Seismic Performance of Self-Centering Prestressed Steel Frame Joints Based on Shape Memory Alloys
Featured Application
Abstract
1. Introduction
2. Materials and Methods
2.1. Joint Configuration
2.2. Mechanical Characteristics
2.3. Experimental Study
2.4. Finite Element Modeling
2.5. Constitutive Models and Material Parameters
3. Results
3.1. Experimental and Numerical Results
3.2. Parameter Analysis
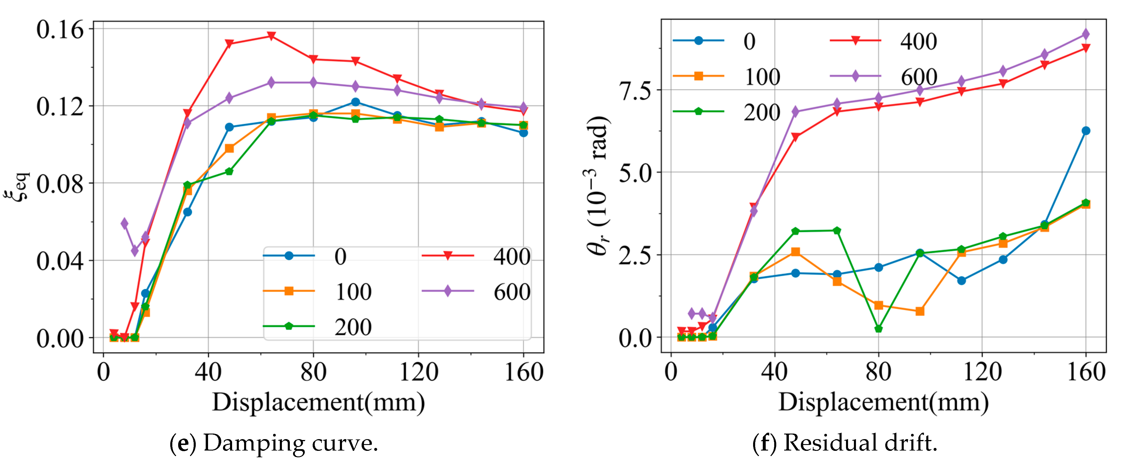
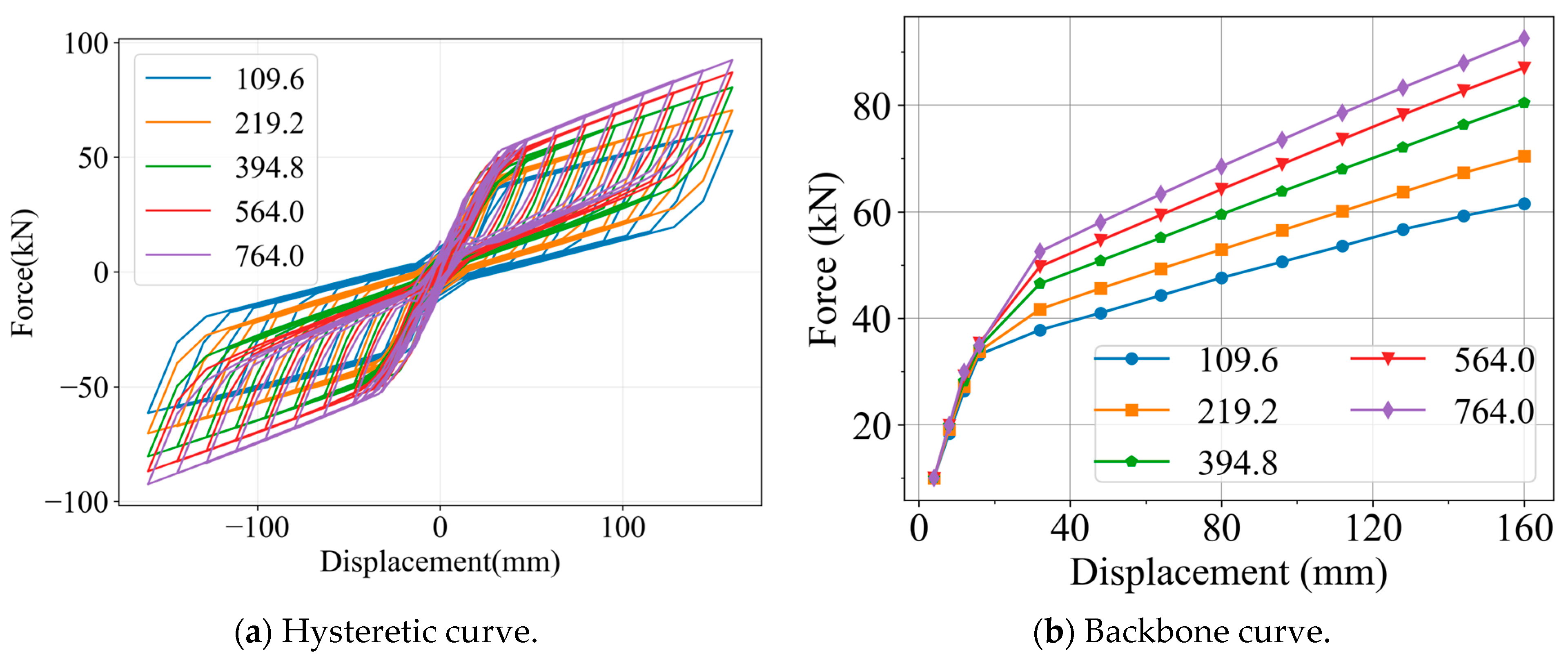
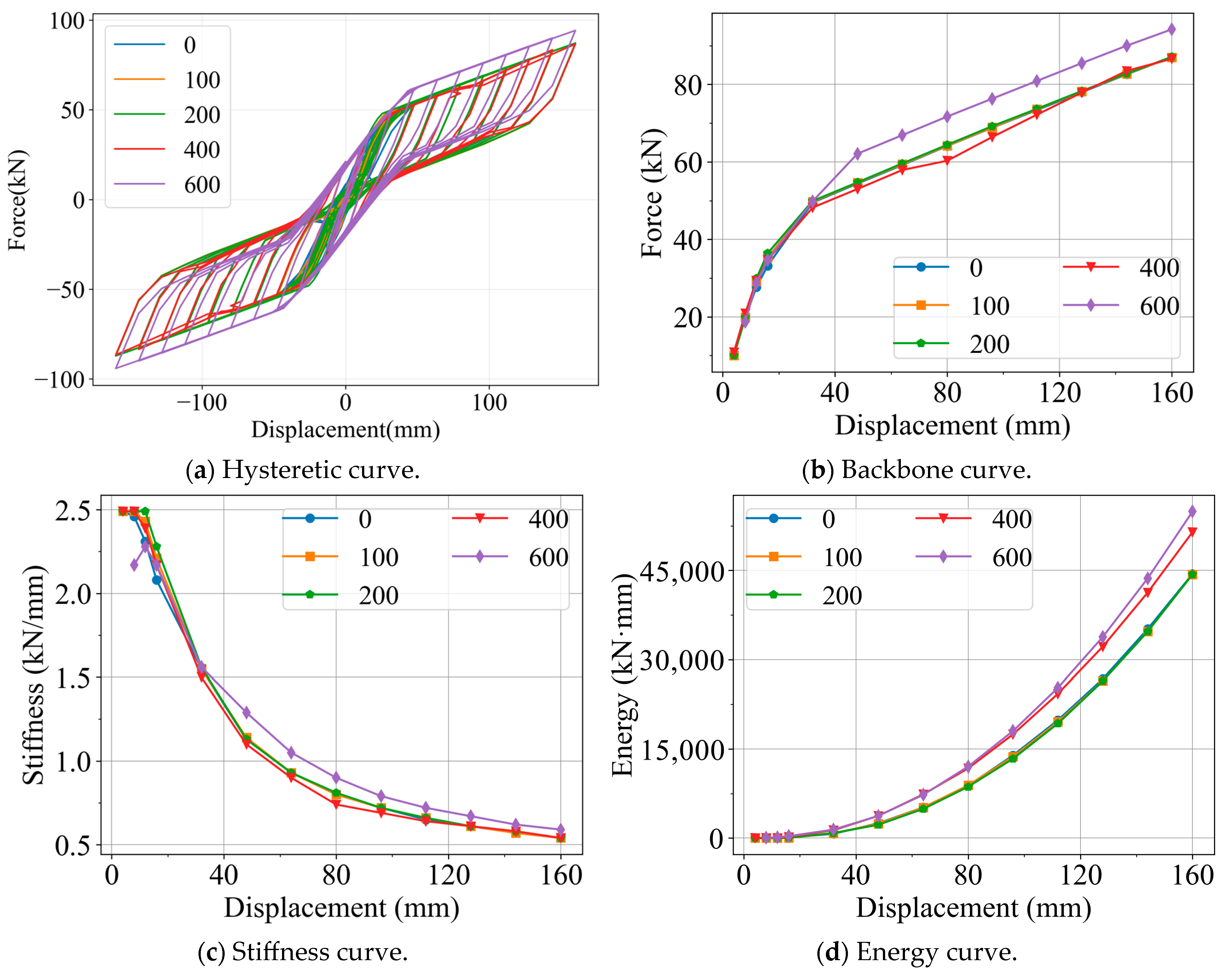
3.3. Influence of Prestressed Steel Strand Area
3.4. Influence of Prestressing Force of Steel Strands
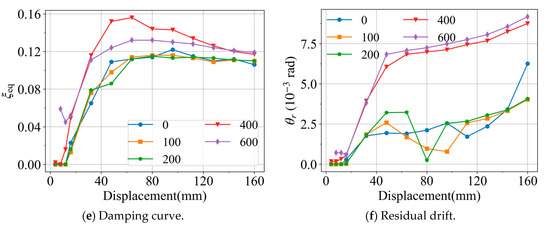
3.5. Influence of SMA Bar Area
3.6. Influence of SMA Stress
4. Discussion
5. Conclusions
Author Contributions
Funding
Institutional Review Board Statement
Informed Consent Statement
Data Availability Statement
Acknowledgments
Conflicts of Interest
Abbreviations
| PSS | Prestressed steel strand |
| SMA | Shape memory alloy |
References
- Costanza, G.; Mercuri, S.; Porroni, I.; Tata, M.E. Shape memory alloys for self-centering applications: A review. Machines 2024, 12, 628. [Google Scholar] [CrossRef]
- Fang, C.; Yam, M.C. Emerging Superelastic SMA Core Damping Elements for Seismic Application. Front. Built Environ. 2023, 8, 953273. [Google Scholar] [CrossRef]
- Siawsh, N.; Peszynski, K.; Vo-Tran, H.; Young, L. Toward the creation of disaster-resilient communities: The Machizukuri initiative—The 2011 Tōhoku Great East Japan Earthquake and Tsunami. Int. J. Disaster Risk Reduct. 2023, 96, 103961. [Google Scholar] [CrossRef]
