Sign in to use this feature.

Years

Between: -

Subjects

remove_circle_outline
remove_circle_outline
remove_circle_outline
remove_circle_outline
remove_circle_outline
remove_circle_outline
remove_circle_outline
remove_circle_outline
remove_circle_outline

Journals

Article Types

Countries / Regions

Search Results (192)

Search Parameters:
Keywords = backstepping sliding mode controller

Order results
Result details
Results per page
Select all
Export citation of selected articles as:
27 pages, 8186 KB  
Article
Deceptive Waypoint Sequencing Based UAV–UAV Interception Control Using DBSCAN Learning Strategy
by Abdulrazaq Nafiu Abubakar, Ali Nasir and Abdul-Wahid A. Saif
Mach. Learn. Knowl. Extr. 2026, 8(3), 54; https://doi.org/10.3390/make8030054 - 25 Feb 2026
Viewed by 343
Abstract
Modern multi-Unmanned Aerial Vehicle (UAV) attacks pose significant challenges to existing counter-UAV frameworks due to their agility, irregular spatial formations, and increasing reliance on intelligent evasive behaviors. This paper proposes a unified interception architecture that integrates Density-Based Spatial Clustering of Applications with Noise [...] Read more.
Modern multi-Unmanned Aerial Vehicle (UAV) attacks pose significant challenges to existing counter-UAV frameworks due to their agility, irregular spatial formations, and increasing reliance on intelligent evasive behaviors. This paper proposes a unified interception architecture that integrates Density-Based Spatial Clustering of Applications with Noise (DBSCAN) for multi-target grouping, a deceptive waypoint sequencing (DWS) mechanism for adversarial evasion, and a robust sliding-mode backstepping controller augmented with extended state observers (ESOs) for precise tracking under disturbances. DBSCAN enables real-time clustering of attacking UAVs without prior knowledge of the number of formations, producing dynamic centroids that serve as tactical interception references. To counter risky attackers capable of predicting defender trajectories, a novel DWS strategy introduces centroid-relative waypoints that preserve mission objectives while reducing trajectory predictability. Lyapunov-based analysis is developed for stability, guaranteeing uniform ultimate boundedness of the tracking errors. The proposed approach achieves successful interception in both scenarios, with an interception time of 7 s and final interception error of 0.023 m in the single-UAV case, and an interception time of 8 s with final interception error of 0.050 m in the multiple-UAV case, whereas the PID baseline fails to achieve interception under the same conditions. Extensive simulations involving single and multi-cluster engagements demonstrate that the proposed strategy achieves fast, accurate, and deception-resilient interception, outperforming the conventional PID approach in the presence of disturbances, nonlinearities, and dynamic swarm configurations. The obtained results show the effectiveness of integrating adaptive clustering, deceptive planning, and robust nonlinear control for modern UAV–UAV defensive operations. Full article
Show Figures

Graphical abstract

28 pages, 2635 KB  
Article
Robust Backstepping-Sliding Control of a Quadrotor UAV with Disturbance Compensation
by Vicente Borja-Jaimes, Jorge Salvador Valdez-Martínez, Miguel Beltrán-Escobar, Guillermo Ramírez-Zúñiga, Adriana Reyes-Mayer and Manuela Calixto-Rodríguez
Computation 2026, 14(2), 51; https://doi.org/10.3390/computation14020051 - 14 Feb 2026
Viewed by 273
Abstract
Quadrotor unmanned aerial vehicles (QUAVs) are widely used in civil and defense applications, yet reliable trajectory tracking remains challenging under external disturbances and limited sensing. Conventional backstepping–sliding mode controllers ensure robustness only by selecting discontinuous gains larger than the disturbance bound, which increases [...] Read more.
Quadrotor unmanned aerial vehicles (QUAVs) are widely used in civil and defense applications, yet reliable trajectory tracking remains challenging under external disturbances and limited sensing. Conventional backstepping–sliding mode controllers ensure robustness only by selecting discontinuous gains larger than the disturbance bound, which increases chattering and limits the use of smooth switching functions. This paper addresses these limitations by integrating explicit disturbance compensation into a backstepping–sliding framework through a super-twisting observer (STO). The STO reconstructs matched disturbances acting on the translational and rotational dynamics in real time, and the estimated signals are directly injected into the control law. This approach enables effective disturbance rejection beyond the nominal sliding gain while preserving robustness under smooth control actions. Simulation results under single- and multi-frequency perturbations demonstrate accurate disturbance reconstruction (FIT indices above 95%), improved tracking performance, and a significant reduction in chattering. The proposed strategy provides a robust control solution for QUAVs operating in uncertain environments. Full article
(This article belongs to the Section Computational Engineering)
Show Figures

