Sign in to use this feature.

Years

Between: -

Subjects

remove_circle_outline
remove_circle_outline
remove_circle_outline
remove_circle_outline
remove_circle_outline
remove_circle_outline
remove_circle_outline
remove_circle_outline
remove_circle_outline

Journals

Article Types

Countries / Regions

remove_circle_outline
remove_circle_outline
remove_circle_outline
remove_circle_outline
remove_circle_outline

Search Results (387)

Search Parameters:
Keywords = bcr-abl

Order results
Result details
Results per page
Select all
Export citation of selected articles as:
16 pages, 2281 KB  
Article
Allosteric and ATP-Pocket BCR::ABL1 Inhibition In Vitro, and Characterising Ex Vivo Thrombo-Inflammatory Biomarkers and Thrombin Generation in Asciminib-Treated CML Patients
by Musab M. A. Omar, Majed A. Alanazi, David T. Yeung, Timothy P. Hughes and Denise E. Jackson
Int. J. Mol. Sci. 2026, 27(8), 3623; https://doi.org/10.3390/ijms27083623 - 18 Apr 2026
Viewed by 123
Abstract
Chronic myeloid leukaemia (CML) is driven by the t(9;22) forming the BCR::ABL1 fusion gene, leading to the development of hyper-myeloid proliferation. This led to development of tyrosine kinase inhibitors (TKIs) such as Imatinib, Nilotinib, and Ponatinib. However, resistance or intolerance to ATP-competitive TKIs [...] Read more.
Chronic myeloid leukaemia (CML) is driven by the t(9;22) forming the BCR::ABL1 fusion gene, leading to the development of hyper-myeloid proliferation. This led to development of tyrosine kinase inhibitors (TKIs) such as Imatinib, Nilotinib, and Ponatinib. However, resistance or intolerance to ATP-competitive TKIs remains a challenge for some patients. asciminib (ABL001), a novel TKI, targets the myristoyl pocket of ABL1 instead of the ATP-binding site, reducing resistance to mutations. As asciminib is linked to thrombocytopenia, its effects on platelet activation, endothelial function, and inflammation must be studied to assess its potential to promote thrombosis. The main objective of this study is to determine the potential of asciminib as a monotherapy in inducing pathological responses to platelets and endothelium over time within the vasculature. This study assessed the effects of TKIs including asciminib on platelets and thrombotic biomarkers. Washed platelets were used to measure granule secretion, thrombus formation, surface expression of glycoproteins, apoptosis, and viability. Plasma from chronically Asciminib-treated CML patients was analysed using sandwich ELISA for inflammatory and platelet–endothelial biomarkers, and thrombin generation assays were performed to study coagulation. This approach combined in vitro and ex vivo methods to explore the impact of asciminib on platelet function and thrombotic potential. The study shows that acute treatment with asciminib does not promote platelet activation or thrombus formation. Instead, it exhibits an inhibitory effect on thrombus formation in vitro and is associated with reduced thrombo-inflammatory biomarkers ex vivo in chronically treated CML patients. Asciminib was associated with increased thrombin generation over time, suggesting an effect on secondary haemostasis. Asciminib does not appear to induce a prothrombotic or proinflammatory state under the conditions studied, which may be advantageous for CML patients. However, the observed increase in thrombin generation over time suggests a potential effect on secondary haemostasis that warrants further investigation in controlled studies. Full article
(This article belongs to the Special Issue Molecular and Cellular Advances in Coagulation and Bleeding)
Show Figures

