An Antenna Array with Wide Flat-Top Beam and Low Sidelobes for Aerial Target Detection
Abstract
1. Introduction
2. Design Method
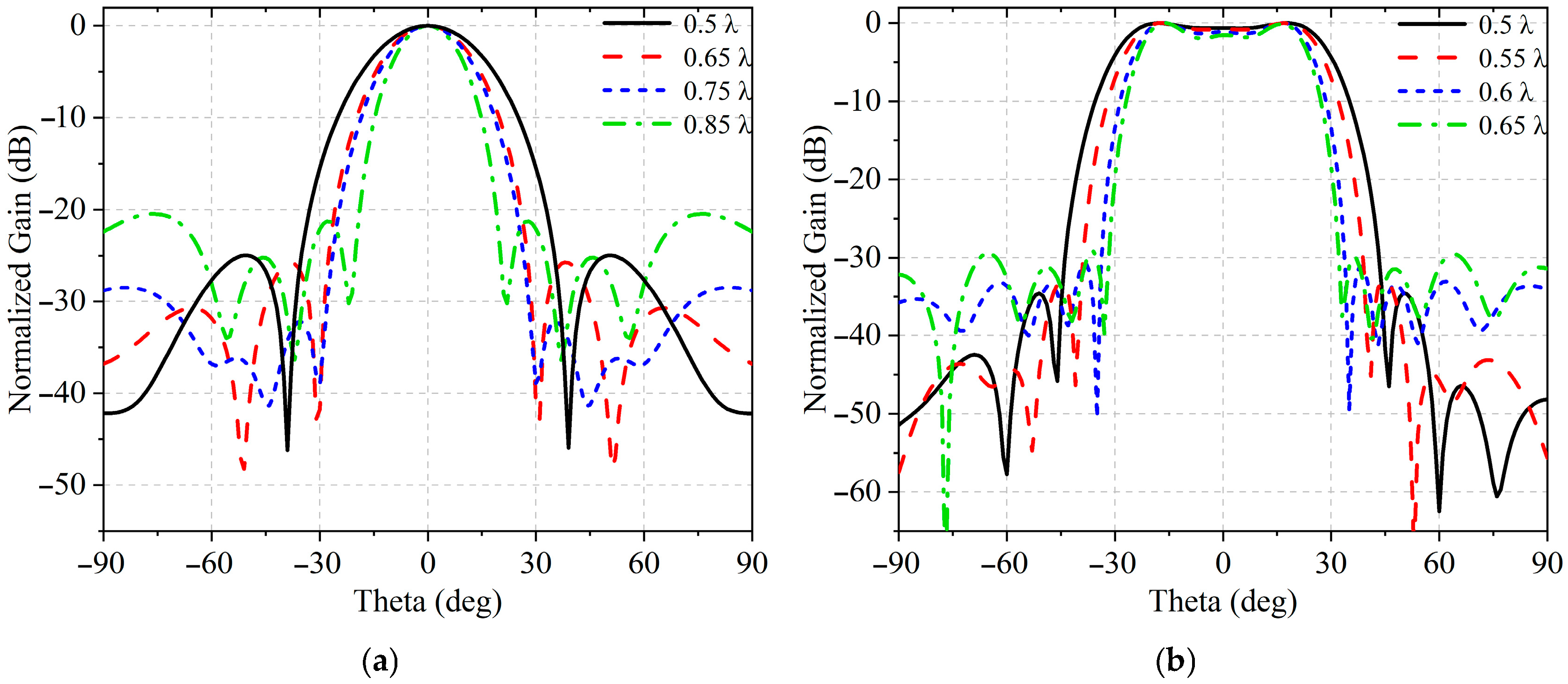
3. Sector Beam Antenna Array Optimization
4. Results and Discussion
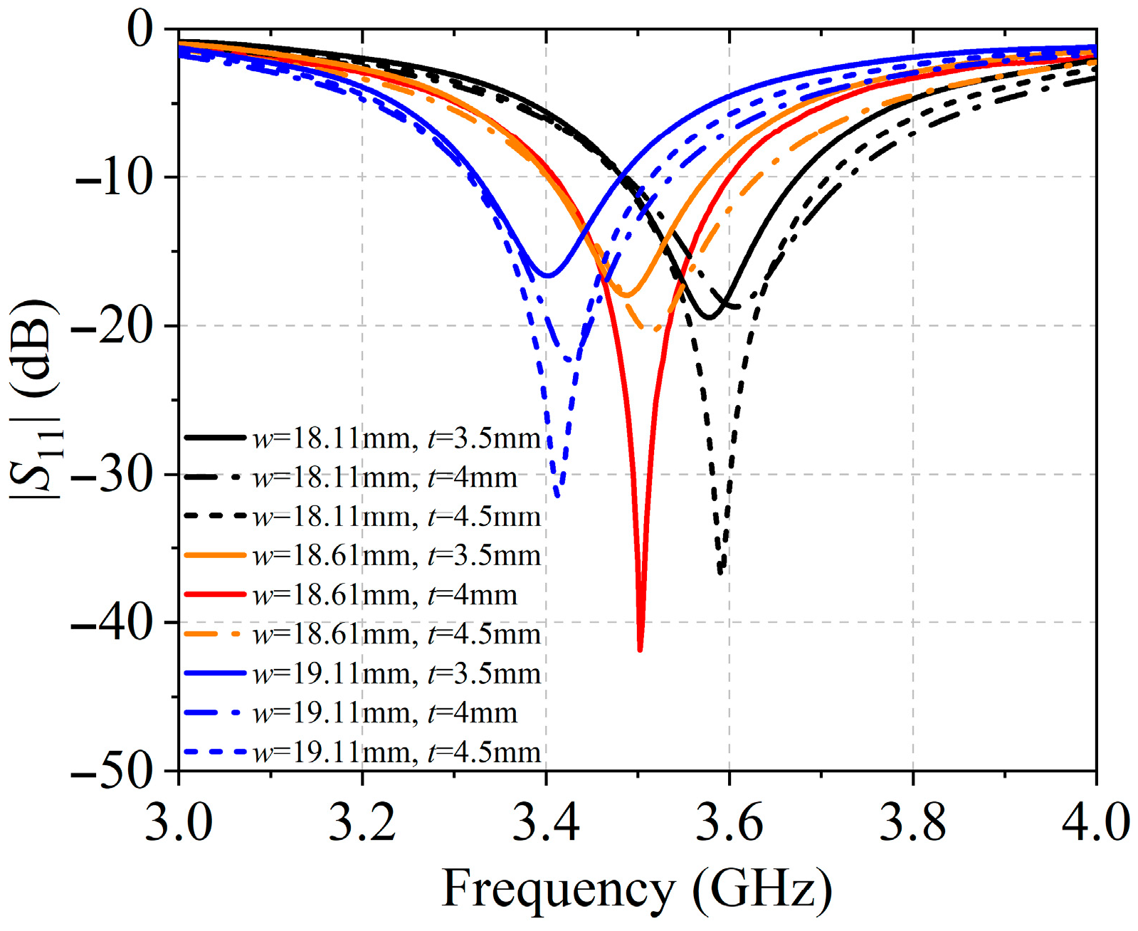
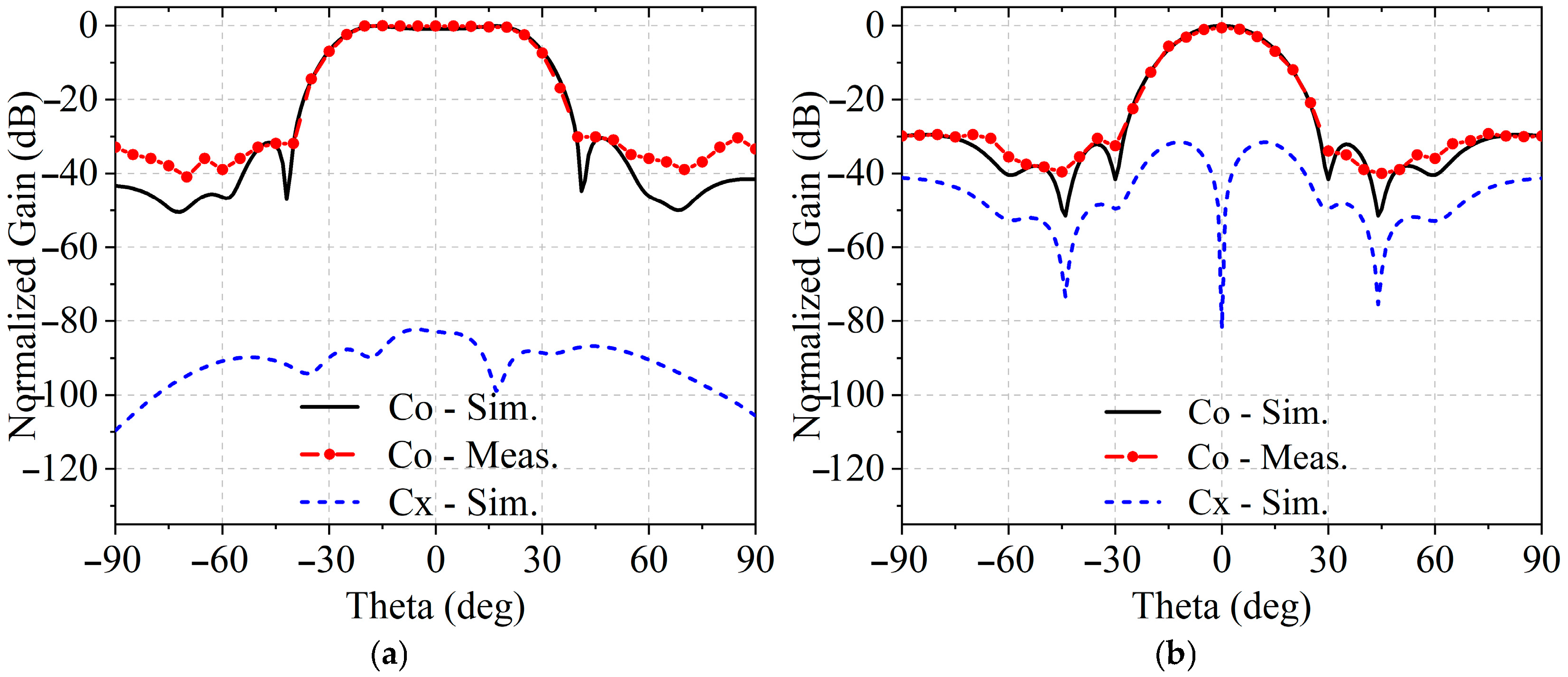
4.1. Simulation and Measurement Results
4.2. Comparison and Discussion
5. Conclusions
Author Contributions
Funding
Institutional Review Board Statement
Informed Consent Statement
Data Availability Statement
Acknowledgments
Conflicts of Interest
References
- Chen, Z.N. Handbook of Antenna Technologies; Springer: Singapore, 2016. [Google Scholar]
- Hay, S.G.; Archer, J.W.; Timms, G.P.; Smith, S.L. A beam-scanning dual-polarized fan-beam antenna suitable for millimeter wavelengths. IEEE Trans. Antennas Propag. 2005, 53, 2516–2524. [Google Scholar] [CrossRef]
- Hay, S.G.; Smith, S.L.; Timms, G.P.; Archer, J.W. Three-shaped reflector beam-scanning pillbox antenna suitable for mm wavelengths. IEEE Trans. Antennas Propag. 2011, 59, 2495–2501. [Google Scholar] [CrossRef]
- Carver, K.R.; Mink, J.W. Microstrip antenna technology. IEEE Trans. Antennas Propag. 1981, 29, 2–24. [Google Scholar] [CrossRef]
- Yu, C.A.; Li, E.S.; Jin, H.; Cao, Y.; Su, G.R.; Che, W. 24 GHz horizontally polarized automotive antenna arrays with wide fan beam and high gain. IEEE Trans. Antennas Propag. 2019, 67, 892–904. [Google Scholar] [CrossRef]
- Lyu, Y.L.; Liu, X.X.; Wang, P.Y.; Erni, D.; Wu, Q.; Wang, C. Leaky-wave antennas based on noncutoff substrate integrated waveguide supporting beam scanning from backward to forward. IEEE Trans. Antennas Propag. 2016, 64, 2155–2164. [Google Scholar] [CrossRef]
