Sign in to use this feature.

Years

Between: -

Subjects

remove_circle_outline
remove_circle_outline
remove_circle_outline
remove_circle_outline

Journals

Article Types

Countries / Regions

Search Results (27)

Search Parameters:
Keywords = betulonic acid

Order results
Result details
Results per page
Select all
Export citation of selected articles as:
15 pages, 2798 KB  
Article
Betulonic Acid Inhibits Type-2 Porcine Reproductive and Respiratory Syndrome Virus Replication by Downregulating Cellular ATP Production
by Feixiang Long, Lizhan Su, Mingxin Zhang, Shuhua Wang, Qian Sun, Jinyi Liu, Weisan Chen, Haihong Wang and Jianxin Chen
Int. J. Mol. Sci. 2024, 25(19), 10366; https://doi.org/10.3390/ijms251910366 - 26 Sep 2024
Cited by 1 | Viewed by 1734
Abstract
Porcine reproductive and respiratory syndrome (PRRS), caused by PRRS virus (PRRSV) infection, has been a serious threat to the pork industry worldwide and continues to bring significant economic loss. Current vaccination strategies offer limited protection against PRRSV transmission, highlighting the urgent need for [...] Read more.
Porcine reproductive and respiratory syndrome (PRRS), caused by PRRS virus (PRRSV) infection, has been a serious threat to the pork industry worldwide and continues to bring significant economic loss. Current vaccination strategies offer limited protection against PRRSV transmission, highlighting the urgent need for novel antiviral approaches. In the present study, we reported for the first time that betulonic acid (BA), a widely available pentacyclic triterpenoids throughout the plant kingdom, exhibited potent inhibition on PRRSV infections in both Marc-145 cells and primary porcine alveolar macrophages (PAMs), with IC50 values ranging from 3.3 µM to 3.7 µM against three different type-2 PRRSV strains. Mechanistically, we showed that PRRSV replication relies on energy supply from cellular ATP production, and BA inhibits PRRSV infection by reducing cellular ATP production. Our findings indicate that controlling host ATP production could be a potential strategy to combat PRRSV infections, and that BA might be a promising therapeutic agent against PRRSV epidemics. Full article
Show Figures

Figure 1

21 pages, 1535 KB  
Article
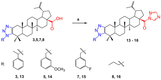
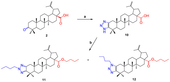
Synthesis and Investigation of Biological Activity of New Betulonic Acid Derivatives Containing 1,2,3-Triazole Fragments
by Roza I. Jalmakhanbetova, Gulim K. Mukusheva, Alisher Sh. Abdugalimov, Zharkyn Zh. Zhumagalieva, Wim Dehaen, Stijn Anthonissen, Yerlan M. Suleimen and Roza B. Seidakhmetova
Molecules 2024, 29(13), 3149; https://doi.org/10.3390/molecules29133149 - 2 Jul 2024
Cited by 1 | Viewed by 2127
Abstract
The results of this study showed that the compounds synthesized by the authors have significant potential due to their antibacterial and cytotoxic properties. The apparent antibacterial activity demonstrated by the compounds suggests that they are active antimicrobial agents against common microbial pathogens that [...] Read more.
The results of this study showed that the compounds synthesized by the authors have significant potential due to their antibacterial and cytotoxic properties. The apparent antibacterial activity demonstrated by the compounds suggests that they are active antimicrobial agents against common microbial pathogens that cause various socially significant infectious diseases. Compound 6 showed pronounced antimicrobial activity against the Gram-positive test strain Staphylococcus aureus ATCC 6538, and compound 7 demonstrated pronounced antimicrobial activity against the Gram-negative test strain Escherichia coli ATCC 25922 (MIC = 6.3 µg/mL). This allowed us to consider these compounds to have great potential. Full article
(This article belongs to the Section Natural Products Chemistry)
Show Figures

