Sign in to use this feature.

Years

Between: -

Subjects

remove_circle_outline
remove_circle_outline
remove_circle_outline
remove_circle_outline
remove_circle_outline
remove_circle_outline
remove_circle_outline
remove_circle_outline
remove_circle_outline

Journals

remove_circle_outline
remove_circle_outline
remove_circle_outline
remove_circle_outline
remove_circle_outline
remove_circle_outline

Article Types

Countries / Regions

remove_circle_outline
remove_circle_outline
remove_circle_outline
remove_circle_outline

Search Results (630)

Search Parameters:
Keywords = beam shaping design

Order results
Result details
Results per page
Select all
Export citation of selected articles as:
19 pages, 8105 KB  
Article
Seismic Performance of Self-Centering Prestressed Steel Frame Joints Based on Shape Memory Alloys
by Yutao Feng and Weibin Li
Appl. Sci. 2025, 15(22), 12022; https://doi.org/10.3390/app152212022 (registering DOI) - 12 Nov 2025
Abstract
Self-centering structures have emerged as a promising seismic design solution, offering advantages in structural safety, rapid post-earthquake functionality recovery, and life-cycle economy. This paper introduces a self-centering beam–column joint that integrates superelastic shape memory alloys (SMAs) and prestressed steel tendons as restoring components. [...] Read more.
Self-centering structures have emerged as a promising seismic design solution, offering advantages in structural safety, rapid post-earthquake functionality recovery, and life-cycle economy. This paper introduces a self-centering beam–column joint that integrates superelastic shape memory alloys (SMAs) and prestressed steel tendons as restoring components. A numerical model was developed in OpenSees and validated against experimental results, with discrepancies in residual deformation within 10%. The validated model was used for parametric studies on strand area, prestress, and SMA configuration. The results show that the proposed joint sustains a maximum drift of 6% while maintaining nearly zero residual drift (less than 0.2%), and its hysteresis curve exhibits a stable flag-shaped pattern. The equivalent viscous damping ratio exceeds 0.1, confirming excellent deformation and energy dissipation capacities. These findings highlight the joint’s potential for application in seismic-resilient steel frames. Full article
(This article belongs to the Section Civil Engineering)
Show Figures

Figure 1

15 pages, 3031 KB  
Article
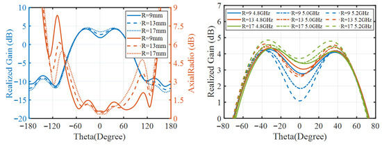
Dielectrically Loaded Circularly Polarized Antennas with Shaped Patterns from Flat-Top to Isoflux
by Xue Ren, Qinghua Liu, Ruihua Liu, Lifeng Tang, Kai Cheng Wang and Pei Qin
Electronics 2025, 14(22), 4363; https://doi.org/10.3390/electronics14224363 - 7 Nov 2025
Viewed by 172
Abstract
This paper introduces a novel design of a circularly polarized (CP) beamforming antenna that is capable of shaping the original beam into a flat-top configuration. Upon loading a metallic ring, the beamforming pattern can transition into an isoflux pattern. The proposed compact lens [...] Read more.
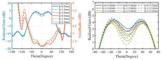
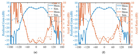
This paper introduces a novel design of a circularly polarized (CP) beamforming antenna that is capable of shaping the original beam into a flat-top configuration. Upon loading a metallic ring, the beamforming pattern can transition into an isoflux pattern. The proposed compact lens antenna comprises a multi-layer honeycomb-like unit lens structure, with a patch and support platform situated beneath the lens. Positioned above the lens, a loadable metallic ring is employed to assist in beamforming. Through a specially designed dielectric lens structure, the lens can control the radiation of electromagnetic waves to achieve the desired beam pattern, while the loadable metallic ring plays a role in optimizing the field across the aperture plane of the lens. This work utilizes a multi-port feed network to drive the patch. To validate the proposed antenna design method, a prototype is fabricated for measurement. The measured result is nearly identical to the simulated result. Within the frequency range spanning from 4.8 GHz to 5.2 GHz (which represents a 10% bandwidth), the antenna demonstrates effective beamforming ability and achieves effective pattern switching. This renders it a promising candidate for scenarios where uniform signal strength coverage is required. Full article
Show Figures

