Highlights
What are the main findings?
- A super-resolution clustering algorithm achieves subpixel geolocation (~50 m) of persistent infrared heat sources, far exceeding the native VIIRS pixel footprint (~1000 m).
- False positives caused by atmospheric glow around large flares are effectively filtered using a compactness constraint on detection clusters, improving data selectivity.
What are the implications of the main findings?
- The resulting global flare catalog is twice as sensitive as previous catalogs and provides near-complete detection for well-defined sources like LNG export terminals.
- The multiyear flare catalog’s enhanced precision, sensitivity and selectivity ensure high confidence in country-level estimates of flared gas volume.
Abstract
We present a new method for mapping global gas flaring using a multiyear spatio-temporal database of VIIRS Nightfire (VNF) nighttime infrared detections from the Suomi NPP, NOAA-20, and NOAA-21 satellites. The method is designed to resolve closely spaced industrial combustion sources and to produce a stable, physically meaningful flare catalog suitable for long-term monitoring and emissions analysis. The method combines adaptive spatial aggregation of high-temperature detections with a hierarchical clustering that super-resolves individual flare stacks within oil and gas fields. Post-processing yields physically consistent flare footprints and attraction regions, allowing separation of closely spaced sources. Flare clusters are assigned to operational categories (e.g., upstream, midstream, LNG) using prior catalogs combined with AI-assisted expert interpretation. In this step, a multimodal large language model (LLM) provides contextual classification suggestions based on geospatial information, high-resolution daytime imagery, and detection time-series summaries, while final attribution is performed and validated by domain experts. Compared with annual flare catalogs commonly used for national flaring estimates, the new catalog demonstrates substantially improved performance. It is more selective in the presence of intense atmospheric glow from large flares, identifies approximately twice as many active flares, and localizes individual stacks with ~50 m precision, resolving emitters separated by ~400–700 m. For the well-defined class of downstream flares at LNG export facilities, the catalog achieves complete detectability. These improvements support more accurate flare inventories, facility-level attribution, and policy-relevant assessments of gas flaring activity.
1. Introduction
Remote sensing of gas flaring from space began with coarse nighttime imaging. The DMSP-OLS (Defense Meteorological Satellite Program Operational Linescan System) was the first sensor to map global flare activity at night, though it lacked spectral detail and radiometric calibration, limiting its quantitative use [1]. Calibrated mid-infrared (3.9 µm) MODIS data from NASA’s Terra and Aqua platforms enabled more systematic detection of heat sources, but infrequent revisit time and absence of the most nighttime flare-sensitive short-wave infrared (SWIR) bands constrained global monitoring [2,3].
The launch of the Visible Infrared Imaging Radiometer Suite (VIIRS) on the Suomi NPP and NOAA-20/21 satellites provided a breakthrough for global detection and monitoring of industrial infrared emitters [4]. VIIRS has finer spatial resolution (750 m at nadir), a broad dynamic range, in-flight radiometric calibration and nighttime multispectral imaging, including SWIR (M10, 1.6 µm and later M12, 2.2 µm). Building on these features, in 2012, the Earth Observation Group (EOG) developed and began producing a multispectral nightly global infrared emitter data product known as the VIIRS Nightfire (VNF) [5]. The algorithm detects subpixel combustion sources by fitting Planck curves to multispectral radiances, retrieving source temperature, size and radiant heat. This made it possible to estimate flared gas volumes [6] and build long-term flare catalogs.
The VNF algorithm exploits the detection of subpixel infrared emitters in four daytime VIIRS channels that continue to collect at night (Figure S1). This includes two spectral bands in the near-infrared (M7 and M8) and two in the shortwave infrared (M10 and M11). With solar illumination absent, these daytime channels record the sensor noise floor, punctuated by clusters of high radiance levels arising from subpixel infrared emitters, such as biomass burning, natural gas flaring, industrial waste heat and volcanos. In such cases, the detected NIR and SWIR radiances can be fully attributed to the Earth surface IR emitters. This makes it possible to calculate the IR emitter’s temperature, source area and radiant heat using physical laws [5].
Daytime detection of gas flares using medium-resolution sensors Sentinel-2 MSI (MultiSpectral Instrument) and Landsat-8/9 OLI (Operational Land Imager) was developed by several groups, enabling global and regional inventories that complement nighttime VIIRS products and better resolve heat sources with a ~30 m pixel footprint. Recent efforts span global catalogs and algorithm advances (e.g., DAFI, Daytime Approach for gas Flaring Investigation algorithm and its multi-sensor extensions [7,8]) as well as regional time-series applications [9], together demonstrating flare mapping from daytime optical/SWIR data. In practice, Sentinel/Landsat daytime products provide finer spatial discrimination (useful for source separation), while VIIRS nighttime VNF provides higher thermal contrast and more reliable radiometry for flux-oriented retrievals. Furthermore, the satellites employed exhibit less frequent revisit times compared to the VIIRS satellites, which provide 3–5 overpasses per night.
From the beginning, we designed VNF to build long-term records of thermal and activity levels across as many industrial sites as possible. To achieve this objective, we developed methods to catalog and systematically organize the temporal records of Earth-surface infrared emitters. Each catalog is based on compositing of a year or more of nightly global VNF detections into 15 arc-second (≈the VIIRS M-band pixel footprint) summary grids, recording the average temperature, number of cloud-free detections and percent frequency of cloud-free detections. VNF pixels entering 15 arc-second (≈ the VIIRS M-band pixel footprint) summary grids are required to have temperatures and be a local maximum in the M10 SWIR band. In most catalogs a temperature threshold of 1200 K is set to focus on natural gas flares. Biomass burning is filtered out based on its low temperature and low percent frequency of detection. The remaining 15 arc-second grid cells are analyzed to derive IR emitters with identification numbers, centroid locations, bounding vectors and emitter type labels. The catalog bounding vectors are then used to create temporal profiles, suitable for analysis of flared gas volumes and history of individual industrial sites [10]. The rationale for single year flare catalogs is that each year there are new flares, especially in the USA, where oil and gas production is dominated by “fracking” techniques applied to deep shale formations.
The downside to the single-year-flare catalogs is that in each year, the strategy has been to set a threshold that splits the difference between thorough detection of small infrequent flares and the erroneous labeling of glow patches as flares. Working solely with the 15 arc second summary grids there is always a tension between inclusion of small intermittent flares and the glow surrounding closely spaced clusters of large flares. Filtering the 15 arc-second summary grids to include more of the small flares results in larger number of false flares arising from atmospheric scatter, which we term glow. Figure S2 shows examples of this under-detection of small infrequent flares and false detections in the glow around large flares. This problem is present in all of the VNF IR emitter catalogs from 2012 through 2024 [11]. Additionally, new identification numbers are assigned to all identified IR emitters, new bounding vectors are established and lower-temperature industrial emitters are underrepresented.
Using multiyear VNF time series, Liu et al. in 2018 [12] proposed an object-oriented algorithm that groups nightly thermal anomalies into persistent “heat source objects” and classifies them with spatio-temporal and thermal fingerprints covering multiple industrial heat sources (not just flares). Importantly, they also produced a rasterized VNF detection map (gridded accumulation of detections), analogous to annual VNF catalogs, to derive persistence/intensity features for object formation and labeling [12].In 2020, EOG developed the concept for an all-temperature multiyear catalog that would be filtered to remove biomass burning, include both flares and industrial sites (Table S1) and assign permanent identification numbers and a single bounding vector [13]. This multiyear catalog was produced for 2012 through to 2022 and is known as MYC22 (multiyear catalog 2022). With permanent identification numbers and bounding vectors valid for all years, MYC22 enabled the development of nightly temporal profiles extending from March 2012 to the present. The development of the super-resolution method for distinguishing actual IR emitters from glow occurred midway through the MYC22 production.