Scheme 1

16 pages, 3290 KB  
Article
Synthesis, Pharmacokinetic Profile, Anticancer Activity and Toxicity of the New Amides of Betulonic Acid—In Silico and In Vitro Study
by Ewa Bębenek, Zuzanna Rzepka, Justyna Magdalena Hermanowicz, Elwira Chrobak, Arkadiusz Surażyński, Artur Beberok and Dorota Wrześniok
Int. J. Mol. Sci. 2024, 25(8), 4517; https://doi.org/10.3390/ijms25084517 - 20 Apr 2024
Cited by 7 | Viewed by 2355
Abstract
Betulonic acid (B(O)A) is a pentacyclic lupane-type triterpenoid that widely exists in plants. There are scientific reports indicating anticancer activity of B(O)A, as well as the amides and esters of this triterpenoid. In the first step of the study, the synthesis of novel [...] Read more.
Betulonic acid (B(O)A) is a pentacyclic lupane-type triterpenoid that widely exists in plants. There are scientific reports indicating anticancer activity of B(O)A, as well as the amides and esters of this triterpenoid. In the first step of the study, the synthesis of novel amide derivatives of B(O)A containing an acetylenic moiety was developed. Subsequently, the medium-soluble compounds (EB171 and EB173) and the parent compound, i.e., B(O)A, were investigated for potential cytotoxic activity against breast cancer (MCF-7 and MDA-MB-231) and melanoma (C32, COLO 829 and A375) cell lines, as well as normal human fibroblasts. Screening analysis using the WST-1 test was applied. Moreover, the lipophilicity and ADME parameters of the obtained derivatives were determined using experimental and in silico methods. The toxicity assay using zebrafish embryos and larvae was also performed. The study showed that the compound EB171 exhibited a significant cytotoxic effect on cancer cell lines: MCF-7, A-375 and COLO 829, while it did not affect the survival of normal cells. Moreover, studies on embryos and larvae showed no toxicity of EB171 in an animal model. Compared to EB171, the compound EB173 had a weaker effect on all tested cancer cell lines and produced less desirable effects against normal cells. The results of the WST-1 assay obtained for B(O)A revealed its strong cytotoxic activity on the examined cancer cell lines, but also on normal cells. In conclusion, this article describes new derivatives of betulonic acid—from synthesis to biological properties. The results allowed to indicate a promising direction for the functionalization of B(O)A to obtain derivatives with selective anticancer activity and low toxicity. Full article
Show Figures

Figure 1

14 pages, 1148 KB  
Communication
Exploiting the Integrated Valorization of Eucalyptus globulus Leaves: Chemical Composition and Biological Potential of the Lipophilic Fraction before and after Hydrodistillation
by Cátia. S. D. Oliveira, Patrícia Moreira, Maria T. Cruz, Cláudia M. F. Pereira, Artur M. S. Silva, Sónia A. O. Santos and Armando J. D. Silvestre
Int. J. Mol. Sci. 2023, 24(7), 6226; https://doi.org/10.3390/ijms24076226 - 25 Mar 2023
Cited by 7 | Viewed by 3135
Abstract
E. globulus leaves have been mainly exploited for essential oil recovery or for energy generation in industrial pulp mills, neglecting the abundance of valuable families of extractives, namely, triterpenic acids, that might open new ways for the integrated valorization of this biomass. Therefore, [...] Read more.
E. globulus leaves have been mainly exploited for essential oil recovery or for energy generation in industrial pulp mills, neglecting the abundance of valuable families of extractives, namely, triterpenic acids, that might open new ways for the integrated valorization of this biomass. Therefore, this study highlights the lipophilic characterization of E. globulus leaves before and after hydrodistillation, aiming at the integrated valorization of both essential oils and triterpenic acids. The lipophilic composition of E. globulus leaves after hydrodistillation is reported for the first time. Extracts were obtained by dichloromethane Soxhlet extraction and analyzed by gas chromatography-mass spectrometry. In addition, their cytotoxicity on different cell lines representative of the innate immune system, skin, liver, and intestine were evaluated. Triterpenic acids, such as betulonic, oleanolic, betulinic and ursolic acids, were found to be the main components of these lipophilic extracts, ranging from 30.63–37.14 g kg−1 of dry weight (dw), and representing 87.7–89.0% w/w of the total content of the identified compounds. In particular, ursolic acid was the major constituent of all extracts, representing 46.8–50.7% w/w of the total content of the identified compounds. Other constituents, such as fatty acids, long-chain aliphatic alcohols and β-sitosterol were also found in smaller amounts in the studied extracts. This study also demonstrates that the hydrodistillation process does not affect the recovery of compounds of greatest interest, namely, triterpenic acids. Therefore, the results establish that this biomass residue can be considered as a promising source of value-added bioactive compounds, opening new strategies for upgrading pulp industry residues within an integrated biorefinery context. Full article
Show Figures

