Synthesis, Pharmacokinetic Profile, Anticancer Activity and Toxicity of the New Amides of Betulonic Acid—In Silico and In Vitro Study
Abstract
1. Introduction
2. Results and Discussion
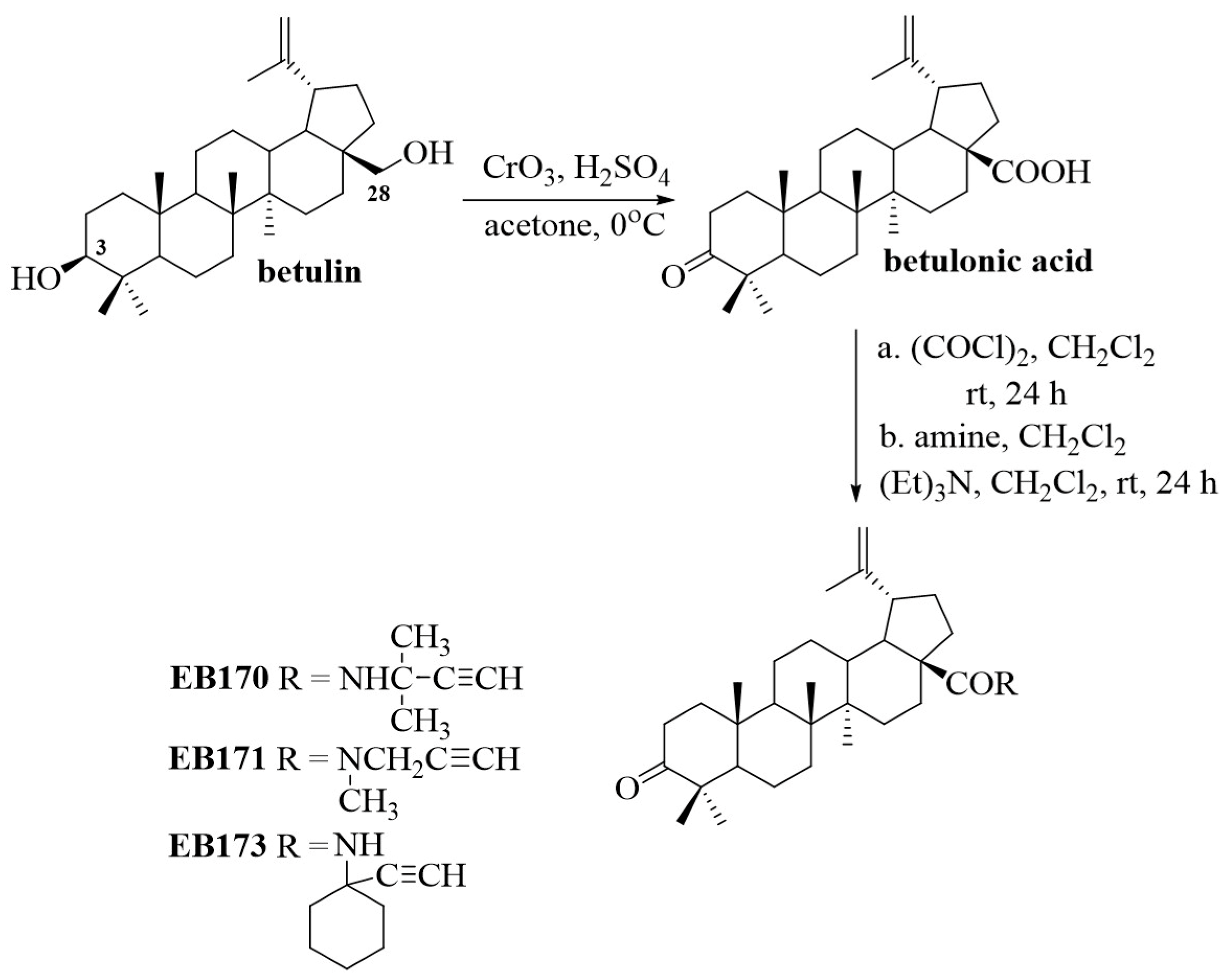
2.1. Chemistry
2.2. Lipophilicity and ADME Parameters
2.3. Screening Analysis for Anticancer Potential
2.4. The Effects of EB171 on Zebrafish Embryo/Larvae Development
2.4.1. Embryos of 0–2 hpf
2.4.2. Larvae of 72 hpf
3. Materials and Methods
3.1. Synthesis
3.1.1. Materials and Methods Included in the Supplementary Materials
3.1.2. Synthesis of Amide Derivatives of Betulonic Acid EB170, EB171 and EB173
- N-[3-oxolup-20(29)-en-28-oyl]2-methyl-3-butyn-2-amine EB170
- Yield 72%; mp 231–233 °C; Rf 0.61 (chloroform/ethanol, 40:1, v/v).
