Dielectrically Loaded Circularly Polarized Antennas with Shaped Patterns from Flat-Top to Isoflux
Abstract
1. Introduction
2. Antenna Design and Working Principle
2.1. Lens Unit Cell Design
2.2. Antenna Configuration
2.3. Working Principle and Analysis
2.4. Feed Network
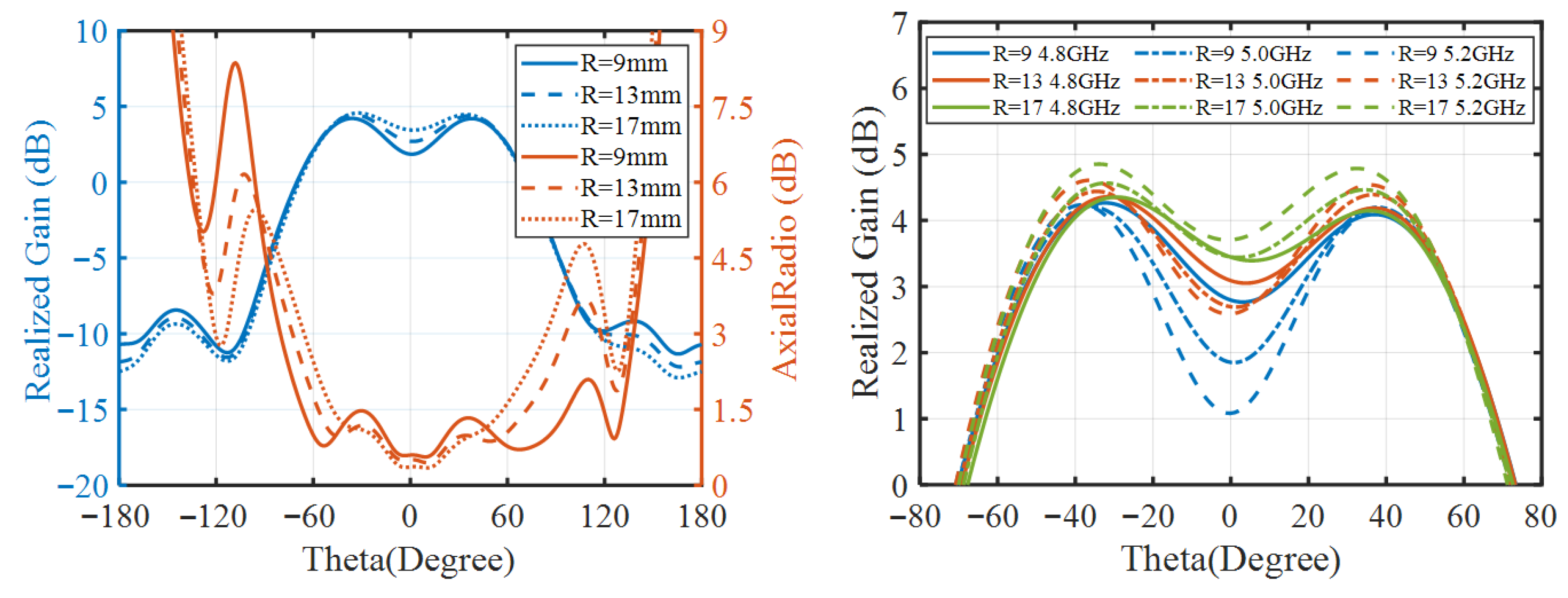
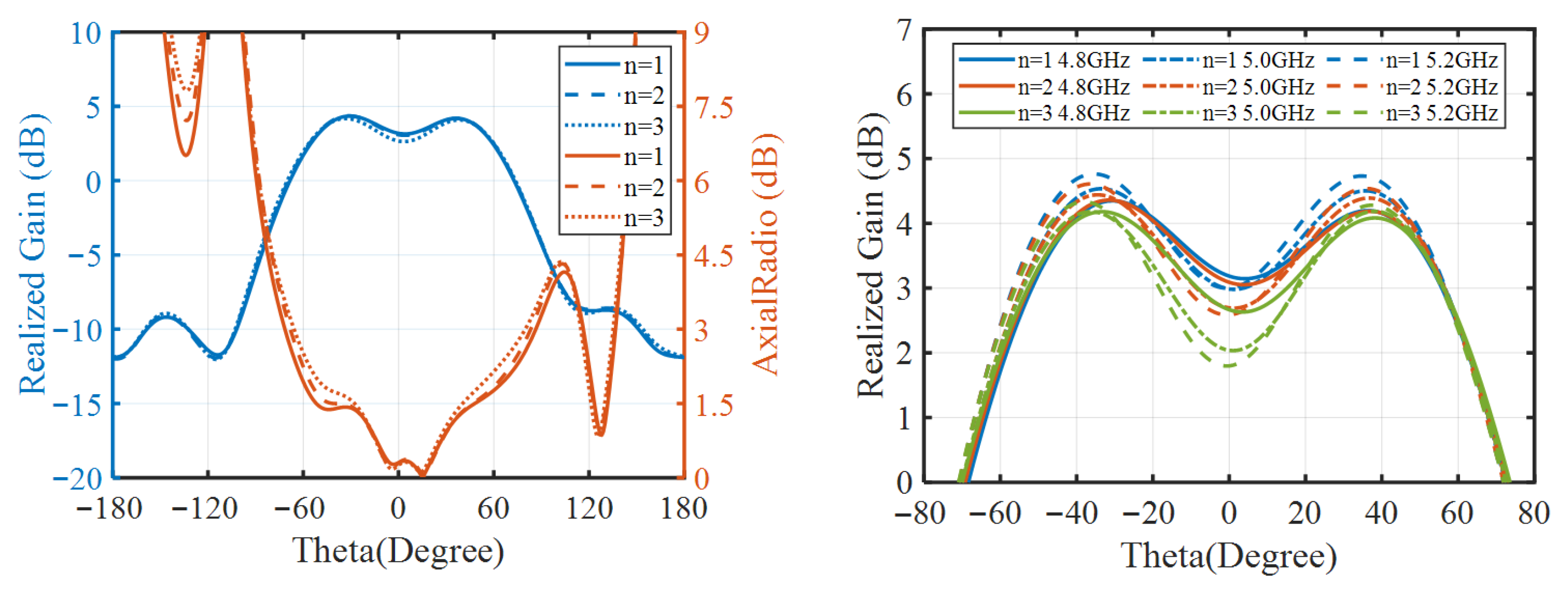
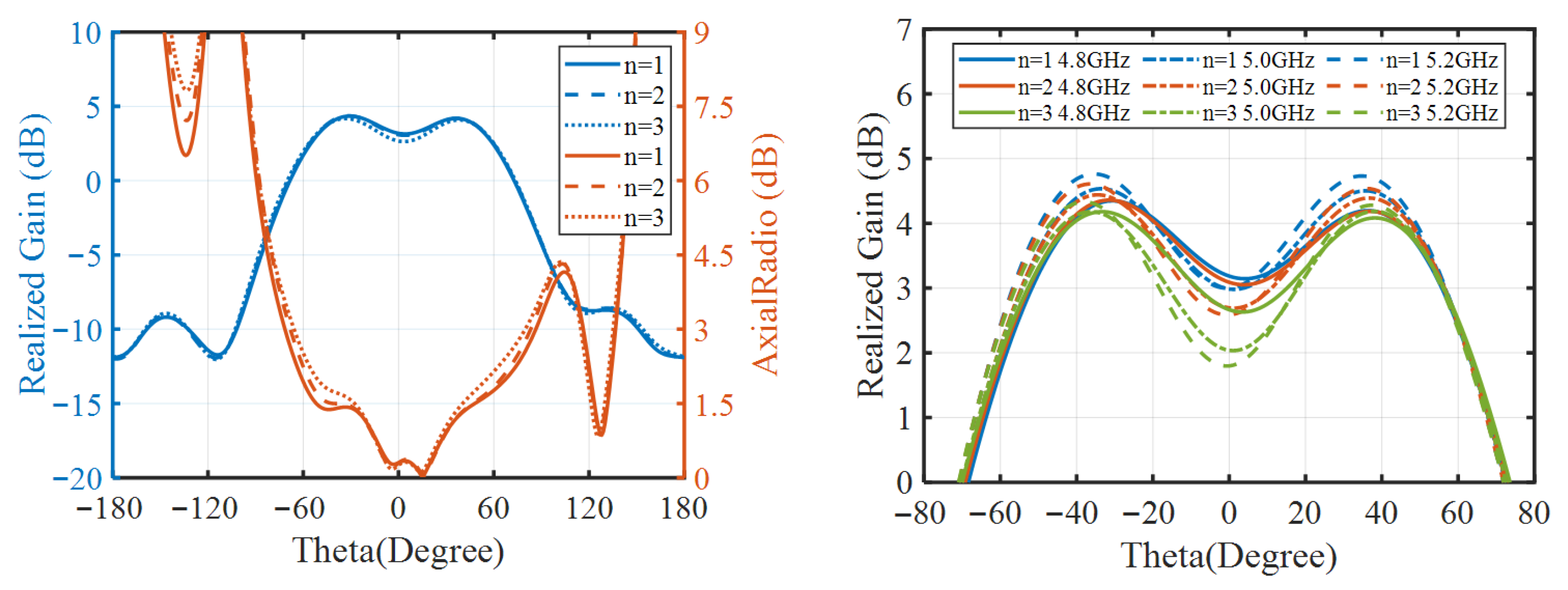
