Sign in to use this feature.

Years

Between: -

Subjects

remove_circle_outline
remove_circle_outline
remove_circle_outline
remove_circle_outline
remove_circle_outline
remove_circle_outline
remove_circle_outline

Journals

Article Types

Countries / Regions

remove_circle_outline
remove_circle_outline
remove_circle_outline

Search Results (223)

Search Parameters:
Keywords = atrial fibrosis

Order results
Result details
Results per page
Select all
Export citation of selected articles as:
29 pages, 2588 KB  
Review
Crosstalk Between Metabolic Dysfunction-Associated Steatotic Liver Disease and Atrial Fibrillation: Shared Mechanism, Diagnostic Integration, and Management Implications
by Agata Morawska, Rafał Frankowski, Mikołaj Grabarczyk, Marcin Kosmalski and Monika Różycka-Kosmalska
Life 2025, 15(11), 1713; https://doi.org/10.3390/life15111713 - 5 Nov 2025
Viewed by 568
Abstract
Metabolic dysfunction-associated steatotic liver disease (MASLD) and atrial fibrillation (AF) are two highly prevalent conditions that share overlapping cardiometabolic risk factors, including obesity, type 2 diabetes, hypertension, and dyslipidemia. Growing evidence suggests that these two disease entities are pathophysiologically linked through systemic inflammation, [...] Read more.
Metabolic dysfunction-associated steatotic liver disease (MASLD) and atrial fibrillation (AF) are two highly prevalent conditions that share overlapping cardiometabolic risk factors, including obesity, type 2 diabetes, hypertension, and dyslipidemia. Growing evidence suggests that these two disease entities are pathophysiologically linked through systemic inflammation, oxidative stress, and structural remodeling. Population-based studies and meta-analyses report an association between steatotic liver disease and both incident and recurrent AF. While several analyses observe persistence of this association after adjustment for cardiometabolic risk factors, residual confounding and limitations of observational designs preclude firm causal inference. Conversely, heart rhythm disturbances may exacerbate hepatic fibrosis and dysfunction. Lifestyle interventions—particularly sustained weight loss—have demonstrated significant benefits in both conditions. Emerging pharmacological options, including incretin mimetics, flozins, statins, and thiazolidinediones, show promise in addressing the liver–heart axis, while appropriate anticoagulation remains essential in AF management. This review summarizes current epidemiological data, mechanistic insights, diagnostic approaches, and therapeutic strategies related to the coexistence of MASLD and AF. Emphasis is placed on shared pathogenic pathways, non-invasive diagnostic tools, and integrated management options. Full article
Show Figures

Figure 1

16 pages, 681 KB  
Article
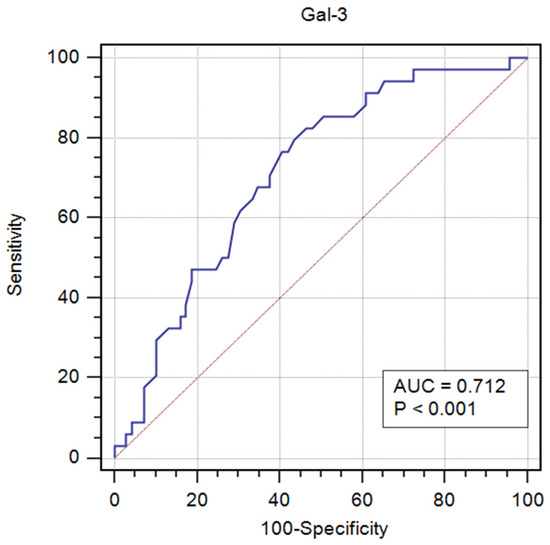
Galectin-3 and Strain Imaging for Early Heart Failure Prediction After First Myocardial Infarction
by Małgorzata Sikora-Frąc, Grażyna Sygitowicz, Ewa Pilichowska-Paszkiet, Krzysztof Smarż, Paweł Maciejewski, Piotr Kokowicz, Marta Prządka, Andrzej Budaj and Beata Zaborska
Int. J. Mol. Sci. 2025, 26(21), 10718; https://doi.org/10.3390/ijms262110718 - 4 Nov 2025
Viewed by 315
Abstract
Galectin-3 (Gal-3), a biomarker of fibrosis, is involved in post-infarction remodelling, but its short-term prognostic value remains uncertain. This study aimed to evaluate the prognostic value of Gal-3 for new-onset heart failure (HF) in first acute myocardial infarction (MI) during the in-hospital phase [...] Read more.
Galectin-3 (Gal-3), a biomarker of fibrosis, is involved in post-infarction remodelling, but its short-term prognostic value remains uncertain. This study aimed to evaluate the prognostic value of Gal-3 for new-onset heart failure (HF) in first acute myocardial infarction (MI) during the in-hospital phase following MI and to assess its association with advanced echocardiographic indices of myocardial and atrial dysfunction, including left ventricular global longitudinal strain (LVGLS) and left atrial reservoir strain. In this prospective study, 105 consecutive patients with STEMI/NSTEMI (mean age 61 ± 11 years) were enrolled. New-onset HF, defined by symptoms, elevated NT-proBNP, and echocardiographic LV dysfunction, developed in 34 patients (32%) during follow-up of a median of 10 [8–13] days. Median serum Gal-3 concentration was 11.6 [9.5–13.5] ng/mL. Gal-3 correlated with echocardiographic indices of myocardial and atrial dysfunction (p = 0.001). Receiver operating characteristic analysis showed moderate discriminative ability (AUC = 0.712; cut-off > 10.9 ng/mL). In multivariable regression, both Gal-3 and LVGLS independently predicted HF, and their combination improved discrimination (AUC = 0.833). In conclusion, Gal-3, particularly when combined with LVGLS, is a valuable early prognostic marker of new-onset HF during the in-hospital phase of acute MI. The combined assessment of Gal-3 and GLS provides a novel, translational biomarker–imaging approach to post-MI prognosis. Full article
(This article belongs to the Special Issue Glycoconjugates: From Structure to Therapeutic Application)
Show Figures