Figure 1

24 pages, 4947 KB  
Article
Global–Local–Distortional Buckling of Shear-Deformable Composite Beams with Open Cross-Sections Using a Novel GBT–Ritz Approach
by Navid Kharghani and Christian Mittelstedt
J. Compos. Sci. 2025, 9(11), 608; https://doi.org/10.3390/jcs9110608 - 5 Nov 2025
Viewed by 207
Abstract
This paper explores the application of the generalized beam theory (GBT) in analyzing the buckling behavior of isotropic and composite thin-walled beams with open cross-sections, both with and without branching. The composite beams are composed of orthotropic laminate layers arranged in arbitrary symmetrical [...] Read more.
This paper explores the application of the generalized beam theory (GBT) in analyzing the buckling behavior of isotropic and composite thin-walled beams with open cross-sections, both with and without branching. The composite beams are composed of orthotropic laminate layers arranged in arbitrary symmetrical orientations. By integrating GBT with the Ritz method and solving the associated generalized eigenvalue problem (GEP), an efficient and robust semi-analytical framework is developed to assess the stability of such isotropic and orthotropic members. The novelty of this work is not the GBT cross-sectional formulation itself, but its implementation at the beam level using a Ritz formulation leading to a generalized eigenvalue problem for the critical buckling loads and mode shapes that capture coupled global, local, and distortional modes in isotropic and orthotropic composite members. This makes the method suitable for early-stage design studies and parametric investigations, where many design variants (geometry, laminate lay-up, and aspect ratios) must be screened quickly without building large-scale high-fidelity finite element (FE) models for each case. The preliminary outcomes, when compared with those obtained using FE, confirm the approach’s effectiveness in evaluating buckling responses, particularly for open-section composite beams. Ultimately, the combined use of GBT and the Ritz method delivers both physical insight and computational efficiency, allowing engineers and researchers to address complex stability issues that were previously difficult to solve. In summary, the methodology can be correctly used for stability assessment of thin-walled composite members prone to interacting global–local–distortional buckling, especially when rapid, mechanistically transparent predictions are required rather than purely numerical FE output. Full article
(This article belongs to the Special Issue Theoretical and Computational Investigation on Composite Materials)
Show Figures

Figure 1

73 pages, 13990 KB  
Review
Computational and Experimental Insights into Blast Response and Failure Mechanisms of Square, Rectangular and Circular Reinforced Concrete Columns: A State-of-the-Art Review
by S. M. Anas, Rayeh Nasr Al-Dala’ien, Mohammed Benzerara and Mohammed Jalal Al-Ezzi
Buildings 2025, 15(21), 3928; https://doi.org/10.3390/buildings15213928 - 30 Oct 2025
Viewed by 443
Abstract
Blast damage to structural members poses serious risks to both buildings and people, making it important to understand how these elements behave under extreme loads. Columns in reinforced concrete (RC) structures are especially critical, as their sudden failure can trigger progressive collapse, unlike [...] Read more.
Blast damage to structural members poses serious risks to both buildings and people, making it important to understand how these elements behave under extreme loads. Columns in reinforced concrete (RC) structures are especially critical, as their sudden failure can trigger progressive collapse, unlike beams or slabs that have more redundancy. This state-of-the-art review brings together the current knowledge of the blast response of RC columns, focusing on their failure patterns, dynamic behavior, and key loading mechanisms. The studies covered include experiments, high-fidelity numerical simulations, emerging machine learning approaches, and analytical models for columns of different shapes (square, rectangular, circular) and strengthening methods, such as fiber reinforcement, steel-concrete composite confinement, and advanced retrofitting. Composite columns are also reviewed to compare their hybrid confinement and energy-absorption advantages over conventional RC members. Over forty specific studies on RC columns were analyzed, comparing the results based on geometry, reinforcement detailing, materials, and blast conditions. Both near-field and contact detonations were examined, along with factors like axial load, standoff distance, and confinement. This review shows that RC columns respond very differently to blasts depending on their shape and reinforcement. Square, rectangular, and circular sections fail in distinct ways. Use of ultra-high-performance concrete, steel fibers, steel-concrete composite, and fiber-reinforced polymer retrofits greatly improves peak and residual load capacity. Ultra-high-performance concrete can retain a significantly higher fraction of axial load (often >70%) after strong blasts, compared to ~40% in conventional high-strength RC under similar conditions. Larger sections, closer stirrups, higher transverse reinforcement, and good confinement reduce spalling, shear failure, and mid-height displacement. Fiber-reinforced polymer and steel-fiber wraps typically improve residual strength by 10–15%, while composite columns with steel cores remain stiff and absorb more energy post-blast. Advanced finite element simulations and machine learning models now predict displacements, damage, and residual capacity more accurately than older methods. However, gaps remain. Current design codes of practice simplify blast loads and often do not account for localized damage, near-field effects, complex boundary conditions, or pre-existing structural weaknesses. Further research is needed on cost-effective, durable, and practical retrofitting strategies using advanced materials. This review stands apart from conventional literature reviews by combining experimental results, numerical analysis, and data-driven insights. It offers a clear, quantitative, and comparative view of RC column behavior under blast loading, identifies key knowledge gaps, and points the way for future design improvements. Full article
(This article belongs to the Section Building Structures)
Show Figures