Graphical abstract

14 pages, 4445 KB  
Article
Morphology of Lymphoid Tissue in the Lungs of Guinea Pigs Infected with Mycobacterium bovis against the Background of Vaccine Immunity and the Action of Betulin and Its Derivatives
by Ivan N. Koshkin, Vasily S. Vlasenko, Valentina I. Pleshakova, Larisa E. Alkhimova, Andrey V. Elyshev and Ivan V. Kulakov
Vaccines 2022, 10(12), 2084; https://doi.org/10.3390/vaccines10122084 - 6 Dec 2022
Cited by 3 | Viewed by 2443
Abstract
Tuberculosis caused by Mycobacterium bovis is a serious problem for animal and human health worldwide. A promising concept for the design of anti-tuberculosis drugs is the conjugation of an immunogenic fraction isolated from bacterial vaccines with a stimulating component. Taking this principle as [...] Read more.
Tuberculosis caused by Mycobacterium bovis is a serious problem for animal and human health worldwide. A promising concept for the design of anti-tuberculosis drugs is the conjugation of an immunogenic fraction isolated from bacterial vaccines with a stimulating component. Taking this principle as a basis, conjugates based on BCG antigens with betulin and its derivatives (betulonic and betulinic acids) were designed. The aim of this research was to study the morphological changes in the lymphoid tissue associated with the bronchial mucosa lungs (BALT) in guinea pigs sensitized with experimental conjugates using a model of experimental tuberculosis. The results showed a significant decrease in the BALT response, expressed by a decrease in the diameter of lymphatic follicles and a decrease in their activity when exposed to conjugates based on BCG antigens with betulin and, especially, with betulonic acid, with a visually greater number of plasma cells observed in the lung tissues of guinea pigs of these groups. The absence of tuberculous foci and low BALT activity in the lungs of animals treated with betulin and betulonic acid are probably associated with the activation of humoral immunity under the action of these conjugates. Full article
(This article belongs to the Special Issue Tuberculosis Diagnostic, Treatments and Vaccines Research)
Show Figures