- Kung, H.-K.; Hsieh, C.-M.; Ho, C.-Y.; Tsai, Y.-C.; Chan, H.-Y.; Tsai, M.-H. Data-Augmented Hybrid Named Entity Recognition for Disaster Management by Transfer Learning. Appl. Sci. 2020, 10, 4234. [Google Scholar] [CrossRef]
- Bruschi, E.; Quaglini, V.; Zoccolini, L. Seismic Upgrade of Steel Frame Buildings by Using Damped Braces. Appl. Sci. 2023, 13, 2063. [Google Scholar] [CrossRef]
- Fang, C.; Wang, W.; Qiu, C. Seismic resilient steel structures: A review of research, practice, challenges and opportunities. J. Constr. Steel Res. 2022, 191, 107172. [Google Scholar] [CrossRef]
- Garlock, M.M.; Sause, R.; Ricles, J.M. Behavior and design of posttensioned steel frame systems. J. Struct. Eng. 2007, 133, 389–399. [Google Scholar] [CrossRef]
- Guerrini, G.; Restrepo, J.I.; Massari, M.; Vervelidis, A. Seismic behavior of posttensioned self-centering precast concrete dual-shell steel columns. J. Struct. Eng. 2015, 141, 04014115. [Google Scholar] [CrossRef]
- Zhang, R.; Wang, W.; Yang, C. Hybrid test and numerical study of beam-through frame enhanced by friction spring-based self-centering rocking core. Eng. Struct. 2023, 274, 115157. [Google Scholar] [CrossRef]
- Ping, B.; Fang, C.; Hu, Y.; Yu, S. Life-cycle cost assessment of conventional and self-centering steel frames in seismic zones: An extra focus on environmental impacts. Eng. Struct. 2025, 325, 119393. [Google Scholar] [CrossRef]
- Moradifard, R.; Alibazi, A.; Shiravand, M.; Gholami, M. Improved performance-based plastic design method for post-tensioned connection systems. Eng. Struct. 2022, 255, 113931. [Google Scholar] [CrossRef]
- Sanches, R.; Mercan, O.; Roberts, B. Experimental investigations of vertical post-tensioned connection for modular steel structures. Eng. Struct. 2018, 175, 776–789. [Google Scholar] [CrossRef]