Figure 1

14 pages, 6794 KB  
Article
BET Inhibitor JQ1 Attenuates Atrial Fibrillation Through Modulation of Fibrosis, Calcium Homeostasis, and Mitochondrial Function in a Murine Model
by Zonghu Song, Nobuyuki Murakoshi, Dongzhu Xu, Binyang Xi, Yoshiko Murakata, Kazuhiro Aonuma, Kazuko Tajiri and Tomoko Ishizu
Int. J. Mol. Sci. 2025, 26(21), 10363; https://doi.org/10.3390/ijms262110363 - 24 Oct 2025
Viewed by 327
Abstract
Bromodomain and extraterminal domain (BET) proteins act as epigenetic regulators of gene transcription. BET inhibitors have shown therapeutic potential in various models of heart failure; however, their efficacy in atrial fibrillation (AF) remains incompletely understood. This study investigated the effects of the BET [...] Read more.
Bromodomain and extraterminal domain (BET) proteins act as epigenetic regulators of gene transcription. BET inhibitors have shown therapeutic potential in various models of heart failure; however, their efficacy in atrial fibrillation (AF) remains incompletely understood. This study investigated the effects of the BET inhibitor JQ1 in a mice model of AF. Wild-type male C57BL/6 mice were randomized into four groups: control, JQ1 alone (50 mg/kg, intraperitoneal), angiotensin II (AngII; 1 μg/kg/min), and AngII plus JQ1. After 2 weeks, electrophysiological studies revealed that JQ1 significantly reduced AngII-induced AF inducibility and duration. It also attenuated left atrial enlargement, diastolic dysfunction, and cardiac fibrosis. Molecular analyses indicated that JQ1 suppressed the AngII-induced upregulation of pro-fibrotic genes and restored Sirt1 expression. Moreover, JQ1 also inhibited AngII-enhanced oxidized CaMKII and phosphorylated RyR2 levels. In HL-1 atrial cardiomyocytes, JQ1 improved calcium handling abnormalities, shortened prolonged action potential duration (APD), and restored mitochondrial respiration and adenosine triphosphate (ATP) production, all of which had been impaired by AngII. These findings suggest that BET inhibition by JQ1 mitigates structural and electrical remodeling associated with AF by attenuating atrial fibrosis, and by restoring calcium homeostasis, mitochondrial function, and Sirt1 expression. JQ1 may represent a novel therapeutic strategy for the prevention and treatment of AF. Full article
(This article belongs to the Section Molecular Biology)
Show Figures

Figure 1

23 pages, 1998 KB  
Systematic Review
From Tissue to Transcriptome: A Systematic Review of Multi-Level Evidence for Immune Dysregulation in Atrial Fibrillation
by Antonio da Silva Menezes Junior, Isabela Jubé Wastowski, Henrique Lima de Oliveira, Khissya Beatriz Alves de Lima and Silvia Marçal Botelho
J. Clin. Med. 2025, 14(20), 7316; https://doi.org/10.3390/jcm14207316 - 16 Oct 2025
Viewed by 421
Abstract
Background: Immune dysregulation has emerged as a central mechanism in atrial fibrillation (AF), with accumulating evidence implicating T-cell subsets, cellular senescence, checkpoint dysfunction, and inflammatory signaling. Although individual studies have provided important insights, a comprehensive synthesis across histological, mechanistic, prognostic, and genetic domains [...] Read more.
Background: Immune dysregulation has emerged as a central mechanism in atrial fibrillation (AF), with accumulating evidence implicating T-cell subsets, cellular senescence, checkpoint dysfunction, and inflammatory signaling. Although individual studies have provided important insights, a comprehensive synthesis across histological, mechanistic, prognostic, and genetic domains has been lacking. Methods: We systematically reviewed 16 studies published between 2009 and 2025, encompassing histological investigations, translational and mechanistic analyses, interventional cohorts, prognostic studies, and Mendelian randomization. Data on immune cell subsets, cytokines, signaling pathways, and clinical outcomes were extracted. Risk of bias was assessed using ROBINS-I and RoB 2, while certainty of evidence was graded using the GRADE framework. Results: Histological studies consistently demonstrated infiltration of atrial tissue by T lymphocytes and macrophages, with greater intensity in persistent and permanent AF, causally linked to atrial dilatation and fibrosis. Epicardial adipose tissue emerged as a key reservoir of tissue-resident memory T cells that promote IL-17- and IFN-γ-mediated fibroinflammatory remodeling. Mechanistic analyses highlighted CD8+PAR1+ cytotoxic T cells, PD-1/PD-L1 checkpoint disruption, and adipose–myocardial crosstalk as pivotal drivers of AF. Prognostic studies indicated that immune biomarkers provide incremental predictive value beyond conventional risk scores, while genetic evidence supported a causal role for immune dysregulation in AF susceptibility and progression. Conclusions: Across multiple levels of evidence, immune dysregulation is a primary determinant of AF development, progression, and outcomes. Integration of immune biomarkers into clinical practice may enhance risk stratification and inform the design of immune-targeted therapies for atrial fibrillation. Full article
Show Figures

