error_outline You can access the new MDPI.com website here. Explore and share your feedback with us.
 
 
Sign in to use this feature.

Years

Between: -

Subjects

remove_circle_outline
remove_circle_outline
remove_circle_outline
remove_circle_outline
remove_circle_outline
remove_circle_outline
remove_circle_outline
remove_circle_outline

Journals

Article Types

Countries / Regions

Search Results (25)

Search Parameters:
Keywords = aquatic IAS

Order results
Result details
Results per page
Select all
Export citation of selected articles as:
13 pages, 3628 KB  
Article
Model Construction and Prediction of Combined Toxicity of Arsenic(V) and Lead(II) on Chlamydomonas reinhardtii
by Zhongquan Jiang, Tianyi Wei, Chunhua Zhang, Xiaosheng Shen, Zhemin Shen, Tao Yuan and Ying Ge
Biology 2025, 14(10), 1395; https://doi.org/10.3390/biology14101395 - 11 Oct 2025
Viewed by 459
Abstract
With the acceleration of industrialization, the impact of the toxic metalloid arsenic (As) and metal lead (Pb) on aquatic ecosystems has garnered widespread concern. However, the specific toxic effects of how these two metals jointly impact aquatic organisms are not yet fully understood. [...] Read more.
With the acceleration of industrialization, the impact of the toxic metalloid arsenic (As) and metal lead (Pb) on aquatic ecosystems has garnered widespread concern. However, the specific toxic effects of how these two metals jointly impact aquatic organisms are not yet fully understood. This study aims to investigate the toxic effects of As and Pb individually and in combination of the mixture on the growth of Chlamydomonas reinhardtii (C. reinhardtii) in a lab setup using the Concentration Addition (CA) model and the Independent Action (IA) model to predict the toxic effects at different concentrations. The results indicated that As and Pb had significant inhibitory effects on the growth of algae, and the toxicity of As was greater than that of Pb (As EC50 = 374.87 μg/L, Pb EC50 = 19,988.75 μg/L), measured by Spectrophotometer. As the metal concentrations increased, both metals demonstrated classic sigmoidal concentration-effect curves. Furthermore, we discovered that in mixtures of As and Pb at varying concentration ratios, the combined toxic effect shifted from additive to synergistic with increasing As concentration, exhibiting a pronounced concentration ratio dependency. Utilizing nonlinear least squares regression, we successfully constructed concentration-response models for both As and Pb, employing Observation-based Confidence Intervals (OCIs) to reflect the uncertainty of the data. By comparing experimental data with model predictions, the EC50 was used as an index to compare the toxicity magnitude of As/Pb mixtures. The toxicity of As and Pb mixtures gradually increases with the increase in their concentration ratios. Scanning and transmission electron microscopic observations revealed that the combination of 200 μg/L As and 2000 μg/L Pb resulted in the greatest synergistic toxic effect, with severe breakage and indentation to C. reinhardtii cells. This study not only provided new insights into the environmental behavior and ecological risks of As and Pb but also held significant implications for effective water pollution management strategies by offering a validated model-based framework for predicting mixture toxicity across different concentration regimes. Full article
(This article belongs to the Section Toxicology)
Show Figures

Figure 1

19 pages, 1954 KB  
Article
Analyzing Possible Shifts in the Climatic Niche of Pomacea canaliculata Between Native and Chinese Ranges
by Ran Zhang, Yue Gao, Rui Wang, Shigang Liu, Qianqian Yang, Yuan Li and Longshan Lin
Biology 2025, 14(9), 1127; https://doi.org/10.3390/biology14091127 - 25 Aug 2025
Cited by 2 | Viewed by 838
Abstract
The impact of invasive alien species (IAS) is one of the direct factors causing global biodiversity decline and economic losses, and predicting the potential invasion risks of invasive species is crucial for developing prevention and control strategies. In recent years, an increasing number [...] Read more.
The impact of invasive alien species (IAS) is one of the direct factors causing global biodiversity decline and economic losses, and predicting the potential invasion risks of invasive species is crucial for developing prevention and control strategies. In recent years, an increasing number of studies have shown that invasive species undergo rapid shifts in climate niche in invaded areas. Accurately quantifying the dynamic shifts in the climate niche of invasive species in invaded areas is crucial for developing a more accurate framework for early warning of invasive species risks. Pomacea canaliculata is a freshwater snail found in South America and has become one of the most aggressive aquatic species in the world. Since its introduction to China in 1981, it has rapidly spread and caused multiple serious damages to agriculture, ecology, and public health. Therefore, based on multi-source distribution data of P. canaliculata, this study calculated the climate niche overlap by Schoener’ s D, quantified the niche shifts between the P. canaliculata in native and invaded areas (China) via the COUE scheme (a unified terminology representing niche centroid shift, overlap, unfilling, and expansion), and analyzed their changes on a time scale. The results revealed that there have been significant climate niche shifts (Schoener’s D < 0.2, niche similarity tests p > 0.01, niche equivalence tests p < 0.01) between the native and invaded areas (China) of P. canaliculata, which does not support the climate niche conservation hypothesis. The minimum temperature of the coldest month (Bio 6) and precipitation seasonality (Bio 15) were the key climate variables driving the climatic niche shift, and P. canaliculata can survive in colder and more arid regions than their native counterparts. The changes in the niche shifts in P. canaliculata on a time scale show significant temporal heterogeneity, and its invasion behavior in China presents a discontinuous and phased expansion pattern, with strong adaptability to new environments. The results are of great significance for the future development of more accurate ecological niche model (ENM), the formulation of more targeted prevention and control strategies, and the study of adaptive evolution mechanisms of invasive species. Full article
(This article belongs to the Section Ecology)
Show Figures