- 1H NMR (600 MHz, CDCl3) δ: 0.93 (s, 3H, CH3), 0.98 (s, 3H, CH3), 1.00 (s, 3H, CH3), 1.03 (s, 3H, CH3), 1.08 (s, 3H, CH3), 1.69 (2 x s, 6H, C(CH3)2), 1.71 (s, 3H, CH3), 0.95–2.03 (m, 20H, CH, CH2, from the basic lupane system), 2.31 (s, 1H, C≡CH), 2.41 (m, 1H, CH, from the basic lupane system), 2.49 (m, 1H, CH, from the basic lupane system), 2.62 (m, 1H, from the basic lupane system), 3.19 (m, 1H, H-19), 4.60 (m, 1H, H-29), 4.74 (m, 1H, H-29), 5.60 (s, 1H, N-H); 13C NMR (150 MHz, CDCl3) δ: 13.5, 14.8, 14.9, 18.6, 18.6, 20.0, 20.4, 24.6, 25.6, 27.8, 28.0, 28.4, 29.8, 32.7, 33.0, 33.1, 35.9, 36.5, 37.2, 38.6, 39.8, 41.5, 45.4, 46.1, 46.3, 49.0, 49.1, 54.0, 54.7, 67.7, 86.5, 108.2, 150.0, 174.2, 217.2; IR (ν max cm−1, KBr): 1447, 1661, 1708, 2938, 3244, 3436; EI MS (70 eV) m/z (rel. intensity): 519 (M+, 100), 203 (46), 189 (35); HRMS (APCI) m/z (neg): 518.4005; C35H52NO2 (Calculated 518.3998).
- N-[3-oxolup-20(29)-en-28-oyl]methylpropargilamine EB171
- Yield 77%; mp 179–181 °C; Rf 0.71 (chloroform/ethanol, 40:1, v/v).
- 1H NMR (600 MHz, CDCl3) δ: 0.94 (s, 3H, CH3), 0.98 (s, 3H, CH3), 0.99 (s, 3H, CH3), 1.03 (s, 3H, CH3), 1.07 (s, 3H, CH3), 1.70 (s, 3H, CH3), 0.95–1.94 (m, 18H, CH, CH2, from the basic lupane system), 2.05 (m, 1H, C≡CH), 2.25 (m, 2H, CH2, from the basic lupane system), 2.41 (m, 1H, CH, from the basic lupane system), 2.50 (m, 1H, CH, from the basic lupane system), 2.90 (m, 1H, CH, from the basic lupane system), 3.00 (m, 1H, H-19), 3.11 (br s, 3H, NCH3), 4.17 (m, 2H, NCH2), 4.59 (m, 1H, H-29), 4.74 (m, 1H, H-29); 13C NMR (150 MHz, CDCl3) δ: 13.6, 14.9, 15.0, 18.6, 18.7, 20.0, 20.6, 24.6, 25.6, 28.8, 30.3, 31.0, 32.7, 33.2, 34.8, 35.9, 36.0, 38.7, 39.6, 40.9, 44.6, 46.3, 49.2, 51.6, 53.7, 54.1, 108.2, 150.3, 173.5, 217.3; IR (ν max cm−1, KBr): 1460, 1642, 1703, 2118, 2960, 3247; EI MS (70 eV) m/z (rel. intensity): 505 (M+, 72), 409 (100), 203 (21), 189 (72); HRMS (APCI) m/z (neg): 504.3850; C34H50NO2 (Calculated 504.3842).