Super-resolution refers to the identification of surface emitters based on clustering of the VNF pixel center latitudes and longitudes. The VIIRS pixel footprints land randomly and never exactly repeat. While the pixel footprint center location is known, the precise location of the emitter could be anywhere inside the pixel footprint. It is even possible for the radiant energy from a single emitter to be split between two or more VNF pixels. The super-resolution method skips over the blurring effect associated with the binning of VNF detections into 15 arc-second grid cells. The result is a precise geospatial mapping of the cumulative footprint of VNF detections associated with surface emitters. The MYC22 is flawed because the 15 arc-second filtering drops many small infrequent IR emitters.
This paper describes the development of a new flare catalog that uses a 15 arc-second detection tally grid only as a guide to identify candidate basin or oil-field size regions which possibly contain gas flares. The super-resolution analysis then screens out the glow, preserving smaller, infrequent flares missing from the previous catalogs.
2. Materials and Methods
We present a multi-step algorithm for building a high-resolution catalog of flaring sites from VIIRS Nightfire (VNF) detections spanning 2012–2025. The algorithm integrates 2D histogram rasterization of VNF detection counts, watershed segmentation, probabilistic clustering, post-processing with pruning and merging and finally AI-assisted attribution (industrial type and operator). Each step addresses a specific limitation of raw satellite detections, transforming irregular per-pixel detections in multispectral imagery into a validated, consistent catalog of unique, persistently flaring point sources (Figure 1). This approach differs substantially from the flare-survey methodology [10] used since 2015 in the World Bank’s annual flaring reports [11].
Figure 1.
Flowchart of the algorithm for building a high-resolution multiyear catalog of flares from VNF detections database.
As an algorithm input we utilize VNF detections with the terrain-corrected VIIRS M-band geolocation provided in the NOAA L1B data. The terrain-correction incorporates a high-resolution digital elevation model to adjust the line-of-sight intersection point for each pixel, reducing geolocation bias and improving absolute positional accuracy. Because the MYC25 super-resolution algorithm recovers emitter centroids using clustering of thousands of M-band detections, the accuracy of the underlying pixel geolocation is essential. Using terrain-corrected geolocation as the foundation enables the ~50 m localization precision demonstrated in Section 3.3.
In these earlier flare catalogs, VNF detections in 15 arc-second annual summary grids (Step 1) were segmented into watershed features, and each feature’s location was defined by averaging the pixel-center coordinates within its boundary. However, these watershed features frequently encompassed multiple adjacent flares, which were consequently treated as a single emitter in both their time-series histories and annual flared-volume estimates (Section 4.3), merging distinct behaviors and inflating BCM totals at large industrial complexes. In MYC25, we adopt a different strategy: instead of assuming a one-to-one correspondence between a watershed feature and a physical flare, we delineate a broader potential flaring region that may contain multiple emitters (Step 2) and apply Dirichlet-process variational Bayesian Gaussian mixture (DP-VBGM) clustering (Step 3) to unmix the underlying detection cloud. This super-resolution approach recovers individual, physically meaningful emitter centroids and footprints and improves localization precision from typical offsets of 300–600 m in prior methods to ~50 m (Section 3.3). As a result, each flare now contributes independently to its temporal profile and to the annual BCM totals, providing a more accurate and internally consistent representation of flaring activity.
2.1. Step 1. Rasterization of VNF Detections
Raw VNF detections, stored as point geometries in PostgreSQL spatio-temporal database with attributes such as source area, temperature and radiative heat, are aggregated onto a regular latitude–longitude grid to create detection-count rasters. This converts irregular detection points into a continuous surface, providing a map of the geographical distribution and temporal persistence of flaring activity and a basis for subsequent algorithmic segmentation. We use all VNF version 3.0 detections from the three VIIRS platforms (Suomi NPP, NOAA-20 and NOAA-21) spanning March 2012 to March 2025, subject to two filters: (i) VNF-estimated source temperature T > 1200 K and (ii) the corresponding VIIRS M10 band (1.6 µm) pixel is a local maximum. These constraints suppress atmospheric glow around large flares and exclude cooler industrial sources and most biomass burning.
The global detection count map is then split into latitude–longitude tiles of size 15° to accelerate data processing with parallel computer cluster, each tile representing a 2D histogram on a 15 arc-second grid, where cell values equal the number of detections. This rasterization yields a continuous surface for locating spatial clusters while smoothing irregular sampling caused by orbital coverage and cloud obscuration. Figure 2 illustrates the result of VNF detection counts rasterization for a region with multiple flares in Basra, Iraq.
Figure 2.
High-resolution daytime satellite image (left) and the corresponding VNF-detections count grid (right) for a region with multiple flares in Basra, Iraq.
2.2. Step 2. Watershed Segmentation of Candidate Features
The goal of this step is to partition the rasterized VNF detection count map into manageable superpixels [14] to delineate candidate regions where flares are likely to occur, so that the next, super-resolution clustering step remains tractable. Because that clustering is both time- and memory-intensive, each superpixel must be small enough to run on a single compute node; conversely, superpixels that are too small risk splitting a compact flare cluster at their boundaries. As a rule of thumb, we target fewer than ~30 flares per superpixel.
Operationally, we apply watershed segmentation [15,16] to the detection-count raster: local density peaks are identified as markers (watershed seeds), and flooding is performed on the inverted raster so that each basin corresponds to a dense detection region (hydrological analogy). To reduce over-segmentation, we apply mathematical morphology post-processing (expansion and smoothing) [17] before polygonizing the resulting superpixels (Figure 3). Hereafter, we refer to these watershed-derived superpixels as “waterpixels,” following the usage and formulation of Machairas et al. [16].
Figure 3.
Comparison of MYC25 waterpixel boundaries (red) with flare footprints from the 2024 Annual catalog (green) for the same flaring region in Basra as in Figure 2. The 2024 boundaries are generated using the earlier Annual catalog method in which VNF detections are rasterized to a fixed grid and watershed segmentation is applied directly to the detection-density surface. In contrast, MYC25 first identifies a broader potential flaring region and then applies DP-VBGM super-resolution clustering to unmix multiple emitters within the region, yielding sharper flare locations and more physically meaningful footprints.
The watershed segmentation scale used to generate the waterpixels is not a scientific tuning parameter but a computational partitioning choice. Because the global 2012–2025 VNF detection database is far too large to process with DP-VBGM clustering as a single dataset, it must be divided into spatially coherent units that can be executed independently on a parallel computing cluster. To determine an appropriate partition size, we conducted an optimization search balancing two competing requirements: (i) the waterpixels should be small enough to maximize parallelism and minimize per-thread database query and runtime, and (ii) they should be large enough to avoid splitting individual flares at boundaries, especially in dense flare provinces such as the Permian Basin and North Dakota. The selected scale (approximately 30 flares per waterpixel) represents the smallest partitioning that still preserves integrity of dense flare clusters. Importantly, DP-VBGM clustering (Step 3) is performed entirely within each waterpixel and is agnostic to the initial watershed geometry, so the final emitter centroids and footprints are robust to this choice. In the rare cases where a flare is at the boundary of two adjacent waterpixels, the MYC25 algorithm includes explicit oversplitting–pruning and overlapping–merging Step 4 that recombines such emitters correctly.
The flare boundaries from the 2024 Annual catalog (shown in green in Figure 3) are generated using the same methodology applied in all previous Annual VIIRS flare inventories. In this approach, individual VNF detections are rasterized to a fixed 15 arc-second grid, and watershed segmentation is performed directly on the resulting detection-density surface. Each watershed feature is then treated as a single flare footprint, with its boundary reflecting the extent of the contiguous rasterized cluster. In contrast, the MYC25 algorithm first delineates a broader potential flaring region using watershed segmentation at coarser scale (“waterpixels”), but subsequently applies DP-VBGM super-resolution clustering to unmix the detection cloud inside these regions. This two-stage process produces sharper flare locations, more physically meaningful emitter footprints and avoids the situation in annual catalogs where a single watershed feature encompasses multiple distinct flares (see Section 4.3).