Figure 1

11 pages, 230 KB  
Case Report
Asciminib in Philadelphia Chromosome-Positive Acute Lymphoblastic Leukemia: A Case Series and Review of Emerging Evidence
by Mostafa F. Mohammed Saleh, Abdulrahman Nasiri, Ahmed Kotb Abdrabou, Hadeel Samarkandi, Ayman Saad, Mahmoud Aljurf, Amr Hanbali and Ali Alahmari
Hematol. Rep. 2026, 18(2), 28; https://doi.org/10.3390/hematolrep18020028 - 13 Apr 2026
Viewed by 368
Abstract
Philadelphia chromosome-positive acute lymphoblastic leukemia (Ph+ ALL) remains a high-risk entity despite advances in tyrosine kinase inhibitors (TKIs), immunotherapy, and cellular therapies. Relapse driven by clonal evolution, central nervous system (CNS) sanctuary disease, and TKI resistance, particularly T315I mutations, continues to limit durable [...] Read more.
Philadelphia chromosome-positive acute lymphoblastic leukemia (Ph+ ALL) remains a high-risk entity despite advances in tyrosine kinase inhibitors (TKIs), immunotherapy, and cellular therapies. Relapse driven by clonal evolution, central nervous system (CNS) sanctuary disease, and TKI resistance, particularly T315I mutations, continues to limit durable disease control. Asciminib, a first-in-class allosteric BCR::ABL1 (STAMP) inhibitor, has demonstrated efficacy and favorable tolerability in chronic myeloid leukemia, but its optimal role in Ph+ ALL remains to be defined. We report a three-patient case series of Ph+ acute leukemia treated with asciminib across diverse high-risk clinical settings, including multiply relapsed disease, CNS involvement, T315I-mutated leukemia, post-CAR-T-cell relapses, and transplant bridging. Clinical outcomes are contextualized through a comprehensive review of emerging clinical trial data, real-world cohorts, and mechanistic studies evaluating asciminib in Ph+ ALL. Across all cases, asciminib was incorporated as part of combination or consolidation strategies rather than as monotherapy in active disease. Asciminib contributed to molecular disease control, CNS leukemia clearance, and successful bridging to allogeneic transplantation or cellular therapy, with acceptable tolerability and no major vascular toxicity. Integration of published evidence demonstrates that asciminib exhibits consistent biological activity in Ph+ ALL, with improved durability when used in rational combinations, particularly with immunotherapy or ATP-competitive TKIs. Preclinical data further support asciminib’s compatibility with antibody-based and cellular therapies through preservation of immune effector function. Asciminib represents a versatile but context-dependent therapeutic option in Ph+ ALL. Its greatest clinical value appears to lie in rational combination regimens, maintenance strategies, and bridging to definitive therapies rather than single-agent salvage. Emerging structural biomarkers and ongoing clinical trials are expected to further refine patient selection, sequencing, and optimal integration of asciminib, particularly in CNS-involved disease and post-CAR-T cell relapse. Full article
15 pages, 2752 KB  
Article
Development of a Highly Sensitive SPR Biosensor for BCR–ABL Gene Sequence Detection Using a Novel Gold Nanoparticle–Enhanced Sandwich Assay Format
by Maksym S. Sobolevskyi, Andrii M. Lopatynskyi, Anton V. Samoylov, Glib V. Dorozinsky, Oleksandr M. Lyapin, Roman V. Khrystosenko, Volodymyr I. Chegel, Viktoriya M. Pyeshkova, Abdelhamid Errachid, Sergei V. Dzyadevych and Oleksandr O. Soldatkin
Micromachines 2026, 17(4), 426; https://doi.org/10.3390/mi17040426 - 30 Mar 2026
Viewed by 490
Abstract
SPR (surface plasmon resonance) biosensor–based analytical methods enable rapid, straightforward, and cost-effective detection of DNA oligonucleotides. However, the detection limits of currently available SPR biosensors for BCR–ABL gene oligonucleotides remain too high to reliably detect sub-nanomolar concentrations. This study presents a new signal-enhancement [...] Read more.
SPR (surface plasmon resonance) biosensor–based analytical methods enable rapid, straightforward, and cost-effective detection of DNA oligonucleotides. However, the detection limits of currently available SPR biosensors for BCR–ABL gene oligonucleotides remain too high to reliably detect sub-nanomolar concentrations. This study presents a new signal-enhancement approach for SPR DNA biosensors based on a gold nanoparticle (AuNP) sandwich assay. In this work, we demonstrated that AuNP-modified oligonucleotides can serve as labels that significantly amplify the SPR biosensor response in a sandwich-type SPR DNA biosensor. The analytical characteristics of the developed AuNP-labeled biosensor for detection of BCR–ABL fusion gene oligonucleotides were studied. The AuNP-labeled biosensor exhibited a detection limit of 80 pM, which is significantly lower than that of a traditional label-free SPR biosensor (50 nM). The measurement error for BCR–ABL target detection was significantly lower with the AuNP-labeled biosensor than with the label-free SPR biosensor. The conditions of synthesis of AuNPs by citrate reduction of AuCl3 that allow the monodisperse size distribution and absence of AuNP aggregation were established as well. Based on the obtained data, we conclude that a sandwich assay employing AuNP-modified oligonucleotides as labels is a promising approach for the highly sensitive detection of genetic markers. The developed AuNP-labeled DNA biosensing approach can be adapted to enhance the signal in other DNA hybridization-based SPR biosensors. Full article
(This article belongs to the Special Issue Optical Biosensors and Their Biomedical Applications)
Show Figures