Figure 1

27 pages, 1066 KB  
Review
Arrhythmias in Systemic Sclerosis: A Call for Interdisciplinarity Teams
by Diana Elena Costan, Veronica Ungurean, Monica Claudia Dobos, Anca Ouatu, Paula Cristina Morariu, Alexandru Florinel Oancea, Maria Mihaela Godun, Diana-Elena Floria, Dragos Traian Marcu, Genoveva Livia Baroi, Silviu Marcel Stanciu, Anton Knieling, Daniela Maria Tanase, Codrina Ancuta and Mariana Floria
Life 2025, 15(10), 1608; https://doi.org/10.3390/life15101608 - 16 Oct 2025
Viewed by 561
Abstract
Background: Systemic sclerosis (SSc) is a rare autoimmune disease characterized by progressive fibrosis, systemic inflammation and vascular dysfunction, with manifestations that can affect multiple organs, including the heart. Cardiac involvement in SSc is often underdiagnosed, although it can have serious consequences on the [...] Read more.
Background: Systemic sclerosis (SSc) is a rare autoimmune disease characterized by progressive fibrosis, systemic inflammation and vascular dysfunction, with manifestations that can affect multiple organs, including the heart. Cardiac involvement in SSc is often underdiagnosed, although it can have serious consequences on the prognosis, especially the occurrence of arrhythmias. These rhythm disturbances can result from direct damage to the myocardium, the conduction system, or the coronary microcirculation. Equally, the medication used can have iatrogenic consequences manifested by severe arrhythmias. Methodology: The aim of this study was to provide a synthesis of incidence, pathogenic mechanisms, diagnostic methods, and therapeutic strategies of arrhythmias associated with SSc. The potential effects of immunomodulatory therapies, such as conventional immunosuppressants and biological therapies, on cardiac electrical function were also analyzed. This narrative review could present the state of the art on arrhythmias associated with SSc, which could serve as a practical guide. In clinical practice, it is necessary to establish a team that includes cardiologists and rheumatologists as well as other specialists to contribute to a correct diagnosis followed by an optimal therapy in patients with SSc. Results: Current data suggest that diffuse myocardial fibrosis, silent ischemia, and inflammatory infiltration may alter the propagation of the electrical impulse in the heart, favoring the occurrence of arrhythmias. Atrioventricular blocks, ventricular tachyarrhythmias, and atrial fibrillation are the most commonly reported rhythm abnormalities in SSc. Also, some therapies used in the treatment of the disease may influence the arrhythmic risk. Conclusions: Cardiac arrhythmias in SSc can have a significant impact on the prognosis of patients, which is why a multidisciplinary approach is essential. Collaboration between rheumatologists, cardiologists, and electrophysiologists is crucial for the early identification and appropriate management of arrhythmic risk in this patient group. Full article
(This article belongs to the Section Physiology and Pathology)
Show Figures