- Kujawa, M.; Smakosz, Ł.; Iwicki, P.; Perliński, A.; Tejchman, J. Mechanical performance investigations of a post-tensioned inter-module connection in steel buildings. In Structures; Elsevier: Amsterdam, The Netherlands, 2025; Volume 71. [Google Scholar]
- Wolski, M.; Ricles, J.; Sause, R. Experimental Study of a Self-Centering Beam–Column Connection with Bottom Flange Friction Device. J. Struct. Eng. 2009, 135, 479–488. [Google Scholar] [CrossRef]
- Wang, S.; Zhang, T.; Xu, W.; Du, D.; Zhang, Y. Experimental and numerical investigations on novel post-tensioned precast beam-to-column energy-dissipating connections. In Structures; Elsevier: Amsterdam, The Netherlands, 2023; Volume 54. [Google Scholar]
- Zhang, H.; Zhou, X.; Ke, K.; Yam, M.C.H.; Shi, Y.; Zhang, H. Hybrid self-centering connection employing energy dissipation sequences: Experimental study and a structural seismic demand perspective. J. Struct. Eng. 2023, 149, 04023157. [Google Scholar] [CrossRef]
- Qiu, C.; Bai, M.; Liu, J.; Liu, H. Tests of friction dampers with enhanced recentering capability. Eng. Struct. 2025, 326, 119522. [Google Scholar] [CrossRef]
- Rahgozar, N.; Alam, M.S. A novel hybrid self-centering piston-based bracing fitted with SMA bars and friction springs: Analytical study and seismic simulation. J. Struct. Eng. 2023, 149, 04023055. [Google Scholar] [CrossRef]
- Ke, K.; Zhang, H.; Zhou, X.; Yam, M.C.; Wang, Y.; Shi, T. Hybrid Self-Centring Steel Frames: Insights and Probabilistic Seismic Assessment. Eng. Struct. 2024, 303, 117516. [Google Scholar] [CrossRef]