- N-[3-oxolup-20(29)-en-28-oyl]1-ethynylcycloheksylamine EB173
- Yield 70%; mp 194–196 °C; Rf 0.68 (chloroform/ethanol, 40:1, v/v).
- 1H NMR (600 MHz, CDCl3) δ: 0.93 (s, 3H, CH3), 0.98 (s, 3H, CH3), 1.01 (s, 3H, CH3), 1.03 (s, 3H, CH3), 1.08 (s, 3H, CH3), 1.39–1.61 (m, 10H, CH, CH2, from cyclohexyl ring), 1.69 (s, 3H, CH3), 0.95–2.16 (m, 19H, CH, CH2, from the basic lupane system), 2.37 (s, 1H, C≡CH), 2.41 (m 1H, CH, from the basic lupane system), 2.50 (m, 1H, CH, from the basic lupane system), 2.64 (m, 1H, CH, from the basic lupane system), 3.19 (m, 1H, H-19), 4.59 (m, 1H, H-29), 4.74 (m, 1H, H-29), 5.50 (s, 1H, NH); 13C NMR (150 MHz, CDCl3) δ: 13.5, 14.9, 14.9, 18.6, 20.0, 20.4, 21.4, 24.3, 24.6, 25.6, 28.4, 29.8, 32.7, 33.0, 33.1, 35.6, 35.9, 36.4, 37.4, 38.6, 39.8, 41.5, 45.4, 46.3, 49.0, 49.1, 50.2, 54.0, 54.7, 54.8, 69.7, 85.0, 108.2, 150.1, 174.0, 217.2; IR (ν max cm−1, KBr): 1458, 1669, 1701, 2937, 3309; 3391; EI MS (70 eV) m/z (rel. intensity): 559 (M+, 90), 531 (100), 505 (42), 189 (15); HRMS (APCI) m/z (neg): 558.4310; C38H55NO2 (Calculated 558.4311).
3.1.3. Lipophilicity
3.1.4. In Silico Analysis
3.2. Biological Activity
3.2.1. Cell Culture
3.2.2. Cell-Based Cytotoxicity Assay
3.2.3. Zebrafish Husbandry
3.2.4. Zebrafish Toxicity Assay
3.3. Statistical Analysis
4. Conclusions
Supplementary Materials
Author Contributions
Funding
Institutional Review Board Statement
Informed Consent Statement
Data Availability Statement
Conflicts of Interest
References
- Soerjomataram, I.; Bray, F. Planning for tomorrow: Global cancer incidence and the role of prevention 2020–2070. Nat. Rev. Clin. Oncol. 2021, 18, 663–672. [Google Scholar] [CrossRef] [PubMed]
- Leong, K.H.; Mahdzir, M.A.; Din, M.F.M.; Awang, K.; Tanaka, Y.; Kulkeaw, K.; Ishitani, T.; Sugiyama, D. Induction of intrinsic apoptosis in leukaemia stem cells and in vivo zebrafish model by betulonic acid isolated from Walsura pinnata Hassk (Meliaceae). Phytomedicine 2017, 26, 11–21. [Google Scholar] [CrossRef] [PubMed]
- Yang, S.; Zhao, Q.; Xiang, H.; Liu, M.; Zhang, Q.; Xue, W.; Song, B.; Yang, S. Antiproliferative activity and apoptosis-inducing mechanism of constituents from Toona sinensi on human cancer cells. Cancer Cell Int. 2013, 13, 12. [Google Scholar] [CrossRef] [PubMed]
- Song, L.; Zhang, L.; Xu, L.; Ma, Y.; Lian, W.; Liu, Y.; Wang, Y. Optimized extraction of total triterpenoids from Jujube (Ziziphus jujuba Mill.) and comprehensive analysis of triterpenic acids in different cultivars. Plants 2020, 9, 412. [Google Scholar] [CrossRef] [PubMed]
- Li, G.L.; You, J.M.; Song, C.H.; Xia, L.; Zheng, J.; Suo, Y.R. Development of a new HPLC method with precolumn fluorescent derivatization for rapid, selective and sensitive detection of triterpenic acids in fruits. J. Agric. Food Chem. 2011, 59, 2972–2979. [Google Scholar] [CrossRef] [PubMed]
