Sign in to use this feature.

Years

Between: -

Subjects

remove_circle_outline
remove_circle_outline
remove_circle_outline
remove_circle_outline
remove_circle_outline
remove_circle_outline
remove_circle_outline
remove_circle_outline
remove_circle_outline

Journals

remove_circle_outline
remove_circle_outline
remove_circle_outline
remove_circle_outline
remove_circle_outline
remove_circle_outline
remove_circle_outline
remove_circle_outline
remove_circle_outline
remove_circle_outline

Article Types

Countries / Regions

remove_circle_outline
remove_circle_outline
remove_circle_outline
remove_circle_outline
remove_circle_outline

Search Results (593)

Search Parameters:
Keywords = ascorbic acid detection

Order results
Result details
Results per page
Select all
Export citation of selected articles as:
14 pages, 2074 KB  
Article
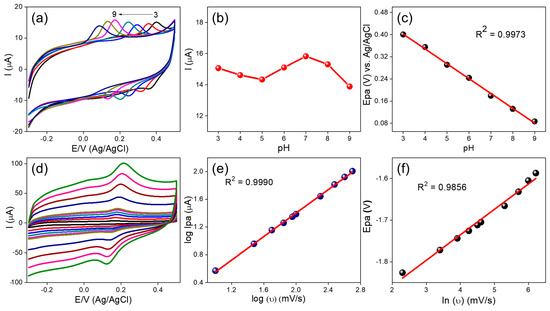
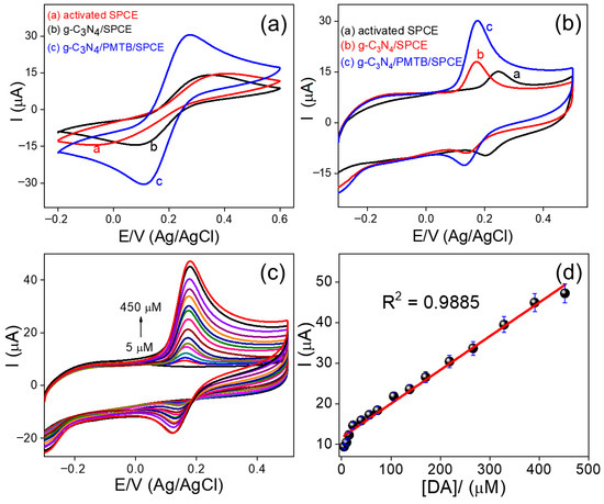
Metal-Free Electrochemical Dopamine Sensing Using a g-C3N4/Polymethyl Thymol Blue Nanohybrid
by Sankar Sekar, Sejoon Lee, Sutha Sadhasivam, Kumar Sangeetha Selvan, Saravanan Sekar, Youngmin Lee, Pugazhendi Ilanchezhiyan, Seung-Cheol Chang and Ramalingam Manikandan
Biosensors 2026, 16(2), 124; https://doi.org/10.3390/bios16020124 - 17 Feb 2026
Abstract
We report a highly sensitive and interference-free electrochemical sensor for dopamine (DA) detection in the presence of uric acid (UA) and ascorbic acid (AA), based on an in situ deposited graphitic carbon nitride (g-C3N4) and polymethyl thymol blue (PMTB) [...] Read more.
We report a highly sensitive and interference-free electrochemical sensor for dopamine (DA) detection in the presence of uric acid (UA) and ascorbic acid (AA), based on an in situ deposited graphitic carbon nitride (g-C3N4) and polymethyl thymol blue (PMTB) nanohybrid modified screen-printed carbon electrode (SPCE). The as-fabricated g-C3N4/PMTB/SPCE was thoroughly characterized using various physicochemical techniques. The electrochemical behavior of the modified electrode was systematically investigated by cyclic voltammetry (CV) and differential pulse voltammetry (DPV). The g-C3N4/PMTB/SPCE exhibited excellent electrocatalytic activity toward the selective oxidation of DA under optimized experimental conditions, including pH and scan rate. Interference-free detection of DA in the presence of AA and UA was achieved using DPV and chronoamperometric methods, revealing a wide linear concentration range, an ultralow limit of detection, and high sensitivity. Furthermore, the practical applicability of the proposed sensor was validated by determining DA in artificial biofluid samples, including blood serum, and urine. The recovery results obtained good agreement with those obtained using high-performance liquid chromatography (HPLC), confirming the reliability and accuracy of the developed sensing platform. Full article
(This article belongs to the Special Issue Electrochemical Biosensors for Environmental and Food Safety)
Show Figures