Figure 1

19 pages, 4021 KB  
Article
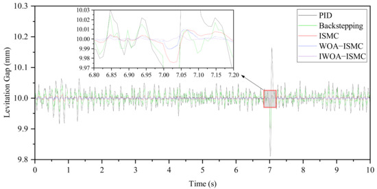
Research on Levitation Control of a Two-Degree-of-Freedom System Based on IWOA-ISMC
by Ziyang Hao, Linjie Hao, Pengfei Liu, Ruichen Wang and Meiqi Wang
Actuators 2026, 15(2), 118; https://doi.org/10.3390/act15020118 - 14 Feb 2026
Viewed by 198
Abstract
Electromagnetic levitation control is a core technology for ensuring the stable operation of maglev trains. To enhance the disturbance rejection capability and stability of the levitation system, an IWOA-ISMC control strategy is proposed in this paper. First, a single-electromagnet levitation model with two [...] Read more.
Electromagnetic levitation control is a core technology for ensuring the stable operation of maglev trains. To enhance the disturbance rejection capability and stability of the levitation system, an IWOA-ISMC control strategy is proposed in this paper. First, a single-electromagnet levitation model with two degrees of freedom is established, in which the effects of spring stiffness and damping are taken into account. Based on this model, an integral sliding mode controller (ISMC) is designed. However, manual parameter tuning based on engineering experience makes it difficult to obtain an optimal parameter combination, and inappropriate controller parameters may lead to significant performance degradation. To address this issue, an improved whale optimization algorithm (IWOA) is introduced to globally optimize the key parameters of the ISMC, resulting in an IWOA-ISMC tailored to the proposed model. Comparative simulations under track irregularity conditions and sudden force disturbances induced by track irregularities are conducted. The results demonstrate that, compared with ISMC, PID, and backstepping controllers, the proposed IWOA-ISMC approach exhibits superior disturbance rejection performance and robustness. Full article
Show Figures

Figure 1

14 pages, 2268 KB  
Article
Finite-Time Backstepping Control for Stand-Alone Three-Phase Voltage-Source Inverters Based on Disturbance Observer
by Shiwei Wu, Dejun Pan, Guanguan Zhang, Le Chang, Xiaoling Wang and Cheng Fu
Energies 2026, 19(3), 781; https://doi.org/10.3390/en19030781 - 2 Feb 2026
Viewed by 259
Abstract
For the three-phase voltage-source inverters (VSIs), load disturbances and parameter uncertainties degrade the quality of output voltages, potentially leading to system instability. To improve steady-state precision and disturbance rejection, this paper suggests a finite-time backstepping control (FTBC) strategy that incorporates a fixed-time sliding [...] Read more.
For the three-phase voltage-source inverters (VSIs), load disturbances and parameter uncertainties degrade the quality of output voltages, potentially leading to system instability. To improve steady-state precision and disturbance rejection, this paper suggests a finite-time backstepping control (FTBC) strategy that incorporates a fixed-time sliding mode disturbance observer (FTSMDO). Firstly, this paper establishes a new dynamic model of the three-phase VSI considering load disturbances, parameter uncertainty and cross-coupling effect. Subsequently, a fixed-time disturbance observer is then developed to precisely estimate the uncertain disturbances, with its convergence time not reliant on the system’s initial conditions. Concurrently, a finite-time differentiator is developed to achieve the desired signals, thereby sidestepping the “explosion of complexity” problem. A finite-time controller is constructed to obtain stable three-phase output voltages. Theoretical and test analysis demonstrate the proposed method is effective. Compared with the PI control, the proposed strategy improves dynamic performance and enhances disturbance-rejection capability under time-varying load disturbances. Full article
Show Figures