Graphical abstract

18 pages, 2002 KB  
Article
A Novel CIP2A and BCL-XL Clinical Diagnostic Toolkit to Predict Disease Progression and Treatment-Free Remission in Chronic Myeloid Leukaemia
by Ammar A. Basabrain, Gemma M. Austin, Alison K. Holcroft, Jane F. Apperley, Richard E. Clark, Shankar Varadarajan and Claire M. Lucas
Int. J. Mol. Sci. 2026, 27(7), 2991; https://doi.org/10.3390/ijms27072991 - 25 Mar 2026
Viewed by 542
Abstract
Biomarkers that predict disease progression and treatment-free remission (TFR) would be of significant clinical value in chronic myeloid leukaemia (CML). We have previously shown that CIP2A levels at diagnosis can identify patients at increased risk of progression. One mechanism by which CIP2A acts [...] Read more.
Biomarkers that predict disease progression and treatment-free remission (TFR) would be of significant clinical value in chronic myeloid leukaemia (CML). We have previously shown that CIP2A levels at diagnosis can identify patients at increased risk of progression. One mechanism by which CIP2A acts is through upregulation of the anti-apoptotic gene BCL-XL. In this study, we evaluated BCL-XL mRNA expression as a diagnostic biomarker using samples from the SPIRIT2 and DESTINY clinical trials. In SPIRIT2, which compared imatinib and dasatinib as first-line therapies, high BCL-XL expression was associated with treatment failure, poor early molecular response, and lower rates of MR2 and MR3 achievement in patients treated with imatinib. In the DESTINY trial, which assessed treatment de-escalation and discontinuation, BCL-XL expression was significantly higher in patients who experienced molecular relapse compared to those achieving sustained TFR. Notably, increases in BCL-XL were detectable 6 to 8 months prior to molecular relapse, suggesting it may serve as an early biomarker of unsuccessful TFR. We now propose a clinical diagnostic toolkit combining CIP2A and BCL-XL biomarkers to stratify CML patients by the risk of disease progression and likelihood of achieving successful TFR. Full article
(This article belongs to the Special Issue Molecular Advances in Blood Disorders)
Show Figures

Figure 1

16 pages, 1177 KB  
Article
The Complex of Copper (II) and Zoledronic Acid: Relevance to Oxidative Death of Leukemia Cells in the Bone Marrow
by Elena S. Barskaya, Artemii M. Savin, Kirill V. Chernov, Albina S. Petrova, Maksim S. Abramovich, Yulia A. Maksimova, Alexander S. Dubenskiy, Sergey A. Tsymbal, Anna V. Lantsova, Anna A. Moiseeva, Maria A. Beloglazkina, Roman S. Borisov, Elena K. Beloglazkina and Alexander A. Shtil
Int. J. Mol. Sci. 2026, 27(6), 2800; https://doi.org/10.3390/ijms27062800 - 19 Mar 2026
Viewed by 418
Abstract
Copper–organic compounds are being investigated as antitumor candidates. Besides their efficacy as cytotoxic agents alone, the oxidative potential of electrochemical Cu2+-to-Cu1+ transition emerges as an attractive approach for elimination of tumor cells otherwise resistant to chemotherapy. To minimize side effects [...] Read more.
Copper–organic compounds are being investigated as antitumor candidates. Besides their efficacy as cytotoxic agents alone, the oxidative potential of electrochemical Cu2+-to-Cu1+ transition emerges as an attractive approach for elimination of tumor cells otherwise resistant to chemotherapy. To minimize side effects of the potent oxidative burst upon Cu(II) reduction, the metal cations should be delivered to the tumor site. Taking advantage of the ability of bisphosphonates to accumulate in the bone, we synthesized a Cu(II) complex of zoledronic acid (ZA), an FDA-approved drug for prevention of bone destruction. The CuZA complex obtained upon precipitation of ZA and different copper salts (sulfate, chloride or perchlorate) were structurally identical, consisting of two organic moieties coordinated by three metal cations. Combined treatment with water-soluble formulations of CuZA and cysteine triggered rapid death in human cell lines. This effect was achievable with non-toxic concentrations of CuZA and cysteine alone. Importantly, the K562 chronic myelogenous leukemia cells that demonstrated an attenuated response to the 3d generation Bcr-Abl tyrosine kinase inhibitor in the medium conditioned by bone marrow-derived fibroblasts, were readily killed by CuZA–cysteine combination. Thus, oxidative burst upon metal reduction in CuZA complexes emerges as a promising method of eradication of tumor cells in the bone microenvironment. Full article
Show Figures

