Sign in to use this feature.

Years

Between: -

Subjects

remove_circle_outline
remove_circle_outline
remove_circle_outline
remove_circle_outline
remove_circle_outline
remove_circle_outline
remove_circle_outline
remove_circle_outline
remove_circle_outline

Journals

remove_circle_outline
remove_circle_outline
remove_circle_outline
remove_circle_outline
remove_circle_outline
remove_circle_outline
remove_circle_outline
remove_circle_outline
remove_circle_outline

Article Types

Countries / Regions

remove_circle_outline
remove_circle_outline
remove_circle_outline
remove_circle_outline
remove_circle_outline

Search Results (1,338)

Search Parameters:
Keywords = atmospheric model validation

Order results
Result details
Results per page
Select all
Export citation of selected articles as:
18 pages, 4864 KB  
Technical Note
A Pilot Study on Meteorological Support for the Low-Altitude Economy—Consistency of Meteorological Measurements on UAS with Numerical Simulation Results
by Ming Chun Lam, Wai Hung Leung, Ka Wai Lo, Kai Kwong Lai, Pak Wai Chan, Jun Yi He and Qiu Sheng Li
Atmosphere 2026, 17(1), 107; https://doi.org/10.3390/atmos17010107 - 20 Jan 2026
Viewed by 184
Abstract
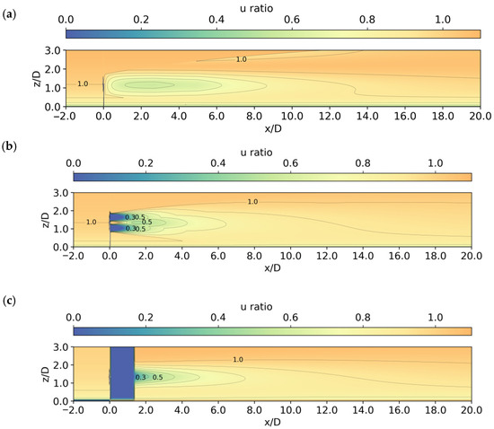
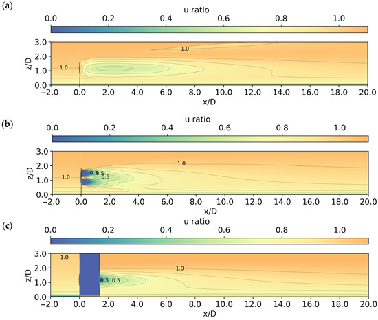
Meteorological measurements from Unmanned Aircraft Systems (UASs) increase the volume of observations available for validating and improving high-spatiotemporal-resolution models. Accurate model forecasts for UAS operations are essential to the successful development of the low-altitude economy (LAE). In this study, two UAS test flights [...] Read more.
Meteorological measurements from Unmanned Aircraft Systems (UASs) increase the volume of observations available for validating and improving high-spatiotemporal-resolution models. Accurate model forecasts for UAS operations are essential to the successful development of the low-altitude economy (LAE). In this study, two UAS test flights were analyzed to assess the consistency between UAS measurements and Regional Atmospheric Modeling System model outputs, thereby evaluating model forecast skill. UAS measurements were compared with ground-based anemometer and radiosonde observations to meet the World Meteorological Organization observational requirements at both the Threshold and Goal levels. Model-forecast turbulence exhibited strong agreement with atmospheric turbulence derived from high-frequency UAS wind data. The numerical weather prediction model at high spatial and temporal resolution is found to have sufficiently accurate forecasts to support UAS operation. A computational fluid dynamics model was also tested for high-resolution wind and turbulence forecasting; however, it did not yield improvements over the meteorological model. This work represents the first study of its kind for LAE applications in Hong Kong, and further statistical analyses are planned. Full article
(This article belongs to the Special Issue Meteorological Issues for Low-Altitude Economy)
Show Figures