Figure 1

17 pages, 5126 KB  
Article
A Finite-Time Tracking Control Scheme Using an Adaptive Sliding-Mode Observer of an Automotive Electric Power Steering Angle Subjected to Lumped Disturbance
by Jae Ung Yu, Van Chuong Le, The Anh Mai, Dinh Tu Duong, Sy Phuong Ho, Thai Son Dang, Van Nam Dinh and Van Du Phan
Actuators 2026, 15(2), 92; https://doi.org/10.3390/act15020092 - 2 Feb 2026
Viewed by 299
Abstract
Steering angle control in self-driving cars is usually organized in layers combining trajectory planning, path tracking, and low-level actuator control. The steering controller converts the planned path into a desired steering angle and then ensures accurate tracking by the electric power steering (EPS). [...] Read more.
Steering angle control in self-driving cars is usually organized in layers combining trajectory planning, path tracking, and low-level actuator control. The steering controller converts the planned path into a desired steering angle and then ensures accurate tracking by the electric power steering (EPS). However, automotive electric power steering (AEPS) systems face many problems caused by model uncertainties, disturbances, and unknown system dynamics. In this paper, a robust finite-time control strategy based on an adaptive backstepping scheme is proposed to handle these problems. First, radial basis function neural networks (NNs) are designed to approximate the unknown system dynamics. Then, an adaptive sliding-mode disturbance observer (ASMDO) is introduced to address the impacts of the lumped disturbance. Enhanced control performance for the AEPS system is implemented using a combination of the above technologies. Numerical simulations and a hardware-in-the-loop (HIL) experimental verification are performed to demonstrate the significant improvement in performance achieved using the proposed strategy. Full article
(This article belongs to the Section Control Systems)
Show Figures

Figure 1

44 pages, 6460 KB  
Article
Experimental Investigation of Conventional and Advanced Control Strategies for Mini Drone Altitude Regulation with Energy-Aware Performance Analysis
by Barnabás Kiss, Áron Ballagi and Miklós Kuczmann
Machines 2026, 14(1), 98; https://doi.org/10.3390/machines14010098 - 14 Jan 2026
Viewed by 423
Abstract
The energy efficiency and hover stability of unmanned aerial vehicles are critical factors, since improper battery utilization and unstable control are major sources of operational failures and accidents. The proportional–integral–derivative (PID) controller, which is applied in approximately 97% of multirotor unmanned aerial vehicle [...] Read more.
The energy efficiency and hover stability of unmanned aerial vehicles are critical factors, since improper battery utilization and unstable control are major sources of operational failures and accidents. The proportional–integral–derivative (PID) controller, which is applied in approximately 97% of multirotor unmanned aerial vehicle (UAV) systems, is widely used due to its simplicity; however, it is sensitive to external disturbances and often fails to ensure optimal energy utilization, resulting in reduced flight time. Therefore, the experimental investigation of advanced control methods in a real physical environment is well justified. The objective of the present research is the comparative evaluation of seven control strategies—PID, linear quadratic controller with integral action (LQI), model predictive control (MPC), sliding mode control (SMC), backstepping control, fractional-order PID (FOPID), and H∞ control—using a single-degree-of-freedom drone test platform in a MATLAB R2023b-Arduino hardware-in-the-loop (HIL) environment. Although the theoretical advantages and model-based results of the aforementioned control methods are well documented, the number of real-time comparative HIL experiments conducted under identical physical conditions remains limited. Consequently, only a small amount of unified and directly comparable experimental data is available regarding the performance of different controllers. The measurements were performed at a reference height of 120 mm under disturbance-free conditions and under wind loading with a velocity of 10 km/h applied at an angle of 45°. The controller performance was evaluated based on hover accuracy, settling time, overshoot, and real-time measured power consumption. The results indicate that modern control strategies provide significantly improved energy efficiency and faster stabilization compared to the PID controller in both disturbance-free and wind-loaded test scenarios. The investigations confirm that several advanced controllers can be applied more effectively than the PID controller to enhance hover stability and reduce energy consumption. Full article
(This article belongs to the Section Robotics, Mechatronics and Intelligent Machines)
Show Figures