Figure 1

55 pages, 23733 KB  
Review
Semisynthetic Derivatives of Pentacyclic Triterpenes Bearing Heterocyclic Moieties with Therapeutic Potential
by Gabriela Nistor, Cristina Trandafirescu, Alexandra Prodea, Andreea Milan, Andreea Cristea, Roxana Ghiulai, Roxana Racoviceanu, Alexandra Mioc, Marius Mioc, Viviana Ivan and Codruța Șoica
Molecules 2022, 27(19), 6552; https://doi.org/10.3390/molecules27196552 - 3 Oct 2022
Cited by 39 | Viewed by 4919
Abstract
Medicinal plants have been used by humans since ancient times for the treatment of various diseases and currently represent the main source of a variety of phytocompounds, such as triterpenes. Pentacyclic triterpenes have been subjected to numerous studies that have revealed various biological [...] Read more.
Medicinal plants have been used by humans since ancient times for the treatment of various diseases and currently represent the main source of a variety of phytocompounds, such as triterpenes. Pentacyclic triterpenes have been subjected to numerous studies that have revealed various biological activities, such as anticancer, antidiabetic, anti-inflammatory, antimicrobial, and hepatoprotective effects, which can be employed in therapy. However, due to their high lipophilicity, which is considered to exert a significant influence on their bioavailability, their current use is limited. A frequent approach employed to overcome this obstacle is the chemical derivatization of the core structure with different types of moieties including heterocycles, which are considered key elements in medicinal chemistry. The present review aims to summarize the literature published in the last 10 years regarding the derivatives of pentacyclic triterpenes bearing heterocyclic moieties and focuses on the biologically active derivatives as well as their structure–activity relationships. Predominantly, the targeted positions for the derivatization of the triterpene skeleton are C-3 (hydroxyl/oxo group), C-28 (hydroxyl/carboxyl group), and C-30 (allylic group) or the extension of the main scaffold by fusing various heterocycles with the A-ring of the phytocompound. In addition, numerous derivatives also contain linker moieties that connect the triterpenic scaffold with heterocycles; one such linker, the triazole moiety, stands out as a key pharmacophore for its biological effect. All these studies support the hypothesis that triterpenoid conjugates with heterocyclic moieties may represent promising candidates for future clinical trials. Full article
Show Figures

Figure 1

22 pages, 3232 KB  
Article
QSPR Modeling and Experimental Determination of the Antioxidant Activity of Some Polycyclic Compounds in the Radical-Chain Oxidation Reaction of Organic Substrates
by Veronika Khairullina, Yuliya Martynova, Irina Safarova, Gulnaz Sharipova, Anatoly Gerchikov, Regina Limantseva and Rimma Savchenko
Molecules 2022, 27(19), 6511; https://doi.org/10.3390/molecules27196511 - 2 Oct 2022
Cited by 4 | Viewed by 3127
Abstract
The present work addresses the quantitative structure–antioxidant activity relationship in a series of 148 sulfur-containing alkylphenols, natural phenols, chromane, betulonic and betulinic acids, and 20-hydroxyecdysone using GUSAR2019 software. Statistically significant valid models were constructed to predict the parameter logk7, where k [...] Read more.
The present work addresses the quantitative structure–antioxidant activity relationship in a series of 148 sulfur-containing alkylphenols, natural phenols, chromane, betulonic and betulinic acids, and 20-hydroxyecdysone using GUSAR2019 software. Statistically significant valid models were constructed to predict the parameter logk7, where k7 is the rate constant for the oxidation chain termination by the antioxidant molecule. These results can be used to search for new potentially effective antioxidants in virtual libraries and databases and adequately predict logk7 for test samples. A combination of MNA- and QNA-descriptors with three whole molecule descriptors (topological length, topological volume, and lipophilicity) was used to develop six statistically significant valid consensus QSPR models, which have a satisfactory accuracy in predicting logk7 for training and test set structures: R2TR > 0.6; Q2TR > 0.5; R2TS > 0.5. Our theoretical prediction of logk7 for antioxidants AO1 and AO2, based on consensus models agrees well with the experimental value of the measure in this paper. Thus, the descriptor calculation algorithms implemented in the GUSAR2019 software allowed us to model the kinetic parameters of the reactions underlying the liquid-phase oxidation of organic hydrocarbons. Full article
Show Figures