- Malík, M.; Velechovský, J.; Tlustoš, P. Natural pentacyclic triterpenoid acids potentially useful as biocompatible nanocarriers. Fitoterapia 2021, 151, 104845. [Google Scholar] [CrossRef] [PubMed]
- Juang, F.C.; Chen, Y.F.; Lin, F.M.; Huang, K.F. Constituents from the leaves of Lantana camara (IV). J. Chin. Med. 2005, 16, 149–155. [Google Scholar]
- Popov, S.A.; Kozlova, L.P.; Kornaukhova, L.M.; Shpatov, A.V. Simple and efficient process for large scale preparation of betulonic acid from birch bark extracts. Ind. Crops Prod. 2016, 92, 197–200. [Google Scholar] [CrossRef]
- Ryu, S.Y.; Choi, S.U.; Lee, S.H.; Lee, C.O.; No, Z.; Ahn, J.W. Antitumor triterpenes from medicinal plants. Arch. Pharm. Res. 1994, 17, 375–377. [Google Scholar] [CrossRef]
- Shintyapina, A.B.; Shults, E.E.; Petrenko, N.I.; Uzenkova, N.V.; Tolstikov, G.A.; Pronkina, N.V.; Kozhevnikov, V.S.; Pokrovskya, A.G. Effect of nitrogen-containing derivatives of the plant triterpenes betulin and glycyrrhetic acid on the growth of MT-4, MOLT-4, CEM, and Hep G2 tumor cells. Russ. J. Bioorg. Chem. 2007, 33, 579–583. [Google Scholar] [CrossRef]
- Shu, Y.; Li, F.; Han, Y.; Wang, P.; Gao, F.; Yan, M.; Liang, M.; Ma, Q.; Zhang, Y.; Ding, X.; et al. Design, synthesis and cytotoxic evaluation of novel betulonic acid-diazine derivatives as potential antitumor agents. Front. Chem. 2022, 10, 969770. [Google Scholar] [CrossRef] [PubMed]
- Yang, S.J.; Liu, M.C.; Zhao, Q.; Hu, D.Y.; Xue, W.; Yang, S. Synthesis and biological evaluation of betulonic acid derivatives as antitumor agents. Eur. J. Med. Chem. 2015, 96, 58–65. [Google Scholar] [CrossRef] [PubMed]
- Baltina, L.A.; Flekhter, O.B.; Nigmatullina, L.R.; Boreko, E.I.; Pavlova, N.I.; Nikolaeva, S.N.; Savinova, O.V.; Tolstikova, G.A. Lupane triterpenes and derivatives with antiviral activity. Bioorg. Med. Chem. Lett. 2003, 13, 3549–3552. [Google Scholar] [CrossRef] [PubMed]
- Cheresiz, S.V.; Kononona, A.A.; Skarnovich, M.; Volkova, A.N.; Poletaeva Yu, A.; Emaminia, F.; Pyankov, O.V.; Schultz, E.E.; Pokrovsky, A.G. An amide derivative of betulonic acid as a new inhibitor of Sars-CoV-2 spike protein-mediated cell entry and Sars-CoV-2 infection. Insights Chem. Biochem. 2022, 2, ICBC. MS.ID.000535. [Google Scholar]
- Khlebnicova, T.S.; Piven, Y.A.; Baranovsky, A.V.; Lakhvich, F.A.; Sorokina, I.V.; Tolstikova, T.G. Fluorine-containing lupane triterpenoid acid derivatives: Design, synthesis and biological evaluation as potential anti-inflammatory agents. Steroids 2019, 147, 62–69. [Google Scholar] [CrossRef] [PubMed]
- Chue, K.T.; Chang, M.S.; Ten, L.N. Synthesis and antibacterial activity of betulonic acid amides with piperazine derivatives. Chem. Nat. Compd. 2011, 47, 759–763. [Google Scholar] [CrossRef]
- Tsepaeva, O.V.; Nemtarev, A.V.; Salikhova, T.I.; Abdullin, T.I.; Grigor Eva, L.R.; Khozyainova, S.A.; Mironov, V.F. Synthesis, anticancer, and antibacterial activity of betulinic and betulonic acid C-28-triphenylphosphonium conjugates with variable alkyl linker length. Anticancer Agents Med. Chem. 2020, 20, 286–300. [Google Scholar] [CrossRef] [PubMed]