Figure 1

22 pages, 7658 KB  
Article
Metabolite Profiling of Leaves of Irises and Cinquefoils of Hydrophytic and Mesophytic Nature
by Sergey A. Vanisov, Pavel D. Smirnov, Roman K. Puzanskiy, Oleg S. Butorlin, Alexey L. Shavarda, Maria F. Shishova and Vladislav V. Yemelyanov
Int. J. Mol. Sci. 2026, 27(4), 1814; https://doi.org/10.3390/ijms27041814 - 13 Feb 2026
Viewed by 169
Abstract
Plants living in wetland environments (hydrophytes) have developed metabolic adaptations to cope with hypoxia. However, the specific metabolic signatures underlying this adaptation in naturally occurring hydrophytes, compared to their mesophytic relatives, remain insufficiently explored. GC-MS was used to carry out a comparative metabolic [...] Read more.
Plants living in wetland environments (hydrophytes) have developed metabolic adaptations to cope with hypoxia. However, the specific metabolic signatures underlying this adaptation in naturally occurring hydrophytes, compared to their mesophytic relatives, remain insufficiently explored. GC-MS was used to carry out a comparative metabolic profiling of leaves from two pairs of closely related species (the hydrophytes Iris pseudacorus and Comarum palustre versus the mesophytes I. sibirica and Argentina anserina). In total, approximately 260 compounds were detected, of which roughly 100 were annotated. Using Principal Component Analysis, we revealed that the primary source of metabolic variation was phylogenetic (genus/tribe affiliation), while a secondary gradient correlated with ecological adaptation to submergence. A common adaptive metabolic signature of hydrophytes was identified, including the accumulation of dicarboxylic acids from Krebs cycle (succinate, fumarate) and glycolytic metabolites (pyruvate), suggesting a restructuring of energy metabolism under oxygen deficiency. Furthermore, hydrophytes, particularly I. pseudacorus, accumulated higher levels of soluble sugars (sucrose, fructose, glucose) and amino acids, thereby supporting energy supply and alternative NAD(P)H reoxidation pathways. Species-specific differences in the accumulation of antioxidants (e.g., flavonoids, ascorbate) were also observed, indicating diverse strategies for managing oxidative stress. Our findings contribute to identifying a “metabolic fingerprint” associated with waterlogging tolerance. Full article
(This article belongs to the Special Issue Plant Physiology and Molecular Nutrition: 2nd Edition)
Show Figures

Graphical abstract

13 pages, 1774 KB  
Article
Portable Point-of-Care Uric Acid Detection System with Cloud-Based Data Analysis and Patient Monitoring
by Yardnapar Parcharoen, Pratya Phetkate, Kanon Jatuworapruk, Calin Trif and Chiravoot Pechyen
Biosensors 2026, 16(2), 76; https://doi.org/10.3390/bios16020076 - 27 Jan 2026
Viewed by 312
Abstract
Uric acid is closely related to diseases such as gout, kidney failure, and metabolic disorders. A conventional method for measuring uric acid over 24 h is time intensive and cumbersome for patients who have to take samples to the hospital. At present, hospitals [...] Read more.
Uric acid is closely related to diseases such as gout, kidney failure, and metabolic disorders. A conventional method for measuring uric acid over 24 h is time intensive and cumbersome for patients who have to take samples to the hospital. At present, hospitals use only laboratory instruments to determine 24-h uric acid concentrations in the urine. This study presents the proof-of-concept of a portable point-of-care tool called Uricia, designed to improve the quality of life of patients monitoring uric acid. Spectrophotometry was performed at a fixed wavelength of 295 nm. The urine sample contained within the cuvette absorbs ultraviolet light, with uric acid specifically responsible for this absorption, thereby allowing the device to measure its concentration. An internal calibration algorithm was used to accommodate the nonlinear optical response of Uricia and was calibrated to a benchtop GENESYS 10S UV–Vis spectrophotometer. The experiments further evaluated potential urinary interferences, revealing that while most constituents had minimal impact, ascorbic acid demonstrated the highest interference, contributing up to 15% of the total signal at high physiological concentrations. This device and the corresponding spectrophotometry method revealed that high concentrations of uric acid precipitated insoluble crystals. A dilution set to an alkali solution vial to be premixed and dissolve the uric acid crystals was added, increasing the detection window to 10 mg/dL, with an LOD of 0.0232 mg/dL and LOQ of 0.0702 mg/dL. Cloud-based data measurement enables spot analysis, which is meant to provide insight into patient status development. These results validated the technical architecture of a controlled matrix for measuring uric acid. Full article
(This article belongs to the Section Biosensors and Healthcare)
Show Figures