- Falahati, A.; Jahromi, M.N.; Edwards, R.M. Wideband fan-beam low-sidelobe array antenna using grounded reflector for DECT, 3G, and ultra-wideband wireless applications. IEEE Trans. Antennas Propag. 2013, 61, 700–706. [Google Scholar] [CrossRef]
- Khalifa, M.O.; Yacoub, A.M.; Aloi, D.N. A Multiwideband Compact antenna design for vehicular sub-6 GHz 5G wireless systems. IEEE Trans. Antennas Propag. 2021, 69, 8136–8142. [Google Scholar] [CrossRef]
- Zhou, Y.; Jiang, T.; Li, H.; Chen, F. A 5G MIMO multiband low-profile antenna design for automotive Shark-Fin systems. IEEE Antennas Wirel. Propag. Lett. 2024, 23, 1588–1592. [Google Scholar] [CrossRef]
- Hua, C.; Yang, N.; Wu, X.; Wu, W. Millimeter-wave fan-beam antenna based on step-index cylindrical homogeneous lens. IEEE Antennas Wirel. Propag. Lett. 2012, 11, 1512–1516. [Google Scholar]
- Yin, J.; Wu, Q.; Yu, C.; Wang, H.; Hong, W. Low-sidelobe-level series-fed microstrip antenna array of unequal interelement spacing. IEEE Antennas Wirel. Propag. Lett. 2017, 16, 1695–1698. [Google Scholar] [CrossRef]
- Cai, X.; Geyi, W.; Guo, Y. A compact rectenna with flat-top angular coverage for RF energy harvesting. IEEE Antennas Wirel. Propag. Lett. 2021, 20, 1307–1311. [Google Scholar] [CrossRef]
- Cai, X.; Wang, Z.; Dong, Y.; Xu, P. Three-Dimensional flat-top beam shaping for planar antenna arrays based on the method of maximum power transmission efficiency. IEEE Antennas Wirel. Propag. Lett. 2025. early access. [Google Scholar] [CrossRef]
- Puskely, J.; Mikulasek, T.; Aslan, Y.; Roederer, A.; Yarovoy, A. 5G SIW-based phased antenna array with cosecant-squared shaped pattern. IEEE Trans. Antennas Propag. 2022, 70, 250–259. [Google Scholar] [CrossRef]
- Li, M.; Pu, L.; Tang, M.C.; Zhu, L. A single-layer dual-band array at low-frequency ratio with concurrent broad fan beam and narrow pencil beam. IEEE Trans. Antennas Propag. 2022, 70, 3354–3365. [Google Scholar] [CrossRef]