Figure 1

21 pages, 5085 KB  
Article
Finite Element Model Updating of a Steel Cantilever Beam: Experimental Validation and Digital Twin Integration
by Mohammad Amin Oyarhossein, Gabriel Sugiyama, Fernanda Rodrigues and Hugo Rodrigues
Buildings 2025, 15(21), 3890; https://doi.org/10.3390/buildings15213890 - 28 Oct 2025
Viewed by 362
Abstract
Accurate identification of modal properties in a steel cantilever beam is crucial for enhancing numerical models and supporting structural health monitoring, particularly when numerical and experimental data are combined. This study investigates the modal system identification of a steel cantilever beam using finite [...] Read more.
Accurate identification of modal properties in a steel cantilever beam is crucial for enhancing numerical models and supporting structural health monitoring, particularly when numerical and experimental data are combined. This study investigates the modal system identification of a steel cantilever beam using finite element method (FEM) simulations, which are validated by experimental testing. The beam was bolted to a reinforced concrete block and subjected to dynamic testing, where natural frequencies and mode shapes were extracted through Frequency Domain Decomposition (FDD). The experimental outcomes were compared with FEM predictions from SAP2000, and discrepancies were analysed using the Modal Assurance Criterion (MAC). A model updating procedure was applied, refining boundary conditions and considering sensor mass effects, which improved model accuracy. The updated FEM achieved closer agreement with frequency deviations reduced to less than 4% and MAC values above 0.9 for the first three modes. Beyond validation, the research links the updated FEM results with a Building Information Modelling (BIM) framework to enable the development of a digital twin of the beam. A workflow was designed to connect vibration monitoring data with BIM, providing visualisation of structural performance through colour-coded alerts. The findings confirm the effectiveness of FEM updating in generating reliable modal representations and demonstrate the potential of BIM-based digital twins for advancing structural condition assessment, maintenance planning and decision-making in civil engineering practice. Full article
(This article belongs to the Collection Innovation in Structural Analysis and Dynamics for Constructions)
Show Figures