Figure 1

9 pages, 1658 KB  
Article
A Cu(II)-Based Fluorescent Probe for Carbon Monoxide, Nap-BC-Cu(II), Does Not Selectively Detect Carbon Monoxide
by Dongning Liu, Hongliang Li, Shivanagababu Challa and Binghe Wang
Molecules 2026, 31(3), 415; https://doi.org/10.3390/molecules31030415 - 26 Jan 2026
Viewed by 187
Abstract
Reports of carbon monoxide (CO) pharmacology have spurred intense interest in developing its fluorescent probes with much success. However, one unfortunate event in this area is the wide-spread use of chemically reactive metal/BH3-CO complexes as “CO-releasing molecules” or CORMs that do [...] Read more.
Reports of carbon monoxide (CO) pharmacology have spurred intense interest in developing its fluorescent probes with much success. However, one unfortunate event in this area is the wide-spread use of chemically reactive metal/BH3-CO complexes as “CO-releasing molecules” or CORMs that do not produce CO or produce CO in an idiosyncratic fashion. Consequently, a large number of reported fluorescent “CO probes” only respond to the CORM used, but not to CO. Though most of these issues have been clarified in the literature, there is a surprising recent publication on a Cu(II)-based fluorescent “CO probe,” Nap-BC-Cu(II), relying on undefined chemical principles. We reassessed the ability for Nap-BC-Cu(II) to detect CO and found no evidence for Nap-BC-Cu(II) to selectively detect CO at even non-physiologically relevant high concentrations (high micromolar) of CO. Marginal effects were observed only when CO was continuously bubbled through the “probe” solution for 15 min. Further, Nap-BC-Cu(II) was found to be sensitive to ascorbic acid and cysteine. Overall, this probe did not respond to CO in a pathophysiologically relevant context. Our findings do not support the notion of Nap-BC-Cu(II) being a CO probe for studying CO biology. We hope this will be the last of this saga of “CO probes” that do not afford selective detection of CO, largely due to the confusions caused by using chemically reactive CORMs. Full article
(This article belongs to the Section Organic Chemistry)
Show Figures

Figure 1

17 pages, 1712 KB  
Article
Effects of Exogenous Phosphorus and Hydrogen Peroxide on Wheat Root Architecture
by Lei Chen, Lei Zhou, Yuwei Zhang and Hong Wang
Plants 2026, 15(2), 253; https://doi.org/10.3390/plants15020253 - 13 Jan 2026
Viewed by 393
Abstract
Plant root growth and architectural modifications are well-documented responses to phosphorous (P) starvation. The spatiotemporal dynamics of hydrogen peroxide (H2O2) in mediating root development under P deficiency, especially in cereal crops like wheat, remain insufficiently understood. A nutrient solution [...] Read more.
Plant root growth and architectural modifications are well-documented responses to phosphorous (P) starvation. The spatiotemporal dynamics of hydrogen peroxide (H2O2) in mediating root development under P deficiency, especially in cereal crops like wheat, remain insufficiently understood. A nutrient solution experiment was conducted to grow two varieties of wheat, including SM15 and HG35, with the treatments of 0.005 and 0.25 mmol/L P supply. Exogenous H2O2 and its scavenger ascorbic acid (AsA), and a NADPH oxidase inhibitor diphenylene iodonium (DPI) were added. The distribution of reactive oxygen species (ROS) in roots were detected by chemical staining and fluorescent probe technology. Low P supply did not change the root dry weight and total root length, while it decreased the lateral root density. The increase in the primary root and lateral root growth in P-starved wheat coincided with more ROS in the cell wall of the elongation zone. ROS production and oxidative enzyme activity of P-starved roots increased significantly. Low H2O2 induced the formation of lateral roots and significantly increased lateral root density under low P conditions. High H2O2 significantly reduced lateral root density but stimulated the nodal root formation. Exogenous AsA or DPI addition reversed the promotion of root growth imposed under the low P treatment or H2O2 addition. Furthermore, exogenous H2O2 treatment reduced the inhibitory effect of the DPI treatment on nodal root formation. It is suggested that the involvement of ROS in the regulation of wheat root system architecture under low P supply. Full article
Show Figures

Figure 1

31 pages, 1574 KB  
Review
Nanoparticle-Based Assays for Antioxidant Capacity Determination
by Jolanta Flieger, Natalia Żuk, Ewelina Grabias-Blicharz, Piotr Puźniak and Wojciech Flieger
Antioxidants 2025, 14(12), 1506; https://doi.org/10.3390/antiox14121506 - 15 Dec 2025
Cited by 1 | Viewed by 883
Abstract
Thanks to both endogenous and exogenous antioxidants (AOs), the antioxidant defense system ensures redox homeostasis, which is crucial for protecting the body from oxidative stress and maintaining overall health. The food industry also exploits the antioxidant properties to prevent or delay the oxidation [...] Read more.
Thanks to both endogenous and exogenous antioxidants (AOs), the antioxidant defense system ensures redox homeostasis, which is crucial for protecting the body from oxidative stress and maintaining overall health. The food industry also exploits the antioxidant properties to prevent or delay the oxidation of other molecules during processing and storage. There are many classical methods for assessing antioxidant capacity/activity, which are based on mechanisms such as hydrogen atom transfer (HAT), single electron transfer (SET), electron transfer with proton conjugation (HAT/SET mixed mode assays) or the chelation of selected transition metal ions (e.g., Fe2+ or Cu1+). The antioxidant capacity (AOxC) index value can be expressed in terms of standard AOs (e.g., Trolox or ascorbic acid) equivalents, enabling different products to be compared. However, there is currently no standardized method for measuring AOxC. Nanoparticle sensors offer a new approach to assessing antioxidant status and can be used to analyze environmental samples, plant extracts, foodstuffs, dietary supplements and clinical samples. This review summarizes the available information on nanoparticle sensors as tools for assessing antioxidant status. Particular attention has been paid to nanoparticles (with a size of less than 100 nm), including silver (AgNPs), gold (AuNPs), cerium oxide (CeONPs) and other metal oxide nanoparticles, as well as nanozymes. Nanozymes belong to an advanced class of nanomaterials that mimic natural enzymes due to their catalytic properties and constitute a novel signal transduction strategy in colorimetric and absorption sensors based on the localized surface plasmon resonance (LSPR) band. Other potential AOxC sensors include quantum dots (QDs, <10 nm), which are particularly useful for the sensitive detection of specific antioxidants (e.g., GSH, AA and baicalein) and can achieve very good limits of detection (LOD). QDs and metallic nanoparticles (MNPs) operate on different principles to evaluate AOxC. MNPs rely on optical changes resulting from LSPR, which are monitored as changes in color or absorbance during synthesis, growth or aggregation. QDs, on the other hand, primarily utilize changes in fluorescence. This review aims to demonstrate that, thanks to its simplicity, speed, small sample volumes and relatively inexpensive instrumentation, nanoparticle-based AOxC assessment is a useful alternative to classical approaches and can be tailored to the desired aim and analytes. Full article
Show Figures