Figure 1

13 pages, 2355 KB  
Article
Decoration of A-Ring of a Lupane-Type Triterpenoid with Different Oxygen and Nitrogen Heterocycles
by Joana L. C. Sousa, Hélio M. T. Albuquerque, Armando J. D. Silvestre and Artur M. S. Silva
Molecules 2022, 27(15), 4904; https://doi.org/10.3390/molecules27154904 - 31 Jul 2022
Cited by 1 | Viewed by 2538
Abstract
Betulinic acid (BA) was used as starting building block to create a library of novel BA-derived compounds containing O- and N-heterocycles. Firstly, BA was converted into methyl betulonate (BoOMe), which was used as intermediate in the developed methodologies. 1,2-Oxazine-fused BoOMe compounds [...] Read more.
Betulinic acid (BA) was used as starting building block to create a library of novel BA-derived compounds containing O- and N-heterocycles. Firstly, BA was converted into methyl betulonate (BoOMe), which was used as intermediate in the developed methodologies. 1,2-Oxazine-fused BoOMe compounds were obtained in 12–25% global yields through a Michael addition of nitromethane to methyl (E)-2-benzylidenebetulonate derivatives, followed by nitro group reduction and intramolecular cyclization. Remarkably, the triterpene acts as a diastereoselective inducer in the conjugate addition of nitromethane, originating only one diastereomer out of four possible ones. Furthermore, other oxygen and nitrogen-containing heterocycles were installed at the A-ring of BoOMe, affording 2-amino-3-cyano-4H-pyran-fused BoOMe, diarylpyridine-fused BoOMe and 1,2,3-triazole–BoOMe compounds, using simple and straightforward synthetic methodologies. Finally, BA was revealed to be a versatile starting material, allowing the creation of a molecular diversification of compounds containing a triterpenic scaffold and O- and N-heterocycles. Full article
Show Figures

Graphical abstract

13 pages, 5844 KB  
Article
Betulonic Acid, as One of the Active Components of the Celastrus orbiculatus Extract, Inhibits the Invasion and Metastasis of Gastric Cancer Cells by Mediating Cytoskeleton Rearrangement In Vitro
by Zewen Chu, Yuanyuan Luo, Tengyang Ni, Miao Zhu, Xinyi Feng, Yanqing Liu and Haibo Wang
Molecules 2022, 27(3), 1025; https://doi.org/10.3390/molecules27031025 - 2 Feb 2022
Cited by 11 | Viewed by 3021
Abstract
Gastric cancer is a type of malignant tumor that seriously threatens human life and health. Invasion and metastasis present difficulties in the treatment of gastric cancer, and the remodeling of the tumor cytoskeleton plays an important role in mediating the ability of tumor [...] Read more.
Gastric cancer is a type of malignant tumor that seriously threatens human life and health. Invasion and metastasis present difficulties in the treatment of gastric cancer, and the remodeling of the tumor cytoskeleton plays an important role in mediating the ability of tumor cells to achieve invasion and metastasis. Previous experimental results suggest that Celastrus orbiculatus extract can regulate cytoskeletal remodeling in gastric cancer, but the active component has not been determined. Betulonic acid, as an effective component of COE, inhibits the invasion and metastasis of gastric cancer cells by regulating cytoskeletal remodeling in vitro; its specific mechanisms have been studied here. After betulonic acid was dissolved, it was diluted to various working concentrations in RPMI-1640 medium and added to AGS, HGC-27 and GES-1 cell lines. Cell viability was assessed by CCK-8 and colony formation assays. Cytoskeleton staining was used to detect changes in cytoskeleton morphology. Functional assays including wound healing assays and transwell assays were used to detect the invasion and migration of cells. The effect of betulonic acid on cell invasion and migration was clearly and precisely observed by high-content imaging technology. Western blotting was used to detect the regulation of matrix metalloproteinase-related proteins and epithelial–mesenchymal transformation-related proteins. We found that betulonic acid inhibited the migration and invasion of gastric cancer cells. Therefore, betulonic acid inhibits the invasion and metastasis of gastric cancer cells by mediating cytoskeletal remodeling and regulating epithelial mesenchymal transformation. Full article
Show Figures