- Ran, X.; Wang, X.H.; Hu, Y.D.; Qu, S.W.; Wang, B.Z. Dual-polarized nonuniform Fabry–Pérot cavity antenna with flat-topped radiation pattern. IEEE Antennas Wirel. Propag. Lett. 2022, 21, 1060–1064. [Google Scholar] [CrossRef]
- Cai, X.; Zhao, Q.; Xu, P.; Geyi, W. Synthesis of cosecant-squared pattern with a compact linear array using the extended method of maximum power transmission efficiency. IEEE Antennas Wirel. Propag. Lett. 2025, 24, 863–867. [Google Scholar] [CrossRef]
- Dong, Y.; Cai, X.; Geyi, W. Circularly polarized antenna array with suppressed sidelobes for electronic toll collection. IEEE Antennas Wirel. Propag. Lett. 2022, 21, 988–992. [Google Scholar] [CrossRef]
- Chen, J.; Hu, T.; Zhao, Y.T.; Li, L.; Bao, M.; Su, T. Realization of high-gain low-sidelobe wide-sector beam using inductive diaphragms loaded slotted ridge waveguide antenna array for air detection applications. IEEE Antennas Wirel. Propag. Lett. 2022, 70, 2698–2707. [Google Scholar] [CrossRef]
- Cai, X.; Geyi, W. An optimization method for the synthesis of flat-top radiation patterns in the near- and far-field regions. IEEE Trans. Antennas Propag. 2019, 67, 980–987. [Google Scholar] [CrossRef]
- Feng, L.; Huang, L.; Li, Q.; Chen, M. Deterministic beamforming for unmanned aerial vehicle array. IEEE Trans. Veh. Technol. 2023, 72, 6783–6788. [Google Scholar] [CrossRef]
- Haupt, R. Thinned arrays using genetic algorithms. IEEE Trans. Antennas Propag. 1994, 42, 993–999. [Google Scholar] [CrossRef]
- Farhat, N.; Bai, B. Phased array antenna pattern synthesis by simulated annealing. Proc. IEEE 1987, 75, 842–844. [Google Scholar] [CrossRef]
