biomass Waste for Solid Biofuel Production: Hydrochar Characterization and Its Application in Blast Furnace Injection
by Guangwei Wang, Junyi Wu, Haibo Li, Andrey Karasev, Xiaojun Ning and Chuan Wang
Recycling 2025, 10(3), 89; https://doi.org/10.3390/recycling10030089 - 4 May 2025
Cited by 2 | Viewed by 1612
Abstract
Hydrothermal carbonization (HTC) technology converts biomass into a carbon-rich, oxygen-containing solid fuel. Most studies have focused on hydrochar produced under laboratory conditions, leaving a gap in understanding the performance of industrially produced hydrochar. This study comprehensively analyzes three types of industrially produced hydrochar [...] Read more.
Hydrothermal carbonization (HTC) technology converts biomass into a carbon-rich, oxygen-containing solid fuel. Most studies have focused on hydrochar produced under laboratory conditions, leaving a gap in understanding the performance of industrially produced hydrochar. This study comprehensively analyzes three types of industrially produced hydrochar for blast furnace (BF) injection. The results indicate that hydrochar has a higher volatile and lower fixed carbon content. It has a lower high heating value (HHV) than coal and contains more alkali matter. Nevertheless, hydrochar exhibits a better grindability and combustion performance than coal. Blending hydrochar with anthracite significantly enhances the combustion reactivity of the mixture. The theoretical conversion rate calculations reveal a synergistic effect between hydrochar and anthracite during co-combustion. Environmental benefit calculations show that replacing 40% of bituminous coal with hydrochar can reduce CO2 emissions by approximately 145 kg/tHM, which is equivalent to an annual reduction of 528 kton of CO2 and 208 kton of coal in BF operations. While industrially produced hydrochar meets BF injection requirements, its low ignition point and high explosivity necessitate the careful control of the blending ratio. Full article
(This article belongs to the Special Issue Biomass Revival: Rethinking Waste Recycling for a Greener Future)
Show Figures

Figure 1

16 pages, 3051 KB  
Article
Recycling End-of-Life Bituminous Membranes in Asphalt Mixtures: A Laboratory Study
by Marco Pasetto, Safeer Haider, Andrea Baliello and Emiliano Pasquini
Materials 2025, 18(9), 2035; https://doi.org/10.3390/ma18092035 - 29 Apr 2025
Viewed by 906
Abstract
The circular economy (i.e., reuse and recycling of waste materials) is gaining attention for the goal of achieving net-zero waste. In this regard, the use of waterproofing membrane waste in bituminous materials can be a valid option, as every year, a lot of [...] Read more.
The circular economy (i.e., reuse and recycling of waste materials) is gaining attention for the goal of achieving net-zero waste. In this regard, the use of waterproofing membrane waste in bituminous materials can be a valid option, as every year, a lot of bituminous membrane wastes are generated both as production scraps or end-of-life wastes. Given this background, the recycling feasibility of end-of-life bituminous membrane waste (MW) in asphalt mixtures was assessed in this research study. To this aim, MW shreds (≤20 mm) were added to dense-graded bituminous mixtures using the dry-mixing method. The shreds were dosed at 0.5% by the mix weight (mix coded as SH−) or at 2% by mix weight (mix coded as SH+). A corresponding reference mix without MW was also tested for comparison purposes. The mixtures’ workability, strength and stiffness as well as permanent deformation, moisture and fatigue resistance were evaluated. Overall, the laboratory experimental findings showed that MW-modified bituminous mixtures with a higher dosage of membrane waste (SH+) have relatively higher moisture resistance, fatigue resistance, stiffness and high-temperature performance with respect to the corresponding reference mix. Moreover, both the reference and MW-modified mixtures showed similar workability regardless of the MW content. Full article
(This article belongs to the Special Issue Innovative Materials and Technologies for Road Pavements)
Show Figures