Figure 1

22 pages, 2506 KB  
Article
Physics-Informed Fine-Tuned Neural Operator for Flow Field Modeling
by Haodong Feng, Yuzhong Zhang and Dixia Fan
J. Mar. Sci. Eng. 2026, 14(2), 201; https://doi.org/10.3390/jmse14020201 - 19 Jan 2026
Viewed by 194
Abstract
Modeling flow field evolution accurately is important for numerous natural and engineering applications, such as pollutant dispersion in the ocean and atmosphere, yet remains challenging because of the highly nonlinear, multi-physics, and high-dimensional features of flow systems. While traditional equation-based numerical methods suffer [...] Read more.
Modeling flow field evolution accurately is important for numerous natural and engineering applications, such as pollutant dispersion in the ocean and atmosphere, yet remains challenging because of the highly nonlinear, multi-physics, and high-dimensional features of flow systems. While traditional equation-based numerical methods suffer from high computational costs, data-driven neural networks struggle with insufficient data and lack physical explainability. The physics-informed neural operator (PINO) addresses this by combining physics and data losses but faces a fundamental gradient imbalance problem. This work proposes a physics-informed fine-tuned neural operator for high-dimensional flow field modeling that decouples the optimization of physics and data losses. Our method first trains the neural network using data loss and then fine-tunes it with physics loss before inference, enabling the model to adapt to evaluation data while respecting physical constraints. This strategy requires no additional training data and can be applied to fit out-of-distribution (OOD) inputs faced during inference. We validate our method using the shallow water equation and advection–diffusion equation using a convolutional neural operator (CNO) as the base architecture. Experimental results show a 26.4% improvement in single-step prediction accuracy and a reduction in error accumulation for multi-step predictions. Full article
(This article belongs to the Special Issue Artificial Intelligence and Its Application in Ocean Engineering)
Show Figures

Figure 1

34 pages, 7175 KB  
Article
Hybrid Unsupervised–Supervised Learning Framework for Rainfall Prediction Using Satellite Signal Strength Attenuation
by Popphon Laon, Tanawit Sahavisit, Supavee Pourbunthidkul, Sarut Puangragsa, Pattharin Wichittrakarn, Pattarapong Phasukkit and Nongluck Houngkamhang
Sensors 2026, 26(2), 648; https://doi.org/10.3390/s26020648 - 18 Jan 2026
Viewed by 224
Abstract
Satellite communication systems experience significant signal degradation during rain events, a phenomenon that can be leveraged for meteorological applications. This study introduces a novel hybrid machine learning framework combining unsupervised clustering with cluster-specific supervised deep learning models to transform satellite signal attenuation into [...] Read more.
Satellite communication systems experience significant signal degradation during rain events, a phenomenon that can be leveraged for meteorological applications. This study introduces a novel hybrid machine learning framework combining unsupervised clustering with cluster-specific supervised deep learning models to transform satellite signal attenuation into a predictive tool for rainfall prediction. Unlike conventional single-model approaches treating all atmospheric conditions uniformly, our methodology employs K-Means Clustering with the Elbow Method to identify four distinct atmospheric regimes based on Signal-to-Noise Ratio (SNR) patterns from a 12-m Ku-band satellite ground station at King Mongkut’s Institute of Technology Ladkrabang (KMITL), Bangkok, Thailand, combined with absolute pressure and hourly rainfall measurements. The dataset comprises 98,483 observations collected with 30-s temporal resolutions, providing comprehensive coverage of diverse tropical atmospheric conditions. The experimental platform integrates three subsystems: a receiver chain featuring a Low-Noise Block (LNB) converter and Software-Defined Radio (SDR) platform for real-time data acquisition; a control system with two-axis motorized pointing incorporating dual-encoder feedback; and a preprocessing workflow implementing data cleaning, K-Means Clustering (k = 4), Synthetic Minority Over-Sampling Technique (SMOTE) for balanced representation, and standardization. Specialized Long Short-Term Memory (LSTM) networks trained for each identified cluster enable capture of regime-specific temporal dynamics. Experimental validation demonstrates substantial performance improvements, with cluster-specific LSTM models achieving R2 values exceeding 0.92 across all atmospheric regimes. Comparative analysis confirms LSTM superiority over RNN and GRU. Classification performance evaluation reveals exceptional detection capabilities with Probability of Detection ranging from 0.75 to 0.99 and False Alarm Ratios below 0.23. This work presents a scalable approach to weather radar systems for tropical regions with limited ground-based infrastructure, particularly during rapid meteorological transitions characteristic of tropical climates. Full article
Show Figures