Figure 1

12 pages, 10732 KB  
Case Report
One Shot, One Rhythm: Termination of Refractory Persistent Atrial Fibrillation in a Young Patient via Single Pulmonary Vein Application: A Case Report
by Jonasz Kozielski, Alicja Dąbrowska-Kugacka, Ludmiła Daniłowicz-Szymanowicz and Marek Szołkiewicz
J. Clin. Med. 2025, 14(20), 7297; https://doi.org/10.3390/jcm14207297 - 16 Oct 2025
Viewed by 368
Abstract
Background/Objectives: Atrial fibrillation (AF) is the most common sustained arrhythmia, with catheter ablation outcomes differing significantly between paroxysmal and persistent forms. While pulmo-nary vein isolation (PVI) remains the cornerstone of ablation, persistent AF is often associ-ated with atrial remodeling and non-pulmonary vein triggers, [...] Read more.
Background/Objectives: Atrial fibrillation (AF) is the most common sustained arrhythmia, with catheter ablation outcomes differing significantly between paroxysmal and persistent forms. While pulmo-nary vein isolation (PVI) remains the cornerstone of ablation, persistent AF is often associ-ated with atrial remodeling and non-pulmonary vein triggers, reducing procedural success rates and necessitating repeat interventions. However, in selected patients with minimal atrial substrate, a single PVI may achieve durable rhythm control. This case report illus-trates such a scenario in a young patient with persistent AF and tachyarrhythmia-induced cardiomyopathy (TIC). Methods: A 42-year-old previously healthy male presented with newly diagnosed persistent AF complicated by TIC and heart fail-ure (left ventricular ejection fraction [LVEF] 25%). Despite rate control, anticoagulation, guideline-directed heart failure therapy, amiodarone pretreatment, and two failed electrical cardioversions, the patient remained symptomatic. Elec-troanatomic mapping was performed to assess atrial substrate prior to radiofrequency ablation. Results: Mapping revealed no extensive low-voltage zones, indicating absence of significant atrial fibrosis. During ablation, si-nus rhythm was restored spontaneously with a single application targeting the infero-posterior aspect of the right infe-rior pulmonary vein. No additional arrhythmogenic substrate was identified. The patient maintained sinus rhythm throughout 14 months of follow-up, with marked clinical improvement, normalization of LVEF (55%), regression of atrial and ventricular enlargement, and resolution of heart failure symptoms. Quality of life, assessed by the ASTA question-naire, improved from 24 to 0 points. Conclusions: This case highlights that even in therapy-resistant persistent AF with severe structural and functional cardiac impairment, arrhythmia may be driven by discrete pulmonary vein-dependent mechanisms. Careful patient selection, particu-larly in younger individuals without advanced atrial remodeling, can identify those in whom PVI alone achieves durable rhythm control and reverse cardiac remodeling. Full article
(This article belongs to the Special Issue Clinical Aspects of Cardiac Arrhythmias and Arrhythmogenic Disorders)
Show Figures

Figure 1

26 pages, 1599 KB  
Review
Inflammaging and Senescence-Driven Extracellular Matrix Remodeling in Age-Associated Cardiovascular Disease
by Ewelina Młynarska, Adrianna Kowalik, Agnieszka Krajewska, Natalia Krupińska, Weronika Marcinkowska, Jakub Motor, Aleksandra Przybylak, Katarzyna Tłustochowicz, Jacek Rysz and Beata Franczyk
Biomolecules 2025, 15(10), 1452; https://doi.org/10.3390/biom15101452 - 14 Oct 2025
Viewed by 1385
Abstract
Cardiovascular aging is a multifactorial and systemic process that contributes significantly to the global burden of cardiovascular disease, particularly in older populations. This review explores the molecular and cellular mechanisms underlying cardiovascular remodeling in age-related conditions such as hypertension, atrial fibrillation, atherosclerosis, and [...] Read more.
Cardiovascular aging is a multifactorial and systemic process that contributes significantly to the global burden of cardiovascular disease, particularly in older populations. This review explores the molecular and cellular mechanisms underlying cardiovascular remodeling in age-related conditions such as hypertension, atrial fibrillation, atherosclerosis, and heart failure. Central to this process are chronic low-grade inflammation (inflammaging), oxidative stress, cellular senescence, and maladaptive extracellular matrix remodeling. These hallmarks of aging interact to impair endothelial function, promote fibrosis, and compromise cardiac and vascular integrity. Key molecular pathways—including the renin–angiotensin–aldosterone system, NF-κB, NLRP3 inflammasome, IL-6, and TGF-β signaling—contribute to the transdifferentiation of vascular cells, immune dysregulation, and progressive tissue stiffening. We also highlight the role of the senescence-associated secretory phenotype and mitochondrial dysfunction in perpetuating inflammatory and fibrotic cascades. Emerging molecular therapies offer promising strategies to reverse or halt maladaptive remodeling. These include senescence-targeting agents (senolytics), Nrf2 activators, RNA-based drugs, and ECM-modulating compounds such as MMP inhibitors. Additionally, statins and anti-inflammatory biologics (e.g., IL-1β inhibitors) exhibit pleiotropic effects that extend beyond traditional risk factor control. Understanding the molecular basis of remodeling is essential for guiding future research and improving outcomes in older adults at risk of CVD. Full article
(This article belongs to the Special Issue Molecular Mechanisms of Cardiovascular Remodeling)
Show Figures