Figure 1

26 pages, 48558 KB  
Article
Low-Cost Fixed Bi-Rotor Testbed for Experimental Testing of Linear and Nonlinear Controllers
by Arturo Tadeo Espinoza Fraire, José Armando Sáenz Esqueda, Isaac Gandarilla Esparza and Jorge Alberto Orrante Sakanassi
Automation 2026, 7(1), 19; https://doi.org/10.3390/automation7010019 - 9 Jan 2026
Viewed by 811
Abstract
To build a comprehensive academic or scientific foundation in control theory, developing the theoretical foundation is essential; however, it is equally crucial to validate the theory through practical or experimental verification. Therefore, it is necessary to have platforms that support the learning of [...] Read more.
To build a comprehensive academic or scientific foundation in control theory, developing the theoretical foundation is essential; however, it is equally crucial to validate the theory through practical or experimental verification. Therefore, it is necessary to have platforms that support the learning of automatic control theory. This paper proposes a fixed bi-rotor testbed as an educational tool to help undergraduate and graduate students verify control theories related to electronic engineering and automatic control systems. To evaluate the performance of the fixed bi-rotor testbed, three linear control laws are introduced: Proportional (P), Proportional Derivative (PD), and Proportional Integral Derivative (PID). Additionally, three nonlinear control techniques are examined: Backstepping, Nested Saturations, and First-Order Sliding Modes (SMC). The linear and nonlinear controller gains have been adjusted through several heuristic experiments. In multiple tests, the PD and backstepping control laws performed better than the other control techniques on the fixed bi-rotor testbed. Full article
(This article belongs to the Section Control Theory and Methods)
Show Figures

Figure 1

16 pages, 2902 KB  
Article
Adaptive Backstepping Control for Battery Pole Strip Mill Systems with Friction and Dead-Zone Input Nonlinearities
by Gengting Qiu, Yujie Hao, Gexin Chen, Guishan Yan and Yao Chen
Actuators 2025, 14(12), 618; https://doi.org/10.3390/act14120618 - 17 Dec 2025
Viewed by 328
Abstract
The dead-zone input and hydraulic cylinder friction of the pump-controlled automatic gauge control (AGC) system introduce significant challenges to the high-precision rolling of lithium battery pole pieces. To address these nonlinearities, this paper establishes the friction and dead-zone model of the pump-controlled AGC [...] Read more.
The dead-zone input and hydraulic cylinder friction of the pump-controlled automatic gauge control (AGC) system introduce significant challenges to the high-precision rolling of lithium battery pole pieces. To address these nonlinearities, this paper establishes the friction and dead-zone model of the pump-controlled AGC system, and a slide-mode observer is designed to estimate the friction state z in the LuGre model. Furthermore, an adaptive compensation method is adopted to identify the unknown parameters of the input dead-zone and friction models. Meanwhile, combined with the framework of backstepping control design, both matched and mismatched disturbances are effectively compensated. Stability analysis guarantees the convergence of the estimation errors and closed-loop signal boundedness. Finally, experimental results validate the effectiveness and robustness of the proposed control strategy. Full article
Show Figures