- Rzepka, Z.; Bębenek, E.; Chrobak, E.; Wrześniok, D. Synthesis and anticancer activity of indole-functionalized derivatives of betulin. Pharmaceutics 2022, 14, 2372. [Google Scholar] [CrossRef]
- Bębenek, E.; Chrobak, E.; Rzepka, Z.; Wrześniok, D. New betulin derivatives with nitrogen heterocyclic moiety-synthesis and anticancer activity in vitro. Biomolecules 2022, 12, 1540. [Google Scholar] [CrossRef]
- Demets, O.V.; Takibayeva, A.T.; Kassenov, R.Z.; Aliyeva, M.R. Methods of betulin extraction from birch bark. Molecules 2022, 27, 3621. [Google Scholar] [CrossRef]
- Kim, D.S.H.L.; Chen, Z.D.; Nguyen, V.T.; Pezzuto, J.M.; Qui, S.X.; Lu, Z.Z. A concise semi-synthetic approach to betulinic acid from betulin. Synth. Commun. 1997, 27, 1607–1612. [Google Scholar] [CrossRef]
- Choi, S.Z.; Yang, M.C.; Choi, S.U.; Lee, K.R. Cytotoxic terpenes and lignans from the roots of Ainsliaea acerifolia. Arch. Pharm. Res. 2006, 29, 203–208. [Google Scholar] [CrossRef] [PubMed]
- Guan, L.; Yang, H.; Cai, Y.; Sun, L.; Di, P.; Li, W.; Liu, G.; Tang, Y. ADMET-score—A comprehensive scoring function for evaluation of chemical drug-likeness. Med. Chem. Commun. 2019, 10, 148–157. [Google Scholar] [CrossRef] [PubMed]
- Miller, R.R.; Madeira, M.; Wood, H.B.; Geissler, W.M.; Raab, C.E.; Martin, I.J. Integrating the impact of lipophilicity on potency and pharmacokinetic parameters enables the use of diverse chemical space during small molecule drug optimization. J. Med. Chem. 2020, 63, 12156–12170. [Google Scholar] [CrossRef] [PubMed]
- Lipinski, C.A.; Lombardo, F.; Dominy, B.W.; Feeney, P.J. Experimental and computational approaches to estimate solubility and permeability in drug discovery and development settings. Adv. Drug Deliv. Rev. 1997, 23, 3–25. [Google Scholar] [CrossRef]
- Ghose, A.K.; Viswanadhan, V.N.; Wendoloski, J.J. A knowledge-based approach to the design of combinatorial or medicinal chemistry libraries for drug discovery. 1. A qualitative and quantitative characterization of known drug databases. J. Comb. Chem. 1999, 1, 55–68. [Google Scholar] [CrossRef] [PubMed]
- Veber, D.F.; Johnson, S.R.; Cheng, H.Y.; Smith, B.R.; Ward, K.W.; Kopple, K.D. Molecular properties affecting the oral bioavailability of drug candidates. J. Med. Chem. 2002, 45, 2615–2623. [Google Scholar] [CrossRef] [PubMed]
- Alves, V.M.; Muratov, E.; Fourches, D.; Strickland, J.; Kleinstreuer, N.; Andrade, C.H.; Tropsha, A. Predicting chemically-induced skin reactions. Part II: QSAR models of skin permeability and the relationships between skin permeability and skin sensitization. Toxicol. Appl. Pharmacol. 2015, 284, 273–280. [Google Scholar] [CrossRef] [PubMed]
- Pires, D.E.V.; Blundell, T.L.; Ascher, D.B. pkCSM: Predicting small-molecule pharmacokinetic and toxicity properties using graph-based signatures. J. Med. Chem. 2015, 58, 4066–4072. [Google Scholar] [CrossRef]