Figure 1

16 pages, 1029 KB  
Review
Analysis of Hemodynamic Markers in Atrial Fibrillation Using Advanced Imaging Techniques
by Hadi Hassan, Shuvam Prasai, Omar Hassan, Fiza Rajput and Julio Garcia
Appl. Sci. 2025, 15(19), 10679; https://doi.org/10.3390/app151910679 - 2 Oct 2025
Viewed by 774
Abstract
Atrial fibrillation (AF) is a prevalent heart arrhythmia, characterized by an irregularly irregular rhythm and the absence of identifiable P waves on ECG. Given the loss of effective atrial contraction, AF carries a risk of serious complications. If untreated, AF can promote thrombogenesis, [...] Read more.
Atrial fibrillation (AF) is a prevalent heart arrhythmia, characterized by an irregularly irregular rhythm and the absence of identifiable P waves on ECG. Given the loss of effective atrial contraction, AF carries a risk of serious complications. If untreated, AF can promote thrombogenesis, leading to stroke, systemic embolism (e.g., limb or organ ischemia), and myocardial infarction. These serious complications highlight the importance of understanding AF and assessing stroke risk to guide optimal management of this chronic arrhythmia. Congruent with recent technological developments, advanced imaging has emerged as a modality to better understand AF. This review highlights advanced imaging techniques and their advantages, with a focus on 4D flow MRI, a novel modality that enables visualization of blood flow patterns in three dimensions and provides unique insights into cardiac hemodynamics. It also synthesizes the current literature on key hemodynamic markers identified by 4D flow MRI, including blood flow stasis, wall shear stress, and vorticity. Quantifying these markers has improved predictive accuracy of future stroke risk in AF patients, allowing clinicians to risk stratifying their patients and optimize management. Finally, the review discusses potential future markers that may further refine our understanding of AF and inform patient care. Full article
Show Figures

Figure 1

13 pages, 851 KB  
Article
Increased Left Ventricular Mass Index and Atrial Volume Index Are Associated with Atrial Fibrosis in Patients with Atrial Fibrillation
by Simona Manole, Roxana Pintican, Claudia Budurea, Sorin Pop, Stefania D. Iancu, Loredana Popa, Mihaela Coman, Calin Schiau, Vasile Coman, Serban Schiau and Zoltán Bálint
J. Clin. Med. 2025, 14(18), 6432; https://doi.org/10.3390/jcm14186432 - 12 Sep 2025
Viewed by 578
Abstract
Objectives: Our aim was to determine imaging-derived parameters from echocardiography associated with the presence of atrial fibrosis in a cohort of atrial fibrillation (AF) patients. Methods: Initially, 123 participants were included in this prospective cross-sectional observational study (clinicaltrials.gov: NCT03584126); after exclusion criteria, 112 [...] Read more.
Objectives: Our aim was to determine imaging-derived parameters from echocardiography associated with the presence of atrial fibrosis in a cohort of atrial fibrillation (AF) patients. Methods: Initially, 123 participants were included in this prospective cross-sectional observational study (clinicaltrials.gov: NCT03584126); after exclusion criteria, 112 full datasets were analyzed. All participants underwent clinical evaluation, echocardiography, and cardiac MRI. Overall, 29 patients with AF and left atrial (LA) fibrosis at MRI, 37 with AF and without LA fibrosis at MRI, and 46 healthy controls were included in the final database. Results: The cardiac structural parameters as assessed by MRI were not significantly different between AF patients with and without fibrosis, apart from LA volume. The area under the curve (AUC) reached a value of 0.69 when using body-surface-area-indexed LA volume (LAVi) determined by echocardiography as a factor associated with LA fibrosis in AF patients. Moreover, when detecting LA fibrosis using LAVi, an optimal cut-off value of 42.7 mL/m2 was obtained, resulting in 41.67% specificity and 88.46% sensitivity with a total accuracy of 65.06%. Testing BSA-indexed left ventricular mass (LVMi) as a factor associated with LA fibrosis, the optimal cut-off value was 140.2 g/m2, with 76.92% sensitivity, 58.33% specificity and 67.62% total accuracy for the discrimination between AF patients with and without LA fibrosis. A strong association between body-surface-area-indexed left atrial volume (LAVi) and the presence of atrial fibrillation was identified (54.5 mL/m2 vs. 29.8 mL/m2 in controls, p-value < 0.0001). Conclusion: LA volume indexed to BSA could be a promising tool for the identification of cardiac fibrosis in AF patients. Full article
(This article belongs to the Special Issue State of the Art: Catheter Ablation of Atrial Fibrillation)
Show Figures