2.3. Step 3. Super-Resolution Clustering of Detections
For localized (point-type) persistent IR emitters, VNF detections typically form dense rotated-square (diamond) clusters centered on the source. The characteristic size of each cluster is approximately the VIIRS M-band pixel footprint (≈1.6 km), and its orientation is set by the satellite ground track/scan geometry. The goal of super-resolution clustering is to unmix these dense detection clouds within each waterepixel into a set of (potentially overlapping) square-shaped clusters, each centered on the location of a real flare.
Within each waterpixel, we retrieve from the database the relevant VNF v3.0 detections and project their pixel centers to a local UTM frame for metric accuracy. The database filter at this step is more permissive than in Step 1: we impose no temperature threshold, but require that the corresponding pixel in at least one VIIRS M-band (M10: 1.6 µm, M11: 2.2 µm, or M13: 4.1 µm) be a local maximum and pass a white top-hat test. The white top-hat transform in mathematical morphology emphasizes compact bright peaks while suppressing broad background glow:
where f is the band image, se is a disk-shaped structuring element tuned to the VIIRS M-band footprint, ⊖ is erosion and ⊕ is dilation [17]. A positive top-hat response together with the local-maximum condition effectively suppresses atmospheric glow around large flares while retaining true, point-like emitters.
Twhite(f) = f − (f ∘ se), (f ∘ se) = (f ⊖ se) ⊕ se,
A Dirichlet-process Variational Bayesian Gaussian Mixture (DP-VBGM) [18,19] is then fitted to the data, using spherical covariance models. This clustering assigns detections to sub-clusters, each representing a probable distinct flare stack. The probabilistic framework ensures that the number of clusters is inferred from the data rather than fixed, enabling adaptive resolution in dense industrial regions.
Formally, we fit a Dirichlet-process variational Bayesian Gaussian mixture (DP-VBGM) to detections in a local UTM frame, independently within each waterpixel. The per-waterpixel fits run as loosely coupled, communication-free parallel tasks on the compute. The data likelihood is modeled as a truncated mixture of isotropic (circular) Gaussians,
with a Dirichlet-process prior that shrinks many weights {πk} toward zero. Variational Bayes infers the posterior “responsibilities”
and we take hard assignments via . This way, the model lets the data determine the effective number of clusters, avoiding manual tuning and reducing over- and under-splitting.
For each cluster of VNF detections modeled as an isotropic 2D Gaussian in the local UTM plane we define a spatial compactness scale
where σ is the per-axis distance standard deviation and the distance root mean square is a statistical concept used to measure the dispersion of a set of projectile impacts in ballistics. Then, for an isotropic Gaussian, the fraction of points within radius r is P(r) = 1 − exp (−r2/(2σ2)); at radius this circle encloses of the VNF detections. Thus, V is a convenient, interpretable proxy for cluster compactness, and Varmax provides a consistent acceptance threshold across sites.
Figure 4 illustrates how the super-resolution step separates multiple, closely spaced emitters inside a single waterpixel. The left panel is a detection density surface (≈100 m grid, tenfold more detailed than the detection count raster in the Step 2). A compact, rotated-square hotspot is evident, consistent with a point-source flare viewed in the VIIRS scan geometry; the surrounding low-intensity halo reflects occasional geolocation jitter and multiple atmosphere scattering effects.
Figure 4.
Super-resolution clustering within a single waterpixel. Left: Detection probability density map built from a 2D histogram of VNF detections (100 m grid cells). Warmer colors mark higher densities, revealing a compact, rotated-square hotspot characteristic of point-source flares. Axes are local UTM easting/northing (m). Right: All VNF detection centers (gray points) within the waterpixel reprojected to the same UTM frame and partitioned by a DP-VBGM into four compact subclusters (colored fills).
The right panel shows all VNF detection centers (gray) projected into a local UTM frame and partitioned by a Dirichlet-process Gaussian mixture into four subclusters (colored). For each cluster the legend lists N (detections assigned) and Var (the covariance-derived spatial scale, in km). Here, Var values (~0.8–1.05 km) are well within the acceptance threshold Varmax ≈ 1.6 km, indicating compact, well-resolved sources. The cluster compactness threshold was empirically set to exclude most of the false-detected clusters with no visible flare inside in the corresponding high-resolution daytime (HRD) image. Sure enough, empirically estimated value comes close to the maximum VIIRS M-band pixel footprint.
Cluster boundaries (we call them “bubble vectors”) ensure each VNF detection (pixel) is unambiguously assigned to a single flare, preventing overlap and double-counting within dense flare groups. With unique ownership defined, we can reliably aggregate radiance and temperature from instantaneous satellite detections and build per-flare flowrate histories, while at the same time the boundaries coincide with the most-likely decision surfaces under the DP-VBGM: each pixel x with VNF detection is assigned to the flare k with the highest posterior probability p(k|x), so decision surfaces occur where p(k|x) = p(l|x) between overlapping 2D Gaussian PDFs for clusters k and l. With isotropic (circular) covariances and equal priors, these weighted nearest-centroid boundaries reduce to Voronoi/Apollonius partitions [20,21,22].
Let the flare PDF centroids be {μk} with compactness scale sk (e.g., covariance-derived Var of the DP-VBGM unmixed clusters). We define a weighted discriminant distance
and assign each location x to the site with minimal Dk(x). The pairwise boundary between sites k and l is the locus
which is the classical Apollonius problem: a boundary that is a circle. Thus, equal scales yield the usual Voronoi cells; unequal scales produce Apollonius (weighted Voronoi) cells that shrink around tighter, better-constrained clusters.
Final flare attraction contours (we call them “bubble vectors”) are taken as the weighted Voronoi/Apollonius cells, intersected with an elliptical confidence region
This yields non-overlapping, size-aware contours that honor both geometric proximity and statistical separability of distinct flare clusters.
In practice, we do not need the closed-form Voronoi/Apollonius solution (even though it exists) because GIS and database workflows require polygons. Instead, we work in a local UTM grid and compute an approximate, GIS-ready partition numerically: lay down a fine raster (≈100 m cells), evaluate for each cell center x the discriminant distance Dk(x), assign the label arg maxk Dk(x), (max posterior responsibility) and polygonize the labeled raster into vector footprints. The result closely matches the theoretical Voronoi/Apollonius boundaries, while avoiding arc-to-polygon conversion.
Figure 5 shows the resulting polygon outlines of the inferred footprints and the centroids provide point estimates of individual flare stack locations. Partial polygon overlap is expected where stacks are very close together or when occasional off-nadir views and clouds broaden the point cloud. Overall, Figure 4 and Figure 5 demonstrate that the method can unmix multiple emitters within subpixel distances between each other, producing site-level centroids and footprints suitable for subsequent cleaning (Step 4) and provenance-aware AI classification (Step 5).
Figure 5.
Application of the DP-VBGM super-resolution clustering to the same group of flares shown in Figure 2. The red polygons outline the “bubble vectors” of each flare stack after DP-VBGM unmixing. Partial overlaps indicate closely spaced emitters resolved within the waterpixel. The high-resolution Google Earth image is reused here to illustrate the step-by-step progression of the algorithm at a single site in Iraq.
2.4. Step 4. Cleaning and Post-Processing
Post-processing flare catalog cleanup is needed to correct two types of errors shown in Figure 6: (i) duplicate flare detection clusters which eventually get split at the boundary of the adjacent waterpixels and (ii) occasional oversplitting of the dense flare stacks or elongated industrial infrastructure into clusters which are too close to be resolved in satellite images.

Figure 6.
