Multimodal Evaluation of Arrhythmogenic Substrate Predicts Atrial Fibrosis and Atrial Fibrillation Recurrence After Catheter Ablation
Abstract
1. Introduction
2. Methods
2.1. Patient Population
2.2. Acquisition of ECG Parameters
2.3. Electroanatomical Mapping and Quantification of Low-Voltage Areas
2.4. Catheter Ablation
2.5. Echocardiographic Parameters
2.6. Follow-Up
2.7. Statistical Analysis
3. Results
3.1. Patient Characteristics
3.2. Amplified PWD on 12-Leads Surface ECG Predicts Fibrosis on EAM
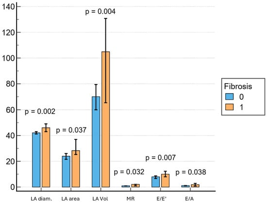
3.3. Echocardiographic Parameters Predict Fibrosis on EAM
3.4. Procedural and Ablation Parameters Predict Fibrosis on EAM
3.5. Biomarkers and LVA on EAM
3.6. PWD and LVA on EAM Predict Arrhythmia Recurrence After CA
4. Discussions
4.1. Clinical Implications
4.2. Study Limitations
5. Conclusions
Author Contributions
Funding
Institutional Review Board Statement
Informed Consent Statement
Data Availability Statement
Acknowledgments
Conflicts of Interest
References
- Van Gelder, I.C.; Rienstra, M.; Bunting, K.V.; Casado-Arroyo, R.; Caso, V.; Crijns, H.J.G.M.; De Potter, T.J.R.; Dwight, J.; Guasti, L.; Hanke, T.; et al. 2024 ESC Guidelines for the management of atrial fibrillation developed in collaboration with the European Association for Cardio-Thoracic Surgery (EACTS). Eur. Heart J. 2024, 45, 3314–3414. [Google Scholar] [CrossRef]
- Karanikola, A.E.; Tzortzi, M.; Kordalis, A.; Doundoulakis, I.; Antoniou, C.-K.; Laina, A.; Tsioufis, P.; Argyriou, N.; Sakalidis, A.; Pamporis, K.; et al. Clinical, Electrocardiographic and Echocardiographic Predictors of Atrial Fibrillation Recurrence After Pulmonary Vein Isolation. J. Clin. Med. 2025, 14, 809. [Google Scholar] [CrossRef]
- Benali, K.; Macle, L.; Haïssaguerre, M.; Kneizeh, K.; Vlachos, K.; Yokoyama, M.; Monaco, C.; Sava, R.; Da Costa, A.; Andrade, J.G. Catheter ablation of paroxysmal atrial fibrillation and disease progression: Magnitude of the antiprogression effect and role of intervention timing. Heart Rhythm 2025, 22, e23–e29. [Google Scholar] [CrossRef]
- Issa, Z.F.; Miller, J.M.; Zipes, D.P. Clinical Arrhythmology and Electrophysiology: A Companion to Braunwald’s Heart Disease; Elsevier: Amsterdam, The Netherlands, 2021. [Google Scholar]
- Proietti, R.; Hadjis, A.; Alturki, A.; Thanassoulis, G.; Roux, J.-F.; Verma, A.; Healey, J.S.; Bernier, M.L.; Birnie, D.; Nattel, S.; et al. A systematic review on the progression of paroxysmal to persistent atrial fibrillation: Shedding new light on the effects of catheter ablation. JACC Clin. Electrophysiol. 2015, 1, 105–115. [Google Scholar] [CrossRef]
- Wijffels, M.C.E.F.; Kirchhof, C.J.H.J.; Dorland, R.; Allessie, M.A. Atrial fibrillation begets atrial fibrillation: A study in awake chronically instrumented goats. Circulation 1995, 92, 1954–1968. [Google Scholar] [CrossRef] [PubMed]
- Kornej, J.; Büttner, P.; Sommer, P.; Dagres, N.; Dinov, B.; Schumacher, K.; Bollmann, A.; Hindricks, G. Prediction of electro-anatomical substrate using APPLE score and biomarkers. Europace 2019, 21, 54–59. [Google Scholar] [CrossRef] [PubMed]