- Ismail, T.H.; Hamici, Z.M. Array pattern synthesis using digital phase control by quantized particle swarm optimization. IEEE Trans. Antennas Propag. 2010, 58, 2142–2145. [Google Scholar] [CrossRef]
- Dong, Y.; Cai, X.; Geyi, W. A pattern shaping method for focused antenna arrays. IEEE Antennas Wirel. Propag. Lett. 2024, 23, 1236–1240. [Google Scholar] [CrossRef]
- Geyi, W. The method of maximum power transmission efficiency for the design of antenna arrays. IEEE Open J. Antennas Propag. 2021, 2, 412–430. [Google Scholar] [CrossRef]
- Dong, Y.; Cai, X.; Geyi, W. A weighted method for multi-beam synthesis with controllable gain and sidelobe suppression. IEEE Trans. Antennas Propag. 2025, 73, 5291–5299. [Google Scholar] [CrossRef]
- Nguyen, D.M.; Au, N.D.; Seo, C. Aperture-coupled patch antenna with flat-top beam for microwave power transmission. IEEE Antennas Wirel. Propag. Lett. 2022, 21, 2130–2134. [Google Scholar] [CrossRef]
- Xu, M.; Zhang, C.; Qiao, H.; Zhang, Q.; Deng, C.; Yu, W. Sparse antenna array with flat-top and sharp cutoff radiation patterns. IEEE Trans. Antennas Propag. 2023, 71, 4695–4703. [Google Scholar] [CrossRef]
- Chen, C.; Zhang, B.; Huang, K. Nonuniform Fabry–Pérot leaky-wave antenna with flat-topped radiation patterns for microwave wireless power transmission. IEEE Antennas Wirel. Propag. Lett. 2019, 18, 1863–1867. [Google Scholar] [CrossRef]
- Hao, Q.; Zheng, S.; Lu, K. An SIW horn antenna with flat-top beam for millimeter-wave applications. IEEE Antennas Wirel. Propag. Lett. 2021, 23, 608–612. [Google Scholar] [CrossRef]
- Wang, C.; Chen, Y.; Yang, S. Dual-band dual-polarized antenna array with flat-top and sharp cutoff radiation patterns for 2G/3G/LTE cellular bands. IEEE Trans. Antennas Propag. 2018, 66, 5907–5917. [Google Scholar] [CrossRef]