Two types of super-resolution errors: colored outlines show “bubble vectors”; dots indicate centroids. Top: Clusters split at a superpixel boundary. Left: Pre-merge footprints from adjacent tiles. Right: Duplicate cluster boundaries on high-resolution daytime image. Bottom: Over-split flares found with DBSCAN. Left: Multiple polygons with centroids inside the merge radius 600 m. Right: Corresponding high-resolution image.
To de-duplicate the flares split at tile/waterpixel edges, we test polygon overlap and centroid proximity and retain the strongest candidate, defined as the one with greater evidential support (more detections/unique dates) and higher compactness (smaller Var).
To merge back the over-split flares, we run DBSCAN [19] on cluster centroids using a geodesic metric (Haversine) with a merge radius of VIIRS M-band footprint ε = 600 m. DBSCAN naturally groups any number of over-splitted clusters. For each DBSCAN group of two or more VNF detection clusters, instead of choosing a single survivor, we compute a weighted-average centroid in a local UTM frame,
where Ni is the number of detections assigned to cluster i. This yields a representative location proportional to evidential support. After de-duplication, we re-draw the cluster contours using Voronoi/Apollonius construction informed by 2D discriminant analysis seeded by the cleaned centroids (flare coordinates).
Figure 7 shows the result of cleaning for the same facility as in Figure 2. Prior to cleaning, it had two overlapping polygons from near-duplicate detection clusters. Cleaning has merged the near-duplicates using spatial proximity with DBSCAN, then re-contoured the footprints with Voronoi cells. Compared against HRD image, the final centroids coincide with visible flare stacks to better than 100 m, confirming positional accuracy.
Figure 7.
Cleaned flare contours and centroids in the same group of flares shown in Figure 2. Blue polygons show final footprints after duplicate merging and Voronoi re-contouring; red stars mark the centroids. One duplicate cluster was removed (compare with Figure 8), and the remaining flare-stack locations align with HRD ground truth within <100 m (compare with 1.5 km VIIRS M-band pixel size).
2.5. Step 5. Provenance and AI-Assisted Labeling of Newly Detected Sites
Newly detected sites are first cross-matched against earlier catalogs (e.g., MYC22, Annual 2024) and authoritative external datasets to transfer existing flare type classifications where possible (Table 1). First, emitters are crossmatched with MYC21 and Annual 2024 to inherit existing labels where possible. Unlabeled emitters are then compared with GIS infrastructure layers to obtain provisional facility-based categories. Their multi-year VNF detection histories are analyzed to distinguish temporal signatures (e.g., seasonal patterns in wood processing and agriculture). Remaining ambiguous cases are resolved through a multimodal AI-assisted expert review, where a large language model interprets high-resolution imagery, tabular attributes and reverse-geocoded context to support—but not replace—human classification.
Table 1.
Flare Classification Workflow.
For sites without prior records, reverse geocoding supplies essential geographic context—country, administrative units and nearby infrastructure—by translating site coordinates into human-readable place attributes (e.g., postal addresses, business names) [23]. A multimodal AI assistant then combines this geocoding context with daytime HDR satellite image centered at the site and with VNF-derived tabular features (e.g., temperature, persistence, radiance) to propose a site classification, while producing a brief explainable rationale to make the decision auditable. The assistant assigns each site to a fixed set of labels (upstream flare, downstream flare, industrial site, biomass burning, or unknown) and returns the most-likely label together with a short justification for decision. Results are integrated into an interactive map (Figure 8): clicking on a pushpin opens a panel with the AI-suggested label, any provenance matches to prior catalogs and supporting evidence. This approach preserves continuity with historical datasets via provenance linking while filling gaps through automated, explainable and verifiable classification.
Here we use a large language model (LLM; ChatGPT version GPT-4p) as an interactive decision-support tool rather than as a trainable classifier. No task-specific model training or fine-tuning is performed in this study. The LLM is a pre-trained foundation model developed by OpenAI on large corpora of text, tabular and image data; therefore, no additional labeled samples, training dataset, or optimization steps are required on our side. For each previously unclassified emitter, the web-based flare assistant tool provides the LLM with (i) a high-resolution Google Earth image of the site, (ii) the MYC25 attributes (e.g., temperature, number of detections), and (iii) a list of nearby facility names obtained and translated to English through Google reverse geocoding. The LLM produces a structured reasoning summary that highlights likely industrial context and potential source type. The final class label is always assigned by a remote-sensing expert, with the LLM serving solely to accelerate interpretation and improve consistency.
Figure 8.
Interactive map, where users can click on pushpins to view AI-suggested labels, provenance matches and supporting evidence to classify the newly detected persistent heat sources in MYC25 and its updates.
Figure 8.
Interactive map, where users can click on pushpins to view AI-suggested labels, provenance matches and supporting evidence to classify the newly detected persistent heat sources in MYC25 and its updates.

3. Results
The multiyear flare catalog (MYC25) identified a total of 25,045 upstream flares (from both oil and gas fields) active between March 2012 and March 2025, a significant increase compared to the 10,688 upstream flares identified in the annual flare catalog used in the World Bank 2024 Flaring Report ([11]). The global inventory map of MYC25 is shown in Figure 9.
Figure 9.
Global inventory of MYC25 IR emitters shows characteristic regional patterns: upstream concentrations in major oil provinces, downstream clusters near refining and LNG hubs and biomass burning in agricultural belts.
The pie chart in Figure 10 provides a MYC25 breakdown by type (upstream, downstream, LNG and industrial), offering insights into the distribution of high temperature IR emitters. Upstream operations dominate the total oil and gas flaring activities, followed by midstream and downstream processes. High temperature IR emitters, which are not associated with the oil and gas flaring, such as chemical plants or landfills, are assigned to the generic “industrial” class.
Figure 10.
Breakdown of the IR emitters in the multiyear catalog by type.
3.1. Sensitivity and Selectivity
The MYC25 combines definitive historical VNF detections database from three VIIRS satellites with recent near-real-time (NRT) preliminary dataset, segmented into waterpixels to be tractable for super-resolution clustering. The Dirichlet-process prior adapts the number of dense clusters with predefined 2D Gaussian detections cluster shape to the data, enabling finer resolution in dense complexes and removal of less compact detections from wildfires and atmospheric glow. In practice, this increases true-positive recovery of real flares (higher sensitivity) that annual windows miss due to limited dwell time (e.g., Northeast Colorado, Figure 11) while reducing false positives (higher selectivity) such as glow-induced artifacts around the largest flare stacks (e.g., Venezuela, Figure 12).
Figure 11.
Improved sensitivity for small flares in Northeast Colorado recovers numerous infrequent flares. Flares in the MYC25 are shown in green, flare contours (“bubble vectors”) for VNF detections are in cyan, and flares from the Annual 2024 catalog are shown in red.
Figure 12.
Improved selectivity in region with very large flares in Venezuela removes false positives around large stacks. Flares in the new MYC25 are shown in green, flare contours (“bubble vectors”) for VNF detections are in blue, and flares from the Annual 2024 catalog are shown in red. Many spurious VNF detections from atmospheric glow in the Annual 2024 catalog were identified as flares.
For each year evaluated, the MYC25 workflow reports about twice as many active flares as the corresponding annual snapshot catalogs. The by-country comparison in Figure 13 shows that in 2024 the MYC25 enumerates more active emitters in the Annual 2024 catalog, with the largest count increases in the United States (+4857; 8402 vs. 3545), China (+561; 1163 vs. 602), Canada (+540; 1049 vs. 509) and the Russian Federation (+488; 1946 vs. 1458. By contrast, the Venezuela flare count is lower in MYC25 (−27; 176 vs. 203) due to stronger glow suppression.
Figure 13.
Difference in number of upstream active (≥1 detection) flares in 2024 (single year) reported in MYC25 (blue bars) and Annual 2024 (orange bars).