Figure 1

16 pages, 3381 KB  
Article
Strut-and-Tie Modeling of Intraply Hybrid Composite-Strengthened Deep RC Beams
by Ferit Cakir and Muhammed Alperen Ozdemir
Buildings 2025, 15(21), 3810; https://doi.org/10.3390/buildings15213810 - 22 Oct 2025
Viewed by 286
Abstract
This study presents a strut-and-tie modeling (STM) framework for reinforced concrete (RC) deep beams strengthened with intraply hybrid composites (IRCs), integrating comprehensive experimental data from beams with three different span lengths (1.0 m, 1.5 m, and 2.0 m). Although the use of fiber-reinforced [...] Read more.
This study presents a strut-and-tie modeling (STM) framework for reinforced concrete (RC) deep beams strengthened with intraply hybrid composites (IRCs), integrating comprehensive experimental data from beams with three different span lengths (1.0 m, 1.5 m, and 2.0 m). Although the use of fiber-reinforced polymers (FRPs) for shear strengthening of RC members is well established, limited attention has been given to the development of STM formulations specifically adapted for hybrid composite systems. In this research, three distinct IRC configurations—Aramid–Carbon (AC), Glass–Aramid (GA), and Carbon–Glass (CG)—were applied as U-shaped jackets to RC beams without internal transverse reinforcement and tested under four-point bending. All experimental data were derived from the authors’ previous studies, ensuring methodological consistency and providing a robust empirical basis for model calibration. The proposed modified STM incorporates both the axial stiffness and effective strain capacity of IRCs into the tension tie formulation, while also accounting for the enhanced diagonal strut performance arising from composite confinement effects. Parametric evaluations were conducted to investigate the influence of the span-to-depth ratio (a/d), composite configuration, and failure mode on the internal force distribution and STM topology. Comparisons between the STM-predicted shear capacities and experimental results revealed excellent correlation, particularly for deep beams (a/d = 1.0), where IRCs substantially contributed to the shear transfer mechanism through active tensile engagement and confinement. To the best of the authors’ knowledge, this is the first study to formulate and validate a comprehensive STM specifically designed for RC deep beams strengthened with IRCs. The proposed approach provides a unified analytical framework for predicting shear strength and optimizing the design of composite-strengthened RC structures. Full article
(This article belongs to the Section Building Materials, and Repair & Renovation)
Show Figures

Figure 1

12 pages, 1264 KB  
Article
A Hybrid Simulated Annealing Approach for Loaded Phase Optimization in Digital Lasers for Structured Light Generation
by Ying-Jung Chen, Kuo-Chih Chang, Tzu-Le Yang and Shu-Chun Chu
Photonics 2025, 12(10), 1005; https://doi.org/10.3390/photonics12101005 - 13 Oct 2025
Viewed by 394
Abstract
This study proposes a method for designing spatial light modulator (SLM) projection phases in digital lasers using a simulated annealing (SA) approach combined with an initialized pre-designed phase to generate structured laser beams. SLM projection phases are optimized within the SA framework using [...] Read more.
This study proposes a method for designing spatial light modulator (SLM) projection phases in digital lasers using a simulated annealing (SA) approach combined with an initialized pre-designed phase to generate structured laser beams. SLM projection phases are optimized within the SA framework using a cost function based on the correlation between the corresponding laser field patterns and the target field. Numerical simulations demonstrate both the effectiveness of the proposed phase design method and its improvement in generating three geometric beams—quadrangular pyramid, triangular pyramid, and multi-ring fields—particularly with regard to enhanced edge sharpness. The resulting structured beams, especially those with simple geometric shapes, are suitable for microfabrication applications such as photolithography and photopolymerization. The proposed SA iteration framework is not limited to the L-shaped resonator used in this study and can be extended to digital laser cavities with higher numerical apertures, enabling the generation of more complex structured light fields. Full article
Show Figures

Figure 1

26 pages, 7145 KB  
Article
Mechanical Properties of a New Type of Link Slab for Simply Supported Steel–Concrete Composite Bridges
by Liang Xiao, Qingtian Su and Qingquan Wang
Appl. Sci. 2025, 15(19), 10851; https://doi.org/10.3390/app151910851 - 9 Oct 2025
Viewed by 370
Abstract
This study investigates the mechanical behavior of a new type of link slab through experimental testing and numerical simulation. A full-scale segmental specimen of an I-shaped steel–concrete composite beam was designed, and a vertical active plus horizontal follow-up loading system was employed to [...] Read more.
This study investigates the mechanical behavior of a new type of link slab through experimental testing and numerical simulation. A full-scale segmental specimen of an I-shaped steel–concrete composite beam was designed, and a vertical active plus horizontal follow-up loading system was employed to realistically simulate the stress state of the link slab. In parallel, a nonlinear finite element model was established in ABAQUS to validate and extend the experimental findings. Test results indicate that the link slab exhibits favorable static performance with a ductile flexural tensile failure mode. At ultimate load, tensile reinforcement yielded while compressive concrete remained uncrushed, demonstrating high safety reserves. Cracks propagated primarily in the transverse direction, showing a typical flexural tensile cracking pattern. The maximum crack width was limited to 0.4 mm and remained confined within the link slab region, which is beneficial for long-term durability, maintenance, and repair. The FE model successfully reproduced the experimental process, accurately capturing both the crack development and the ultimate bending capacity of the slab. The findings highlight the reliability of the proposed structural system, demonstrate that maximum crack width can be evaluated as an eccentric tension member, and confirm that bending capacity may be assessed using existing design specifications. Full article
Show Figures