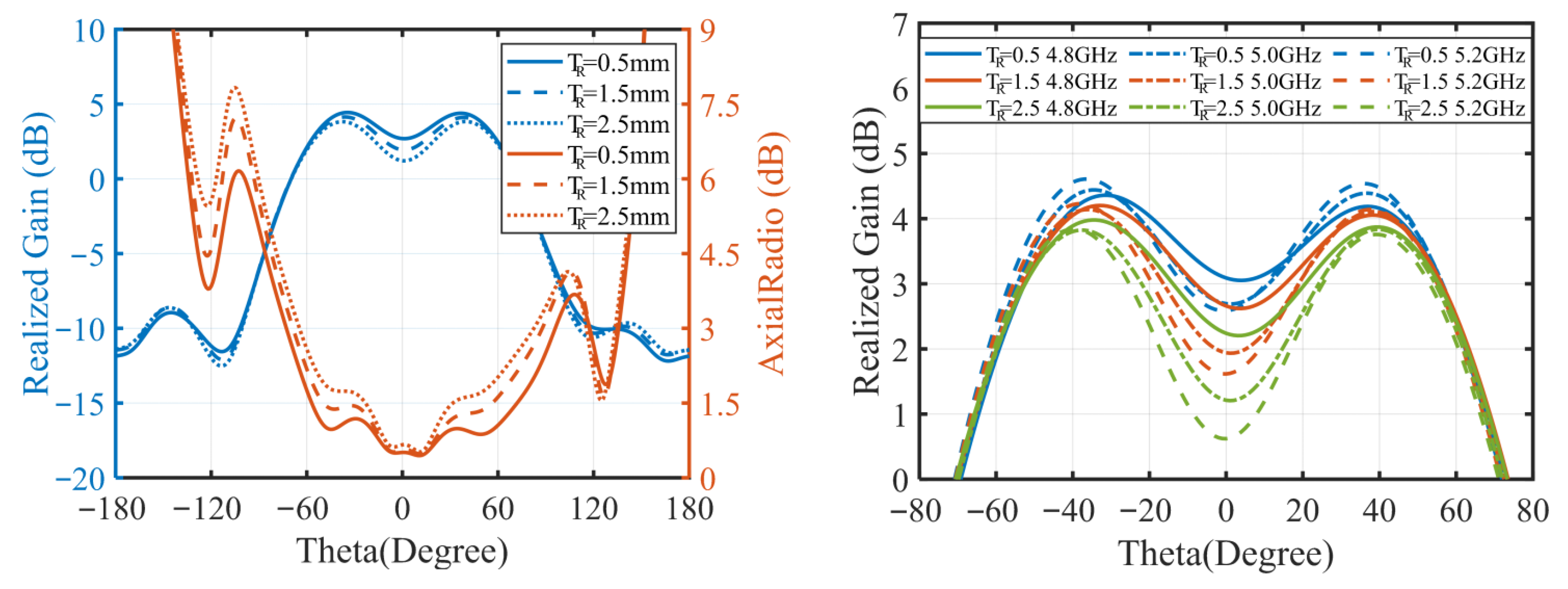
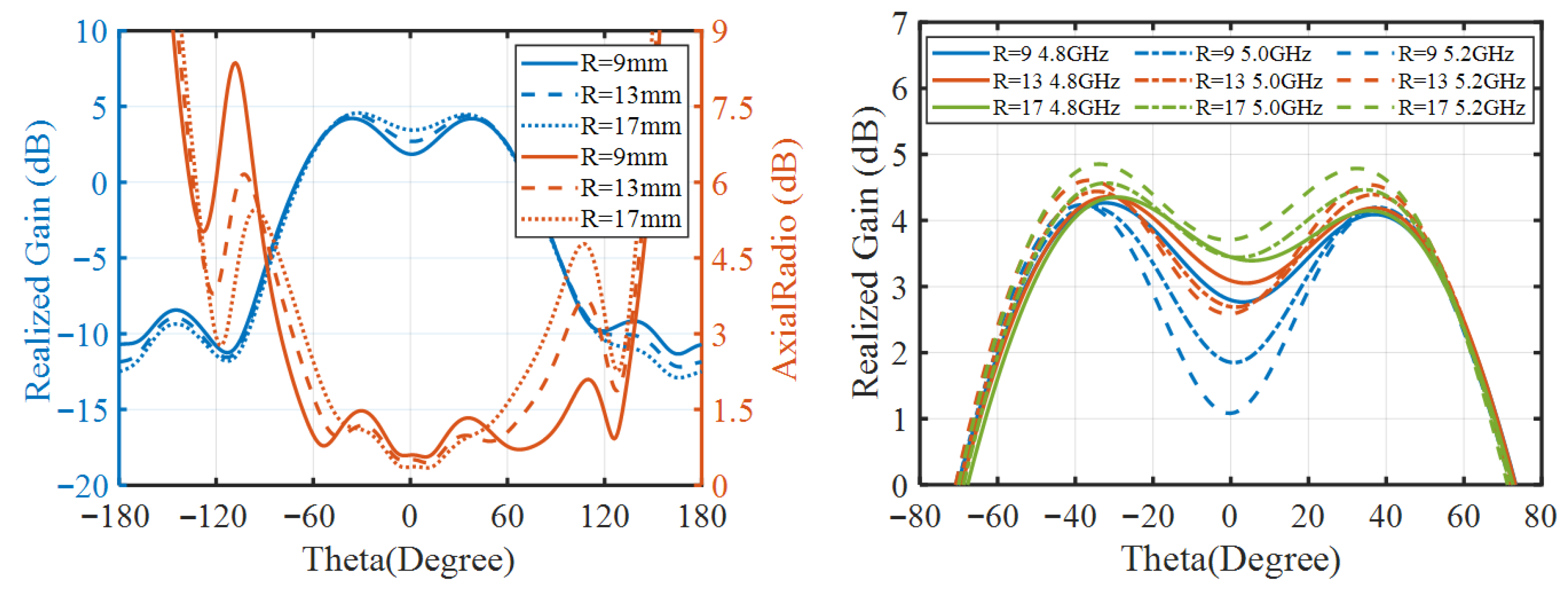
2.5. Lens Loaded with a Metal Ring
- a.