Figure 1

17 pages, 3569 KB  
Article
Incorporating Recycled Textile Fibers into Stone Mastic Asphalt
by Carlos Alonso-Troyano, David Llopis-Castelló and Blanca Olaso-Cerveró
Buildings 2025, 15(8), 1310; https://doi.org/10.3390/buildings15081310 - 16 Apr 2025
Cited by 3 | Viewed by 1154
Abstract
The increasing environmental impact of industrial waste, particularly from the textile sector, has driven efforts to integrate alternative materials into road construction. This study explores the feasibility of incorporating recycled cotton textile fibers into Stone Mastic Asphalt (SMA) mixtures to enhance their mechanical [...] Read more.
The increasing environmental impact of industrial waste, particularly from the textile sector, has driven efforts to integrate alternative materials into road construction. This study explores the feasibility of incorporating recycled cotton textile fibers into Stone Mastic Asphalt (SMA) mixtures to enhance their mechanical performance and sustainability. The bituminous mixture SMA 11 surf 35/50 was designed with 0.3% textile fibers, a dosage optimized to prevent binder drainage while maintaining adequate structural properties. Laboratory tests were conducted to evaluate bulk and maximum density, air void content, water sensitivity, and resistance to permanent deformation. The results demonstrated that the inclusion of 0.3% textile fibers significantly reduced binder drainage, improved moisture resistance with an ITSR of 96.30%, and enhanced stability under traffic loads. Although the WTSAIR value of 0.12 mm/1000 cycles did not fully comply with PG-3 requirements for T2 traffic, slight adjustments in binder content or composition could optimize performance. Beyond technical benefits, this study highlights the environmental and economic advantages of repurposing locally generated textile waste, reducing landfill accumulation, and fostering synergies between industries. Future research should focus on optimizing bitumen content, conducting fatigue and aging tests, and validating field performance under real traffic and environmental conditions to ensure long-term durability and compliance with road specifications. Full article
(This article belongs to the Special Issue Advances in Road Pavements)
Show Figures

Figure 1

16 pages, 3703 KB  
Article
Characterization of Bituminous Materials and Their Resistance to Fatigue Cracking by Dissipated Energy in Cyclic Tests: EBADE Test
by Félix E. Pérez-Jiménez, Rodrigo Miró, Adriana H. Martínez, Teresa López-Montero, María del Mar Colás, María González-González and Javier Cabeza-Barahona
Materials 2025, 18(7), 1587; https://doi.org/10.3390/ma18071587 - 1 Apr 2025
Viewed by 570
Abstract
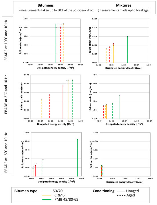
This paper presents the application of the same type of cyclic strain sweep test, the EBADE test, in the characterization of bitumens and mixes. This test employs a consistent methodology and set of parameters—namely, breaking stress, tenacity and dissipated energy at failure—to evaluate [...] Read more.
This paper presents the application of the same type of cyclic strain sweep test, the EBADE test, in the characterization of bitumens and mixes. This test employs a consistent methodology and set of parameters—namely, breaking stress, tenacity and dissipated energy at failure—to evaluate fatigue failure resistance in both materials. These parameters are intrinsically interrelated, and based on this relationship, the EBADE diagram was developed to establish a quantitative scale for resistance, ductility and tenacity. This scale facilitates the characterization and comparative analysis of bitumens and bituminous mixtures. The EBADE test and its associated diagram are applied to various penetration-grade and modified bitumens, as well as to the mixtures manufactured from them. The results demonstrate that the differentiating characteristics and advantages ob-served in the bitumen characterization are consistently reflected in the corresponding mixtures. Furthermore, the EBADE test, conducted across a range of temperatures, enables the generation of characteristic curves for both bitumens and mixtures within the EBADE diagram, facilitating a comparative analysis of their respective responses. The findings of this study validate the suitability of using dissipated energy for the characterization of the fatigue resistance of both bitumens and mixtures. Full article
(This article belongs to the Section Construction and Building Materials)
Show Figures

Figure 1

31 pages, 993 KB  
Review
A Review on the Use of Plastic Waste as a Modifier of Asphalt Mixtures for Road Constructions
by Amira Ben Ameur, Jan Valentin and Nicola Baldo
CivilEng 2025, 6(2), 17; https://doi.org/10.3390/civileng6020017 - 1 Apr 2025
Viewed by 6406
Abstract
Rising industrialization and population growth contribute to the increasing generation of plastic waste, which poses significant environmental and health challenges. Despite its potential as a resource, plastic waste is often discarded without proper treatment. Repurposing it in road construction offers both economic and [...] Read more.
Rising industrialization and population growth contribute to the increasing generation of plastic waste, which poses significant environmental and health challenges. Despite its potential as a resource, plastic waste is often discarded without proper treatment. Repurposing it in road construction offers both economic and environmental benefits, providing a sustainable waste management solution. This paper thoroughly examines various types of plastic waste used in asphalt mixtures, considering both wet and dry processing methods and their impact on bituminous binders and asphalt performance. Overall, incorporating waste plastics into asphalt mixtures has been shown to improve fatigue resistance, rutting resistance, moisture resistance, and high-temperature performance. However, challenges related to compatibility and low-temperature performance persist in plastic-modified asphalt applications. To address these issues, modified approaches, such as the use of chemical additives, have been identified as effective in enhancing the bonding between waste plastics and bituminous binders while also increasing the amount of plastic that can be incorporated. While plastic-modified asphalt shows significant promise, overcoming these challenges through targeted research and careful implementation is essential for its sustainable and effective use in asphalt mixtures, ensuring long-term performance. Full article
(This article belongs to the Collection Recent Advances and Development in Civil Engineering)
Show Figures