Figure 1

33 pages, 4331 KB  
Article
Host Jump of an Exotic Fish Rhabdovirus into a New Class of Animals Poses a Disease Threat to Amphibians
by Eveline J. Emmenegger, Emma K. Bueren, Carla M. Conway, George E. Sanders, A. Noble Hendrix, Tamara Schroeder, Emiliano Di Cicco, Phuc H. Pham, John S. Lumsden and Sharon C. Clouthier
Viruses 2024, 16(8), 1193; https://doi.org/10.3390/v16081193 - 25 Jul 2024
Cited by 3 | Viewed by 2891
Abstract
Spring viremia of carp virus (SVCV) is a rhabdovirus that primarily infects cyprinid finfishes and causes a disease notifiable to the World Organization for Animal Health. Amphibians, which are sympatric with cyprinids in freshwater ecosystems, are considered non-permissive hosts of rhabdoviruses. The potential [...] Read more.
Spring viremia of carp virus (SVCV) is a rhabdovirus that primarily infects cyprinid finfishes and causes a disease notifiable to the World Organization for Animal Health. Amphibians, which are sympatric with cyprinids in freshwater ecosystems, are considered non-permissive hosts of rhabdoviruses. The potential host range expansion of SVCV in an atypical host species was evaluated by testing the susceptibility of amphibians native to the Pacific Northwest. Larval long-toed salamanders Ambystoma macrodactylum and Pacific tree frog Pseudacris regilla tadpoles were exposed to SVCV strains from genotypes Ia, Ib, Ic, or Id by either intraperitoneal injection, immersion, or cohabitation with virus-infected koi Cyprinus rubrofuscus. Cumulative mortality was 100% for salamanders injected with SVCV, 98–100% for tadpoles exposed to virus via immersion, and 0–100% for tadpoles cohabited with SVCV-infected koi. Many of the animals that died exhibited clinical signs of disease and SVCV RNA was found by in situ hybridization in tissue sections of immersion-exposed tadpoles, particularly in the cells of the gastrointestinal tract and liver. SVCV was also detected by plaque assay and RT-qPCR testing in both amphibian species regardless of the virus exposure method, and viable virus was detected up to 28 days after initial exposure. Recovery of infectious virus from naïve tadpoles cohabited with SVCV-infected koi further demonstrated that SVCV transmission can occur between classes of ectothermic vertebrates. Collectively, these results indicated that SVCV, a fish rhabdovirus, can be transmitted to and cause lethal disease in two amphibian species. Therefore, members of all five of the major vertebrate groups (mammals, birds, reptiles, fish, and amphibians) appear to be vulnerable to rhabdovirus infections. Future research studying potential spillover and spillback infections of aquatic rhabdoviruses between foreign and domestic amphibian and fish species will provide insights into the stressors driving novel interclass virus transmission events. Full article
(This article belongs to the Special Issue The World of Rhabdoviruses)
Show Figures

Figure 1

16 pages, 2476 KB  
Article
Landscape Drivers Influence the Efficiency of Management of Aquatic Invasive Alien Rodents in Western France
by Olivier Pays, Manon Bonnet, Ewen Marchand, Clément Harmange, Sandro Bertolino, Alain Pagano, Damien Picard, Xavier Grillo and Antonin Grimault-Frémy
Sustainability 2024, 16(5), 1970; https://doi.org/10.3390/su16051970 - 27 Feb 2024
Cited by 2 | Viewed by 1936
Abstract
Managing invasive alien species (IAS) is a critical issue for many countries to preserve native biodiversity, ecosystem services and human well-being. In western France, we analyzed data of captures of aquatic invasive alien rodents (AIARs), the coypu and muskrat, by the local permanent [...] Read more.
Managing invasive alien species (IAS) is a critical issue for many countries to preserve native biodiversity, ecosystem services and human well-being. In western France, we analyzed data of captures of aquatic invasive alien rodents (AIARs), the coypu and muskrat, by the local permanent control program from 2007 to 2022 across 26 municipalities encompassing 631 km2. We found that control activities removed up to 10.3 AIARs per km2 annually. The number of coypus removed per trapper per year increased by 220%, whereas it decreased by 85% for muskrats. The number of trappers increased from 2007 to 2014, peaking at 70, and then decreased by 50% in 2022. The number of AIARs captured per trapper per year increased with the density of ponds. The number of coypus captured per year decreased with an increasing amount of woodland per municipality, whereas it increased with road density. Finally, other tested landscape variables did not affect the number of AIARs removed per trapper per year. Our results are discussed in the context of control activities implemented against IAS in other countries. We advocate for stakeholders to assess whether control activities against AIARs effectively mitigate the impacts on social-ecological systems in France. Full article
(This article belongs to the Section Sustainability, Biodiversity and Conservation)
Show Figures