- The impact of placing the metal ring at different R on the radiation pattern.
- b.
- The impact of placing the metal ring at different width () on the radiation pattern.
- c.
- The impact of placing the metal ring with different layers on the radiation pattern.
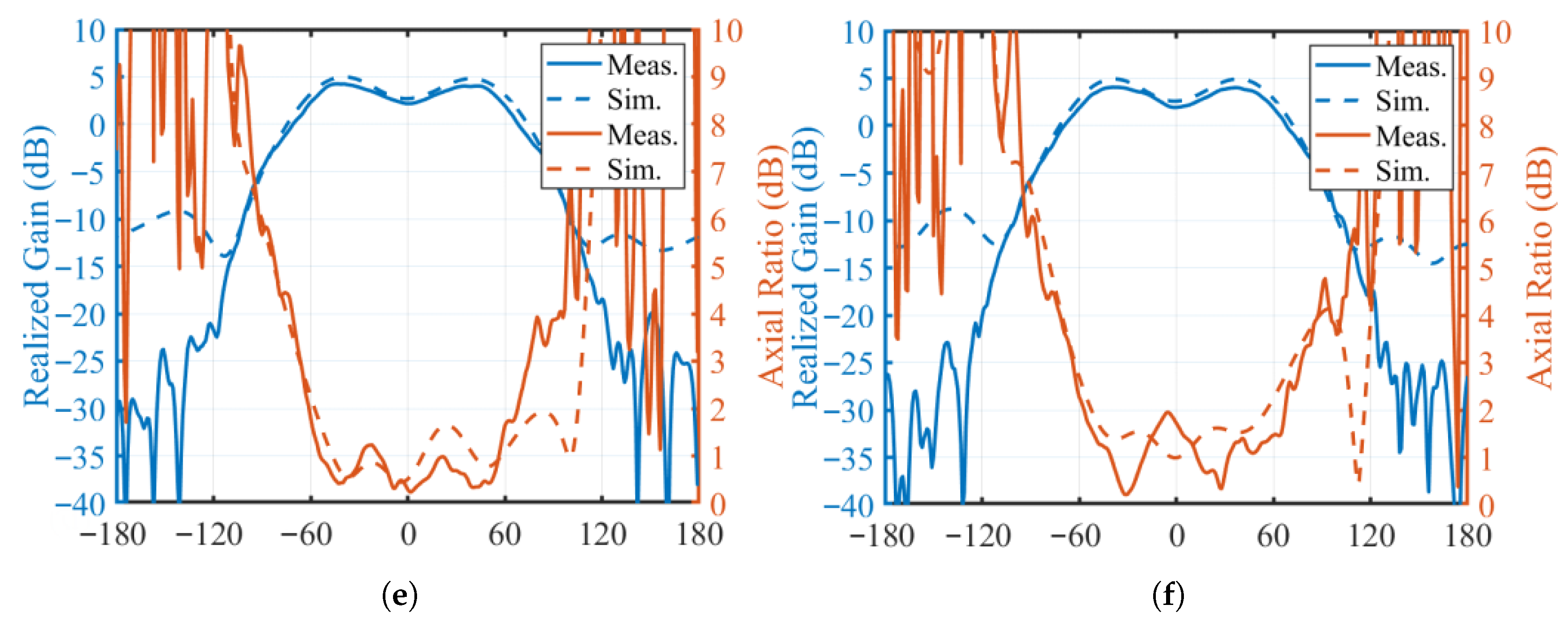
3. Measured Results and Discussion
3.1. The Performance of S11
3.2. Radiation Pattern and AR
4. Conclusions
Author Contributions
Funding
Data Availability Statement
Conflicts of Interest
References
- Yang, S.; Chen, Q.; Mesa, F.; Fonseca, N.J.G.; Quevedo-Teruel, O. Geodesic half-Maxwell fish-eye-lens antenna. IEEE Trans. Antennas Propag. 2023, 71, 2330–2338. [Google Scholar] [CrossRef]
- Ren, X.; Liao, S.; Xue, Q. A circularly polarized spaceborne antenna with shaped beam for Earth coverage applications. IEEE Trans. Antennas Propag. 2019, 67, 2235–2242. [Google Scholar] [CrossRef]
- Arend, M.O.; De Castro, F.C.C.; Muller, C.; De Castro, M.C.F. Toroidal plasma lens antenna. IEEE Antennas Wirel. Propag. Lett. 2017, 16, 1155–1158. [Google Scholar] [CrossRef]
- Maltsev, A.; Bolkhovskaya, O.; Seleznev, V. Scanning toroidal lens-array antenna with a zoned profile for 60 GHz band. IEEE Antennas Wirel. Propag. Lett. 2021, 20, 1150–1154. [Google Scholar] [CrossRef]
- Prado, D.R.; Prado, D.R.; Arrebola, M.; Pino, M.R.; Florencio, R.; Boix, R.R.; Encinar, J.A.; Las-Heras, F. Efficient crosspolar optimization of shaped-beam dual-polarized reflectarrays using full-wave analysis for the antenna element characterization. IEEE Trans. Antennas Propag. 2017, 65, 623–635. [Google Scholar] [CrossRef]
- Tellechea, A.; Iriarte, J.C.; Ederra, I.; Gonzalo, R.; Martini, E.; Maci, S. Characterization of a dual band metasurface antenna with broadside and isoflux circularly polarized radiation patterns. In Proceedings of the 11th European Conference on Antennas and Propagation (EUCAP), Paris, France, 19–24 March 2017; pp. 3408–3411. [Google Scholar]
- Abella, C.; Peces, J.; Marin, M.; Martinez, J.; Markus, K. Development of a compact antenna for global earth coverage. In Proceedings of the 23rd European Microwave Conference, Madrid, Spain, 6–10 September 1993; pp. 906–908. [Google Scholar]
- Wang, C.K.; Xiang, B.J.; Zheng, S.Y.; Leung, K.W.; Chan, W.S.; Liu, Y.A. A wireless power transmitter with uniform power transfer coverage. IEEE Trans. Ind. Electron. 2021, 68, 10709–10717. [Google Scholar] [CrossRef]