Figure 1

16 pages, 1381 KB  
Article
Physicochemical Characteristics, Phenolic Profile, Antioxidant Potential, and Antimicrobial Activity of Bulgarian Summer Savory (Satureja hortensis L.)
by Yulian Tumbarski, Magdalena Stoyanova, Petya Ivanova, Albena Parzhanova and Krastena Nikolova
Curr. Issues Mol. Biol. 2025, 47(12), 1030; https://doi.org/10.3390/cimb47121030 - 10 Dec 2025
Viewed by 430
Abstract
Summer savory (Satureja hortensis L.) is an annual herbaceous plant belonging to the Lamiaceae family and widely used as a culinary spice. The present research aimed to investigate the physicochemical characteristics, phenolic profile, antioxidant potential, and antimicrobial activity of ten summer savory [...] Read more.
Summer savory (Satureja hortensis L.) is an annual herbaceous plant belonging to the Lamiaceae family and widely used as a culinary spice. The present research aimed to investigate the physicochemical characteristics, phenolic profile, antioxidant potential, and antimicrobial activity of ten summer savory samples (dried leaves and flowers) grown in different regions of Bulgaria. The physicochemical analyses of the dried plant material demonstrated that the ash content varied from 19.51 to 26.92%, proteins from 16.25 to 22.78%, and carbohydrates from 5.37 to 10.01%. The values of the total phenolic content (TPC) ranged from 1.10 to 4.83 mg GAE/g dw (aqueous savory extracts—ASE) and from 3.98 to 9.54 mg GAE/g dw (methanolic savory extracts—MSE). The values of the total flavonoid content (TFC) were from 0.08 to 0.29 mg QE/g dw (ASE) and from 0.73 to 1.23 mg QE/g dw (MSE). The investigated samples exhibited significant antioxidant activity, with values determined by the DPPH method varying between 35.01 and 59.93 mM TE/g dw (ASE) and between 51.75 and 91.85 mM TE/g dw (MSE). The values by the FRAP method ranged from 74.49 to 134.85 µmol Fe2+/g dw (ASE) and from 108.20 to 215.48 µmol Fe2+/g dw (MSE). The high-performance liquid chromatography (HPLC) analysis showed that rosmarinic acid was predominant in all tested samples (3.54–5.90 mg/g dw), whereas ferulic, caffeic and p-coumaric acids were detected in trace amounts. The HPLC analysis of organic acids revealed that ascorbic acid was present in higher concentration in all samples (0.35–0.98 mg/g dw) compared to malic acid, which was found in trace amounts. The antimicrobial activity test demonstrated that methanolic savory extracts showed moderate to high inhibitory activity against most of the microorganisms used (most pronounced against Staphylococcus aureus 6538P, with diameters of the inhibition zones from 20 to 30 mm), while aqueous savory extracts exhibited antifungal rather than antibacterial activity. Based on the results obtained, we can conclude that savory is a plant with potential for use in the pharmaceutical and agricultural sectors, in addition to its culinary applications. Full article
(This article belongs to the Section Bioorganic Chemistry and Medicinal Chemistry)
Show Figures