- Kosiuk, J.; Dinov, B.; Kornej, J.; Acou, W.-J.; Schönbauer, R.; Fiedler, L.; Buchta, P.; Myrda, K.; Gąsior, M.; Poloński, L.; et al. Prospective, multicenter validation of a clinical risk score for left atrial arrhythmogenic substrate based on voltage analysis: DR-FLASH score. Heart Rhythm 2015, 12, 2207–2212. [Google Scholar] [CrossRef]
- Sumiyoshi, H.; Tasaka, H.; Yoshida, K.; Sakata, A.; Mizukami, A.; Hayashi, H.; Minamino, T.; Kadota, K. Low-voltage areas, atrial cardiomyopathy score, and outcomes in patients with preserved ejection fraction after catheter ablation of atrial fibrillation. Heart Rhythm O2 2025, 6, 940–948. [Google Scholar] [CrossRef]
- Jadidi, A.; Müller-Edenborn, B.; Chen, J.; Keyl, C.; Weber, R.; Allgeier, J.; Moreno-Weidmann, Z.; Trenk, D.; Neumann, F.-J.; Lehrmann, H.; et al. The Duration of the Amplified Sinus-P-Wave Identifies Presence of Left Atrial Low Voltage Substrate and Predicts Outcome After Pulmonary Vein Isolation in Patients With Persistent Atrial Fibrillation. JACC Clin. Electrophysiol. 2018, 4, 531–543. [Google Scholar] [CrossRef]
- Chen, Q.; Mohanty, S.; Trivedi, C.; Gianni, C.; Della Rocca, D.G.; Canpolat, U.; Burkhardt, J.D.; Sanchez, J.E.; Hranitzky, P.; Gallinghouse, G.J.; et al. Association between prolonged P wave duration and left atrial scarring in patients with paroxysmal atrial fibrillation. J. Cardiovasc. Electrophysiol. 2019, 30, 1811–1818. [Google Scholar] [CrossRef] [PubMed]
- Schreiber, T.; Kähler, N.; Tscholl, V.; Nagel, P.; Blaschke, F.; Landmesser, U.; Attanasio, P.; Huemer, M. Correlation of P-wave properties with the size of left atrial low voltage areas in patients with atrial fibrillation. J. Electrocardiol. 2019, 56, 38–42. [Google Scholar] [CrossRef]
- Mitran, R.E.; Popa-Fotea, N.M.; Iorgulescu, C.; Nastasa, A.; Pupaza, A.; Gondos, V.; Petre, I.-G.; Paja, S.-C.; Vatasescu, R.-G. Left Atrial Low-Voltage Areas Predict the Risk of Atrial Fibrillation Recurrence after Radiofrequency Ablation. Biomedicines 2023, 11, 3261. [Google Scholar] [CrossRef] [PubMed]
- Caldwell, J.; Koppikar, S.; Barake, W.; Redfearn, D.; Michael, K.; Simpson, C.; Hopman, W.; Baranchuk, A. Prolonged P-wave duration is associated with atrial fibrillation recurrence after successful pulmonary vein isolation for paroxysmal atrial fibrillation. J. Interv. Card. Electrophysiol. 2014, 39, 131–138. [Google Scholar] [CrossRef]
- Chen, L.Y.; Ribeiro, A.L.P.; Platonov, P.G.; Cygankiewicz, I.; Soliman, E.Z.; Gorenek, B.; Ikeda, T.; Vassilikos, V.P.; Steinberg, J.S.; Varma, N.; et al. P Wave Parameters and Indices: A Critical Appraisal of Clinical Utility, Challenges, and Future Research—A Consensus Document Endorsed by the International Society of Electrocardiology and the International Society for Holter and Noninvasive Electrocardiology. Circ. Arrhythm. Electrophysiol. 2022, 15, E010435. [Google Scholar] [CrossRef]