- Hao, Q.; Zheng, S.; Lu, K. An SIW horn antenna with flat-top beam for millimeter-wave applications. IEEE Antennas Wirel. Propag. Lett. 2024, 23, 608–612. [Google Scholar] [CrossRef]
- Colantonio, D.; Rosito, C. A spaceborne telemetry loaded bifilar helical antenna for LEO satellites. In Proceedings of the SBMO/IEEE MTT-S International Microwave and Optoelectronics Conference (IMOC), Belem, Brazil, 3–6 November 2009; pp. 741–745. [Google Scholar]
- Rolland, A.; Sauleau, R.; Le Coq, L. Flat-shaped dielectric lens antenna for 60-GHz applications. IEEE Trans. Antennas Propag. 2011, 59, 4041–4048. [Google Scholar] [CrossRef]
- Liang, M.; Ng, W.-R.; Chang, K.; Gbele, K.; Gehm, M.E.; Xin, H. A 3-D Luneburg lens antenna fabricated by polymer jetting rapid prototyping. IEEE Trans. Antennas Propag. 2014, 62, 1799–1807. [Google Scholar] [CrossRef]
- Liu, K.; Zhao, C.; Qu, S.-W.; Chen, Y.; Hu, J.; Yang, S. A 3-D-printed multibeam spherical lens antenna with ultrawide-angle coverage. IEEE Antennas Wirel. Propag. Lett. 2021, 20, 411–415. [Google Scholar] [CrossRef]
- Yi, H.; Qu, S.-W.; Ng, K.-B.; Chan, C.H.; Bai, X. 3-D printed millimeter-wave and terahertz lenses with fixed and frequency scanned beam. IEEE Trans. Antennas Propag. 2016, 64, 442–449. [Google Scholar] [CrossRef]
- Ren, X.; Liao, D.; Liao, S.; Xue, Q.; Xue, K.; He, W. A 3-D-printed wideband millimeter-wave fan-beam antenna with flat-top, sharp cutoff patterns, and beam-scanning capability. IEEE Trans. Antennas Propag. 2023, 71, 2476–2486. [Google Scholar] [CrossRef]
- Chen, Q.; Yan, S.; Guo, X.; Qu, C.; Liu, J.; Huang, Z.; Yang, L.; Li, Y.; Liang, X. A 77 GHz phased array antenna based on substrate-integrated waveguide. IEEE Antennas Wirel. Propag. Lett. 2023, 22, 2979–2983. [Google Scholar] [CrossRef]
- Wu, Y.-W.; Hao, Z.-C.; Miao, Z.-W. A planar W-Band large-scale high-gain substrate-integrated waveguide slot array. IEEE Trans. Antennas Propag. 2020, 68, 6429–6434. [Google Scholar] [CrossRef]
- Li, Y.; Luk, K.-M. Low-cost high-gain and broadband substrate-integrated-waveguide-fed patch antenna array for 60-GHz band. IEEE Trans. Antennas Propag. 2014, 62, 5531–5538. [Google Scholar] [CrossRef]