- DesRoches, R.; Taftali, B.; Ellingwood, B.R. Seismic performance assessment of steel frames with shape memory alloy connections. Part I—Analysis and seismic demands. J. Earthq. Eng. 2010, 14, 471–486. [Google Scholar] [CrossRef]
- Speicher, M.S.; DesRoches, R.; Leon, R.T. Experimental Results of a NiTi Shape Memory Alloy (SMA)-Based Recentering Beam–Column Connection. Eng. Struct. 2011, 33, 2448–2457. [Google Scholar] [CrossRef]
- Kazemi, F.; Jankowski, R. Enhancing seismic performance of connections equipped with SMA bolts incorporating nonlinear soil–structure interaction. Eng. Struct. 2023, 274, 114896. [Google Scholar] [CrossRef]
- Mo, Z.; Feng, Q.; Lai, B.L.; Jiang, W.-Q.; Feng, Y. Resilient performance of super-elastic SMA bolted connection with extended end plate and shear tab. J. Constr. Steel Res. 2022, 199, 107626. [Google Scholar] [CrossRef]
- Feng, Y.; Li, W. Seismic performance of SMA-prestressed self-centering beam–column joints: Experimental and numerical study. J. Constr. Steel Res. 2025, 226, 109272. [Google Scholar] [CrossRef]
- Fang, C.; Qiu, C.; Wang, W.; Alam, M.S. Self-centering structures against earthquakes: A critical review. J. Earthq. Eng. 2023, 27, 4354–4389. [Google Scholar] [CrossRef]
- Kamaris, G.S.; Papavasileiou, G.S.; Kamperidis, V.C.; Vasdravellis, G. Residual Drift Risk of Self-Centering Steel MRFs with Novel Column Bases at Near-Fault Regions. Soil Dyn. Earthq. Eng. 2022, 162, 107391. [Google Scholar] [CrossRef]
- Chen, Z.; Niu, X.; Liu, J.; Khan, K.; Liu, Y. Seismic study on an innovative fully-bolted beam–column joint in prefabricated modular steel buildings. Eng. Struct. 2021, 234, 111875. [Google Scholar] [CrossRef]