Figure 1

21 pages, 1056 KB  
Article
The Role of Individual Cognition in the Formation of Unsafe Behaviors: A Case Study of Construction Workers
by Guanghua Li, Zhijie Xiao, Youqing Chen, Igor Martek and Yuhao Zeng
Buildings 2026, 16(2), 395; https://doi.org/10.3390/buildings16020395 - 17 Jan 2026
Viewed by 167
Abstract
As a pillar industry of the national economy for many countries, the construction sector has long faced challenges in workplace safety. Unsafe behaviors among construction workers are the core cause of safety incidents, and controlling these behaviors is key to enhancing safety management. [...] Read more.
As a pillar industry of the national economy for many countries, the construction sector has long faced challenges in workplace safety. Unsafe behaviors among construction workers are the core cause of safety incidents, and controlling these behaviors is key to enhancing safety management. Numerous studies confirm that unsafe behaviors are closely linked to cognitive biases and decision-making errors. However, existing research still has theoretical gaps in analyzing the multi-factor interaction mechanisms from a cognitive perspective. This study constructs a three-stage theoretical model to reveal the formation mechanism of unsafe behaviors, which is validated by structural equation modeling based on the data collected by a questionnaire from ongoing construction projects in Jiangxi Province, China. It is found that (1) Organizational environment (safety atmosphere, safety culture, and safety management) exerts a negative influence on unsafe behavior; (2) While safety atmosphere has no direct impact on safety motivation, the overall organizational environment positively affects individual cognition; (3) Individual cognitive factors exert a negative influence on unsafe behavior, with the following hierarchical order: safety motivation > safety competence > safety values. (4) While safety motivation does not mediate the relationship between safety atmosphere and unsafe behavior, individual cognitive factors overall mediate the relationship between organizational environment and unsafe behavior. This study theoretically enriches the knowledge system of safety behavior and provides a theoretical foundation for optimizing enterprise unsafe behavior management and formulating differentiated management policies. Full article
Show Figures

Figure 1

18 pages, 3693 KB  
Article
Modeling and Performance Assessment of a NeWater System Based on Direct Evaporation and Refrigeration Cycle
by Yilin Huo, Eric Hu and Jay Wang
Energies 2026, 19(2), 468; https://doi.org/10.3390/en19020468 - 17 Jan 2026
Viewed by 192
Abstract
At present, the global shortage of water resources has led to serious challenges, and traditional water production technologies such as seawater desalination and atmospheric water harvesting have certain limitations due to inflexible operation and environmental conditions. This study proposes a novel water production [...] Read more.
At present, the global shortage of water resources has led to serious challenges, and traditional water production technologies such as seawater desalination and atmospheric water harvesting have certain limitations due to inflexible operation and environmental conditions. This study proposes a novel water production system (called “NeWater” system in this paper), which combines saline water desalination with atmospheric water-harvesting technologies to simultaneously produce freshwater from brackish water or seawater and ambient air. To evaluate its performance, an integrated thermodynamic and mathematical model of the system was developed and validated. The NeWater system consists of a vapor compression refrigeration unit (VRU), a direct evaporation unit (DEU), up to four heat exchangers, some valves, and auxiliary components. The system can be applied to areas and scenarios where traditional desalination technologies, like reverse osmosis and thermal-based desalination, are not feasible. By switching between different operating modes, the system can adapt to varying environmental humidity and temperature conditions to maximize its freshwater productivity. Based on the principles of mass and energy conservation, a performance simulation model of the NeWater system was developed, with which the impacts of some key design and operation parameters on system performance were studied in this paper. The results show that the performances of the VRU and DEU had a significant influence on system performance in terms of freshwater production and specific energy consumption. Under optimal conditions, the total freshwater yield could be increased by up to 1.9 times, while the specific energy consumption was reduced by up to 48%. The proposed system provides a sustainable and scalable water production solution for water-scarce regions. Optimization of the NeWater system and the selection of VRUs are beyond the scope of this paper and will be the focus of future research. Full article
Show Figures