Figure 1

12 pages, 844 KB  
Article
Multimodal Evaluation of Arrhythmogenic Substrate Predicts Atrial Fibrosis and Atrial Fibrillation Recurrence After Catheter Ablation
by Ioan-Alexandru Minciună, Raluca Tomoaia, Patricia Vajda, Nicoleta Cosmina Hart, Renata Paula Agoston, Tudor Cornea, Georgiana Alexandra Birsan, Andreea-Maria Linul, Gabriel Cismaru, Mihai Puiu, Radu Ovidiu Roșu, Gelu Simu and Dana Pop
J. Clin. Med. 2025, 14(18), 6414; https://doi.org/10.3390/jcm14186414 - 11 Sep 2025
Viewed by 540
Abstract
Background/Objectives: For many years, catheter ablation (CA) has been a cornerstone in atrial fibrillation (AF) rhythm control therapy; however, recurrence remains common. Multiple parameters have been proposed to quantify AF arrhythmogenic substrate, yet reliable predictors of long-term outcomes are lacking. To assess [...] Read more.
Background/Objectives: For many years, catheter ablation (CA) has been a cornerstone in atrial fibrillation (AF) rhythm control therapy; however, recurrence remains common. Multiple parameters have been proposed to quantify AF arrhythmogenic substrate, yet reliable predictors of long-term outcomes are lacking. To assess the value of non-invasive amplified P-wave duration (PWD), echocardiographic parameters, biomarkers, and electroanatomical mapping (EAM) were used in predicting left atrial (LA) fibrosis and arrhythmia recurrence after CA. Methods: We included 196 patients undergoing first CA for paroxysmal or persistent AF. Amplified 12-lead ECG PWD parameters [Pmax, Pmin and left atrial P-wave (LAP)], echocardiographic parameters, and biomarkers were assessed pre-procedure. We measured low-voltage areas (LVA, 0.2–0.5 mV) on high-density voltage EAM during sinus rhythm as a surrogate of fibrosis. Freedom from arrhythmia was evaluated at 6 and 12 months. Results: Patients with LVA on EAM had prolonged Pmax (148 vs. 135 ms, p < 0.0001), Pmin (111 vs. 101.5 ms, p = 0.0001), LAP (73.5 vs. 55.5 ms, p < 0.0001), larger LA diameter (p = 0.0002), area (p = 0.0365) and volume (p = 0.004), higher E/E’ (p = 0.0007) and E/A ratios (p = 0.037), more mitral regurgitation (p = 0.0315), and higher pro-BNP levels (p = 0.0094). Univariate analysis showed 12-month recurrence rates higher with greater Pmax, Pmin, LAP, LVA presence and extent; however, in multivariate analysis, only P-wave parameters remained independently associated with recurrence. Conclusions: Prolonged PWD parameters strongly reflect LA substrate (Pmax, Pmin) and independently predict post-ablation AF recurrence (Pmax, Pmin, and LAP). LA size, diastolic dysfunction, and mitral regurgitation were associated with LA fibrosis, while pro-BNP was associated with both fibrosis and arrhythmia recurrence. Integrating these simple, non-invasive markers into a multimodal assessment alongside EAM could improve pre-procedural risk stratification and guide individualized ablation strategies. Full article
Show Figures

Figure 1

15 pages, 944 KB  
Article
Association Between the Renin–Angiotensin System and Ibrutinib-Related Cardiovascular Adverse Events: A Translational Cohort Study
by Jonaz Font, Amir Hodzic, Angélique Da-Silva, Baptiste Delapierre, Ghandi Damaj, Anne Neusy, Anne-Flore Plane, Damien Legallois, Paul Milliez, Charles Dolladille, Mégane Vernon, Sarah Burton, Nicolas Vigneron, Christophe Denoyelle and Joachim Alexandre
Biomedicines 2025, 13(9), 2184; https://doi.org/10.3390/biomedicines13092184 - 6 Sep 2025
Viewed by 983
Abstract
Background: Ibrutinib has been associated with an increased risk of cardiovascular adverse events (CVAEs), including atrial fibrillation (AF), hypertension (HTN), heart failure (HF), and ventricular arrhythmias (VAs). However, baseline predictors of CVAEs remain poorly characterized. In this study, we sought to identify baseline [...] Read more.
Background: Ibrutinib has been associated with an increased risk of cardiovascular adverse events (CVAEs), including atrial fibrillation (AF), hypertension (HTN), heart failure (HF), and ventricular arrhythmias (VAs). However, baseline predictors of CVAEs remain poorly characterized. In this study, we sought to identify baseline patient characteristics associated with the occurrence of ibrutinib-related CVAEs, with particular emphasis on parameters linked to the renin–angiotensin system. Methods: We conducted a prospective, single-center cohort study of consecutive patients treated with ibrutinib for B-cell malignancy, with systematic assessment of a predefined panel of potential predictors of CVAEs at baseline (NCT03678337). These predictors included demographic and clinical variables, 16 circulating biomarkers related to inflammation, fibrosis, and neurohormonal activation, as well as nine echocardiographic parameters. The primary objective was to evaluate the association between baseline patient characteristics and the occurrence of CVAEs from ibrutinib initiation through the end of follow-up. The CVAE endpoint was defined as a composite of atrial fibrillation, new or worsening hypertension, new or worsening heart failure, and ventricular arrhythmias. Statistical analyses were performed using the Wilcoxon–Mann–Whitney test or Fisher’s exact test, with a p-value < 0.05 considered statistically significant. Results: Among the 25 patients included, 7 experienced a total of 9 CVAEs over a median follow-up of 672 days. Elevated baseline plasma renin levels (>1336.10 pg/mL) were significantly associated with CVAEs occurrence (57% vs. 11%, p = 0.032). Higher baseline plasma aldosterone levels (>488.95 pg/mL) were also observed in patients who developed CVAEs, although this association did not reach statistical significance (p = 0.058). Conclusions: Baseline plasma renin level was univariably associated with CVAEs occurrence, while plasma aldosterone levels were higher among patients with CVAEs but did not reach statistical significance. These findings provide preliminary insights into the mechanisms underlying ibrutinib-related cardiovascular toxicity, suggesting a potential role for the renin–angiotensin–aldosterone system. Confirmation of this hypothesis, however, will require larger, dedicated studies. Full article
(This article belongs to the Special Issue Renin-Angiotensin System in Cardiovascular Biology, 2nd Edition)
Show Figures