Figure 1

17 pages, 6086 KB  
Article
Laser-Trimmed, Surface-Functionalized Four-Bore CFMs Enable Co-Detection of Neurochemicals and Toxic Metal Ions
by Navoda Udawaththa, Ashley Daninger, Noel Manring, Valentina Guillen, Gene Koifman and Pavithra Pathirathna
Chemosensors 2025, 13(12), 423; https://doi.org/10.3390/chemosensors13120423 - 6 Dec 2025
Viewed by 582
Abstract
Simultaneous detection of multiple neurochemicals and toxic metal ions in real time remains a major analytical challenge in neurochemistry and environmental sensing. In this study, we present a novel, biocompatible, laser-trimmed four-bore carbon fiber microelectrode (CFM) platform capable of ultra-fast, multi-analyte detection using [...] Read more.
Simultaneous detection of multiple neurochemicals and toxic metal ions in real time remains a major analytical challenge in neurochemistry and environmental sensing. In this study, we present a novel, biocompatible, laser-trimmed four-bore carbon fiber microelectrode (CFM) platform capable of ultra-fast, multi-analyte detection using fast-scan cyclic voltammetry (FSCV). Each of the four carbon fibers, spaced nanometers apart within a glass housing, was independently functionalized and addressed with a distinct waveform, allowing the selective and concurrent detection of four analytes without electrical crosstalk. To validate the system, we developed two electrochemical detection paradigms: (1) selective electrodeposition of gold nanoparticles (AuNPs) on one fiber for enhanced detection of cadmium (Cd2+), alongside dopamine (DA), arsenic (As3+), and copper (Cu2+); and (2) Nafion-modification of two diagonally opposing fibers for discriminating DA and serotonin (5-HT) from their interferents, ascorbic acid (AA) and 5-hydroxyindoleacetic acid (5-HIAA), respectively. Scanning electron microscopy and energy-dispersive X-ray spectroscopy analysis confirmed surface modifications and the spatial localization of electrodeposited materials. Electrochemical characterization in tris buffer, which mimics artificial cerebrospinal fluid, demonstrated enhanced analytical performance. Compared to single-bore CFMs, the four-bore design yielded a 28% increase in sensitivity for Cd2+ (147.62 to 190.02 nA µM−1), 12% increase for DA (10.785 to 12.767 nA µM−1), and enabled detection of As3+ with a sensitivity of 0.844 nA µM−1, which was not possible with single-bore electrodes within the mixture of analytes. Limits of detection improved twofold for both DA (0.025 µM) and Cd2+ (0.005 µM), while As3+ was detectable down to 0.1 µM. In neurotransmitter-interference studies, sensitivity increased by 39% for DA and 33% for 5-HT with four-bore CFMs compared to single-bore CFMs, despite modest Nafion diffusion onto adjacent fibers. Overall, our four-bore CFM system enables rapid, selective, and multiplexed detection of chemically diverse analytes in a single scan, providing a highly promising platform for real-time neurochemical monitoring, environmental toxicology, and future integration with AI-based in vivo calibration models. Full article
(This article belongs to the Special Issue Green Electrochemical Sensors for Trace Heavy Metal Detection)
Show Figures

Graphical abstract

18 pages, 4076 KB  
Article
Preparation and Mechanism of pH-Responsive Cellulose Fabric via HRP-Catalyzed Grafting of Ferulic Acid
by Jinfang Zhang, Shujun Chen, Cheng Lv, Shanshan Liu, Xinggang Shan, Hailong Chen, Chen Liu, Yujing Bian and Jiangfei Lou
ChemEngineering 2025, 9(6), 136; https://doi.org/10.3390/chemengineering9060136 - 4 Dec 2025
Viewed by 347
Abstract
To develop a novel pH-responsive multifunctional wound dressing, this study designed a ferulic acid (FA)–cellulose-grafted polymer that leverages the pH-responsive properties of FA. This polymer enables the rapid detection of pH fluctuations in wound environments and effectively monitors acute inflammatory changes. This study [...] Read more.
To develop a novel pH-responsive multifunctional wound dressing, this study designed a ferulic acid (FA)–cellulose-grafted polymer that leverages the pH-responsive properties of FA. This polymer enables the rapid detection of pH fluctuations in wound environments and effectively monitors acute inflammatory changes. This study innovatively employed FA as the functional compound, horseradish peroxidase (HRP)/ascorbic acid (AA) as the catalytic system, and hydrogen peroxide as the initiator, successfully achieving a grafting reaction between cellulose and FA. Through optimized experiments, the optimal amounts of the FA, AA, HRP enzyme, and hydrogen peroxide were determined. Under these optimal conditions, the K/S value of the FA-grafted fabrics exceeded one, with a grafting rate surpassing 1%. The structure of the cellulose–FA was characterized by FT-IR, HPLC, and 1H NMR, and the possible grafting mechanisms were analyzed. Subsequently, FA-grafted fabric samples were immersed in solutions with varying pH levels, and the material’s pH responsiveness was analyzed through color changes. When the solution’s pH shifted from 3 to 12, the grafted fabric exhibited significant color variations. Consequently, FA-grafted cellulose shows great potential for monitoring skin wound acidity/alkalinity changes and detecting inflammatory responses. Full article
Show Figures