Figure 1

18 pages, 4661 KB  
Article
GMNIA-Based Evaluation of Cable-Prestressed H-Shaped Steel Columns
by Noureddine Ziane and Giuseppe Ruta
Appl. Sci. 2025, 15(19), 10826; https://doi.org/10.3390/app151910826 - 9 Oct 2025
Viewed by 292
Abstract
 The strengthening technique by external cable prestressing, until now limited to columns with circular hollow sections (CHSs), is here extended to H-shaped steel columns. To provide an innovative general treatment, an initial imperfection, obtained from the analytical equivalence between Eurocode 3 and [...] Read more.
 The strengthening technique by external cable prestressing, until now limited to columns with circular hollow sections (CHSs), is here extended to H-shaped steel columns. To provide an innovative general treatment, an initial imperfection, obtained from the analytical equivalence between Eurocode 3 and Ayrton–Perry formulations, is introduced. By this, a geometrically and materially nonlinear imperfection analysis (GMNIA) is performed by the finite element commercial code Abaqus. A parametric analysis identifies the deviator length, cable tension, and slenderness ratio as key parameters. Results confirm that, on the one hand, cable prestressing yields a critical load that is approximately twice that for non-prestressed elements (680 kN against 340 kN for a beam 8 m long); this effect grows with the column length. On the other hand, a simulation on a two-story frame supported by 12 columns, each 4 m long, spaced by 4 and 6 m in the two directions, under vertical ‘dead’ load shows that prestressed HEA200 columns perform as non-prestressed larger HEA220 profiles; thus, their use in this case leads to saving approximately 1.18 tons of steel; both these results are of practical interest in design of steel structures. Full article
(This article belongs to the Section Civil Engineering)
Show Figures

Figure 1

17 pages, 3222 KB  
Article
Residual Temperature Prediction in Selective Laser Melting by Deep Neural Networks
by Nikolaos Papadimitriou, Emmanuel Stathatos and George-Christopher Vosniakos
Metals 2025, 15(10), 1119; https://doi.org/10.3390/met15101119 - 9 Oct 2025
Viewed by 442
Abstract
Selective laser melting (SLM) builds metal parts layer by layer by locally melting powder with a fine laser beam, generating complex, geometry-dependent temperature gradients that govern density, microstructure, defects, and residual stresses. Resolving these gradients with high-fidelity finite-element (FE) models is prohibitively slow [...] Read more.
Selective laser melting (SLM) builds metal parts layer by layer by locally melting powder with a fine laser beam, generating complex, geometry-dependent temperature gradients that govern density, microstructure, defects, and residual stresses. Resolving these gradients with high-fidelity finite-element (FE) models is prohibitively slow because the temperature field must be evaluated at dense points along every scan track across multiple layers, while the laser spot is orders of magnitude smaller than typical layer dimensions. This study replaces FE analysis with a deep neural network that predicts the end-of-build temperature field orders of magnitude faster. A benchmark part containing characteristic shape features is introduced to supply diverse training cases, and a novel control-volume-based geometry-abstraction scheme encodes arbitrary workpiece shapes into compact, learnable descriptors. Thermal simulation data from the benchmark train the network, which then predicts the residual temperature field of an unseen, geometrically dissimilar part with a mean absolute error of ~10 K and a mean relative error of ~1% across 500–1300 K. The approach thus offers a rapid, accurate surrogate for FE simulations, enabling efficient temperature-driven optimization of SLM process parameters and part designs. Full article
Show Figures