Figure 1

1 pages, 160 KB  
Correction
Correction: Danzero et al. An Automated Cartridge-Based Microfluidic System for Real-Time Quantification of BCR::ABL1 Transcripts in Chronic Myeloid Leukemia: An Italian Experience. Int. J. Mol. Sci. 2025, 26, 8932
by Alice Costanza Danzero, Enrico Marco Gottardi, Fabrizio Quarantelli, Ciro Del Prete, Alessandra Potenza, Claudia Venturi, Paola Berchialla, Francesca Guerrini, Clara Bono, Emanuela Ottaviani, Sara Galimberti, Carmen Fava and Barbara Izzo
Int. J. Mol. Sci. 2026, 27(6), 2784; https://doi.org/10.3390/ijms27062784 - 19 Mar 2026
Viewed by 264
Abstract
In the original publication [...] Full article
(This article belongs to the Section Molecular Informatics)
24 pages, 1978 KB  
Review
Targeting Mitochondrial Vulnerabilities in Chronic Myeloid Leukemia: From Pathobiology to Novel Therapeutic Opportunities
by Francesco Caprino, Ilenia Valentino, Antonella Bruzzese, Ludovica Ganino, Maria Mesuraca, Rita Citraro, Massimo Gentile, Maria Eugenia Gallo Cantafio and Nicola Amodio
Cancers 2026, 18(6), 982; https://doi.org/10.3390/cancers18060982 - 18 Mar 2026
Viewed by 700
Abstract
Background: Mitochondria are multifunctional organelles that play a central role in maintaining cellular homeostasis by regulating energy metabolism, reactive oxygen species (ROS) generation, ion homeostasis, and apoptotic signaling. Dynamic processes such as mitochondrial fission, fusion, and intracellular trafficking enable cells to adapt [...] Read more.
Background: Mitochondria are multifunctional organelles that play a central role in maintaining cellular homeostasis by regulating energy metabolism, reactive oxygen species (ROS) generation, ion homeostasis, and apoptotic signaling. Dynamic processes such as mitochondrial fission, fusion, and intracellular trafficking enable cells to adapt to metabolic and environmental stress. Growing evidence indicates that dysregulation of these processes is a hallmark of cancer, contributing to metabolic reprogramming, redox imbalance, evasion of apoptosis, and disease progression. This narrative review aims to discuss the role of mitochondrial alterations in the pathophysiology of chronic myeloid leukemia (CML) and their potential therapeutic implications. Methods: Original research articles published between 2010 and 2025 were considered in this narrative review. The selected studies were critically discussed and categorized into three principal thematic domains: mitochondrial regulation of redox homeostasis, metabolic rewiring, and control of cell death pathways. Evidence was synthesized to elucidate the contribution of mitochondrial dysfunction to CML initiation, progression, and therapeutic resistance. Results: The reviewed studies highlight how mitochondrial abnormalities play a pivotal role in BCR-ABL1-driven leukemogenesis. Alterations in mitochondrial metabolism and ROS signaling support sustained proliferative signaling, promote genomic instability, and facilitate resistance to apoptosis. In addition, mitochondrial adaptations contribute to resistance to tyrosine kinase inhibitors (TKIs) and are essential for the persistence and survival of leukemic stem cells. Conclusions: Mitochondria emerge as central regulators of CML pathobiology. Therapeutic strategies targeting mitochondrial metabolism, redox homeostasis, and apoptotic signaling pathways represent promising approaches to overcoming TKI resistance and may improve clinical outcomes for patients with CML. Full article
(This article belongs to the Section Cancer Pathophysiology)
Show Figures

Figure 1

21 pages, 4152 KB  
Article
Integrated Multi-Omic Analysis Reveals Novel Subtype-Specific Regulatory Interactions in Pediatric B-Cell Acute Lymphoblastic Leukemia
by Irina Pushel, Zachary S. Clark, Lisa A. Lansdon, Byunggil Yoo, Michaella J. Rekowski, Nicole M. Wood, Michael P. Washburn and Midhat S. Farooqi
Cancers 2026, 18(5), 813; https://doi.org/10.3390/cancers18050813 - 3 Mar 2026
Viewed by 542
Abstract
Background/Objectives: Molecular subtyping of pediatric B-cell acute lymphoblastic leukemia (B-ALL) has improved patient outcomes through stratification and selection of targeted therapies. Despite extensive genomic and transcriptomic profiling of this cancer, few studies to date have characterized the proteomic landscape, although proteins are [...] Read more.
Background/Objectives: Molecular subtyping of pediatric B-cell acute lymphoblastic leukemia (B-ALL) has improved patient outcomes through stratification and selection of targeted therapies. Despite extensive genomic and transcriptomic profiling of this cancer, few studies to date have characterized the proteomic landscape, although proteins are the direct targets of many therapeutic agents. Methods: In this study, we demonstrate the utility of multi-omic integration of global transcriptomic, proteomic, and phosphoproteomic profiles of samples from patients diagnosed with either of two B-ALL subtypes—Ph-like (BCR::ABL1-like) and ETV6::RUNX1. Through individual and multi-omic analysis, we recapitulate known transcriptomic findings and identify novel subtype-specific proteomic and phosphoproteomic biomarkers. Conclusions: Our findings suggest a previously undescribed role for calcium-dependent signaling processes in Ph-like B-ALL, which has the potential to serve as a novel avenue for targeted treatments. By integrating multiple -omics modalities, we identify not only features of interest but also begin to unravel the regulatory interactions driving subtype-specific mechanisms of leukemogenesis. This integrated analytic approach paves the way for enhanced precision medicine for precise subtyping and treatment selection for pediatric leukemia patients. Full article
(This article belongs to the Special Issue Current Research in Pediatric Hematological Oncology)
Show Figures