Figure 1

17 pages, 305 KB  
Article
Exploring Tectona grandis Linn. f. Leaf Extract as a Functional Feed Additive with Antioxidant and Nutraceutical Potential for Livestock
by Nattaya Montri, Metha Wanapat, Sungchhang Kang, Seangla Cheas, Anusorn Cherdthong, Pongsatorn Gunun, Nirawan Gunun, Suban Foiklang, Phongthorn Kongmun, Dutsadee Srithat, Pongsathorn Tongkasee and Sineenart Polyorach
Animals 2025, 15(23), 3498; https://doi.org/10.3390/ani15233498 - 4 Dec 2025
Viewed by 539
Abstract
This study investigated the phytochemical composition, antioxidant activity, and safety of Tectona grandis leaf extracts at four maturity stages. Ethanolic extracts were screened for secondary metabolites and analyzed using GC–MS, together with heavy metal determination, phenolic profiling, and antioxidant assays. Preliminary phytochemical screening [...] Read more.
This study investigated the phytochemical composition, antioxidant activity, and safety of Tectona grandis leaf extracts at four maturity stages. Ethanolic extracts were screened for secondary metabolites and analyzed using GC–MS, together with heavy metal determination, phenolic profiling, and antioxidant assays. Preliminary phytochemical screening revealed the presence of alkaloids, flavonoids, glycosides, tannins, saponins, and coumarins, with clear variation among leaf stages. GC–MS analysis detected multiple bioactive constituents, including phytol, n-decanoic acid, and heptadecenal. These compounds have been previously reported to exhibit antioxidant, antimicrobial, and anti-inflammatory properties. Heavy metal analysis showed very low cadmium concentrations (0.001–0.004 mg/kg), undetectable lead levels (<LOD), and trace levels of arsenic concentrations (0.012–0.018 mg/kg), all of which were within safe limits for plant materials. Quantitative assays demonstrated that mature leaves contained the highest total phenolic (8.751 ± 0.018 mg GAE/g DW), total flavonoid (0.359 ± 0.017 mg QE/g DW), and condensed tannin (0.303 ± 0.000 mg CE/g DW) contents. Correspondingly, mature-leaf extracts exhibited the greatest antioxidant capacity, showing 95.88 ± 0.12% inhibition of oxidant activity. The ethanolic extracts exhibited IC50 values ranging from 22.93–50.35 mg/mL, whereas the ascorbic acid standard showed an IC50 of 0.0767 mg/mL, confirming the expected lower potency of crude plant extracts. The strong correlation between phenolic accumulation and antioxidant activity suggests enhanced defense against oxidative stress. The absence of detectable heavy metal contamination, together with the high polyphenolic content, suggests that T. grandis leaves may serve as a safe natural source of antioxidants. These findings demonstrate the strong antioxidant potential of T. grandis leaf extracts, providing a basis for future studies evaluating their functional applications in biological systems. Full article
13 pages, 1200 KB  
Article
Clinical Characteristics and Outcomes of Pediatric Vitamin C Deficiency
by Thanaporn Trangkanont, Maneerat Puwanant and Thirachit Chotsampancharoen
Nutrients 2025, 17(23), 3755; https://doi.org/10.3390/nu17233755 - 29 Nov 2025
Viewed by 1170
Abstract
Background: Vitamin C deficiency remains an under-recognized condition in children, especially in Southeast Asia. This study aimed to study the clinical characteristics, dietary risk factors, and outcomes of pediatric vitamin C deficiency in a tertiary hospital in Southern Thailand. Methods: This retrospective study [...] Read more.
Background: Vitamin C deficiency remains an under-recognized condition in children, especially in Southeast Asia. This study aimed to study the clinical characteristics, dietary risk factors, and outcomes of pediatric vitamin C deficiency in a tertiary hospital in Southern Thailand. Methods: This retrospective study reviewed the medical records of children aged 1 to 15 years diagnosed with vitamin C deficiency from 2004 to 2024. Diagnosis was based on serum ascorbic acid levels below 0.4 mg/dL, or clinical-radiographic findings. Data collected included demographics, developmental status, dietary history, clinical presentations, radiological and laboratory results, treatment, and outcomes. Results: Forty-six children were diagnosed; the median age was 4.8 years, and 60% were male; developmental delay was present in 54.4%. The majority had poor dietary intake, with 73% not consuming adequate fruits and vegetables; no significant differences were observed when classified by developmental status. Common clinical signs included: limb pain (76.1%), refusal to walk (52.2%), and bleeding gums (39.1%). Radiographs showed osteopenia in 73.8% and white line of Frankel in 47.6%. Serum ascorbic acid deficiency was significantly associated with low fruit and vegetable intake and excessive milk consumption over the recommendations (p < 0.05). Treatment with oral vitamin C resulted in clinical improvement; although, residual symptoms persisted in some cases. Conclusions: As pediatric vitamin C deficiency is still of concern, this study highlights the importance of early detection in at-risk children and the critical role of detailed dietary history to identify inadequate nutrition. Prompt recognition and intervention can prevent misdiagnosis and improve clinical outcomes. Hence, strengthening parental education on nutritional intake is essential to reduce future incidences. Full article
(This article belongs to the Section Pediatric Nutrition)
Show Figures