Figure 1

22 pages, 1565 KB  
Review
The Evolving Role of Cardiac Imaging in Hypertrophic Cardiomyopathy: Diagnosis, Prognosis, and Clinical Practice
by Ilaria Dentamaro, Marco Maria Dicorato, Alessio Falagario, Sebastiano Cicco, Sergio Dentamaro, Michele Correale, Vincenzo Manuppelli, Gaetano Citarelli, Francesco Mangini, Corrado Fiore, Paolo Colonna, Enrica Petruccelli, Laura Piscitelli, Guido Giovannetti, Michele Davide Latorre, Cinzia Forleo, Paolo Basile, Maria Cristina Carella, Vincenzo Ezio Santobuono, Marco Matteo Ciccone and Andrea Igoren Guaricciadd Show full author list remove Hide full author list
Biomedicines 2025, 13(9), 2138; https://doi.org/10.3390/biomedicines13092138 - 1 Sep 2025
Viewed by 2578
Abstract
Hypertrophic cardiomyopathy (HCM) is a cardiac disorder characterized by unexplained left ventricular hypertrophy and a clinical presentation that is heterogeneous, ranging from asymptomatic cases to sudden cardiac death (SCD). The condition’s complex pathophysiology encompasses myocyte disarray, fibrosis, and impaired cellular metabolism. Advancements in [...] Read more.
Hypertrophic cardiomyopathy (HCM) is a cardiac disorder characterized by unexplained left ventricular hypertrophy and a clinical presentation that is heterogeneous, ranging from asymptomatic cases to sudden cardiac death (SCD). The condition’s complex pathophysiology encompasses myocyte disarray, fibrosis, and impaired cellular metabolism. Advancements in non-invasive cardiac imaging, notably echocardiography and cardiac magnetic resonance (CMR), have led to substantial progress in the domains of early diagnosis, phenotypic characterization, and risk stratification. Echocardiography is the preferred diagnostic modality, as it provides a comprehensive evaluation of ventricular hypertrophy patterns, left ventricular outflow tract (LVOT) obstruction, mitral valve abnormalities, left atrial size, and diastolic function. Novel techniques, such as speckle-tracking strain imaging, have emerged as means to detect subclinical myocardial dysfunction and to provide significant prognostic information. Cine-CMR sequences, tissue characterization with late gadolinium enhancement, and quantitative techniques such as strain imaging have been shown to enhance diagnostic precision and prognostic evaluation. The integration of multimodality imaging has been demonstrated to enhance the management of patients with HCM, both in the short term and in the long term, by facilitating individualized monitoring. This review summarizes the role of cardiac imaging in the comprehensive evaluation of HCM, emphasizing the impact of these methods on diagnosis, risk assessment, and personalized patient care, particularly in challenging clinical settings, such as cases of athlete’s heart and pathological ventricular hypertrophy. Full article
Show Figures

Graphical abstract

24 pages, 842 KB  
Review
Adaptive Changes in Endurance Athletes: A Review of Molecular, Echocardiographic and Electrocardiographic Findings
by Michał Janik, Dominika Blachut, Łukasz Czogalik, Andrzej Robert Tomasik, Celina Wojciechowska and Tomasz Kukulski
Int. J. Mol. Sci. 2025, 26(17), 8329; https://doi.org/10.3390/ijms26178329 - 28 Aug 2025
Viewed by 2228
Abstract
Regular physical activity has a beneficial impact on the cardiovascular system. However, the intense and prolonged exertion typical of professional athletes and amateur marathon runners can lead to adaptive changes in the heart. These changes encompass both structural and functional modifications, which may [...] Read more.
Regular physical activity has a beneficial impact on the cardiovascular system. However, the intense and prolonged exertion typical of professional athletes and amateur marathon runners can lead to adaptive changes in the heart. These changes encompass both structural and functional modifications, which may have positive or negative effects on cardiac function and contribute to the development of so-called “athlete’s heart.” Prolonged exercise induces adaptations at the molecular and cellular levels, including altered gene expression and remodeling of myocardial proteins. It may also cause transient elevations in biomarkers such as N-terminal pro-brain natriuretic peptide (NT-proBNP) and high-sensitivity troponin. Some athletes experience cardiac arrhythmias, including atrial fibrillation. Morphological changes, such as myocardial hypertrophy or chamber dilation, can be assessed using echocardiography. Studies have reported potentially benign valvular abnormalities, as well as cases of myocardial fibrosis and arrhythmias. Early diagnosis of cardiac conditions in marathon runners is essential for effective prevention and health monitoring. This article reviews the current data on cardiac changes in endurance athletes, based on the literature from the past decade. Full article
(This article belongs to the Special Issue Signaling Pathways and Novel Therapies in Heart Disease)
Show Figures