Figure 1

29 pages, 5611 KB  
Article
A Three-Dimensional Analytical Model for Wind Turbine Wakes from near to Far Field: Incorporating Atmospheric Stability Effects
by Xiangyan Chen, Hao Zhang, Ziliang Zhang, Zhiyong Shao, Rui Ying and Xiangyin Liu
Energies 2026, 19(2), 467; https://doi.org/10.3390/en19020467 - 17 Jan 2026
Viewed by 154
Abstract
In response to the critical demand for improved characterization of atmospheric stability effects in wind turbine wake prediction, this study proposes and systematically validates a new analytical wake model that incorporates atmospheric stability effects. In recent years, research on wake models with atmospheric [...] Read more.
In response to the critical demand for improved characterization of atmospheric stability effects in wind turbine wake prediction, this study proposes and systematically validates a new analytical wake model that incorporates atmospheric stability effects. In recent years, research on wake models with atmospheric stability effects has primarily followed two approaches: incorporating stability through high-fidelity numerical simulations or modifying classical analytical wake models. While the former offers clear mechanical insights, it incurs high computational costs, whereas the latter improves efficiency yet often suffers from near-wake prediction biases under stable stratification, lacks a unified framework covering the entire wake region, and relies heavily on case-specific calibration of key parameters. To overcome these limitations, this study introduces a stability-dependent turbulence expansion term with a square of a cosine function and the stability sign parameter, enabling the model to dynamically respond to varying atmospheric conditions and overcome the reliance of traditional models on neutral atmospheric assumptions. It achieves physically consistent descriptions of turbulence suppression under stable conditions and convective enhancement under unstable conditions. A newly developed far-field decay function effectively coordinates near-wake and far-wake evolution, maintaining computational efficiency while significantly improving prediction accuracy under complex stability conditions. The Present model has been validated against field measurements from the Scaled Wind Farm Technology (SWiFT) facility and the Alsvik wind farm, demonstrating superior performance in predicting wake velocity distributions on both vertical and horizontal planes. It also exhibits strong adaptability under neutral, stable, and unstable atmospheric conditions. This proposed framework provides a reliable tool for wind turbine layout optimization and power output forecasting under realistic atmospheric stability conditions. Full article
(This article belongs to the Section A3: Wind, Wave and Tidal Energy)
Show Figures

Figure 1

26 pages, 7951 KB  
Article
VIIRS Nightfire Super-Resolution Method for Multiyear Cataloging of Natural Gas Flaring Sites: 2012-2025
by Mikhail Zhizhin, Christopher D. Elvidge, Tilottama Ghosh, Gregory Gleason and Morgan Bazilian
Remote Sens. 2026, 18(2), 314; https://doi.org/10.3390/rs18020314 - 16 Jan 2026
Viewed by 152
Abstract
We present a new method for mapping global gas flaring using a multiyear spatio-temporal database of VIIRS Nightfire (VNF) nighttime infrared detections from the Suomi NPP, NOAA-20, and NOAA-21 satellites. The method is designed to resolve closely spaced industrial combustion sources and to [...] Read more.
We present a new method for mapping global gas flaring using a multiyear spatio-temporal database of VIIRS Nightfire (VNF) nighttime infrared detections from the Suomi NPP, NOAA-20, and NOAA-21 satellites. The method is designed to resolve closely spaced industrial combustion sources and to produce a stable, physically meaningful flare catalog suitable for long-term monitoring and emissions analysis. The method combines adaptive spatial aggregation of high-temperature detections with a hierarchical clustering that super-resolves individual flare stacks within oil and gas fields. Post-processing yields physically consistent flare footprints and attraction regions, allowing separation of closely spaced sources. Flare clusters are assigned to operational categories (e.g., upstream, midstream, LNG) using prior catalogs combined with AI-assisted expert interpretation. In this step, a multimodal large language model (LLM) provides contextual classification suggestions based on geospatial information, high-resolution daytime imagery, and detection time-series summaries, while final attribution is performed and validated by domain experts. Compared with annual flare catalogs commonly used for national flaring estimates, the new catalog demonstrates substantially improved performance. It is more selective in the presence of intense atmospheric glow from large flares, identifies approximately twice as many active flares, and localizes individual stacks with ~50 m precision, resolving emitters separated by ~400–700 m. For the well-defined class of downstream flares at LNG export facilities, the catalog achieves complete detectability. These improvements support more accurate flare inventories, facility-level attribution, and policy-relevant assessments of gas flaring activity. Full article
(This article belongs to the Section Environmental Remote Sensing)
Show Figures