- Erochko, J.; Christopoulos, C.; Tremblay, R.; Choi, H. Residual drift response of SMRFs and BRB frames in steel buildings designed according to ASCE 7-05. J. Struct. Eng. 2011, 137, 589–599. [Google Scholar] [CrossRef]
- Ricles, J.M.; Sause, R.; Garlock, M.M.; Zhao, C. Posttensioned seismic-resistant connections for steel frames. J. Struct. Eng. 2001, 127, 113–121. [Google Scholar] [CrossRef]
- Christopoulos, C.; Filiatrault, A.; Uang, C.M.; Folz, B. Posttensioned energy dissipating connections for moment-resisting steel frames. J. Struct. Eng. 2002, 128, 1111–1120. [Google Scholar] [CrossRef]
- Ricles, J.M.; Sause, R.; Peng, S.W.; Lu, L.W. Experimental evaluation of earthquake resistant posttensioned steel connections. J. Struct. Eng. 2002, 128, 850–859. [Google Scholar] [CrossRef]
- Palermo, A.; Pampanin, S.; Marriott, D. Design, modeling, and experimental response of seismic resistant bridge piers with posttensioned dissipating connections. J. Struct. Eng. 2007, 133, 1648–1661. [Google Scholar] [CrossRef]
- Nia, M.M.; Moradi, S.; Yang, T. Performance-based seismic design of self-centering steel moment frames with SMA-bolted connections. J. Constr. Steel Res. 2023, 208, 107990. [Google Scholar] [CrossRef]
- Yun, C.; Chao, C.; Cong, C. Study on seismic performance of prefabricated self-centering beam to column rotation friction energy dissipation connection. Eng. Struct. 2021, 241, 112136. [Google Scholar] [CrossRef]
- Venture, SAC Joint. Protocol for Fabrication, Inspection, Testing, and Documentation of Beam-Column Connection Tests and Other Experimental Specimens. SAC Report SAC/BD-97/02. 1997. Available online: https://bibliotecadigital.uchile.cl/discovery/fulldisplay?vid=56UDC_INST:56UDC_INST&docid=alma991006340659703936&context=L (accessed on 10 November 2025).