Figure 1

20 pages, 2986 KB  
Article
Analysis of the Effects of Rubber Dosage and Digestion Time on the Mechanical Properties of Low Dosage Crumb-Rubber-Modified Asphalt Concrete Mixtures
by Greg White and Andrew Kidd
Materials 2025, 18(7), 1419; https://doi.org/10.3390/ma18071419 - 23 Mar 2025
Cited by 2 | Viewed by 945
Abstract
Crumb rubber modification of bituminous binders for asphalt concrete mixture production has been shown to provide significant environmental benefits, in terms of reduced embodied carbon, as well as improvement in the mechanical performance properties of asphalt mixtures. Furthermore, even at low dosages of [...] Read more.
Crumb rubber modification of bituminous binders for asphalt concrete mixture production has been shown to provide significant environmental benefits, in terms of reduced embodied carbon, as well as improvement in the mechanical performance properties of asphalt mixtures. Furthermore, even at low dosages of crumb rubber, significant anti-ageing benefits have been reported, in terms of oxidation and ultra-violet light exposure. However, the effect of low dosage crumb rubber modification on the mechanical properties of asphalt mixtures must be understood. This research compared otherwise nominally identical dense-graded asphalt mixtures produced with crumb rubber modified binder at 5%, 10%, and 15% (by weight of the bitumen) and, using short digestion (reflecting field blending) and long digestion (reflecting terminal blending), to two control asphalt mixtures across a range of mechanical properties indicative of stiffness, rutting resistance, fatigue cracking resistance, cold fracture resistance, and moisture damage resistance. It was concluded that 10% was the optimum crumb rubber content and that crumb rubber modification generally improved the mechanical properties of asphalt mixtures, particularly the deformation resistance and the fatigue cracking resistance, which were both improved significantly. However, the effect of crumb rubber content and digestion times was variable. Consequently, the decision to field blend (short duration) or terminal blend (long duration) should be based on logistics, and not on asphalt mechanical properties and the associated mixture performance. Full article
Show Figures

Figure 1

33 pages, 4359 KB  
Article
Adhesion of Asphalt to Natural Aggregates and Sanitary Ceramic Waste
by Wojciech Andrzejuk, Agnieszka Woszuk and Danuta Barnat-Hunek
Materials 2025, 18(6), 1201; https://doi.org/10.3390/ma18061201 - 7 Mar 2025
Viewed by 786
Abstract
Research was conducted to improve our knowledge pertaining to the physical processes happening at the interfaces between solids (i.e., asphalt and aggregate) and to determine the appropriate choice of asphalt as well as additives to enhance the longevity of bituminous and mineral mixtures. [...] Read more.
Research was conducted to improve our knowledge pertaining to the physical processes happening at the interfaces between solids (i.e., asphalt and aggregate) and to determine the appropriate choice of asphalt as well as additives to enhance the longevity of bituminous and mineral mixtures. The lowest mean contact angle CA with asphalt at 140 °C was obtained for dolomite and asphalt 50/70 + W (45.0°) and was 29.5% lower than the highest obtained for granodiorite and asphalt 45/80-55 (63.8°). The lowest SFE value was obtained for dolomite aggregate, it was 14.3% lower than the highest value and amounted to 47.68 mJ/m2. In the case of waste ceramic aggregate, the lowest mean asphalt detachment stress (0.77 MPa) was obtained using 45/80-55 modified asphalt without adhesives, at 120 °C, and it was 69.2% lower than the highest value (2.50 MPa) obtained when using samples with 45/80-55 + W modified asphalt at 160 °C. Statistically, the temperatures of both the asphalt and aggregate had the most considerable influence on the asphalt–to-aggregate adhesion, as measured by the contact angle of the aggregate with the asphalt, as well as the pull-off. The employed aggregate, as defined by its roughness characteristics, was also of importance, but to a lesser degree. The type of asphalt had the smallest impact on adhesion, but it is crucial to remember that the viscosity of asphalt is strongly influenced by temperature. Full article
Show Figures

Figure 1

Back to TopTop