Figure 1

14 pages, 1252 KB  
Article
Non-Invasive Prediction of Atrial Fibrosis Using a Regression Tree Model of Mean Left Atrial Voltage
by Javier Ibero, Ignacio García-Bolao, Gabriel Ballesteros, Pablo Ramos, Ramón Albarrán-Rincón, Leire Moriones, Jean Bragard and Inés Díaz-Dorronsoro
Biomedicines 2025, 13(8), 1917; https://doi.org/10.3390/biomedicines13081917 - 6 Aug 2025
Viewed by 595
Abstract
Background: Atrial fibrosis is a key contributor to atrial cardiomyopathy and can be assessed invasively using mean left atrial voltage (MLAV) from electroanatomical mapping. However, the invasive nature of this procedure limits its clinical applicability. Machine learning (ML), particularly regression tree-based models, [...] Read more.
Background: Atrial fibrosis is a key contributor to atrial cardiomyopathy and can be assessed invasively using mean left atrial voltage (MLAV) from electroanatomical mapping. However, the invasive nature of this procedure limits its clinical applicability. Machine learning (ML), particularly regression tree-based models, may offer a non-invasive approach for predicting MLAV using clinical and echocardiographic data, improving non-invasive atrial fibrosis characterisation beyond current dichotomous classifications. Methods: We prospectively included and followed 113 patients with paroxysmal or persistent atrial fibrillation (AF) undergoing pulmonary vein isolation (PVI) with ultra-high-density voltage mapping (uHDvM), from whom MLAV was estimated. Standardised two-dimensional transthoracic echocardiography was performed before ablation, and clinical and echocardiographic variables were analysed. A regression tree model was constructed using the Classification and Regression Trees—CART-algorithm to identify key predictors of MLAV. Results: The regression tree model exhibited moderate predictive accuracy (R2 = 0.63; 95% CI: 0.55–0.71; root mean squared error = 0.90; 95% CI: 0.82–0.98), with indexed minimum LA volume and passive emptying fraction emerging as the most influential variables. No significant differences in AF recurrence-free survival were found among MLAV tertiles or model-based generated groups (log-rank p = 0.319 and p = 0.126, respectively). Conclusions: We present a novel ML-based regression tree model for non-invasive prediction of MLAV, identifying minimum LA volume and passive emptying fraction as the most significant predictors. This model offers an accessible, non-invasive tool for refining atrial cardiomyopathy characterisation by reflecting the fibrotic substrate as a continuum, a crucial advancement over existing dichotomous approaches to guide tailored therapeutic strategies. Full article
Show Figures

Graphical abstract

34 pages, 1051 KB  
Review
Atrial Fibrillation in Diabetes: Pathogenesis and Targeted Rhythm Control Strategies
by Konstantinos Grigoriou, Paschalis Karakasis, Konstantinos Pamporis, Panagiotis Theofilis, Dimitrios Patoulias, Efstratios Karagiannidis, Barbara Fyntanidou, Antonios P. Antoniadis and Nikolaos Fragakis
Curr. Issues Mol. Biol. 2025, 47(7), 559; https://doi.org/10.3390/cimb47070559 - 17 Jul 2025
Cited by 1 | Viewed by 2033
Abstract
Diabetes mellitus and atrial fibrillation (AF) frequently coexist, creating a complex bidirectional relationship that exacerbates cardiovascular risk and challenges clinical management. Diabetes fosters a profibrotic, pro-inflammatory, and proarrhythmic atrial substrate through a constellation of pathophysiologic mechanisms, including metabolic remodeling, oxidative stress, mitochondrial dysfunction, [...] Read more.
Diabetes mellitus and atrial fibrillation (AF) frequently coexist, creating a complex bidirectional relationship that exacerbates cardiovascular risk and challenges clinical management. Diabetes fosters a profibrotic, pro-inflammatory, and proarrhythmic atrial substrate through a constellation of pathophysiologic mechanisms, including metabolic remodeling, oxidative stress, mitochondrial dysfunction, ion channel dysregulation, and autonomic imbalance, thereby promoting AF initiation and progression. Conventional rhythm control strategies remain less effective in diabetic individuals, underscoring the need for innovative, substrate-targeted interventions. In this context, sodium–glucose cotransporter 2 (SGLT2) inhibitors and glucagon-like peptide-1 (GLP-1) receptor agonists have emerged as promising agents with pleiotropic antiarrhythmic properties, modulating fibrosis, inflammation, and mitochondrial integrity. Moreover, advances in anti-inflammatory, antifibrotic, and ion channel-modulating therapeutics, coupled with novel mitochondrial-targeted strategies, are reshaping the therapeutic landscape. Multi-omics approaches are further refining our understanding of diabetes-associated AF, facilitating precision medicine and biomarker-guided interventions. This review delineates the molecular nexus linking diabetes and AF, critically appraises emerging rhythm control strategies, and outlines translational avenues poised to advance individualized management in this high-risk population. Full article
(This article belongs to the Special Issue Advances in Molecular Therapies and Disease Associations in Diabetes)
Show Figures

Figure 1

Back to TopTop