Figure 1

13 pages, 1279 KB  
Article
Adult Patients with Philadelphia-Positive B-Cell Acute Lymphoblastic Leukemia Treated with a Pediatric-Inspired Multiagent Chemotherapy Regimen, in Combination with a TKI, Do Not Require Routine alloSCT
by Donna Zhe Sian Eng, Fatima Khadadah, Maria Agustina Perusini, Eshrak Al-Shaibani, Eshetu G. Atenafu, Aniket Bankar, Marta Davidson, Guillaume Richard-Carpentier, Dawn Maze, Karen Yee, Aaron Schimmer, Vikas Gupta, Steven Chan, Dennis Dong Hwan Kim, Andre Schuh, Mark Minden and Hassan Sibai
Curr. Oncol. 2026, 33(2), 127; https://doi.org/10.3390/curroncol33020127 - 22 Feb 2026
Viewed by 559
Abstract
Tyrosine kinase inhibitors (TKIs) added to chemotherapy have improved outcomes of adult patients with Philadelphia-positive B-cell acute lymphoblastic leukemia (Ph+ B-ALL). These improvements initially led to a larger proportion of patients realizing allogeneic stem cell transplantation (alloSCT), long considered essential for cure, but [...] Read more.
Tyrosine kinase inhibitors (TKIs) added to chemotherapy have improved outcomes of adult patients with Philadelphia-positive B-cell acute lymphoblastic leukemia (Ph+ B-ALL). These improvements initially led to a larger proportion of patients realizing allogeneic stem cell transplantation (alloSCT), long considered essential for cure, but there has been a re-evaluation of alloSCT. At Princess Margaret Hospital (PM), adult patients with Ph+ B-ALL have been treated with a pediatric-inspired chemotherapy protocol with mostly imatinib. In the last two decades, we have witnessed many iterative changes in our approach. Here, we examine the outcomes of all Ph+ B-ALL patients treated at our institution from 2001 to 2019. During this time, there were two major protocol changes—omission of asparaginase in 2009 and discontinuation of routine referral for first complete remission (CR1) alloSCT from the early 2010s. Median follow-up was 41.13 months (range, 0.46–228.79). In total, 141 patients (91.56%) achieved CR1. Patient outcomes improved iteratively, with the best results seen in the final (2016–2019) cohort: no asparaginase, no routine alloSCT referral in CR1; 4-year overall survival (OS) and relapse-free survival (RFS) were 87.0% and 69.3%, respectively. The long-term OS in this patient group retained statistical significance in the multivariable analysis (p = 0.0176) when BCR::ABL1 molecular measurable residual disease (MRD) was considered. Full article
(This article belongs to the Section Hematology)
Show Figures

Figure 1

25 pages, 1044 KB  
Review
Evolving Therapeutic Algorithms in Chronic Myeloid Leukemia: Integrating Efficacy, Safety, and Survivorship
by Yan Leyfman, Ahmed Hashim Azeez, Taha Kassim Dohadwala, Soumiya Nadar, Riya Vaishnav, Sumaiya Khan, Vraj JigarKumar Rangrej, Viviana Cortiana and Chandler Park
Biomedicines 2026, 14(2), 408; https://doi.org/10.3390/biomedicines14020408 - 11 Feb 2026
Viewed by 1109
Abstract
Chronic myeloid leukemia (CML) has undergone a significant shift over the past two decades, transitioning from a fatal malignancy to a chronic, highly manageable disease with near-normal life expectancy for most patients. This transformation has been driven by the development of BCR-ABL1-targeted tyrosine [...] Read more.
Chronic myeloid leukemia (CML) has undergone a significant shift over the past two decades, transitioning from a fatal malignancy to a chronic, highly manageable disease with near-normal life expectancy for most patients. This transformation has been driven by the development of BCR-ABL1-targeted tyrosine kinase inhibitors (TKIs), which have enabled durable disease control and deep molecular responses (DMRs) in the majority of patients with chronic-phase CML. As long-term survival outcomes have plateaued across available agents, contemporary management has shifted beyond disease suppression toward optimizing long-term safety, quality of life, and the achievement of treatment-free remission (TFR). This review summarizes current evidence on molecular monitoring strategies, the comparative efficacy and toxicity profiles of first-, second-, and third-generation TKIs, and emerging advances in response assessment. Patient-centered TKI selection is discussed in the context of cardiovascular risk, comorbidities, treatment tolerability, and survivorship goals, reflecting the growing emphasis on individualized therapy in chronic-phase CML. Molecular monitoring strategies are examined in parallel, highlighting the clinical importance of early and sustained DMRs in guiding therapeutic decisions and TFR eligibility. Although RT-qPCR remains the standard for molecular monitoring, emerging high-sensitivity techniques such as digital droplet PCR and next-generation sequencing provide complementary value by improving the detection of low-level residual disease, refining risk stratification, and enabling earlier identification of resistance. Emerging therapeutic strategies and advances in response assessment further highlight ongoing efforts to enhance the depth and durability of remission while minimizing long-term toxicity. These developments support a more precise, individualized, and outcome-driven approach to modern CML management. Full article
(This article belongs to the Section Cancer Biology and Oncology)
Show Figures