An independent validation of MYC25 performance was conducted by Kevin Galvin (Stanford University, Energy Science and Engineering, Doerr School of Sustainability, personal communication, 2025) in two major U.S. hydrocarbon provinces, the Anadarko Basin and the Haynesville Shale, which contain dense upstream and midstream infrastructure and frequent flaring activity. Across both basins, MYC25 identified substantially more upstream flares than the annual catalog for 2024. In the Haynesville Shale, MYC25 detected 22 upstream flares compared with 11 in Annual (a 2× increase). In the Anadarko Basin, MYC25 identified 205 upstream flares compared with 43 in the annual catalog (nearly a 5× increase). These differences indicate that MYC25 captures a much larger fraction of small, intermittent, or short-duration flares that are commonly missed by annual catalogs.
3.2. Duty Cycle and Number of Detections
By integrating detections across 2012–2025 from Suomi-NPP, NOAA-20 and NOAA-21 satellites, the MYC25 captures infrequent or intermittent flares that annual catalogs systematically miss. Intermittency (how often a flare is detected when the satellites actually have a chance to see it over a chosen period, e.g., a year) may indicate that a flare has become unlit and possibly venting unburnt methane, while continuity of flare detections over time is indicative that flaring is probably routine, that is a key parameter when assessing potential for utilization of the flared gas.
To compare the number of detections per flare and their duty cycles (the fraction of observing opportunities, in our case valid satellite overpasses, during which the flare was detected) between MYC25 and Annual 2024, we selected from both catalogs upstream flares detected at least once in 2024 and present the summary metrics in Table S2. The distribution of the number of detections in 2024 is shifted lower in MYC25, with a median of 13 compared to 31 in Annual 2024; very low detection counts are rare in both catalogs. Similarly, the duty cycle (the fraction of observing opportunities with detections) is systematically lower in MYC25: the median duty cycle is 0.05 in MYC25 versus 0.13 in Annual 2024. These population-level contrasts are consistent with MYC25’s finer emitter delineation and inclusion of more intermittent flares, which collectively lower duty cycle and number of detections per flare compared to annual catalogs.
3.3. Localization Precision and Minimum Separable Distance
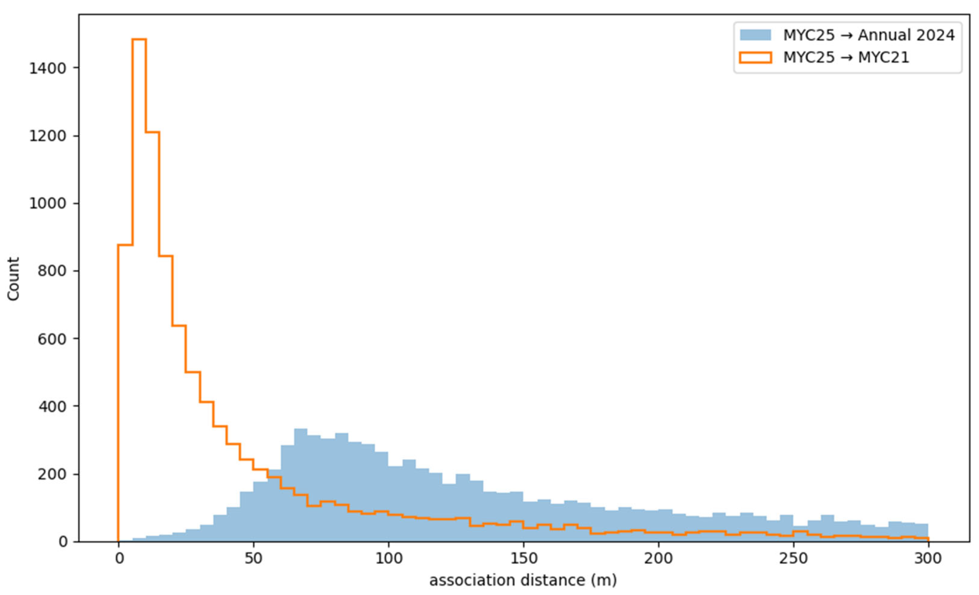
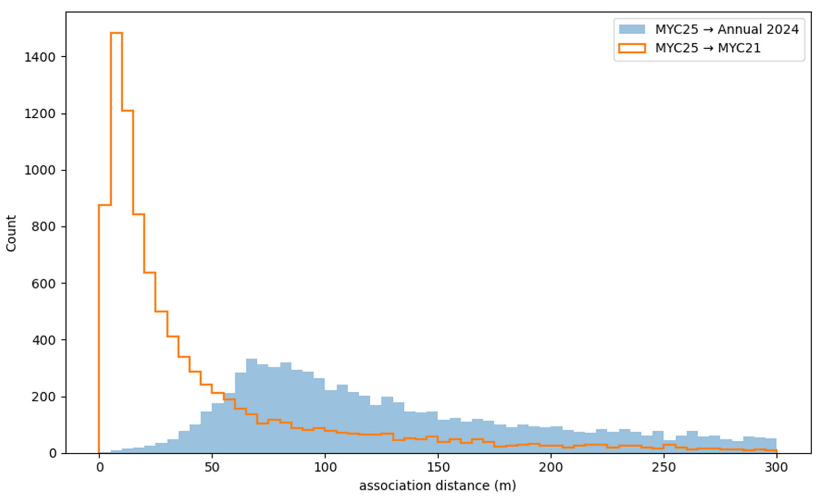
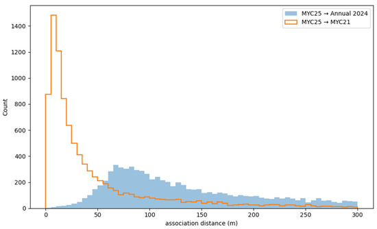
The MYC25 flare catalog demonstrates a high degree of spatial consistency when compared with the legacy MYC22 IR emitters catalog. A nearest neighbor cross-match between the catalogs, using a conservative 300 m association threshold, reveals small positional offsets between common sources. The analysis finds a median centroid separation of 22 m. The distribution of these offsets is tight: 68% of matched pairs (R68) are separated by less than 42 m, and 95% (P95) by less than 182 m. These small cross-catalog residuals confirm that MYC25 achieves high localization precision, with typical offsets below 50 m (Figure 14). Because these are catalog-to-catalog separations for mostly unknown exact locations of the flare stacks on the ground, they reflect combined positional uncertainty; the MYC22-referenced values provide the tighter and likely more representative proxy for the intrinsic MYC25 centroid precision, which is an order of magnitude finer than VIIRS M-band pixel footprint). The achieved flare localization accuracy aligns precisely with the 75 m theoretical performance limit reported for terrain-corrected VIIRS M-band geolocation [24].
Figure 14.
Nearest neighbor association distance between the MYC25 and legacy MYC22, Annual 2024 catalogs (distance threshold ≤ 300 m). The MYC25 to MYC22 curve is sharply concentrated at small offsets, indicating tight cross-catalog localization, whereas the broader MYC25 to Annual 2024 distribution reflects less precise watershed feature-based centroids in Annual 2024.
The spatial definition of MYC sites differs from the Annual catalog. Annual products rely on watershed “features” used as proxy geometries for flare locations. MYC instead performs super-resolution unmixing within these features, where centroids are inferred directly from the dense symmetrical detection clusters, which sharpens localization and resolves multiple, closely spaced stacks that would otherwise be merged. The resulting site footprints are compact around each emitter and exhibit tighter positional uncertainty than feature-based centroids (Figure 14).