Figure 1

19 pages, 5612 KB  
Article
Sliding Mode Observer-Based Sensor Fault Diagnosis in a Photovoltaic System
by Karim Dahech, Anis Boudabbous and Ahmed Ben Atitallah
Sustainability 2025, 17(24), 11030; https://doi.org/10.3390/su172411030 - 9 Dec 2025
Viewed by 449
Abstract
This work focuses on the development of a diagnostic approach for detecting and localizing sensor faults in an autonomous photovoltaic system. The considered system is composed of a photovoltaic module and a resistive load. However, an adaptation stage formed by a DC/DC voltage [...] Read more.
This work focuses on the development of a diagnostic approach for detecting and localizing sensor faults in an autonomous photovoltaic system. The considered system is composed of a photovoltaic module and a resistive load. However, an adaptation stage formed by a DC/DC voltage boost converter is necessary to transfer energy from the source to the load. The diagnostic scheme is based on a sliding mode observer (SMO) that is robust to uncertainties and parametric variations. The SMO incorporates adaptive gains optimized via parametric adaptation laws, with stability rigorously verified through Lyapunov analysis. The method effectively identifies both independent and simultaneous sensor faults, employing an optimized threshold selection strategy to balance detection sensitivity and false alarm resistance. Simulation results under varying environmental conditions, system parameter fluctuations, and noisy measurement demonstrate the approach’s superior performance, achieving a 20% reduction in mean absolute percentage error (MAPE) and 90% faster settling time compared to existing techniques. These enhancements immediately increase the dependability, efficiency, and lifetime of the PV system, which are critical for lowering carbon emissions and ensuring the economic feasibility of solar energy investments. Key innovations include a novel residual generation mechanism, seamless integration with backstepping sliding mode maximum power point tracking (MPPT) control, and enhanced transient response characteristics. Full article
(This article belongs to the Section Energy Sustainability)
Show Figures

Figure 1

29 pages, 1476 KB  
Article
A Spatio-Temporally Cooperative Guidance Law for Highly Maneuverable Target
by Jia Liu, Yang Guo, Shaobo Wang, Shiyuan Zhang, Jimao Sang and Chengyi Zhang
Aerospace 2025, 12(12), 1079; https://doi.org/10.3390/aerospace12121079 - 4 Dec 2025
Viewed by 510
Abstract
Conventional guidance laws often exhibit difficulty in approaching highly maneuverable targets and suffer from poor robustness. To address these limitations, this paper proposes a spatio-temporally consistent cooperative guidance method based on the fully actuated system (FAS) approach. First, a cooperative guidance model incorporating [...] Read more.
Conventional guidance laws often exhibit difficulty in approaching highly maneuverable targets and suffer from poor robustness. To address these limitations, this paper proposes a spatio-temporally consistent cooperative guidance method based on the fully actuated system (FAS) approach. First, a cooperative guidance model incorporating the approaching-time and approaching-angle constraints is established based on kinematic and dynamic equations, subsequently transformed into an FAS formulation. Second, leveraging the backstepping design, a sliding-mode-like guidance law and an event-triggered control barrier function optimization method are designed within the FAS framework. Specifically, cooperative guidance laws are developed for the line-of-sight (LOS) radial and normal directions, respectively, tailored for approaching a highly maneuverable target. The consistent convergence properties of the proposed method are rigorously proven theoretically. Finally, the effectiveness of the proposed guidance scheme is validated through comprehensive numerical simulations. Full article
Show Figures

Figure 1

20 pages, 3088 KB  
Article
Comparison of Linear and Nonlinear Controllers Applied to Path Following with Coaxial-Rotor MAV
by Arturo Tadeo Espinoza Fraire, José Armando Sáenz Esqueda, Isaac Gandarilla Esparza and Jorge Alberto Orrante Sakanassi
Automation 2025, 6(4), 66; https://doi.org/10.3390/automation6040066 - 4 Nov 2025
Viewed by 971
Abstract
This work presents a nonlinear aerodynamic model that describes the dynamics of a coaxial-rotor MAV. We have designed seven control laws based on linear and nonlinear controllers for path-following with a coaxial-rotor MAV in the presence of unknown disturbances, such as wind gusts. [...] Read more.
This work presents a nonlinear aerodynamic model that describes the dynamics of a coaxial-rotor MAV. We have designed seven control laws based on linear and nonlinear controllers for path-following with a coaxial-rotor MAV in the presence of unknown disturbances, such as wind gusts. The linear controllers include Proportional–Derivative (PD) and Proportional–Integral–Derivative (PID). The nonlinear techniques encompass nested saturation, sliding mode control, second-order sliding mode, high-order sliding mode, and adaptive backstepping. The results are shown after multiple computer simulations. Full article
(This article belongs to the Section Smart Transportation and Autonomous Vehicles)
Show Figures