| Spacing (λ0) | HPBW (°) | SLL (dB) |
|---|---|---|
| 0.5 | 28.7 | −25 |
| 0.65 | 22.7 | −25.7 |
| 0.75 | 21 | −33.3 |
| 0.85 | 17.2 | −21.3 |
| Spacing (λ0) | Beamwidth (°) | SLL (dB) | Attenuating Capacity (°) | Fluctuation (dB) |
|---|---|---|---|---|
| 0.5 | 56.3 | −36.5 | 10 | 0.79 |
| 0.55 | 52.2 | −33.1 | 8.97 | 0.76 |
| 0.6 | 47.4 | −29.8 | 6.8 | 1.34 |
| 0.65 | 44.9 | −29 | 6 | 1.97 |
| Port No. | ODE Without SLL Suppression | ODE with SLL < −30 dB |
|---|---|---|
| 1, 4 | 0.049 ∠ −157° | 0.009 ∠ −171.4° |
| 2, 3 | 0.050 ∠ −159.3° | 0.034 ∠ −170.4° |
| 5, 8 | 0.075 ∠ 15.7° | 0.008 ∠ −2.6° |
| 6, 7 | 0.076 ∠ 13.9° | 0.023 ∠ −0.7° |
| 9, 12 | 0.069 ∠ 4.4° | 0.038 ∠ 12.3° |
| 10, 11 | 0.070 ∠ 4.9° | 0.109 ∠ 10.6° |
| 13, 16 | 0.121 ∠ −178.4° | 0.041 ∠ 180.0° |
| 14, 15 | 0.123 ∠ −179.4° | 0.086 ∠ 178° |
| 17, 20 | 0.312 ∠ −173.1° | 0.179 ∠ −174.0° |
| 18, 19 | 0.316 ∠ −174.7° | 0.444 ∠ −174.5° |
| 21, 24 | 0.307 ∠ −173° | 0.177 ∠ −174.3° |
| 22, 23 | 0.313 ∠ −174.8° | 0.439 ∠ −174.2° |
| 25, 28 | 0.115 ∠ −177.3° | 0.037 ∠ −176.9° |
| 26, 27 | 0.119 ∠ 178.8° | 0.078 ∠ 178.6° |
| 29, 32 | 0.073 ∠ 3.5° | 0.038 ∠ 12.6° |
| 30, 31 | 0.072 ∠ 4.8° | 0.110 ∠ 10.7° |
| 33, 36 | 0.072 ∠ 18.4° | 0.006 ∠ 1.9° |
| 34, 35 | 0.074 ∠ 15.3° | 0.020 ∠ −0.7° |
| 37, 40 | 0.052 ∠ −157.3° | 0.010 ∠ −171.3° |
| 38, 39 | 0.053 ∠ −158.5° | 0.036 ∠ −170.4° |
| Ref. | Type | () | Beamwidth (°) | Attenuating Capacity (°) | Fluctuation (dB) | SLL (dB) |
|---|---|---|---|---|---|---|
| [28] | Patch | 1.93 × 1.93 × 0.075 | 803dB | 16 | 1.51 | −18.3 |
| [16] | Patch | 2.37 × 2.37 × 0.67 | 583dB | 19.5 | 1.6 | −13.2 |
| [29] | Patch | 4.14 × 4.14 × 0.31 | 54.93dB | 10.2 | 1.97 | −20 |
| [30] | Leaky Wave | 4.45 × 4.45 × 0.43 | 403dB/341dB | 18 | 1 | −15.4 |