To quantify the algorithm’s ability to resolve closely spaced sources, we analyzed instances where a single source in the lower-resolution Annual 2024 catalog was resolved into multiple distinct emitters in MYC25. For the 244 such “split” sources, we calculated the nearest-neighbor distance between the newly resolved MYC25 centroids. The resulting distribution (Figure 15) shows a 5th percentile separation (P5) of 371 m, a median (P50) of 682 m and a 95th percentile (P95) of 1031 m. This turns the abstract notion of “super-resolution” into a measured separability scale. If MYC25 routinely splits Annual features into two or more emitters 400–700 m apart, then separations in that range are resolvable in practice.
Figure 15.
Empirical spacing of stacks that MYC25 actually resolved inside sites that the Annual catalog considers as one feature.
In summary, the MYC25 catalog demonstrates both high-precision localization and effective source separation. Cross-comparison with the legacy MYC22 catalog shows a typical positional precision of ~42 m (R68). Furthermore, empirical analysis shows the catalog can resolve distinct, adjacent sources separated by as little as ~400 m, achieving a median separation distance of ~700 m among resolved pairs in complex facilities.
Localization accuracy was independently validated by Kevin Galvin (Stanford University, Energy Science and Engineering, Doerr School of Sustainability, personal communication, 2025) using high-resolution satellite imagery for sites where a single flare stack could be unambiguously identified. After merging overlapping cluster zones and filtering for isolated emitters, 28 validation samples were retained. Of these, 23 MYC25 centroids fell within 100 m of the flare-stack base, with a mean offset of 60 m. By comparison, only 5 of the corresponding Annual 2024 centroids were within 100 m, with a mean offset of 175 m. These results demonstrate that MYC25 not only improves sensitivity but also provides substantially higher geolocation precision, typically on the order of ~50–100 m, consistent with the expected performance of terrain-corrected VIIRS M-band geolocation. Taken together, the independent validation confirms that the MYC25 methodology delivers significant gains in both detection completeness and positional accuracy relative to the annual catalogs.
4. Discussion
4.1. Detectability of Downstream Flares from LNG Terminals
Flaring associated with LNG terminals from liquefaction trains, storage tanks, vapor handling, or regasification units has implications for climate forcing, local air quality and operational safety. Detecting and continuously monitoring this flaring is essential to quantify real-world emissions, verify compliance with regulatory standards and prioritize mitigation actions. Satellite infrared observations enable global monitoring of flare activity with consistent detection physics, but facility-level attribution depends on accurate geospatial anchoring of infrastructure. LNG sites frequently span kilometers from jetties to process areas; terminal-level metadata often pins a jetty or administrative centroid rather than the combustion source. Without addressing this geometric bias, detection rates can be understated and misinterpreted as technology limitations rather than LNG catalog anchoring artifacts. Minet et al. [25] compile a global set of LNG export facilities and, using VNF detections, show that flaring is widespread but highly heterogeneous across plants and countries with strong temporal variability.
We assessed flare detectability at LNG facilities by spatially linking Global Energy Monitor (GEM) LNG records [26] to an IR-based flare catalog MYC25. To target sites where routine flaring is expected, we restricted GEM list to operational liquefaction terminals, then deduplicated to one representative per terminal. Detectability was defined by the distance from the terminal anchor to the nearest MYC25 emitter within a ≤1 km radius.
A targeted quality-control pass using HRD satellite imagery showed that all terminals remaining >5 km from the nearest MYC25 emitter were mis-anchored at jetties/offices in GEM except one case (T0496 Risavika LNG Terminal at 58.9237N, 5.5761E), which we reclassified using HRD satellite image as regasification/storage (no visible flare stack). Removing these entries from the liquefaction denominator yields complete coverage: 100% of the total 46 LNG liquefaction terminals are present in MYC25.
Localization statistics computed on LNG terminals show a tight, sub-kilometer distribution of terminal to flare distances, with a single >1 km offset (T0216, Corpus Christi LNG Terminal at 27.9135N, 97.2866W) that reflects residual anchoring difference on the largest coastal site. Most liquefaction terminals lie well within a kilometer of the nearest VNF detections cluster, consistent with persistent flaring at the trains rather than at distant marine berths. These results indicate that MYC25 provides near-complete detectability of active LNG liquefaction complexes.
4.2. Multiyear Catalog Updates
To maintain the MYC25 catalog up-to-date, a quarterly update cycle has been established. Each update incorporates both definitive and near-real-time VIIRS detections from all the available satellites to identify new persistent IR emitters and verify activity changes among existing sites. The update employs a “lightweight” version of the full MYC detection algorithm retaining its super-resolution localization, post-processing cleaning and AI-assisted flare classification.
For each quarter, we build an N-detection raster on the same latitude–longitude grid used by MYC25. To suppress already inventoried emitters, we apply spatial masks derived from MYC25 bubble-vector footprints, effectively “punching holes” in the raster and retaining only novel activity outside known site bounds. On the residual (“punched”) raster we delineate candidate sources with watershed segmentation, which gives new areas with potential emitters. Within each new waterpixel, we run variational Bayesian Gaussian-mixture clustering. For every centroid we compute mean temperature Tmean, detection count Ndtct and cross-check against prior version of MYC and Annual inventories. Newly detected IR emitters with Tmean > 1300 K are flagged for AI-assisted classification (upstream, downstream, industrial, biomass burning, unknown) and expert review; cooler sources are retained with provisional labels. This algorithm preserves MYC’s spatial precision and reproducibility while enabling quarterly updates focused on new gas flares.
For the April–July 2025 update period, we have identified 1625 new IR emitters (Figure 16), among which 465 exhibit mean temperatures above 1500 K and an additional 80 above 1300 K (Figure 17). The temperature histogram shows a bimodal distribution, with a dominant population of cooler (800–1200 K) emitters often associated with combustion or processing heat sources and a distinct tail of hotter sources exceeding 1500 K, consistent with high-temperature flaring activity. This update highlights a continuing emergence of new high temperature emitters, particularly in North America, the Middle East and China, where both upstream oil production growth and industrial expansion contribute to flare proliferation.
Figure 16.
Global distribution of IR emitters from the quarterly update, by mean temperature Tmean.
Figure 17.
Temperature distribution of newly detected IR emitters (April–July 2025).
4.3. Impact on the Regional Estimates of Flared Gas Volumes
The transition to the MYC25 catalog for estimating flared gas volumes introduces significant updates to the methodologies used in the Annual 2024 catalog, impacting country and regional billion cubic meter (BCM) estimates. This section evaluates the implications of adopting MYC25 for Annual flaring reports, focusing on shifts in country and regional totals and the underlying drivers of these changes through a cross-match of MYC25 against the Annual 2024 catalog using the Cedigaz calibration used in the current 2025 World Bank flaring report [11].
Cross-matching between the upstream flares in Annual 2024 and MYC25 catalogs was performed based on spatial proximity at 500 m. Matches were categorized as follows:
- -
- 1:1: A direct correspondence between one Annual site and one MYC25 site.
- -
- Splits: Either one Annual site disaggregates into multiple MYC25 sites (1–many) or multiple Annual sites consolidate into one MYC25 site (many–1).
- -
- Missing: An Annual site lacks an MYC25 counterpart within the specified radius, contributing zero to MYC25 totals.
- -
- New: MYC25 sites without an Annual counterpart, included in MYC25 totals but not in Annual reconciliation.
Site-level differences (∆ = MYC25 − Annual) were aggregated to derive country and regional impacts. Histograms in Figure 18 summarize the country-level effect of switching from the Annual to MYC25 catalogs on 2024 BCM estimates (top flaring countries per [11]). Bars show the combined change Δ (MYC − Annual), decomposed into 1:1, splits and merges, missing (Annual-only) and new (MYC-only) flares.
Figure 18.
Country-level impact of switching from Annual to MYC25 for BCM estimates in 2024. Six panels (2 × 3) show the combined change in flared gas (Δ BCM = MYC − Annual) and its decomposition for the largest-flaring countries in 2024 (ordered to Mexico, inclusive). Top-left: Combined absolute Δ; top-right: relative Δ (% of Annual). Bottom panels: component contributions—1:1, split Δ (1:many plus folded merges/many-to-many), missing Δ (Annual-only, typically glow/overspill removed by MYC) and new Δ (MYC-only detections). Positive bars indicate increases in MYC25; negative bars indicate reductions relative to Annual.