Graphical abstract

23 pages, 3652 KB  
Article
Vibration Control of a Two-Link Manipulator Using a Reduced Model
by Amir Mohamad Kamalirad and Reza Fotouhi
Vibration 2025, 8(4), 58; https://doi.org/10.3390/vibration8040058 - 1 Oct 2025
Viewed by 350
Abstract
This research aims to actively suppress vibrations at the end-effector of a flexible manipulator. When configured in a locked state, the system behaves as a two-link manipulator subjected to disturbances on the first link. To analyze its behavior, Finite Element Analysis (FEA) is [...] Read more.
This research aims to actively suppress vibrations at the end-effector of a flexible manipulator. When configured in a locked state, the system behaves as a two-link manipulator subjected to disturbances on the first link. To analyze its behavior, Finite Element Analysis (FEA) is employed to extract the natural frequencies (eigenvalues) and corresponding mode shapes (eigenvectors) of a two-link, two-joint flexible manipulator (2L2JM). The obtained eigenvectors are transformed into uncoupled state-space equations using balanced realization and the Match-DC-Gain model reduction algorithm. An H-infinity controller is then designed and applied to both the full-order and reduced-order models of the manipulator. The objective of this study is to validate an analytical framework through FEA, demonstrating its applicability to complex manipulators with multiple joints and flexible links. Given that the full state-space representation typically results in high-dimensional matrices, model reduction enables effective vibration control with a minimal number of states. The derivation of the 2L2JM state space, its model reduction, and a subsequent control strategy have not been previously addressed in this manner. Simulation results showcasing vibration suppression of a cantilever beam are presented and benchmarked against two alternative modeling approaches. Full article
Show Figures

Figure 1

12 pages, 5483 KB  
Communication
An Antenna Array with Wide Flat-Top Beam and Low Sidelobes for Aerial Target Detection
by Liangzhou Li, Yan Dong, Xiao Cai and Jingqian Tian
Sensors 2025, 25(19), 5991; https://doi.org/10.3390/s25195991 - 28 Sep 2025
Viewed by 916
Abstract
The misuse of drone technology poses significant risks to public and personal safety, emphasizing the need for accurate and efficient aerial target detection to prevent detection failures due to randomly distributed airborne targets and mitigate interference from undesired directions. Unlike conventional beam-synthesis techniques [...] Read more.
The misuse of drone technology poses significant risks to public and personal safety, emphasizing the need for accurate and efficient aerial target detection to prevent detection failures due to randomly distributed airborne targets and mitigate interference from undesired directions. Unlike conventional beam-synthesis techniques that often require either a large number of array elements or iterative numerical optimization, the proposed method analytically derives the excitation distribution by solving a newly formulated weighted-constraint problem, thereby fully accounting for mutual coupling between elements and ensuring both computational efficiency and design accuracy. In this communication, a 10 × 4 planar microstrip antenna array with a wide flat-top beam and low sidelobe is designed based on the extended method of maximum power transmission efficiency. The optimized distribution of excitations for the antenna array, which achieves a shaped beam with uniform gain over the desired angular range while suppressing sidelobe levels (SLLs) outside the shaped region, is derived by analytically solving a newly formulated weighted constraint problem. To reduce the number of antenna elements and enhance radiation characteristics, the inter-element spacings in the E-plane and H-plane are set to 0.55 λ0 and 0.75 λ0, where λ0 is the free-space wavelength at 3.5 GHz. Measurement results indicate that the flat-top beam in the E-plane has a wide half-power beamwidth (HPBW) of 51.2° and a low SLL of −30.1 dB, while the beam in the H-plane has a narrow HPBW of 20.1° and a low SLL of −30.5 dB, thereby demonstrating its capability in aerial target detection and airborne tracking applications. Full article
(This article belongs to the Special Issue Recent Trends and Developments in Antennas: Second Edition)
Show Figures

Figure 1

8 pages, 1758 KB  
Article
High-Resolution Line-Scanning Two-Photon Microscope
by Elton Hasani and Luca Tartara
Photonics 2025, 12(10), 958; https://doi.org/10.3390/photonics12100958 - 27 Sep 2025
Viewed by 479
Abstract
A two-photon fluorescence microscope employing line-shaped illumination is presented. This type of excitation is commonly expected to bring about the degradation of axial resolution because of the weaker focusing of the illuminating beam in just one direction. On the basis of a detailed [...] Read more.
A two-photon fluorescence microscope employing line-shaped illumination is presented. This type of excitation is commonly expected to bring about the degradation of axial resolution because of the weaker focusing of the illuminating beam in just one direction. On the basis of a detailed theoretical investigation of the beam shaping performed by cylindrical lenses when inserted in conventional point-scanning systems, we design and implement a microscope set-up making use of readily available optical components. The experimental results show that the proper choice and arrangement of the cylindrical lenses that we have devised is able to preserve the optical-sectioning capability at the video-rate acquisition speed. Full article
Show Figures