| [10] | Lens | 15 × 10 × 0.9 | 50.23dB/30.41dB | 28.9 | — | −15 |
| [19] | SIW | 26.4 × 5.3 × 0.24 | 54.43dB | 13.2 | 1.3 | −19.3 |
| [31] | SIW | 3.82 × 1.94 × 0.14 | 503dB | 15.7 | 1.16 | −16.7 |
| [32] | Dipole | 3.19 × 3.19 × 1.3 | 453dB | 13.9 | 1.38 | −21.1 |
| This work | Patch | 5.8 × 3.2 × 0.035 | 48.23dB | 6.5 | 1.2 | −20.4 |
| 51.23dB/451dB | 8.63 | 0.4 | −30.1 |
Disclaimer/Publisher’s Note: The statements, opinions and data contained in all publications are solely those of the individual author(s) and contributor(s) and not of MDPI and/or the editor(s). MDPI and/or the editor(s) disclaim responsibility for any injury to people or property resulting from any ideas, methods, instructions or products referred to in the content. |
© 2025 by the authors. Licensee MDPI, Basel, Switzerland. This article is an open access article distributed under the terms and conditions of the Creative Commons Attribution (CC BY) license (https://creativecommons.org/licenses/by/4.0/).
Share and Cite
Li, L.; Dong, Y.; Cai, X.; Tian, J. An Antenna Array with Wide Flat-Top Beam and Low Sidelobes for Aerial Target Detection. Sensors 2025, 25, 5991. https://doi.org/10.3390/s25195991
Li L, Dong Y, Cai X, Tian J. An Antenna Array with Wide Flat-Top Beam and Low Sidelobes for Aerial Target Detection. Sensors. 2025; 25(19):5991. https://doi.org/10.3390/s25195991
Chicago/Turabian StyleLi, Liangzhou, Yan Dong, Xiao Cai, and Jingqian Tian. 2025. "An Antenna Array with Wide Flat-Top Beam and Low Sidelobes for Aerial Target Detection" Sensors 25, no. 19: 5991. https://doi.org/10.3390/s25195991
APA StyleLi, L., Dong, Y., Cai, X., & Tian, J. (2025). An Antenna Array with Wide Flat-Top Beam and Low Sidelobes for Aerial Target Detection. Sensors, 25(19), 5991. https://doi.org/10.3390/s25195991