- Intzes, S.; Zagoridis, K.; Symeonidou, M.; Spanoudakis, E.; Arya, A.; Dinov, B.; Dagres, N.; Hindricks, G.; Bollmann, A.; Kanoupakis, E.; et al. P-wave duration and atrial fibrillation recurrence after catheter ablation: A systematic review and meta-analysis. Europace 2023, 25, 450–459. [Google Scholar] [CrossRef]
- Wang, J.Y.; Liu, N.N.; Liang, M.; Wang, Z.L.; Zhou, W.W.; Su, Y.X. Study of left heart parameters related to recurrence in patients with atrial fibrillation after radiofrequency ablation by ultrasonography. Medicine 2025, 104, e42349. [Google Scholar] [CrossRef]
- Khan, H.R.; Yakupoglu, H.Y.; Kralj-Hans, I.; Haldar, S.; Bahrami, T.; Clague, J.; De Souza, A.; Hussain, W.; Jarman, J.; Jones, D.G.; et al. Left Atrial Function Predicts Atrial Arrhythmia Recurrence Following Ablation of Long-Standing Persistent Atrial Fibrillation. Circ. Cardiovasc. Imaging 2023, 16, E015352. [Google Scholar] [CrossRef]
- Hindricks, G.; Potpara, T.; Dagres, N.; Arbelo, E.; Bax, J.J.; Blomström-Lundqvist, C.; Boriani, G.; Castella, M.; Dan, G.A.; Dilaveris, P.E.; et al. 2020 ESC Guidelines for the diagnosis and management of atrial fibrillation developed in collaboration with the European Association for Cardio-Thoracic Surgery (EACTS). Eur. Heart J. 2021, 42, 373–498. [Google Scholar] [CrossRef] [PubMed]
- Ciuffo, L.; Bruña, V.; Martínez-Sellés, M.; de Vasconcellos, H.D.; Tao, S.; Zghaib, T.; Nazarian, S.; Spragg, D.D.; Marine, J.; Berger, R.D.; et al. Association between interatrial block, left atrial fibrosis, and mechanical dyssynchrony: Electrocardiography-magnetic resonance imaging correlation. J. Cardiovasc. Electrophysiol. 2020, 31, 1719–1725. [Google Scholar] [CrossRef]
- Marrouche, N.F.; Wilber, D.; Hindricks, G.; Jais, P.; Akoum, N.; Marchlinski, F.; Kholmovski, E.; Burgon, N.; Hu, N.; Mont, L.; et al. Association of atrial tissue fibrosis identified by delayed enhancement MRI and atrial fibrillation catheter ablation: The DECAAF study. JAMA 2014, 311, 498–506. [Google Scholar] [CrossRef] [PubMed]
- Akoum, N.; Wilber, D.; Hindricks, G.; Jais, P.; Cates, J.; Marchlinski, F.; Kholmovski, E.; Burgon, N.; Hu, N.; Mont, L.; et al. MRI assessment of ablation-induced scarring in atrial fibrillation: Analysis from the DECAAF study. J. Cardiovasc. Electrophysiol. 2015, 26, 473–480. [Google Scholar] [CrossRef]
- Huo, Y.; Mitrofanova, L.; Orshanskaya, V.; Holmberg, P.; Holmqvist, F.; Platonov, P.G. P-wave characteristics and histological atrial abnormality. J. Electrocardiol. 2014, 47, 275–280. [Google Scholar] [CrossRef]
- Zhao, D.; Dong, Y.; Chen, Q.; Ge, G.; Yadav, N.; Yang, D.; Zhang, F. The impact of left atrial voltage abnormality on ablation outcomes in paroxysmal atrial fibrillation and its pre-procedural predictors: An observational retrospective study. Egypt. Heart J. 2025, 77, 77. [Google Scholar] [CrossRef] [PubMed]
- Nery, P.B.; Al Dawood, W.; Nair, G.M.; Redpath, C.J.; Sadek, M.M.; Chen, L.; Green, M.S.; Wells, G.; Birnie, D.H. Characterization of Low-Voltage Areas in Patients With Atrial Fibrillation: Insights From High-Density Intracardiac Mapping. Can. J. Cardiol. 2018, 34, 1033–1040. [Google Scholar] [CrossRef]