Across most high-volume producers, the net effect is an increase in reported flaring because MYC’s higher detection sensitivity introduces additional, previously uncounted sites (new Δ on the charts). In contrast, several countries with very large, bright flare complexes, most notably the Russian Federation and to a lesser extent Venezuela and Mexico, show reductions driven by improved selectivity in MYC.
The especially large negative Δ for Russia is concentrated in the 1:1 and split terms and is consistent with an artifact of the Annual segmentation in high latitudes: the regular latitude–longitude grid distorts cell geometry toward the poles, inflating attraction basins for very large flares. MYC’s boundary modeling and cross-sensor checks correct much of this, yielding lower, and likely more realistic, flared volume estimates at those locations.
Figure 19 illustrates this artifact for high latitude flares, when the geospatial relationship between detections is governed not just by cluster centroids but also by the spatial extent of their VNF attraction basins. In this northern Russia example (68.1707N, 55.3710E), applying a 500 m radius yields a 1:1 match between the Annual site and the eastern MYC flare, while the western MYC25 flare is classified as “new.” However, when the attraction boundaries are overlaid, the Annual basin overlaps both MYC25 bubbles, which is consistent with a 1:many split interpretation. This case shows that centroid proximity can oversimplify true spatial influence, making the classification sensitive to the chosen association radius and potentially mislabeling splits/merges when boundary geometry is ignored.
Figure 19.
Centroid association vs. boundary-aware matching for two adjacent flares (68.1707N, 55.3710E, northern Russia). High-resolution imagery with the Annual catalog’s watershed-style attraction contour (red) and the MYC25 catalog’s Gaussian “bubble” polygons (amber) overlaid. Same color stars mark Annual and MYC flare centroids.
The ability to resolve a continuous and internally consistent time history of flaring is particularly important for identifying shifts in production practices and assessing compliance with national reduction targets. Figure 20 illustrates the temporal evolution of upstream flaring volumes for the nine highest-flaring countries, showing how the MYC25-based, Cedigaz-calibrated estimates capture both long-term trends and year-to-year variability. Although the overall change in BCM estimates remain within the VNF country-level rates accuracy −8% to +29% reported in [27], the bar patterns in Figure 18 indicate that moving from Annual to MYC25 addresses only one component of a broader methodological update. The flare catalog transition should be paired with (i) replacing the “Cedigaz” calibration with the updated “John Zink” calibration [6] for instantaneous flowrate estimates at satellite overpass and (ii) adopting a more advanced duty-cycle averaging scheme that captures temporal intermittency. In combination, these changes align detection, calibration and time-averaging to deliver more robust and geographically consistent BCM estimates.
Figure 20.
Annual upstream flaring volumes (Billion Cubic Meters, BCM) for the nine highest-flaring countries during 2012–2025. Flare locations and time series are derived from the MYC25 catalog, and flared-gas volumes are estimated using Cedigaz-calibrated VNF radiance-to-volume conversions.
5. Conclusions
This study presents MYC25, a multiyear super-resolution flare catalog that moves global flare monitoring beyond the limitations of single-year, feature-based inventories. By resolving individual flare stacks and maintaining consistent spatial attribution across years, MYC25 establishes a stable observational basis for analyzing gas flaring at facility, regional, and national scales.
MYC25 demonstrates clear gains in both sensitivity and selectivity. Small and intermittent flares that are systematically lost in annual aggregation are recovered, while spurious detections caused by atmospheric glow around very large flares are substantially reduced. Independent spatial validation indicates localization on the order of ~50 m and reliable separation of neighboring emitters at distances of 400–700 m, consistent with the intrinsic geolocation capability of the VIIRS M-band imager. At LNG liquefaction facilities with independently known locations, MYC25 achieves complete detectability, providing confidence in its performance for well-defined industrial classes. These improvements yield continuous, site-level flaring histories that remain stable under changes in operating intensity and configuration.
Flare attribution in MYC25 combines established catalog provenance with AI-assisted expert interpretation. A multimodal large language model is used to synthesize geospatial context, imagery, and detection statistics into transparent classification suggestions for previously unmapped sites, while final assignments remain expert-validated. This approach accelerates attribution at global scale while preserving traceability and quality control.
Reconciliation at the country level shows systematic effects that are physically interpretable. Many producing regions exhibit higher total flaring volumes due to the inclusion of previously unresolved sites, while regions dominated by very large flares show reductions where annual products inflated affected areas or misattributed glow. These results demonstrate that multiyear, super-resolved catalogs are not merely refinements of annual products but represent a necessary methodological shift.
After more than 13 years of observations from three VIIRS instruments, the limitations of early flare monitoring strategies are now clear. Data fusion from all three VIIRS satellites, improved localization, explicit treatment of intermittency, and calibration against ground-based reference flares are required to produce flaring estimates that are internally consistent, comparable across regions, and suitable for long-term tracking.
Looking ahead, MYC25 provides a robust foundation for policy-relevant applications in methane mitigation and flare monitoring. Its continuous per-site time histories support improved application of flare-efficiency models, reconciliation with bottom-up inventories, and identification of routine, anomalous or emergent flaring behavior. The reproducible global catalog also offers an independent satellite-based evidence base for regulatory monitoring of flare-reduction commitments. The scalable design of MYC25 further enables extension to future VIIRS missions, supporting consistent long-term global surveillance of gas flaring.
Supplementary Materials
The following supporting information can be downloaded at: https://www.mdpi.com/article/10.3390/rs18020314/s1, Figure S1: Nighttime VIIRS DNB and M band image subsets of the Basra flare chain, Southern Iraq; Figure S2: Grayscale VNF 2012-2025 summary detections grid with the flare detection from the 2024 annual flare catalog of a large flare cluster with extensive glow in Venezuela. Locations of detected flares are marked with circles. Note the false flares identified in the glow; Table S1: Known IR emitter tallies by type in MYC22; Table S2. Detection and duty cycle metrics compared for MYC25 and Annual 2024 catalog.
Author Contributions
Conceptualization, C.D.E. and M.Z.; methodology, M.Z.; validation, M.Z., C.D.E., T.G. and G.G.; computational resources, G.G.; data curation, T.G.; writing—original draft preparation, M.Z.; writing—review and editing, M.B., C.D.E. and T.G.; supervision, M.B. All authors have read and agreed to the published version of the manuscript.
Funding
This study was funded by the Oil and Gas Climate Initiative and the World Bank Global Flaring and Methane Reduction (GFMR) program.
Data Availability Statement
The original contributions presented in the study are included in the article, further inquiries can be directed to the corresponding author.
Acknowledgments
The authors acknowledge NASA and NOAA Joint Polar Satellite System (JPSS) for building, flying and operating the VIIRS sensors, providing the highly calibrated satellite data for the study. We are grateful to Huw Martyn Howells and other staff members of the World Bank Global Flaring and Methane Reduction (GFMR) program for their insightful discussions and support in validating the results reported here. We also thank Kevin P. Galvin (Stanford University, Energy Science and Engineering) for conducting an independent validation of MYC25 sensitivity and localization precision and for generously sharing his analysis with the authors.
Conflicts of Interest
The authors declare no conflicts of interest. The funders had no role in the design of the study; in the collection, analyses or interpretation of data; in the writing of the manuscript; or in the decision to publish the results.