Figure 1

6 pages, 989 KB  
Proceeding Paper
Effective Synthesis of a Novel Betulinic Acid Conjugate with Mitochondria-Targeting Cation F16
by Darya Nedopekina, Eldar Davletshin and Anna Spivak
Chem. Proc. 2022, 8(1), 97; https://doi.org/10.3390/ecsoc-25-11638 - 12 Nov 2021
Viewed by 1715
Abstract
Currently, mitochondria are considered as an attractive universal target in the development of new anticancer drugs. These organelles are essential in energy production, the regulation of cell death pathways, the generation of reactive oxygen species, as well as in the maintenance of calcium [...] Read more.
Currently, mitochondria are considered as an attractive universal target in the development of new anticancer drugs. These organelles are essential in energy production, the regulation of cell death pathways, the generation of reactive oxygen species, as well as in the maintenance of calcium homeostasis. Various approaches are being developed to deliver biologically active compounds into the mitochondria of tumour cells, including the conjugation of cytotoxic substances with mitochondria-targeted lipophilic cations. Among the currently known low molecular weight lipophilic cationic molecules, (E)-4(1H-indol-3-ylvinyl)-N-methylpyridinium iodide (F16) is of great interest. This mitochondria-toxic cationic compound with luminescent properties is selectively accumulated in mitochondria and can selectively trigger the apoptosis and necrosis of tumour cells, making it an attractive targeted agent for theranostic use. Meanwhile, betulinic acid, an available natural pentacyclic triterpenoid, has been considered as a promising scaffold for the development of new anticancer agents in recent years. The antitumour effect of this natural product arises from it affecting the mitochondria of tumour cells through the formation of reactive oxygen species. The present article details of an efficient synthesis of a novel multifunctional hybrid agent in which a cytotoxic triterpenoid, betulinic acid, is carbon-carbon bonded to the cationic F16 fragment at the C-2 position of ring A through a phenylethynyl spacer. The starting substrates in the synthesis were the C-2 propynyl derivative of betulinic acid and N-aryl-substituted 4-(1H-indol-3-ylvinyl)-pyridine. The derivative of betulinic acid with a terminal acetylenic group was prepared by the reaction of C-alkylation with propargyl bromide of potassium enoxytriethylborate generated from betulonic acid. To obtain the N-aryl-substituted analogue of F16, a CuI-catalyzed Ullmann-Goldberg reaction was applied. The synthesis of the target conjugate was successfully completed by the cross-coupling of the terpene and heterocyclic components according to Sonogashira in the presence of the CuI/Pd(PPh3)2 catalyst. Full article
Show Figures

Figure 1

12 pages, 2430 KB  
Article
1H NMR Combined with Multivariate Statistics for Discrimination of Female and Male Flower Buds of Populus tomentosa
by Bo Xu, Cui Wu, Zhuojun Li, Pingping Song and Zhimao Chao
Molecules 2021, 26(21), 6458; https://doi.org/10.3390/molecules26216458 - 26 Oct 2021
Cited by 4 | Viewed by 2658
Abstract
1H Nuclear Magnetic Resonance (1H NMR) combined with multivariate statistics was adopted to discriminate female and male flower buds of Populus tomentosa in the study. Samples of 11 female and 16 male flower buds of P. tomentosa were collected in [...] Read more.
1H Nuclear Magnetic Resonance (1H NMR) combined with multivariate statistics was adopted to discriminate female and male flower buds of Populus tomentosa in the study. Samples of 11 female and 16 male flower buds of P. tomentosa were collected in Beijing, China. 1H NMR spectra were acquired on a 400 MHz spectrometer. In total, 30 chemical compounds were identified with standards and literature according to chemical shifts, peak areas, and multiplicity. Principal component analysis (PCA), hierarchical clustering analysis (HCA), and supervised orthogonal partial least squares-discriminant analysis (OPLS-DA) were applied to discriminate female and male flower buds. An apparent grouping trend (R2X, 0.809; Q2, 0.903) between female and male groups was exhibited with PCA and HCA. The two groups were also well discriminated with OPLS-DA (R2X, 0.808; R2Y, 0.976; Q2, 0.960). Combined with variable importance in projection (VIP) > 1.0 and p < 0.05 of OPLS-DA, it was found that the content of daucosterol, β-sitosterol, ursolic acid, and betulonic acid in male group was higher than that in female, which should be the key differences of chemical constituents in female and male flower buds of P. tomentosa. The study demonstrated that 1H NMR combined with multivariate statistics could be used to discriminate female and male plants and clarify differences, which provided a novel method to identify the gender of dioecious plants. Full article
Show Figures