- Georgi, C.; Bannehr, M.; Lochmann, M.; Reiners, D.; Haase-Fielitz, A.; Butter, C.; Seifert, M. Left atrial low-voltage areas, but not volume, predict the recurrence of atrial fibrillation in repeat ablation procedures. J. Cardiovasc. Electrophysiol. 2024, 35, 1156–1164. [Google Scholar] [CrossRef] [PubMed]
- Masuda, M.; Fujita, M.; Iida, O.; Okamoto, S.; Ishihara, T.; Nanto, K.; Kanda, T.; Sunaga, A.; Tsujimura, T.; Matsuda, Y.; et al. An E/e′ ratio on echocardiography predicts the existence of left atrial low-voltage areas and poor outcomes after catheter ablation for atrial fibrillation. Europace 2018, 20, e60–e68. [Google Scholar] [CrossRef]
- Kirchhof, P.; Camm, A.J.; Goette, A.; Brandes, A.; Eckardt, L.; Elvan, A.; Fetsch, T.; van Gelder, I.C.; Haase, D.; Haegeli, L.M.; et al. Early Rhythm-Control Therapy in Patients with Atrial Fibrillation. N. Engl. J. Med. 2020, 383, 1305–1316. [Google Scholar] [CrossRef] [PubMed]
- Andrade, J.G.; Champagne, J.; Dubuc, M.; Deyell, M.W.; Verma, A.; Macle, L.; Leong-Sit, P.; Novak, P.; Badra-Verdu, M.; Sapp, J.; et al. Cryoballoon or Radiofrequency Ablation for Atrial Fibrillation Assessed by Continuous Monitoring: A Randomized Clinical Trial. Circulation 2019, 140, 1779–1788. [Google Scholar] [CrossRef]
- Tzeis, S.; Gerstenfeld, E.P.; Kalman, J.; Saad, E.B.; Shamloo, A.S.; Andrade, J.G.; Barbhaiya, C.R.; Baykaner, T.; Boveda, S.; Calkins, H.; et al. 2024 European Heart Rhythm Association/Heart Rhythm Society/Asia Pacific Heart Rhythm Society/Latin American Heart Rhythm Society expert consensus statement on catheter and surgical ablation of atrial fibrillation. J. Arrhythm. 2024, 40, 1217–1354. [Google Scholar] [CrossRef]



| Age (years) | 61.28 ± 9.23 |
| Male (n) | 123 (62.8) |
| Paroxysmal AF (n) | 127 (64.8) |
| AF duration (>1 year) (n) | 179 (91.3) |
| LVEF < 50% (n) | 22 (11.2) |
| LA diameter (mm) | 42 (39–47) |
| LA volume (mL) | 73 (51.5–100) |
| Atrial flutter (n) | 76 (38.8) |
| Coronary artery disease (n) | 29 (14.8) |
| Hypertension (n) | 150 (76.5) |
| Mitral regurgitation (n) | 145 (74) |
| Cerebral ischemic event (TIA/stroke) (n) | 19 (9.7) |
| Diabetes mellitus (n) | 30 (15.3) |
| COPD (n) | 19 (9.7) |
| OSA (n) | 19 (9.7) |
| LA fibrosis (n) | 38 (19.4%) |
| Variable | Odds Ratio | 95% CI | p |
|---|---|---|---|
| Age | 1.049 | 1.004 to 1.095 | 0.031 |
| AF type | 2.472 | 1.202 to 5.080 | 0.014 |
| Pmax | 1.049 | 1.027 to 1.072 | <0.001 |
| Pmin | 1.034 | 1.014 to 1.054 | 0.001 |
| Pd | 1.034 | 1.002 to 1.068 | 0.034 |
| LAP | 1.052 | 1.028 to 1.076 | <0.001 |
| AF duration | 1.705 | 0.905 to 3.215 | 0.099 |
| E/E’ ratio | 1.194 | 1.019 to 1.398 | 0.030 |
| A | 0.070 | 0.009 to 0.530 | 0.010 |
| LA volume | 1.0221 | 1.007 to 1.037 | 0.003 |
| Pro-BNP | 3.212 | 1.333 to 7.738 | 0.009 |
| D-dimer | 0.994 | 0.982 to 1.006 | 0.3513 |
| First-pass PV isolation | 1.158 | 0.562 to 2.387 | 0.690 |
| Variable | Odds Ratio | 95% CI | p |
|---|---|---|---|
| Pmax | 1.041 | 1.007 to 1.077 | 0.017 |