Figure 1

30 pages, 10873 KB  
Article
ANN-Based Direct Power Control for Improved Dynamic Performance of DFIG-Based Wind Turbine System: Experimental Validation
by Hamid Chojaa, Mishari Metab Almalki and Mahmoud A. Mossa
Machines 2025, 13(11), 1006; https://doi.org/10.3390/machines13111006 - 1 Nov 2025
Viewed by 676
Abstract
Direct power control (DPC) is a widely accepted control scheme utilized in renewable energy applications owing to its several advantages over other control mechanisms, including its simplicity, ease of implementation, and faster response. However, DPC suffers from inherent drawbacks and limitations that constrain [...] Read more.
Direct power control (DPC) is a widely accepted control scheme utilized in renewable energy applications owing to its several advantages over other control mechanisms, including its simplicity, ease of implementation, and faster response. However, DPC suffers from inherent drawbacks and limitations that constrain its applicability. These restrictions include notable ripples in active power and torque, as well as poor power quality brought on by the usage of a hysteresis regulator for capacity management. To address these issues and overcome the limitations of DPC, this study proposes a novel approach that incorporates artificial neural networks (ANNs) into DPC. The proposed technique focuses on doubly fed induction generators (DFIGs) and is validated through experimental testing. ANNs are employed to recompense for the deficiencies of the hysteresis controller and switching table. The intelligent DPC technique is then compared to three other strategies: classic DPC, backstepping control, and integral sliding-mode control. Various tests are conducted to compare the ripple ratio, current quality, durability, response time, and reference tracking. The validity and robustness of the proposed intelligent DPC for DFIGs are verified through both simulation and experimental results obtained from the MATLAB/Simulink environment and the Real-Time Interface (RTI) of the dSPACE DS1104 controller card. The results confirm that the intelligent DPC outperforms conventional control strategies in terms of stator current harmonic distortion, dynamic response, power ripple minimization, reference tracking accuracy, robustness, and overshoot reduction. Overall, the intelligent DPC exhibits superior performance across all evaluated criteria compared to the alternative approaches. Full article
(This article belongs to the Special Issue Wound Field and Less Rare-Earth Electrical Machines in Renewables)
Show Figures

Figure 1

24 pages, 1678 KB  
Article
A Decoupled Sliding Mode Predictive Control of a Hypersonic Vehicle Based on an Extreme Learning Machine
by Zhihua Lin, Haiyan Gao, Jianbin Zeng and Weiqiang Tang
Aerospace 2025, 12(11), 981; https://doi.org/10.3390/aerospace12110981 - 31 Oct 2025
Viewed by 632
Abstract
A sliding mode predictive control (SMPC) scheme integrated with an extreme learning machine (ELM) disturbance observer is proposed for the trajectory tracking of a flexible air-breathing hypersonic vehicle (FAHV). To streamline the controller design, the longitudinal model is decoupled into a velocity subsystem [...] Read more.
A sliding mode predictive control (SMPC) scheme integrated with an extreme learning machine (ELM) disturbance observer is proposed for the trajectory tracking of a flexible air-breathing hypersonic vehicle (FAHV). To streamline the controller design, the longitudinal model is decoupled into a velocity subsystem and an altitude subsystem. For the velocity subsystem, a proportional-integral sliding mode surface is designed, and the control law is derived by minimizing a cost function that weights the predicted sliding mode surface and the control input. For the altitude subsystem, a backstepping control framework is adopted, with the SMPC strategy embedded in each step. Multi-source disturbances are modeled as composite additive disturbances, and an ELM-based neural network observer is constructed for their real-time estimation and compensation, thereby enhancing system robustness. The semi-globally uniformly ultimately bounded (SGUUB) stability of the closed-loop system is rigorously proven using Lyapunov stability theory. Simulation results demonstrate the comprehensive superiority of the proposed method: it achieves reductions in Root Mean Square Error (RMSE) of 99.60% and 99.22% for velocity and altitude tracking, respectively, compared to Prescribed Performance Control with Backstepping Control (PPCBSC), and reductions of 98.48% and 97.12% relative to Terminal Sliding Mode Control (TSMC). Under parameter uncertainties, the developed ELM observer outperforms RBF-based observer and Extended State Observer (ESO) by significantly reducing tracking errors. These findings validate the high precision and strong robustness of the proposed approach. Full article
(This article belongs to the Special Issue New Perspective on Flight Guidance, Control and Dynamics)
Show Figures