Figure 1

26 pages, 1467 KB  
Review
Anti-Leukemic Properties of Curcumin on Acute Lymphoblastic Leukemia: A Systematic Review
by Teck Chee Soh, Ying Hui Tan, Pen Han Heng, Faizatul Isyraqiah, Rakesh Naidu and Kok-Lun Pang
Biology 2026, 15(3), 258; https://doi.org/10.3390/biology15030258 - 30 Jan 2026
Viewed by 1011
Abstract
Background: Acute lymphoblastic leukemia (ALL) is a hematological malignancy characterised by uncontrolled proliferation of lymphoid cells. Despite improved outcomes with modern chemotherapy, treatment resistance and adverse effects remain major clinical challenges. Curcumin, a natural compound from Curcuma longa, has shown anticancer potential [...] Read more.
Background: Acute lymphoblastic leukemia (ALL) is a hematological malignancy characterised by uncontrolled proliferation of lymphoid cells. Despite improved outcomes with modern chemotherapy, treatment resistance and adverse effects remain major clinical challenges. Curcumin, a natural compound from Curcuma longa, has shown anticancer potential in multiple malignancies, including leukemia. This systematic review aims to summarise preclinical and clinical evidence on the anti-leukemic effects and mechanisms of action of curcumin in ALL. Methods: A literature search was conducted in August 2025 across PubMed, Scopus, Ovid MEDLINE, and Web of Science according to Preferred Reporting Items for Systematic Reviews and Meta-Analyses 2020 guidelines. Primary research involving in vitro, in vivo, and human studies examining curcumin’s anti-leukemic effects on ALL were included. Of the 2034 records screened, 26 articles met the inclusion and exclusion criteria. Results: Curcumin inhibited proliferation and induced cytotoxicity and apoptosis in ALL cells via reactive oxygen species generation, DNA damage, mitochondrial dysfunction, and caspase activation. It also inhibited the Janus kinase/signal transducer and activator of transcription (JAK/STAT) and phosphoinositol-3 kinase/protein kinase B (PI3K/AKT) signalling, downregulated breakpoint cluster region-Abelson (BCR-ABL), Wilms tumor 1 (WT1), and Multidrug resistance 1 (MDR1) mRNAs, and induced ceramide accumulation and autophagy. In vivo evidence was limited, and no human studies were identified. Conclusions: Curcumin exerts multi-targeted anti-leukemic effects in ALL. Clinical translation is constrained by its poor bioavailability and limited clinical data. Future research should focus on improving the bioavailability of curcumin via chemical or pharmaceutical modification, as well as conducting well-designed clinical trials. Full article
(This article belongs to the Special Issue Plant Natural Products: Mechanisms of Action for Promoting Health)
Show Figures

Graphical abstract

27 pages, 4785 KB  
Article
Rational Design, Synthesis, and Molecular Docking of Novel Terpene Analogues of Imatinib, and Their Inhibition on Downstream BCR-ABL Signaling
by Rositsa Mihaylova, Asine Dailova-Barzeva, Irena Philipova, Georgi Momekov, Irini Doytchinova, Mariyana Atanasova and Georgi Stavrakov
Pharmaceuticals 2026, 19(2), 198; https://doi.org/10.3390/ph19020198 - 23 Jan 2026
Viewed by 791
Abstract
Background/Objectives: Imatinib, the first tyrosine kinase inhibitor, marks the beginning of a revolution in clinical oncology. Disrupting oncogenic kinase-dependent signaling pathways represents a key strategy for advancing targeted cancer therapies. Terpene analogues of imatinib were developed to probe the influence of terminal [...] Read more.
Background/Objectives: Imatinib, the first tyrosine kinase inhibitor, marks the beginning of a revolution in clinical oncology. Disrupting oncogenic kinase-dependent signaling pathways represents a key strategy for advancing targeted cancer therapies. Terpene analogues of imatinib were developed to probe the influence of terminal ring modifications on BCR-ABL inhibition and downstream oncogenic signaling. Methods: Nine novel imatinib analogues bearing bulky aliphatic moieties were designed, synthesised, and structurally characterized by 1H/13C NMR spectroscopy and high-resolution mass spectrometry (HRMS). Molecular docking calculations were performed to assess the binding modes and intermolecular interactions. The cytotoxicity of the newly synthesized imatinib derivatives was evaluated across a panel of BCR-ABL+ leukemia cell lines. Results: Molecular docking analyses demonstrated conserved interactions within the ATP-binding site of BCR-ABL for all derivatives, with calculated docking scores ranging between 123 and 128, while modifications at the terminal ring introduced subtle changes in electrostatic and steric profiles. Biological evaluation using MTT-based cytotoxicity assays in BCR-ABL+ leukemic cell lines revealed enhanced antiproliferative activity compared with imatinib, with compounds 6a (flexible cyclohexyl) and 6d (rigid camphane-type (+)-isopinocampheyl) exhibiting the lowest micromolar activity in the AR-230 model (IC50 values of 1.1 and 1.2 μM, respectively). Proteome-wide phosphokinase profiling demonstrated shared suppression of STAT5/3/6, RSK1/2, S6K1/p70, and Pyk2, confirming effective disruption of canonical BCR-ABL pathways. Critically, the terpene moiety dictated downstream pathway bias: 6a preferentially attenuated CREB activation, whereas 6d more effectively suppressed the PI3K/Akt oncogenic axis and strongly activated proapoptotic p53-mediated stress responses. Conclusions: Our findings establish terpene-engineered imatinib analogues as tunable modulators and promising candidates for targeting downstream BCR-ABL signaling pathways in leukemia treatment. Full article
(This article belongs to the Special Issue Targeting Enzymes in Drug Design and Discovery)
Show Figures