- Yang, X.; Hu, J.; Ji, Y.; Ge, L.; Zeng, X. Design of a metasurface antenna with pattern diversity. IEEE Antennas Wirel. Propag. Lett. 2020, 19, 2467–2471. [Google Scholar] [CrossRef]
- Yang, X.; Lin, H.; Gu, H.; Ge, L.; Zeng, X. Broadband pattern diversity patch antenna with switchable feeding network. IEEE Access 2018, 6, 69612–69619. [Google Scholar] [CrossRef]
- Cheng, G.; Tian, M.; Zhang, L.; Huang, Z. Design of dual-port pattern-reconfigurable MIMO antenna with four operating states using the TCM. IEEE Antennas Wirel. Propag. Lett. 2023, 22, 169–173. [Google Scholar] [CrossRef]
- Kishor, K.K.; Hum, S.V. A pattern reconfigurable chassis-mode MIMO antenna. IEEE Trans. Antennas Propag. 2014, 62, 3290–3298. [Google Scholar] [CrossRef]
- Li, K.; Shi, Y. A pattern reconfigurable MIMO antenna design using characteristic modes. IEEE Access 2018, 6, 43526–43534. [Google Scholar] [CrossRef]
- Ren, X.; Ouyang, H.; Bao, Y.; Zhang, K.; Liu, R.; Jiang, H.; Xue, K. A 3-D-printed wideband beamforming antenna with isoflux characteristics for Earth observation. AEU–Int. J. Electron. Commun. 2024, 183, 155375. [Google Scholar] [CrossRef]
- Nguyen, N.T.; Sauleau, R.; Le Coq, L. Reduced-size double-shell lens antenna with flat-top radiation pattern for indoor communication at millimeter waves. IEEE Trans. Antennas Propag. 2011, 59, 2424–2479. [Google Scholar] [CrossRef]
- Ajioka, J.; Harry, H. Shaped beam antenna for Earth coverage from a stabilized satellite. IEEE Trans. Antennas Propag. 1970, 18, 323–327. [Google Scholar] [CrossRef]
- Zhang, P.; Gong, S.; Mittra, R. Beam-shaping technique based on generalized laws of refraction and reflection. IEEE Trans. Antennas Propag. 2018, 66, 771–779. [Google Scholar] [CrossRef]
- Bazzi, A.; Chafii, M. On Outage-Based Beamforming Design for Dual-Functional Radar-Communication 6G Systems. IEEE Trans. Wirel. Commun. 2023, 22, 5598–5612. [Google Scholar] [CrossRef]
- Zhang, S.; Arya, R.K.; Whittow, W.G.; Cadman, D.; Mittra, R.; Vardaxoglou, J.C. Ultra-wideband flat metamaterial GRIN lenses assisted with additive manufacturing technique. IEEE Trans. Antennas Propag. 2021, 69, 3788–3799. [Google Scholar] [CrossRef]
- Merrill, W.M.; Diaz, R.E.; LoRe, M.M.; Squires, M.C.; Alexopoulos, N.G. Effective medium theories for artificial materials composed of multiple sizes of spherical inclusions in a host continuum. IEEE Trans. Antennas Propag. 1999, 47, 142–148. [Google Scholar] [CrossRef]