References
- Elvidge, C.D.; Ziskin, D.; Baugh, K.E.; Tuttle, B.T.; Ghosh, T.; Pack, D.W.; Erwin, E.H.; Zhizhin, M. A Fifteen Year Record of Global Natural Gas Flaring Derived from Satellite Data. Energies 2009, 2, 595–622. [Google Scholar] [CrossRef]
- Elvidge, C.D.; Baugh, K.E.; Ziskin, D.; Anderson, S.; Ghosh, T. Estimation of Gas Flaring Volumes Using NASA MODIS Fire Detection Products. NGDC Annual Report, 30 December 2010, Revised 8 February 2011. Available online: https://eogdata.mines.edu/interest/flare_docs/NGDC_annual_report_20110209.pdf (accessed on 18 December 2025).
- Anejionu, O.C.D.; Blackburn, G.A.; Whyatt, J.D. Detecting Gas Flares and Estimating Flaring Volumes at Individual Flow Stations Using MODIS Data. Remote Sens. Environ. 2015, 158, 81–94. [Google Scholar] [CrossRef]
- Elvidge, C.D.; Baugh, K.E.; Zhizhin, M.; Hsu, F.-C. Why VIIRS data are superior to DMSP for mapping nighttime lights. In Proceedings of the Asia-Pacific Advanced Network, Daejeon, Republic of Korea, 13–16 January 2013. [Google Scholar] [CrossRef]
- Elvidge, C.D.; Zhizhin, M.; Hsu, F.-C.; Baugh, K.E. VIIRS Nightfire: Satellite Pyrometry at Night. Remote Sens. 2013, 5, 4423–4449. [Google Scholar] [CrossRef]
- Zhizhin, M.; Elvidge, C.D.; Sparks, T.; Ghosh, T.; Bazilian, M.; Hsu, F.-C. An Improved Calibration for Satellite Estimation of Flared Gas Volumes from VIIRS Nighttime Data. Energies 2025, 18, 4765. [Google Scholar] [CrossRef]
- Faruolo, M.; Genzano, N.; Pergola, N.; Marchese, F. The First Global Catalogue of Gas Flaring Sources Derived from a Multi-Temporal Time Series of OLI and MSI Daytime Data: The DAFI v2 Algorithm. Environ. Res. Lett. 2024, 19, 114053. [Google Scholar] [CrossRef]
- Hu, C.; Zhang, X.; Xing, X. An Approach to Detect Gas Flaring Sites Using Sentinel-2 MSI and NOAA-20 VIIRS Images. Int. J. Appl. Earth Obs. Geoinf. 2023, 124, 103534. [Google Scholar] [CrossRef]
- Wu, W.; Liu, Y.; Rogers, B.M. Monitoring Gas Flaring in Texas Using Time-Series Sentinel-2 MSI and Landsat-8 OLI Images. Int. J. Appl. Earth Obs. Geoinf. 2022, 114, 103075. [Google Scholar] [CrossRef]
- Elvidge, C.D.; Zhizhin, M.; Baugh, K.; Hsu, F.-C.; Ghosh, T. Methods for Global Survey of Natural Gas Flaring from Visible Infrared Imaging Radiometer Suite Data. Energies 2016, 9, 14. [Google Scholar] [CrossRef]
- The World Bank, 2025 Global Gas Flaring Tracker Report. Available online: https://www.worldbank.org/en/programs/gasflaringreduction/publication/2025-global-gas-flaring-tracker-report (accessed on 18 November 2025).
- Liu, Y.; Hu, C.; Zhan, W.; Sun, C.; Murch, B.; Ma, L. Identifying Industrial Heat Sources Using Time-Series of the VIIRS Nightfire Product with an Object-Oriented Approach. Remote Sens. Environ. 2018, 204, 347–365. [Google Scholar] [CrossRef]
- Elvidge, C.D.; Zhizhin, M.; Sparks, T.; Ghosh, T.; Pon, S.; Bazilian, M.; Sutton, P.C.; Miller, S.D. Global Satellite Monitoring of Exothermic Industrial Activity via Infrared Emissions. Remote Sens. 2023, 15, 4760. [Google Scholar] [CrossRef]
- Achanta, R.; Shaji, A.; Smith, K.; Lucchi, A.; Fua, P.; Süsstrunk, S. SLIC Superpixels Compared to State-of-the-Art Superpixel Methods. IEEE Trans. Pattern Anal. Mach. Intell. 2012, 34, 2274–2282. [Google Scholar] [CrossRef] [PubMed]
- Vincent, L.; Soille, P. Watersheds in Digital Spaces: An Efficient Algorithm Based on Immersion Simulations. IEEE Trans. Pattern Anal. Mach. Intell. 1991, 13, 583–598. [Google Scholar] [CrossRef]
- Machairas, V.; Faessel, M.; Cárdenas-Peña, D.; Chabardes, T.; Walter, T.; Decencière, E. Waterpixels. IEEE Trans. Image Process. 2015, 24, 3707–3716. [Google Scholar] [CrossRef] [PubMed]
- Soille, P. Morphological Image Analysis: Principles and Applications, 2nd ed.; Springer: Berlin/Heidelberg, Germany, 2003. [Google Scholar] [CrossRef]
- Bishop, C.M. Pattern Recognition and Machine Learning; Springer: New York, NY, USA, 2006. [Google Scholar] [CrossRef]
- Blei, D.M.; Jordan, M.I. Variational Inference for Dirichlet Process Mixtures. Bayesian Anal. 2006, 1, 121–144. [Google Scholar] [CrossRef]
- Aurenhammer, F. Voronoi Diagrams—A Survey of a Fundamental Geometric Data Structure. ACM Comput. Surv. 1991, 23, 345–405. [Google Scholar] [CrossRef]
- Okabe, A.; Boots, B.; Sugihara, K.; Chiu, S.N. Spatial Tessellations: Concepts and Applications of Voronoi Diagrams, 2nd ed.; John Wiley & Sons: Chichester, UK, 2000. [Google Scholar] [CrossRef]
- Emiris, I.Z.; Karavelas, M.I. The Predicates of the Apollonius Diagram: Algorithmic Analysis and Implementation. Comput. Geom. 2006, 33, 18–57. [Google Scholar] [CrossRef]
- Nominatim Developers. Nominatim Manual: Reverse Geocoding. 2025. Available online: https://nominatim.org/release-docs/latest/api/Reverse/ (accessed on 18 November 2025).
- Lin, G.; Wolfe, R.E.; Zhang, P.; Dellomo, J.J.; Tan, B. Ten Years of VIIRS On-Orbit Geolocation Calibration and Performance. Remote Sens. 2022, 14, 4212. [Google Scholar] [CrossRef]
- Minet, L.; Azargoshasbi, F.; Franklin, M.; Schade, G.W.; McGregor, M.J.; McInnes, K.; Takaro, T.K. Analysis of Flaring Activity at Liquefied Natural Gas (LNG) Export Facilities Worldwide. Environ. Sci. Technol. 2025, 59, 20357–20366. [Google Scholar] [CrossRef] [PubMed]
- Global Energy Monitor. Available online: https://globalenergymonitor.org/projects/global-gas-infrastructure-tracker/ggit-terminals-dashboard/ (accessed on 18 November 2025).
- Zhang, Z.; Sherwin, E.D.; Brandt, A.R. Estimating Global Oilfield-Specific Flaring with Uncertainty Using a Detailed Geographic Database of Oil and Gas Fields. Environ. Res. Lett. 2021, 16, 124039. [Google Scholar] [CrossRef]
Disclaimer/Publisher’s Note: The statements, opinions and data contained in all publications are solely those of the individual author(s) and contributor(s) and not of MDPI and/or the editor(s). MDPI and/or the editor(s) disclaim responsibility for any injury to people or property resulting from any ideas, methods, instructions or products referred to in the content. |
© 2026 by the authors. Licensee MDPI, Basel, Switzerland. This article is an open access article distributed under the terms and conditions of the Creative Commons Attribution (CC BY) license.



