Graphical abstract

24 pages, 7667 KB  
Article
Trans-AODnet for Aerosol Optical Depth Retrieval and Atmospheric Correction of Moderate to High-Spatial-Resolution Satellite Imagery
by He Cai, Bo Zhong, Huilin Liu, Yao Li, Bailin Du, Yang Qiao, Xiaoya Wang, Shanlong Wu, Junjun Wu and Qinhuo Liu
Remote Sens. 2026, 18(2), 311; https://doi.org/10.3390/rs18020311 - 16 Jan 2026
Viewed by 100
Abstract
High accuracy and time synchronous aerosol optical depth (AOD) is essential for atmospheric correction (AC) of medium and high spatial resolution (MHSR) remote sensing data. However, existing high-resolution AOD retrieval methods often rely on sparsely distributed ground-based measurements, which limits their capacity to [...] Read more.
High accuracy and time synchronous aerosol optical depth (AOD) is essential for atmospheric correction (AC) of medium and high spatial resolution (MHSR) remote sensing data. However, existing high-resolution AOD retrieval methods often rely on sparsely distributed ground-based measurements, which limits their capacity to resolve fine-scale spatial heterogeneity and consequently constrains retrieval performance. To address this limitation, we propose a framework that takes GF-1 top-of-atmosphere (TOA) reflectance as input, where the model is first pre-trained using MCD19A2 as Pseudo-labels, with high-confidence samples weighted according to their spatial consistency and temporal stability, and then fine-tuned using Aerosol Robotic Network (AERONET) observations. This approach enables improved retrieval accuracy while better capturing surface variability. Validation across multiple regions demonstrates strong agreement with AOD measurements, achieving the correlation coefficient (R) of 0.941 and RMSE of 0.113. Compared to models without pretraining, the proportion of AOD retrievals within EE improves by 13%. While applied to AC, the corrected surface reflectance also shows strong consistency with in situ observations (R > 0.93, RMSE < 0.04). The proposed Trans-AODnet significantly enhances the accuracy and reliability of AOD inputs for AC of high-resolution wide-field sensors (e.g., GF-WFV), offering robust support for regional environmental monitoring and exhibiting strong potential for broader remote sensing applications. Full article
(This article belongs to the Section Atmospheric Remote Sensing)
Show Figures

Figure 1

25 pages, 2339 KB  
Article
An Operational Ground-Based Vicarious Radiometric Calibration Method for Thermal Infrared Sensors: A Case Study of GF-5A WTI
by Jingwei Bai, Yunfei Bao, Guangyao Zhou, Shuyan Zhang, Hong Guan, Mingmin Zhang, Yongchao Zhao and Kang Jiang
Remote Sens. 2026, 18(2), 302; https://doi.org/10.3390/rs18020302 - 16 Jan 2026
Viewed by 116
Abstract
High-resolution TIR missions require sustained and well-characterized radiometric accuracy to support applications such as land surface temperature retrieval, drought monitoring, and surface energy budget analysis. To address this need, we develop an operational and automated ground-based vicarious radiometric calibration framework for TIR sensors [...] Read more.
High-resolution TIR missions require sustained and well-characterized radiometric accuracy to support applications such as land surface temperature retrieval, drought monitoring, and surface energy budget analysis. To address this need, we develop an operational and automated ground-based vicarious radiometric calibration framework for TIR sensors and demonstrate its performance using the Wide-swath Thermal Infrared Imager (WTI) onboard Gaofen-5 01A (GF-5A). Three arid Gobi calibration sites were selected by integrating Moderate Resolution Imaging Spectroradiometer (MODIS) cloud products, Shuttle Radar Topography Mission (SRTM)-derived topography, and WTI-based radiometric uniformity metrics to ensure low cloud cover, flat terrain, and high spatial homogeneity. Automated ground stations deployed at Golmud, Dachaidan, and Dunhuang have continuously recorded 1 min contact surface temperature since October 2023. Field-measured emissivity spectra, Integrated Global Radiosonde Archive (IGRA) radiosonde profiles, and MODTRAN (MODerate resolution atmospheric TRANsmission) v5.2 simulations were combined to compute top-of-atmosphere (TOA) radiances, which were subsequently collocated with WTI imagery. After data screening and gain-stratified regression, linear calibration coefficients were derived for each TIR band. Based on 189 scenes from February–July 2024, all four bands exhibit strong linearity (R-squared greater than 0.979). Validation using 45 independent scenes yields a mean brightness–temperature root-mean-square error (RMSE) of 0.67 K. A full radiometric-chain uncertainty budget—including contact temperature, emissivity, atmospheric profiles, and radiative transfer modeling—results in a combined standard uncertainty of 1.41 K. The proposed framework provides a low-maintenance, traceable, and high-frequency solution for the long-term on-orbit radiometric calibration of GF-5A WTI and establishes a reproducible pathway for future TIR missions requiring sustained calibration stability. Full article
(This article belongs to the Special Issue Radiometric Calibration of Satellite Sensors Used in Remote Sensing)
Show Figures