- Li, S.; Sanz-Izquierdo, B.; Liao, S.; Xue, Q.; Gao, S. 3-D Coupled Annular Aperture Antenna Array With Dual Circularly Polarized Isoflux Beam for CubeSat Earth Coverage Applications. IEEE Trans. Antennas Propag. 2025, 73, 1876–1881. [Google Scholar] [CrossRef]















| Parameter (mm) | P | T1 | T2 | T3 | T4 | T5 |
|---|---|---|---|---|---|---|
| Dimension | 13 | 3.5 | 2.6 | 5.5 | 1 | 1.5 |
| Parameter (mm) | H1 | H2 | H3 | H4 | H5 | |
| Dimension | 0.5 | 15 | 8.49 | 4 | 2 | 7.2 |
| Parameter (mm) | H6 | R1 | R2 | R3 | R4 | |
| Dimension | 7.3 | 9.78 | 16.3 | 20.6 | 1.2 |
Disclaimer/Publisher’s Note: The statements, opinions and data contained in all publications are solely those of the individual author(s) and contributor(s) and not of MDPI and/or the editor(s). MDPI and/or the editor(s) disclaim responsibility for any injury to people or property resulting from any ideas, methods, instructions or products referred to in the content. |
© 2025 by the authors. Licensee MDPI, Basel, Switzerland. This article is an open access article distributed under the terms and conditions of the Creative Commons Attribution (CC BY) license (https://creativecommons.org/licenses/by/4.0/).
Share and Cite
Ren, X.; Liu, Q.; Liu, R.; Tang, L.; Wang, K.C.; Qin, P. Dielectrically Loaded Circularly Polarized Antennas with Shaped Patterns from Flat-Top to Isoflux. Electronics 2025, 14, 4363. https://doi.org/10.3390/electronics14224363
Ren X, Liu Q, Liu R, Tang L, Wang KC, Qin P. Dielectrically Loaded Circularly Polarized Antennas with Shaped Patterns from Flat-Top to Isoflux. Electronics. 2025; 14(22):4363. https://doi.org/10.3390/electronics14224363
Chicago/Turabian StyleRen, Xue, Qinghua Liu, Ruihua Liu, Lifeng Tang, Kai Cheng Wang, and Pei Qin. 2025. "Dielectrically Loaded Circularly Polarized Antennas with Shaped Patterns from Flat-Top to Isoflux" Electronics 14, no. 22: 4363. https://doi.org/10.3390/electronics14224363
APA StyleRen, X., Liu, Q., Liu, R., Tang, L., Wang, K. C., & Qin, P. (2025). Dielectrically Loaded Circularly Polarized Antennas with Shaped Patterns from Flat-Top to Isoflux. Electronics, 14(22), 4363. https://doi.org/10.3390/electronics14224363