Figure 1

16 pages, 5405 KB  
Article
Construction of a Recombinant Porcine Epidemic Diarrhea Virus Encoding Nanoluciferase for High-Throughput Screening of Natural Antiviral Products
by Wan Li, Mengjia Zhang, Huijun Zheng, Peng Zhou, Zheng Liu, Anan Jongkaewwattana, Rui Luo and Qigai He
Viruses 2021, 13(9), 1866; https://doi.org/10.3390/v13091866 - 18 Sep 2021
Cited by 15 | Viewed by 4260
Abstract
Porcine epidemic diarrhea virus (PEDV) is the predominant cause of an acute, highly contagious enteric disease in neonatal piglets. There are currently no approved drugs against PEDV infection. Here, we report the development of a nanoluciferase (NLuc)-based high-throughput screening (HTS) platform to identify [...] Read more.
Porcine epidemic diarrhea virus (PEDV) is the predominant cause of an acute, highly contagious enteric disease in neonatal piglets. There are currently no approved drugs against PEDV infection. Here, we report the development of a nanoluciferase (NLuc)-based high-throughput screening (HTS) platform to identify novel anti-PEDV compounds. We constructed a full-length cDNA clone for a cell-adapted PEDV strain YN150. Using reverse genetics, we replaced the open reading frame 3 (ORF3) in the viral genome with an NLuc gene to engineer a recombinant PEDV expressing NLuc (rPEDV-NLuc). rPEDV-NLuc produced similar plaque morphology and showed similar growth kinetics compared with the wild-type PEDV in vitro. Remarkably, the level of luciferase activity could be stably detected in rPEDV-NLuc-infected cells and exhibited a strong positive correlation with the viral titers. Given that NLuc expression represents a direct readout of PEDV replication, anti-PEDV compounds could be easily identified by quantifying the NLuc activity. Using this platform, we screened for the anti-PEDV compounds from a library of 803 natural products and identified 25 compounds that could significantly inhibit PEDV replication. Interestingly, 7 of the 25 identified compounds were natural antioxidants, including Betulonic acid, Ursonic acid, esculetin, lithocholic acid, nordihydroguaiaretic acid, caffeic acid phenethyl ester, and grape seed extract. As expected, all of the antioxidants could potently reduce PEDV-induced oxygen species production, which, in turn, inhibit PEDV replication in a dose-dependent manner. Collectively, our findings provide a powerful platform for the rapid screening of promising therapeutic compounds against PEDV infection. Full article
(This article belongs to the Topic Veterinary Infectious Diseases)
Show Figures

Figure 1

7 pages, 762 KB  
Communication
Synthesis and Cytotoxic Potential of 3-Oxo-19β-trifluoroacetoxy-18αH-oleane-28-oic Acid
by Elmira F. Khusnutdinova, Alexander I. Poptsov and Oxana B. Kazakova
Molbank 2021, 2021(2), M1222; https://doi.org/10.3390/M1222 - 1 Jun 2021
Cited by 1 | Viewed by 2582
Abstract
Trifluoroacetic acid-promoted Wagner-Meerwein rearrangement of betulonic acid carboxamide led to the formation of the expected 19β,28-lactam along with a new germanicane-type 3-oxo-19β-trifluoroacetoxy-18αH-oleane-28-oic acid. The structure of this triterpenoid was confirmed by 2D NMR analyses. A primary evaluation of biological potency revealed [...] Read more.
Trifluoroacetic acid-promoted Wagner-Meerwein rearrangement of betulonic acid carboxamide led to the formation of the expected 19β,28-lactam along with a new germanicane-type 3-oxo-19β-trifluoroacetoxy-18αH-oleane-28-oic acid. The structure of this triterpenoid was confirmed by 2D NMR analyses. A primary evaluation of biological potency revealed an anticancer activity with GI50 < 5 μM against leukemia, colon cancer, breast cancer, and prostate cancer cell lines, while the parent compounds were not active. Full article
(This article belongs to the Section Natural Product Chemistry)
Show Figures