Figure 1

21 pages, 5194 KB  
Article
A Typhoon Clustering Model for the Western Pacific Coast Based on Interpretable Machine Learning
by Yanhe Wang, Yinzhen Lv, Lei Zhang, Tianrun Gao, Ruiqi Feng, Yihan Zhou and Wei Zhang
Electronics 2026, 15(2), 379; https://doi.org/10.3390/electronics15020379 - 15 Jan 2026
Viewed by 183
Abstract
As a complex and destructive natural disaster, the characteristics of typhoons are closely related to human activities, and their accurate categorization is of vital significance for improving disaster warning and management capabilities. This study highlights the key role of typhoon clustering in analyzing [...] Read more.
As a complex and destructive natural disaster, the characteristics of typhoons are closely related to human activities, and their accurate categorization is of vital significance for improving disaster warning and management capabilities. This study highlights the key role of typhoon clustering in analyzing typhoon behaviors, aiming to provide reliable support for disaster prevention and control. Based on the NOAA meteorological dataset from 2003 to 2024, this study firstly adopts the K-means clustering algorithm to classify typhoons into seven categories and then utilizes eight machine learning models to train and validate the classification results, and introduces the Shapley’s additive interpretation (SHAP) algorithm to enhance the interpretability of the models. The study data covers a variety of features such as air temperature, wind speed, atmospheric pressure, and weather station observations, etc. After a systematic preprocessing process, a feature matrix containing key variables such as typhoon intensity and moving speed is constructed. The results show that the XGBoost model outperforms others across multiple evaluation metrics (Accuracy: 0.992, Precision: 0.989, Recall: 0.992, F1.5 Score: 0.990), highlighting its exceptional capability in managing complex weather classification tasks. The seven categories of typhoon types classified by K-means exhibit different feature patterns, while the SHAP analysis further reveals the effects of each feature on the classification and its potential interactions. This study not only verifies the effectiveness of K-means combined with machine learning in typhoon classification but also lays a solid scientific foundation for accurate prediction, risk assessment and optimization of management strategies for typhoon disasters through the in-depth analysis of feature impacts. Full article
(This article belongs to the Special Issue AI-Driven Data Analytics and Mining)
Show Figures

Figure 1

34 pages, 14353 KB  
Article
Nationwide Prediction of Flood Damage Costs in the Contiguous United States Using ML-Based Models: A Data-Driven Approach
by Khaled M. Adel, Hany G. Radwan and Mohamed M. Morsy
Hydrology 2026, 13(1), 31; https://doi.org/10.3390/hydrology13010031 - 14 Jan 2026
Viewed by 240
Abstract
Flooding remains one of the most disruptive and costly natural hazards worldwide. Conventional approaches for estimating flood damage cost rely on empirical loss curves or historical insurance data, which often lack spatial resolution and predictive robustness. This study develops a data-driven framework for [...] Read more.
Flooding remains one of the most disruptive and costly natural hazards worldwide. Conventional approaches for estimating flood damage cost rely on empirical loss curves or historical insurance data, which often lack spatial resolution and predictive robustness. This study develops a data-driven framework for estimating flood damage costs across the contiguous United States, where comprehensive hydrologic, climatic, and socioeconomic data are available. A database of 17,407 flood events was compiled, incorporating approximately 38 parameters obtained from the National Oceanic and Atmospheric Administration (NOAA), the National Water Model (NWM), the United States Geological Survey (USGS NED), and the U.S. Census Bureau. Data preprocessing addressed missing values and outliers using the interquartile range and Walsh tests, followed by partitioning into training (70%), testing (15%), and validation (15%) subsets. Four modeling configurations were examined to improve predictive accuracy. The optimal hybrid regression–classification framework achieved correlation coefficients of 0.97 (training), 0.77 (testing), and 0.81 (validation) with minimal bias (−5.85, −107.8, and −274.5 USD, respectively). The findings demonstrate the potential of nationwide, event-based predictive approaches to enhance flood-damage cost assessment, providing a practical tool for risk evaluation and resource planning. Full article
Show Figures