- Vilar, S.; Chakrabarti, M.; Costanzi, S. Prediction of passive blood-brain partitioning: Straightforward and effective classification models based on in silico derived physicochemical descriptors. J. Mol. Graph. Model. 2010, 28, 899–903. [Google Scholar] [CrossRef]
- Kadry, H.; Noorani, B.; Cucullo, L. A blood–brain barrier overview on structure, function, impairment, and biomarkers of integrity. Fluids Barriers CNS 2020, 17, 69. [Google Scholar] [CrossRef] [PubMed]
- Sarkar, P.; Alheety, M.A.; Srivastava, V. Molecular docking and ADMET study of spice-derived potential phytochemicals against human DNA topoisomerase III alpha. Macromol. Symp. 2023, 407, 2200108. [Google Scholar] [CrossRef]
- Vlad, I.M.; Nuta, D.C.; Chirita, C.; Caproiu, M.T.; Draghici, C.; Dumitrascu, F.; Bleotu, C.; Avram, S.; Udrea, A.M.; Missir, A.V.; et al. In silico and in vitro experimental studies of new dibenz[b,e]oxepin-11(6H)one O-(arylcarbamoyl)-oximes designed as potential antimicrobial agents. Molecules 2020, 25, 321. [Google Scholar] [CrossRef] [PubMed]
- Westerfield, M. The Zebrafish Book. A Guide for the Laboratory Use of Zebrafish (Danio rerio), 4th ed.; University of Oregon Press: Eugene, OR, USA, 2000; pp. 154–196. [Google Scholar]
- Strähle, U.; Scholz, S.; Geisler, R.; Greiner, P.; Hollert, H.; Rastegar, S.; Schumacher, A.; Selderslaghs, I.; Weiss, C.; Witters, H.; et al. Zebrafish embryos as an alternative to animal experiments—A commentary on the definition of the onset of protected life stages in animal welfare regulations. Reprod. Toxicol. 2012, 33, 128–132. [Google Scholar] [CrossRef] [PubMed]
- Busquet, F.; Strecker, R.; Rawlings, J.M.; Belanger, S.E.; Braunbeck, T.; Carr, G.J.; Cenijn, P.; Fochtman, P.; Gourmelon, A.; Hübler, N.; et al. OECD validation study to assess intra- and inter-laboratory reproducibility of the zebrafish embryo toxicity test for acute aquatic toxicity testing. Regul. Toxicol. Pharmacol. 2014, 69, 496–511. [Google Scholar] [CrossRef]
- Kadela-Tomanek, M.; Jastrzębska, M.; Marciniec, K.; Chrobak, E.; Bębenek, E.; Boryczka, S. Lipophilicity, pharmacokinetic properties, and molecular docking study on SARS-CoV-2 target for betulin triazole derivatives with attached 1,4-quinone. Pharmaceutics 2021, 13, 781. [Google Scholar] [CrossRef]







| Compound | RM0 | b | r | logPTLC |
|---|---|---|---|---|
| Betulonic acid | 5.39 | −0.06 | 0.993 | 6.77 |
| EB170 | 5.02 | −0.06 | 0.996 | 6.35 |
| EB171 | 5.83 | −0.07 | 0.993 | 7.28 |
| EB173 | 6.15 | −0.07 | 0.994 | 7.64 |
| Compound | MW | RefM | HA | HD | RB | TPSA | logPapp in 10−6 cm/s | logKp | logBB | logPS |
|---|---|---|---|---|---|---|---|---|---|---|
| Betulonic acid | 455 | 135.95 | 3 | 1 | 2 | 54.37 | 1.340 | −2.729 | −0.171 | −1.160 |
| EB170 | 520 | 159.42 | 2 | 1 | 3 | 46.17 | 1.256 | −2.768 | −0.785 | −1.662 |