Figure 1

13 pages, 2916 KB  
Article
Synergistic Catalysis of Gold–Platinum Alloy Nanozymes: A Novel Colorimetric Sensor for ALP Detection in Complex Biological Matrices
by Baojie Du, Bingqing Zhang, Xiaofeng Ren, Jie Yang, Fan Yang, Chunyu Yan, Liping Li and Ruiping Zhang
Pharmaceuticals 2025, 18(12), 1795; https://doi.org/10.3390/ph18121795 - 25 Nov 2025
Viewed by 607
Abstract
Background/Objectives: Alkaline phosphatase (ALP) is a crucial enzyme in numerous pathological processes and a significant biomarker in clinical diagnostics. Conventional ALP detection methods are hampered by reliance on complex sample pretreatment, sophisticated instrumentation, time-consuming procedures, and high costs. This study aimed to [...] Read more.
Background/Objectives: Alkaline phosphatase (ALP) is a crucial enzyme in numerous pathological processes and a significant biomarker in clinical diagnostics. Conventional ALP detection methods are hampered by reliance on complex sample pretreatment, sophisticated instrumentation, time-consuming procedures, and high costs. This study aimed to develop a simple, rapid, and cost-effective colorimetric sensing method for ALP detection with enhanced resistance to matrix interference in biological samples. Methods: We designed a colorimetric assay based on bimetallic gold–platinum nanocatalysts (AuPt NPs) exhibiting peroxidase-like (POD-like) activity. The detection principle involves a dual-reaction cascade: (1) Alkaline phosphatase (ALP) catalyzes the conversion of trisodium L-ascorbic acid-2-phosphate (AA2P) into ascorbic acid (AA), and (2) the generated AA reduces oxidized 3,3′,5,5′-tetramethylbenzidine (oxTMB) produced by the catalytic activity of AuPt NPs. This method was evaluated for its detection performance in diluted human serum without complex sample pretreatment. Results: AuPt NPs exhibited resistance to biological matrix interference, enabling sensitive detection of ALP. The assay showed a linear ALP detection range of 0–90 mU·mL−1 (R2 = 0.994) and a limit of detection of 3.91 mU·mL−1. In spiked human serum, recoveries were 95.45–111.97%, with negligible interference from ions and biomolecules. Conclusions: We developed a simple, rapid, and reliable colorimetric sensor for ALP detection based on AuPt NPs. It overcomes limitations of conventional methods, holding great potential for clinical diagnostics and point-of-care applications. Full article
(This article belongs to the Section Pharmaceutical Technology)
Show Figures

Graphical abstract

19 pages, 6312 KB  
Article
Rediscovering Citrus lumia ‘Pyriformis’: Phytochemical Profile and Multifunctional Properties of Its Fresh Juice
by Antonella Smeriglio, Annarita La Neve, Marta Mangano, Martina Imbesi, Laura Cornara and Domenico Trombetta
Foods 2025, 14(23), 3997; https://doi.org/10.3390/foods14233997 - 21 Nov 2025
Viewed by 806
Abstract
This study provides the first comprehensive chemical and biological profiling of Citrus lumia Risso & Poit. var. ‘Pyriformis’, a rare Mediterranean Citrus variety with unexplored nutraceutical potential. The fresh juice (CLPJ) showed a distinctive phytochemical composition, with 38.8 ± 0.99 mg gallic acid [...] Read more.
This study provides the first comprehensive chemical and biological profiling of Citrus lumia Risso & Poit. var. ‘Pyriformis’, a rare Mediterranean Citrus variety with unexplored nutraceutical potential. The fresh juice (CLPJ) showed a distinctive phytochemical composition, with 38.8 ± 0.99 mg gallic acid equivalents/100 mL of total phenols and 25.96 ± 2.37 mg rutin equivalents/100 mL of flavonoids. High-performance liquid chromatography coupled with diode-array detection (HPLC-DAD) quantification revealed high levels of organic acids, including ascorbic acid (0.34 g/L) and citric acid (34.6 g/L). Liquid chromatography coupled with diode-array detection and electrospray ionization tandem mass spectrometry (LC-DAD-ESI-MS/MS) enabled the annotation of 28 polyphenolic constituents, featuring glycosylated flavanones and several uncommon flavonols and acylglycosidic derivatives whose structural patterns are typical of primitive Citrus lineages and largely absent in commercial cultivars. Functionally, CLPJ exhibited multi-target antioxidant and anti-inflammatory activities and promoted epithelial repair in Caco-2 cells without cytotoxic effects. Overall, the juice displays a distinctive chemotaxonomic fingerprint and promising multifunctional properties, supporting its potential as a functional food ingredient and contributing to the valorization of minor Mediterranean Citrus biodiversity. Full article
(This article belongs to the Special Issue Bioactive Compounds in Fruits and Vegetables)
Show Figures