Figure 1

16 pages, 6107 KB  
Data Descriptor
Actual Evapotranspiration Dataset of Mongolia Plateau from 2001 to 2020 Based on SFE-NP Model
by Yuhui Su, Juanle Wang and Baomin Han
Data 2026, 11(1), 20; https://doi.org/10.3390/data11010020 - 13 Jan 2026
Viewed by 128
Abstract
Evapotranspiration (ET) refers to the total water vapor flux transported by vegetation and surface soil to the atmosphere. It is an important component of water and heat regulation, and has an impact on plant productivity and water resource management. As a water-shortage region, [...] Read more.
Evapotranspiration (ET) refers to the total water vapor flux transported by vegetation and surface soil to the atmosphere. It is an important component of water and heat regulation, and has an impact on plant productivity and water resource management. As a water-shortage region, the Mongolian Plateau is characterized by drought and an uneven distribution of rainwater resources. Understanding the spatiotemporal distribution characteristics of ET on the Mongolian Plateau is important for water resource regulation for climate change adaption and regional sustainable development. This study calculated the spatiotemporal distribution characteristics of the actual ET in the Mongolian Plateau based on the SFE-NP model and generated a surface ET dataset with a spatial resolution of 1 km and monthly temporal resolution from 2001 to 2020. Theil-Sen median and Mann–Kendall trend models were used to analyze the temporal and spatial distribution characteristics of the actual ET over the Mongolian Plateau. This dataset has been validated for accuracy against the commonly used authoritative ET datasets ERA5_Land and MOD16A2, demonstrating high precision and accuracy. This dataset can provide data support for research and applications such as surface water resource allocation and drought detection in the Mongolian Plateau. Full article
(This article belongs to the Collection Modern Geophysical and Climate Data Analysis: Tools and Methods)
Show Figures

Figure 1

30 pages, 28242 KB  
Article
Generative Algorithms for Wildfire Progression Reconstruction from Multi-Modal Satellite Active Fire Measurements and Terrain Height
by Bryan Shaddy, Brianna Binder, Agnimitra Dasgupta, Haitong Qin, James Haley, Angel Farguell, Kyle Hilburn, Derek V. Mallia, Adam Kochanski, Jan Mandel and Assad A. Oberai
Remote Sens. 2026, 18(2), 227; https://doi.org/10.3390/rs18020227 - 10 Jan 2026
Viewed by 189
Abstract
Wildfire spread prediction models, including even the most sophisticated coupled atmosphere–wildfire models, diverge from observed wildfire progression during multi-day simulations, motivating the need for measurement-based assessments of wildfire state and improved data assimilation techniques. Data assimilation in the context of coupled atmosphere–wildfire models [...] Read more.
Wildfire spread prediction models, including even the most sophisticated coupled atmosphere–wildfire models, diverge from observed wildfire progression during multi-day simulations, motivating the need for measurement-based assessments of wildfire state and improved data assimilation techniques. Data assimilation in the context of coupled atmosphere–wildfire models entails estimating wildfire progression history from observations and using this to obtain initial conditions for subsequent simulations through a spin-up process. In this study, an approach is developed for estimating fire progression history from VIIRS active fire measurements, GOES-derived ignition times, and terrain height data. The approach utilizes a conditional Wasserstein Generative Adversarial Network trained on simulations of historic wildfires from the coupled atmosphere–wildfire model WRF-SFIRE, with corresponding measurements for training obtained through the application of an approximate observation operator. Once trained, the cWGAN leverages measurements of real fires and corresponding terrain data to probabilistically generate fire progression estimates that are consistent with the WRF-SFIRE solutions used for training. The approach is validated on five Pacific US wildfires, and results are compared against high-resolution perimeters measured via aircraft, finding an average Sørensen–Dice coefficient of 0.81. The influence of terrain data on fire progression estimates is also assessed, finding an increased contribution when measurements are uninformative. Full article
Show Figures