Figure 1

38 pages, 13235 KB  
Article
Hardware-in-the-Loop Experimental Validation of a Fault-Tolerant Control System for Quadcopter UAV Motor Faults
by Muhammad Abdullah, Adil Zulfiqar, Muhammad Zeeshan Babar, Jamal Hussain Arman, Ghulam Hafeez, Ahmed S. Alsafran and Muhyaddin Rawa
Fractal Fract. 2025, 9(11), 682; https://doi.org/10.3390/fractalfract9110682 - 23 Oct 2025
Cited by 1 | Viewed by 1300
Abstract
In this paper, a hybrid fault-tolerant control (FTC) system for quadcopter unmanned aerial vehicles (UAVs) is proposed to counteract the deterioration of the performance of the quadcopter due to motor faults. A robust and adaptive approach to controlling fault conditions is simulated by [...] Read more.
In this paper, a hybrid fault-tolerant control (FTC) system for quadcopter unmanned aerial vehicles (UAVs) is proposed to counteract the deterioration of the performance of the quadcopter due to motor faults. A robust and adaptive approach to controlling fault conditions is simulated by combining an integral back-stepping controller for translational motion and a nonlinear observer-based sliding-mode controller for rotational motion, and then implemented on an FPGA. Finally, motor faults are treated as disturbances and are successfully compensated by the controller to ensure safe and high-performance flight. Simulations were taken at 0%, 10%, 30%, and 50% motor faults to test how effective the proposed FTC system is. After simulations, the controller’s real-time performance and reliability were validated through hardware-in-the-loop (HIL) experiments. The results validated that the proposed hybrid controller can guarantee stable flight and precision tracking of the desired trajectory when any single motor fails up to the order of 50%. It shows that the controller is of high fault tolerance and robustness, which will be a potential solution for improving the reliability of UAVs in fault-prone conditions. Full article
Show Figures

Figure 1

32 pages, 7592 KB  
Article
Backstepping Sliding Mode Control of Quadrotor UAV Trajectory
by Yohannes Lisanewerk Mulualem, Gang Gyoo Jin, Jaesung Kwon and Jongkap Ahn
Mathematics 2025, 13(19), 3205; https://doi.org/10.3390/math13193205 - 6 Oct 2025
Cited by 1 | Viewed by 1142
Abstract
Unmanned Aerial Vehicles (UAVs), commonly known as drones, have become widely used in many fields, ranging from agriculture to military operations, due to recent advances in technology and decreases in costs. Quadrotors are particularly important UAVs, but their complex, coupled dynamics and sensitivity [...] Read more.
Unmanned Aerial Vehicles (UAVs), commonly known as drones, have become widely used in many fields, ranging from agriculture to military operations, due to recent advances in technology and decreases in costs. Quadrotors are particularly important UAVs, but their complex, coupled dynamics and sensitivity to outside disturbances make them challenging to control. This paper introduces a new control method for quadrotors called Backstepping Sliding Mode Control (BSMC), which combines the strengths of two established techniques: Backstepping Control (BC) and Sliding Mode Control (SMC). Its primary goal is to improve trajectory tracking while also reducing chattering, a common problem with SMC that causes rapid, high-frequency oscillations. The BSMC method achieves this by integrating the SMC switching gain directly into the BC through a process of differential iteration. Herein, a Lyapunov stability analysis confirms the system’s asymptotic stability; a genetic algorithm is used to optimize controller parameters; and the proposed control strategy is evaluated under diverse payload conditions and dynamic wind disturbances. The simulation results demonstrated its capability to handle payload variations ranging from 0.5 kg to 18 kg in normal environments, and up to 12 kg during gusty wind scenarios. Furthermore, the BSMC effectively minimized chattering and achieved a superior performance in tracking accuracy and robustness compared to the traditional SMC and BC. Full article
(This article belongs to the Special Issue Dynamic Modeling and Simulation for Control Systems, 3rd Edition)
Show Figures

Figure 1

Back to TopTop