Graphical abstract

27 pages, 8544 KB  
Review
Anticancer Potential of Betulonic Acid Derivatives
by Adelina Lombrea, Alexandra Denisa Scurtu, Stefana Avram, Ioana Zinuca Pavel, Māris Turks, Jevgeņija Lugiņina, Uldis Peipiņš, Cristina Adriana Dehelean, Codruta Soica and Corina Danciu
Int. J. Mol. Sci. 2021, 22(7), 3676; https://doi.org/10.3390/ijms22073676 - 1 Apr 2021
Cited by 44 | Viewed by 6109
Abstract
Clinical trials have evidenced that several natural compounds, belonging to the phytochemical classes of alkaloids, terpenes, phenols and flavonoids, are effective for the management of various types of cancer. Latest research has proven that natural products and their semisynthetic variants may serve as [...] Read more.
Clinical trials have evidenced that several natural compounds, belonging to the phytochemical classes of alkaloids, terpenes, phenols and flavonoids, are effective for the management of various types of cancer. Latest research has proven that natural products and their semisynthetic variants may serve as a starting point for new drug candidates with a diversity of biological and pharmacological activities, designed to improve bioavailability, overcome cellular resistance, and enhance therapeutic efficacy. This review was designed to bring an update regarding the anticancer potential of betulonic acid and its semisynthetic derivatives. Chemical derivative structures of betulonic acid including amide, thiol, and piperidine groups, exert an amplification of the in vitro anticancer potential of betulonic acid. With the need for more mechanistic and in vivo data, some derivatives of betulonic acids may represent promising anticancer agents. Full article
Show Figures

Figure 1

24 pages, 6147 KB  
Article
Supported Silver Nanoparticles as Catalysts for Liquid-Phase Betulin Oxidation
by Anna Grigoreva, Ekaterina Kolobova, Ekaterina Pakrieva, Päivi Mäki-Arvela, Sónia A. C. Carabineiro, Alina Gorbunova, Nina Bogdanchikova, Dmitry Yu. Murzin and Alexey Pestryakov
Nanomaterials 2021, 11(2), 469; https://doi.org/10.3390/nano11020469 - 12 Feb 2021
Cited by 3 | Viewed by 2686
Abstract
Herein, it has been shown that betulin can be transformed into its biologically active oxo-derivatives (betulone, betulinic and betulonic aldehydes) by liquid-phase oxidation over supported silver catalysts under mild conditions. In order to identify the main factors determining the catalytic behavior of nanosilver [...] Read more.
Herein, it has been shown that betulin can be transformed into its biologically active oxo-derivatives (betulone, betulinic and betulonic aldehydes) by liquid-phase oxidation over supported silver catalysts under mild conditions. In order to identify the main factors determining the catalytic behavior of nanosilver catalysts in betulin oxidation, silver was deposited on various alumina supports (γ-alumina and boehmite) using deposition–precipitation with NaOH and incipient wetness impregnation methods, followed by treatment in H2 or O2. Silver catalysts and the corresponding supports were characterized by X-ray diffraction, nitrogen physisorption, inductively coupled plasma optical emission spectroscopy, photoelectron spectroscopy and transmission electron microscopy. It was found that the support nature, preparation and treatment methods predetermine not only the average Ag nanoparticles size and their distribution, but also the selectivity of betulin oxidation, and thereby, the catalytic behavior of Ag catalysts. In fact, the support nature had the most considerable effect. Betulin conversion, depending on the support, increased in the following order: Ag/boehmite < Ag/boehmite (calcined) < Ag/γ-alumina. However, in the same order, the share of side reactions catalyzed by strong Lewis acid centers of the support also increased. Poisoning of the latter by NaOH during catalysts preparation can reduce side reactions. Additionally, it was revealed that the betulin oxidation catalyzed by nanosilver catalysts is a structure-sensitive reaction. Full article
Show Figures

Figure 1

Back to TopTop