Figure 1

19 pages, 15134 KB  
Article
An Optimized Approach for Methane Spectral Feature Extraction Under High-Humidity Conditions
by Yunze Li, Jun Wu, Wei Xiong, Dacheng Li, Yangyu Li, Anjing Wang and Fangxiao Cui
Remote Sens. 2026, 18(1), 175; https://doi.org/10.3390/rs18010175 - 5 Jan 2026
Viewed by 183
Abstract
Fourier transform infrared (FTIR) spectroscopy-based gas remote sensing has been widely applied for long-range atmospheric composition analysis. However, when deployed for longwave infrared methane detection, spectral features of methane are significantly interfered by water vapor variations at the edge of atmospheric window, which [...] Read more.
Fourier transform infrared (FTIR) spectroscopy-based gas remote sensing has been widely applied for long-range atmospheric composition analysis. However, when deployed for longwave infrared methane detection, spectral features of methane are significantly interfered by water vapor variations at the edge of atmospheric window, which compromises detection performance. To address the spectral fitting degradation caused by relative changes between methane and water vapor signals, this study incorporates temperature, relative humidity, and sensing distance into the cost function, establishing a continuous optimization space with concentration path lengths (CLs) as variables, which are the product of the concentration and path length. A hybrid differential evolution and Levenberg–Marquardt (D-LM) algorithm is developed to enhance parameter estimation accuracy. Combined with a three-layer atmospheric model for real-time reference spectrum generation, the algorithm identifies the optimal spectral combination that provides the best match to the measured data. Algorithm performance is validated through two experimental configurations: Firstly, adaptive detection using synthetic spectra covering various humidity–methane concentration combinations is conducted; simulation results demonstrate that the proposed method significantly reduces the mean squared error (MSE) of fitting residuals by 95.8% compared to the traditional LASSO method, effectively enhancing methane spectral feature extraction under high-water-vapor conditions. Then, a continuous monitoring of controlled methane releases over a 500 m open path under high-outdoor-humidity conditions is carried out to validate outdoor performance of the proposed algorithm; field measurement analysis further confirms the method’s robustness, achieving a reduction in fitting residuals of approximately 57% and improving spectral structure fitting. The proposed approach provides a reliable technical pathway for adaptive gas cloud detection under complex atmospheric conditions. Full article
Show Figures

Figure 1

27 pages, 8982 KB  
Article
Tribological Performance of Micro and Nano-Titanium Carbide-Reinforced Copper Composites Manufactured by Powder Metallurgy: Experimental Studies and Modelling
by Anwar Ulla Khan, Sajjad Arif, Muhammed Muaz, Mohammad Shan, Ateyah Alzahrani and Ahmad Alghamdi
Metals 2026, 16(1), 66; https://doi.org/10.3390/met16010066 - 5 Jan 2026
Viewed by 289
Abstract
This study reports the fabrication of copper-based metal matrix composites reinforced with a combination of micro- and nano-sized titanium carbide (TiC) particles using the powder metallurgy route. The micro-TiC content was maintained at 5 wt.%, while the nano-TiC addition was systematically varied between [...] Read more.
This study reports the fabrication of copper-based metal matrix composites reinforced with a combination of micro- and nano-sized titanium carbide (TiC) particles using the powder metallurgy route. The micro-TiC content was maintained at 5 wt.%, while the nano-TiC addition was systematically varied between 1 and 3 wt.% in increments of 1 wt.%. The consolidation of the blends was achieved by uniaxial compaction at 500 MPa, followed by sintering in a nitrogen atmosphere at 750–900 °C for 2 h. Tribological assessment under dry sliding conditions was performed using a pin-on-disk apparatus. Structural and microstructural examinations using X-ray diffraction (XRD), scanning electron microscopy (SEM), and energy-dispersive spectroscopy (EDS) confirmed a uniform incorporation of the reinforcements within the Cu matrix. The incorporation of nano-TiC up to 2 wt.% significantly enhanced density, hardness, and wear resistance, after which a marginal decline was observed. SEM analysis of worn surfaces revealed that adhesive wear, abrasion, and delamination were the primary wear mechanisms. To better understand the relationship between processing conditions and material responses, response surface methodology (RSM) was employed. The developed models for density, hardness, and wear loss showed good agreement with the experimental results, with confirmatory tests yielding errors of 1.59%, 2.06%, and 2%, respectively, thereby validating the approach’s reliability. Full article
(This article belongs to the Special Issue Powder Metallurgy of Metals and Composites)
Show Figures

Figure 1

Back to TopTop