Figure 1

33 pages, 7138 KB  
Review
Comparative Analysis of Properties and Behaviour of Scaffolding Joints and Anchors
by Amin Ramezantitkanloo, Dariusz Czepiżak and Michał Pieńko
Appl. Sci. 2025, 15(19), 10371; https://doi.org/10.3390/app151910371 - 24 Sep 2025
Viewed by 483
Abstract
Scaffolds are temporary structures that workers usually use during building or repair work. These structures can be built in different shapes and types depending on the type of joints to which the beams and columns of the scaffolds are connected. Due to their [...] Read more.
Scaffolds are temporary structures that workers usually use during building or repair work. These structures can be built in different shapes and types depending on the type of joints to which the beams and columns of the scaffolds are connected. Due to their temporary nature, they are very sensitive to vibration under dynamic or static actions, and this causes many accidents and unstable behaviours in them. This unstable behaviour has different reasons, including bracing conditions and slenderness of the columns, stiffness of joints and anchors, imperfections in the construction, damage and corrosion due to climate change, etc. This article aims to reanalyse the mechanical properties of scaffold joints and anchors and obtain some critical factors in the overall stability of the mentioned structures, including load-bearing capacity, initial stiffness, energy absorption, and ductility. To this aim, some recent research on scaffolds has been summarised and discussed, and then the failure mode and mechanical behaviour of the scaffolds in different types of scaffold joints and anchors have been estimated and considered from previous studies. Moreover, some mechanical properties, including ductility, initial stiffness, and energy absorption, have been estimated and developed based on the force-displacement curves of previous studies. The results highlight the crucial importance of the mechanical properties and behaviour of anchors and joints in estimating the behaviour and stability of scaffolds. The results also revealed that determining the mechanical characteristics of the mentioned elements can have a significant influence on the optimisation and design of scaffolds more accurately and predictably. Moreover, determining the mechanical properties of the anchors and joints can enhance our insights and understanding of how the mentioned parameters can improve the behaviour, stability, and safety of the scaffold structures. Full article
(This article belongs to the Special Issue Innovative Approaches to Non-Destructive Evaluation)
Show Figures

Figure 1

11 pages, 598 KB  
Article
Neutronics Design of a Beam Shaping Assembly in an Accelerator-Based Neutron Source for the Boron Neutron Capture Therapy System at the University of Osaka
by Isao Murata, Makoto Sakai, Shingo Tamaki, Sachiko Yoshihashi, Itsuro Kato, Sachie Kusaka, Fuminobu Sato, Hiroshi Horiike and Shuhei Kuri
Appl. Sci. 2025, 15(18), 10248; https://doi.org/10.3390/app151810248 - 20 Sep 2025
Viewed by 390
Abstract
An accelerator-based neutron source (ABNS) for boron neutron capture therapy (BNCT) is under development at the University of Osaka, Japan. It can supply a sufficiently intense epi-thermal neutron flux of ~8 × 108 n/s/cm2 and, at the same time, enable the [...] Read more.
An accelerator-based neutron source (ABNS) for boron neutron capture therapy (BNCT) is under development at the University of Osaka, Japan. It can supply a sufficiently intense epi-thermal neutron flux of ~8 × 108 n/s/cm2 and, at the same time, enable the whole-body dose to be substantially suppressed (~0.26 Sv/irradiation) by employing a p-Li reaction as a neutron emission reaction. At present, we are designing all the equipment to be implemented in the BNCT machine. Previously, prior to the design of the real machine, we carried out mock-up experiments to demonstrate epi-thermal neutron production and check our neutronics design code system with a prototype beam shaping assembly (BSA). The series of experiments was conducted with a Dynamitron accelerator at Birmingham University, UK. Based on the experimental results, the first neutronics design of the real machine was completed. The design result was described, together with details of the neutronics design goal and design code system. Now, our p-liquid Li-based ABNS-BNCT system is planned to be constructed in the Institute of Free Electron Laser at the University of Osaka, Osaka, Japan. Full article
Show Figures

Figure 1

Back to TopTop