| Pmin | 1.039 | 1.007 to 1.072 | 0.016 |
| Pd | 1.030 | 0.997 to 1.064 | 0.071 |
| LAP | 0.997 | 0.942 to 1.055 | 0.916 |
| Variable | Odds Ratio | 95% CI | p |
|---|---|---|---|
| AF type | 1.103 | 0.611 to 1.991 | 0.745 |
| Pmax | 1.039 | 1.021 to 1.058 | <0.001 |
| P min | 1.036 | 1.019 to 1.054 | <0.001 |
| Pd | 1.006 | 0.980 to 1.032 | 0.664 |
| LAP | 1.046 | 1.025 to 1.067 | <0.001 |
| LVA on EAM | 4.232 | 1.955 to 9.159 | 0.001 |
| LVA extent | 1.125 | 1.021 to 1.239 | 0.017 |
| LVA localization | 3.879 | 1.144 to 13.159 | 0.030 |
| First-pass PV isolation | 0.775 | 0.437 to 1.372 | 0.381 |
| Pro-BNP | 3.722 | 1.961 to 7.064 | 0.001 |
| Variable | Odds Ratio | 95% CI | p |
|---|---|---|---|
| Pmax | 1.040 | 1.010 to 1.070 | 0.007 |
| P min | 1.046 | 1.017 to 1.077 | 0.002 |
| Pd | 0.973 | 0.932 to 1.017 | 0.223 |
| LAP | 1.059 | 1.025 to 1.095 | 0.001 |
Disclaimer/Publisher’s Note: The statements, opinions and data contained in all publications are solely those of the individual author(s) and contributor(s) and not of MDPI and/or the editor(s). MDPI and/or the editor(s) disclaim responsibility for any injury to people or property resulting from any ideas, methods, instructions or products referred to in the content. |
© 2025 by the authors. Licensee MDPI, Basel, Switzerland. This article is an open access article distributed under the terms and conditions of the Creative Commons Attribution (CC BY) license (https://creativecommons.org/licenses/by/4.0/).
Share and Cite
Minciună, I.-A.; Tomoaia, R.; Vajda, P.; Hart, N.C.; Agoston, R.P.; Cornea, T.; Birsan, G.A.; Linul, A.-M.; Cismaru, G.; Puiu, M.; et al. Multimodal Evaluation of Arrhythmogenic Substrate Predicts Atrial Fibrosis and Atrial Fibrillation Recurrence After Catheter Ablation. J. Clin. Med. 2025, 14, 6414. https://doi.org/10.3390/jcm14186414
Minciună I-A, Tomoaia R, Vajda P, Hart NC, Agoston RP, Cornea T, Birsan GA, Linul A-M, Cismaru G, Puiu M, et al. Multimodal Evaluation of Arrhythmogenic Substrate Predicts Atrial Fibrosis and Atrial Fibrillation Recurrence After Catheter Ablation. Journal of Clinical Medicine. 2025; 14(18):6414. https://doi.org/10.3390/jcm14186414
Chicago/Turabian StyleMinciună, Ioan-Alexandru, Raluca Tomoaia, Patricia Vajda, Nicoleta Cosmina Hart, Renata Paula Agoston, Tudor Cornea, Georgiana Alexandra Birsan, Andreea-Maria Linul, Gabriel Cismaru, Mihai Puiu, and et al. 2025. "Multimodal Evaluation of Arrhythmogenic Substrate Predicts Atrial Fibrosis and Atrial Fibrillation Recurrence After Catheter Ablation" Journal of Clinical Medicine 14, no. 18: 6414. https://doi.org/10.3390/jcm14186414
APA StyleMinciună, I.-A., Tomoaia, R., Vajda, P., Hart, N. C., Agoston, R. P., Cornea, T., Birsan, G. A., Linul, A.-M., Cismaru, G., Puiu, M., Roșu, R. O., Simu, G., & Pop, D. (2025). Multimodal Evaluation of Arrhythmogenic Substrate Predicts Atrial Fibrosis and Atrial Fibrillation Recurrence After Catheter Ablation. Journal of Clinical Medicine, 14(18), 6414. https://doi.org/10.3390/jcm14186414