| EB171 | 506 | 154.67 | 2 | 0 | 4 | 37.38 | 1.278 | −2.771 | −0.666 | −1.761 |
| EB173 | 560 | 171.72 | 2 | 1 | 4 | 46.17 | 1.270 | −2.750 | −0.724 | −2.077 |
| Compound Descriptors | Betulonic Acid | EB170 | EB171 | EB173 | Unit |
|---|---|---|---|---|---|
| AMES toxicity | No | no | no | no | yes/no |
| hERG I inhibitor | No | no | no | no | yes/no |
| hERG II inhibitor | No | no | no | no | yes/no |
| Hepatotoxicity | No | no | no | no | yes/no |
| Skin sensitization | No | no | no | no | yes/no |
| IC50 Mean Value ± SD (µM) | |||
|---|---|---|---|
| EB171 | EB173 | Betulonic Acid | |
| MCF-7 | 26 ± 1 | above the tested range | 42 ± 2 |
| MDA-MB-231 | 147 ± 7 | above the tested range | 56 ± 2 |
| C32 | 110 ± 1 | 209 ± 3 | 59 ± 3 |
| A375 | 17 ± 2 | 160 ± 5 | 7 ± 1 |
| COLO 829 | 35 ± 1 | 131 ± 2 | 26 ± 1 |
| HDFs | above the tested range | above the tested range | 14 ± 2 |
Disclaimer/Publisher’s Note: The statements, opinions and data contained in all publications are solely those of the individual author(s) and contributor(s) and not of MDPI and/or the editor(s). MDPI and/or the editor(s) disclaim responsibility for any injury to people or property resulting from any ideas, methods, instructions or products referred to in the content. |
© 2024 by the authors. Licensee MDPI, Basel, Switzerland. This article is an open access article distributed under the terms and conditions of the Creative Commons Attribution (CC BY) license (https://creativecommons.org/licenses/by/4.0/).
Share and Cite
Bębenek, E.; Rzepka, Z.; Hermanowicz, J.M.; Chrobak, E.; Surażyński, A.; Beberok, A.; Wrześniok, D. Synthesis, Pharmacokinetic Profile, Anticancer Activity and Toxicity of the New Amides of Betulonic Acid—In Silico and In Vitro Study. Int. J. Mol. Sci. 2024, 25, 4517. https://doi.org/10.3390/ijms25084517
Bębenek E, Rzepka Z, Hermanowicz JM, Chrobak E, Surażyński A, Beberok A, Wrześniok D. Synthesis, Pharmacokinetic Profile, Anticancer Activity and Toxicity of the New Amides of Betulonic Acid—In Silico and In Vitro Study. International Journal of Molecular Sciences. 2024; 25(8):4517. https://doi.org/10.3390/ijms25084517
Chicago/Turabian StyleBębenek, Ewa, Zuzanna Rzepka, Justyna Magdalena Hermanowicz, Elwira Chrobak, Arkadiusz Surażyński, Artur Beberok, and Dorota Wrześniok. 2024. "Synthesis, Pharmacokinetic Profile, Anticancer Activity and Toxicity of the New Amides of Betulonic Acid—In Silico and In Vitro Study" International Journal of Molecular Sciences 25, no. 8: 4517. https://doi.org/10.3390/ijms25084517
APA StyleBębenek, E., Rzepka, Z., Hermanowicz, J. M., Chrobak, E., Surażyński, A., Beberok, A., & Wrześniok, D. (2024). Synthesis, Pharmacokinetic Profile, Anticancer Activity and Toxicity of the New Amides of Betulonic Acid—In Silico and In Vitro Study. International Journal of Molecular Sciences, 25(8), 4517. https://doi.org/10.3390/ijms25084517