- Mokhtarnejad, N.; Garmeh, V.; Shariatmadar, H.; Askariani, S.S. Numerical study of a novel SMA-based self-centering beam-to-column connection. In Structures; Elsevier: Amsterdam, The Netherlands, 2023; Volume 47. [Google Scholar]
- Huang, J.; Zhu, S.; Wang, B. Self-centering steel beam-to-column connections with novel superelastic SMA angles. J. Constr. Steel Res. 2024, 214, 108458. [Google Scholar] [CrossRef]
- Yun, C.; Chao, C. Study on seismic performance of prefabricated self-centering steel frame. J. Constr. Steel Res. 2021, 182, 106684. [Google Scholar] [CrossRef]
- Scott, M.H.; Fenves, G.L. Plastic hinge integration methods for force-based beam–column elements. J. Struct. Eng. 2006, 132, 244–252. [Google Scholar] [CrossRef]
- Chen, P.; Xu, L.; Li, Z. Modeling methods of self-centering energy dissipation braces using OpenSees. J. Constr. Steel Res. 2022, 193, 107267. [Google Scholar] [CrossRef]
- Carreño, R.; Lotfizadeh, K.H.; Conte, J.P.; Restrepo, J.I. Material model parameters for the Giuffrè-Menegotto-Pinto uniaxial steel stress-strain model. J. Struct. Eng. 2020, 146, 04019205. [Google Scholar] [CrossRef]
- Liu, J.; Peng, Z.; Guan, D.; Lin, Y. Experimental Investigation of Precast Rocking Walls Incorporating Tension-Compression and Shear Steel Energy Dissipaters. Appl. Sci. 2023, 13, 8817. [Google Scholar] [CrossRef]
- GB/T 5224-2014; Steel Strand for Prestressed Concrete. Standardization Administration of China, Standards Press of China: Beijing, China, 2014.

















| Parameter | K1 (kN/m) | K2 (kN/m) | fy (MPa) | β | εb | εu | γ |
|---|---|---|---|---|---|---|---|
| Value | 40,800 | 2000 | 400 | 0.6 | 0.06 | 0.08 | 0.7 |
| Parameter | fy (MPa) | E0 (GPa) | b | R0 | a1 | a2 |
|---|---|---|---|---|---|---|
| Value | 355 | 210 | 0.05 | 15 | 0.925 | 0.15 |
| Joint | Yield Load (kN) | Ultimate Load (kN) | Residual Drift (%) |
|---|---|---|---|
| PSS-SMA | 42.80 | 83.50 | 0.18 |
| SMA | 20.20 | 48.05 | 0.69 |
| PSS-SMA-model | 42.10 | 86.58 | 0.33 |
| SMA-model | 21.26 | 46.71 | 0.74 |
Disclaimer/Publisher’s Note: The statements, opinions and data contained in all publications are solely those of the individual author(s) and contributor(s) and not of MDPI and/or the editor(s). MDPI and/or the editor(s) disclaim responsibility for any injury to people or property resulting from any ideas, methods, instructions or products referred to in the content. |
© 2025 by the authors. Licensee MDPI, Basel, Switzerland. This article is an open access article distributed under the terms and conditions of the Creative Commons Attribution (CC BY) license (https://creativecommons.org/licenses/by/4.0/).
Share and Cite
Feng, Y.; Li, W. Seismic Performance of Self-Centering Prestressed Steel Frame Joints Based on Shape Memory Alloys. Appl. Sci. 2025, 15, 12022. https://doi.org/10.3390/app152212022
Feng Y, Li W. Seismic Performance of Self-Centering Prestressed Steel Frame Joints Based on Shape Memory Alloys. Applied Sciences. 2025; 15(22):12022. https://doi.org/10.3390/app152212022
Chicago/Turabian StyleFeng, Yutao, and Weibin Li. 2025. "Seismic Performance of Self-Centering Prestressed Steel Frame Joints Based on Shape Memory Alloys" Applied Sciences 15, no. 22: 12022. https://doi.org/10.3390/app152212022
APA StyleFeng, Y., & Li, W. (2025). Seismic Performance of Self-Centering Prestressed Steel Frame Joints Based on Shape Memory Alloys. Applied Sciences, 15(22), 12022. https://doi.org/10.3390/app152212022