Graphical abstract

11 pages, 662 KB  
Article
Macrocytosis as an Early Pharmacodynamic Marker of Imatinib Efficacy in Chronic Myeloid Leukemia
by Fatih Yaman, Ibrahim Ethem Pinar, Sevgi Isik, Filiz Yavasoglu, Eren Gunduz, Hava Uskudar Teke and Neslihan Andic
J. Clin. Med. 2026, 15(2), 908; https://doi.org/10.3390/jcm15020908 - 22 Jan 2026
Viewed by 319
Abstract
Background: Macrocytosis commonly develops during imatinib therapy, but its relationship with cytogenetic and molecular outcomes in chronic myeloid leukemia (CML) remains unclear. We investigated whether increases in mean corpuscular volume (MCV) during imatinib treatment are associated with response depth and treatment persistence. Methods: [...] Read more.
Background: Macrocytosis commonly develops during imatinib therapy, but its relationship with cytogenetic and molecular outcomes in chronic myeloid leukemia (CML) remains unclear. We investigated whether increases in mean corpuscular volume (MCV) during imatinib treatment are associated with response depth and treatment persistence. Methods: In this retrospective study, we analyzed 101 adults with chronic-phase CML treated with a stable imatinib dose of 400 mg/day for at least 12 months. Patients with conditions that could confound MCV (hydroxyurea exposure, megaloblastic anemia, hypothyroidism, chronic liver disease, alcoholism) were excluded. Complete cytogenetic response (CCyR) and major molecular response (MMR) were assessed by conventional karyotyping and the BCR-ABL1 International Scale, respectively. Increased MCV was defined as MCV > 100 fL after six months of therapy, persisting thereafter. Associations between MCV dynamics, response, and switching to second-generation tyrosine kinase inhibitors were evaluated. Results: Twenty patients (20%) developed increased MCV. Overall, 86 patients (85%) achieved CCyR and 70 (69%) achieved MMR. All patients with increased MCV attained CCyR, compared with 66 of 81 (81%) without MCV elevation (p = 0.037), while MMR rates were 90% versus 64% (p = 0.030). During a median follow-up of 69 months, treatment modification was required in 1 of 20 (5%) patients with increased MCV versus 25 of 81 (31%) in the non-increased group (p = 0.018). Conclusions: MCV elevation during imatinib therapy is associated with deeper molecular response and reduced need for treatment modification. MCV dynamics may serve as an inexpensive pharmacodynamic marker to support risk assessment and guide monitoring in chronic-phase CML. Full article
(This article belongs to the Special Issue Clinical Trends and Prospects in Laboratory Hematology)
Show Figures