Graphical abstract

15 pages, 2574 KB  
Article
Sustainable Conversion of Coffee Ground Waste into Carbon Dots for Sensing Food Antioxidants
by Nan Jiang, Yuanjing Tao, Ruihong Wang, Xiaoran Zhao, Jingxuan Ren, Chenyang Jiang, Zihao Xu, Xuming Zhuang and Chao Shi
Foods 2025, 14(22), 3922; https://doi.org/10.3390/foods14223922 - 17 Nov 2025
Viewed by 798
Abstract
The total antioxidant capacity (TAC) of food products is a key parameter for assessing food quality and safety. In this work, iron-doped carbon dots (Fe-CDs) were successfully prepared using waste coffee grounds as a precursor with a satisfactory fluorescence quantum yield of 9.6%. [...] Read more.
The total antioxidant capacity (TAC) of food products is a key parameter for assessing food quality and safety. In this work, iron-doped carbon dots (Fe-CDs) were successfully prepared using waste coffee grounds as a precursor with a satisfactory fluorescence quantum yield of 9.6%. The Fe-CDs exhibited exceptional peroxidase-like activity, which can oxidize colorless 3,3′,5,5′-tetramethylbenzidine (TMB) to form blue oxTMB. Concurrently, oxTMB induced an inner filter effect, quenching the fluorescence of Fe-CDs. After being added to antioxidants such as glutathione, ascorbic acid, and L-cysteine, the generated reactive oxygen species (ROS) are consumed, thereby preventing the oxidation of TMB. The color of the mixed solution changed from dark to light blue, accompanied by the fluorescence recovery of Fe-CDs. Nevertheless, these three antioxidants possessed remarkable differences in ROS elimination capability, which resulted in different signal responses in absorption and fluorescence, and were successfully used for constructing the colorimetric/fluorescent dual-channel sensor array. Furthermore, the sensor array signals were processed using principal component analysis to achieve simultaneous detection of glutathione, ascorbic acid, and L-cysteine, and were able to effectively discriminate between mixtures and individual antioxidants. The constructed sensor array was successfully applied for the TAC detection in various foods (including vegetables, fruit, and beverages) and for the precise differentiation of antioxidants in milk samples. Overall, the prepared sensor array exhibited outstanding potential in detecting food quality. Full article
(This article belongs to the Special Issue Development and Application of Biosensors in the Food Field)
Show Figures

Graphical abstract

17 pages, 5894 KB  
Article
Enhanced Solubility and Electron Transfer of Osmium-Based Mediators via Quaternized Poly(4-Vinylpyridine) for Electrochemical Glucose Detection
by Yun Yeong Cho, Tae-Won Seo, Young-Bong Choi and Won-Yong Jeon
Polymers 2025, 17(21), 2874; https://doi.org/10.3390/polym17212874 - 28 Oct 2025
Viewed by 795
Abstract
Hydrophilic polymer–osmium complexes enhance electron transfer between enzymes and electrodes in biosensors. In this study, hydrophobic poly(4-vinylpyridine) (PVP) was quaternized with 2-bromoethanol to synthesize water-soluble PVP(Q)-C2H4OH polymers (MW 60,000 and 160,000). The resulting PVP(Q)-C2H4OH-Os(dmo-bpy)2 [...] Read more.
Hydrophilic polymer–osmium complexes enhance electron transfer between enzymes and electrodes in biosensors. In this study, hydrophobic poly(4-vinylpyridine) (PVP) was quaternized with 2-bromoethanol to synthesize water-soluble PVP(Q)-C2H4OH polymers (MW 60,000 and 160,000). The resulting PVP(Q)-C2H4OH-Os(dmo-bpy)2Cl complexes were verified by UV-Vis, FT-IR, 1H NMR, SEM-EDS, and zeta potential analyses, confirming successful quaternization and osmium coordination with good dispersion stability. Electrochemical tests (cyclic voltammetry, multi-potential step, amperometry) demonstrated that electrodes with quaternized mediators showed greatly enhanced catalytic currents for glucose (0–20 mM), with sensitivities of 6.9791 (MW 60,000) and 6.6279 μA·mM−1·cm−2 (MW 160,000), respectively, which were 6.6–10.3 times higher than those of non-quaternized polymers. Selectivity tests showed negligible interference from common species such as ascorbic acid, dopamine, uric acid, and serotonin. Continuous glucose monitoring (CGM) electrodes were fabricated by immobilizing the mediator and glucose dehydrogenase on silanized Au electrodes. SEM, scan rate, and impedance analyses confirmed stable binding. The modified electrodes showed strong linearity (R2 = 0.992) and high sensitivity (2.56 μA·mM−1·cm−2), and good stability, maintaining ~82% activity for seven days. Human plasma testing validated accurate glucose detection (6.05 mM), consistent with physiological levels. Overall, quaternized PVP(Q) mediators significantly improved solubility and electron transfer, enabling the development of a stable, selective glucose sensor suitable for CGM applications. Full article
(This article belongs to the Special Issue Conductive Polymers for Electronic Devices, Displays and Sensors)
Show Figures

Graphical abstract

Back to TopTop