Figure 1

39 pages, 9691 KB  
Review
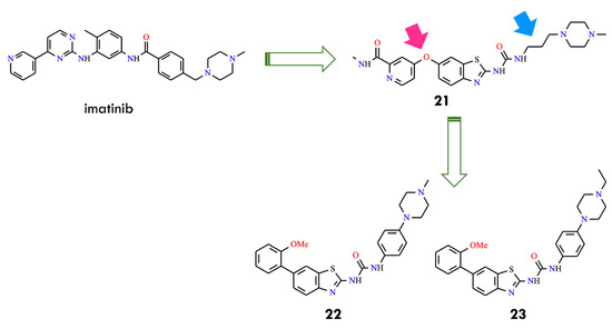
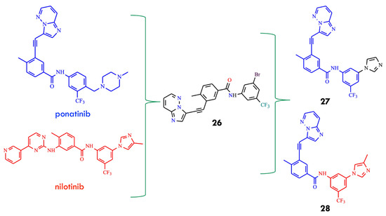
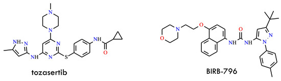
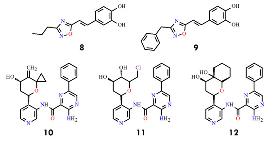
Advances in Targeting BCR-ABLT315I Mutation with Imatinib Derivatives and Hybrid Anti-Leukemic Molecules
by Aleksandra Tuzikiewicz, Wiktoria Wawrzyniak, Andrzej Kutner and Teresa Żołek
Molecules 2026, 31(2), 341; https://doi.org/10.3390/molecules31020341 - 19 Jan 2026
Viewed by 871
Abstract
Resistance to imatinib remains a therapeutic challenge, largely driven by point mutations within the kinase domain of the BCR-ABL, among which the T315I substitution constitutes the most clinically significant barrier. Ponatinib effectively inhibits this mutant form but is limited by dose-dependent cardiovascular [...] Read more.
Resistance to imatinib remains a therapeutic challenge, largely driven by point mutations within the kinase domain of the BCR-ABL, among which the T315I substitution constitutes the most clinically significant barrier. Ponatinib effectively inhibits this mutant form but is limited by dose-dependent cardiovascular toxicity, prompting efforts to develop safer and more selective agents. Recent advances highlight aminopyrimidine-derived scaffolds and their evolution into thienopyrimidines, oxadiazoles, and pyrazines with improved activity against BCR-ABLT315I. Further progress has been achieved with benzothiazole–picolinamide hybrids incorporating a urea-based pharmacophore, which benefit from strategic hinge-region substitutions and phenyl linkers that enhance potency. Parallel research into dual-mechanism inhibitors, including Aurora and p38 kinase modulators, demonstrates additional opportunities for overcoming resistance. Combination strategies, such as vorinostat with ponatinib, provide complementary therapeutic avenues. Natural-product-inspired approaches utilizing fungal metabolites provided structurally diverse scaffolds that could engage sterically constrained mutant kinases. Hybrid molecules derived from approved TKIs, including GNF-7, olverembatinib, and HG-7-85-01, exemplify rational design trends that balance efficacy with improved safety. Molecular modeling continues to deepen understanding of ligand engagement within the T315I-mutated active site, supporting the development of next-generation inhibitors. In this review, we summarized recent progress in the design, optimization, and biological evaluation of small molecules targeting the BCR-ABLT315I mutation. Full article
Show Figures

Figure 1

9 pages, 2319 KB  
Case Report
Targeted Therapy for a Rare PDGFRB-Rearranged Myeloproliferative Neoplasm: A Case Report
by Cosimo Barbato, Vito A. Lasorsa, Francesco Grimaldi, Santa Errichiello, Ida Pisano, Maurizio Capuozzo, Mariangela Capone, Viviana Izzo, Fabrizio Quarantelli, Alessandra Potenza, Roberta Visconti, Alessandra Galdiero, Angelo Zanniti, Ciro Del Prete, Teresa Femiano, Giuseppina Esposito, Novella Pugliese, Roberta Russo, Mario Capasso and Barbara Izzo
Int. J. Mol. Sci. 2026, 27(2), 656; https://doi.org/10.3390/ijms27020656 - 8 Jan 2026
Viewed by 590
Abstract
Myeloproliferative neoplasms (MPNs) are a heterogeneous group of diseases originating from hematopoietic stem cell transformation, characterized by the clonal proliferation of hematopoietic progenitors. A specific subset includes myeloid/lymphoid neoplasms with eosinophilia and tyrosine kinase (TK) gene fusions, particularly involving PDGFR A or B [...] Read more.
Myeloproliferative neoplasms (MPNs) are a heterogeneous group of diseases originating from hematopoietic stem cell transformation, characterized by the clonal proliferation of hematopoietic progenitors. A specific subset includes myeloid/lymphoid neoplasms with eosinophilia and tyrosine kinase (TK) gene fusions, particularly involving PDGFR A or B, which are sensitive to TK inhibitor treatment. We report a case of a 21-year-old patient with a myeloproliferative/myelodysplastic neoplasm, presenting with hyperleukocytosis, anemia, thrombocytopenia, and elevated LDH. The peripheral blood smear showed hypogranular neutrophils, eosinophils, basophils, and myeloid precursors. The absence of BCR::ABL1 and mutations in JAK2, CALR, and MPL excluded common MPNs. Cytogenetic analysis revealed a rearrangement between chromosomes 5 and 14. FISH analysis confirmed an inverted insertion from chromosome 5 to chromosome 14, involving the PDGFRB gene. WGS and RNAseq identified a fusion between PDGFRB and CCDC88C, causing the constitutive activation of PDGFRB. The fusion gene was confirmed by sequencing. This allowed for targeted therapy with a tyrosine kinase inhibitor (TKI), leading to molecular remission monitored by RT-qPCR. This case highlights how a multidisciplinary approach can identify atypical transcripts in MPN, guiding targeted therapy with TK inhibitors, thus resulting in effective treatment and molecular remission. Full article
(This article belongs to the Special Issue Molecular Research in Hematologic Malignancies)
Show Figures

Figure 1

Back to TopTop