Figure 1

22 pages, 415 KB  
Review
Reciprocal Effects of Metal Mixtures on Phytoplankton
by Ammara Nawaz, Pavlína Eliška Šotek and Marianna Molnárová
Phycology 2024, 4(1), 117-138; https://doi.org/10.3390/phycology4010007 - 6 Feb 2024
Cited by 9 | Viewed by 3550
Abstract
Several types of contaminants are anthropogenically introduced into natural aquatic ecosystems and interact with other chemicals and/or with living organisms. Although metal toxicity alone has been relatively well studied, the toxic metal ion effects in the mixture have been thoroughly studied only during [...] Read more.
Several types of contaminants are anthropogenically introduced into natural aquatic ecosystems and interact with other chemicals and/or with living organisms. Although metal toxicity alone has been relatively well studied, the toxic metal ion effects in the mixture have been thoroughly studied only during the last decades. This review focuses on the published reciprocal effects of different metals on different species of algae, together with describing their toxic effects on studied parameters. Phytoplankton as a bioindicator can help to estimate the reciprocal metal risk factor. Many methodologies have been developed and explored, such as the biotic ligand model (BLM), concentration addition (CA), independent action (IA), sensitivity distribution of EC50 species sensitivity distribution (SSD curves), and others, to study reciprocal metal toxicity and provide promising results, which are briefly mentioned too. From our review, we can commonly conclude the following: Zn acted antagonistically with most heavy metals (Al, Cu, Cd, and Ni). The Cu interaction with Cd, Fe, and Pb was mostly antagonistic. Cd showed synergistic behaviour with Hg, Cu, Zn, and Pb and antagonistic behaviour with Co and Fe in many cases. Methods and techniques need to be developed and optimised to determine reciprocal metal toxicity so that the ecotoxicological predictions made by using phytoplankton can be more accurate and related to real-time toxic metals risks to the aquatic ecosystem. This is the main objective of ecotoxicological tests for risk assessment. Understanding how metals enter algal cells and organelles can help to solve this challenge and was one of the main parts of the review. Full article
11 pages, 753 KB  
Article
Antibiogram Profile and Detection of Resistance Genes in Pseudomonas aeruginosa Recovered from Hospital Wastewater Effluent
by Joan U. Okafor and Uchechukwu U. Nwodo
Antibiotics 2023, 12(10), 1517; https://doi.org/10.3390/antibiotics12101517 - 6 Oct 2023
Cited by 8 | Viewed by 3965
Abstract
The nosocomial pathogen Pseudomonas aeruginosa (P. aeruginosa) is characterized by increased prevalence in hospital wastewater and is a public health concern. Untreated wastewater severely challenges human health when discharged into nearby aquatic ecosystems. The antibiogram profiles and resistance genes of P. [...] Read more.
The nosocomial pathogen Pseudomonas aeruginosa (P. aeruginosa) is characterized by increased prevalence in hospital wastewater and is a public health concern. Untreated wastewater severely challenges human health when discharged into nearby aquatic ecosystems. The antibiogram profiles and resistance genes of P. aeruginosa were evaluated in this study. Wastewater effluents were obtained from a hospital within a six-month sampling period. After the samples were processed and analysed, P. aeruginosa was identified by polymerase chain reaction (PCR) by amplifying OprI and OprL genes. The Kirby–Bauer diffusion technique was employed to check the susceptibility profiles of P. aeruginosa which were further interpreted using CLSI guidelines. A total of 21 resistance genes were investigated among the isolates. The sum of 81 positive P. aeruginosa were isolated in this study. This study’s mean count of Pseudomonas aeruginosa ranged from 2.4 × 105 to 6.5 × 105 CFU/mL. A significant proportion of the isolates were susceptible to imipenem (93%), tobramycin (85%), norfloxacin (85%), aztreonam (70%), ciprofloxacin (51%), meropenem (47%), levofloxacin (43%), and gentamicin (40%). Meanwhile, a low susceptibility was recorded for amikacin and ceftazidime. The overall multiple antibiotics resistance index (MARI) ranged from 0.3 to 0.9, with 75% of the multidrug-resistant isolates. The assessment of β-lactam-resistant genes revealed blaOXA-1 (3.7%) and blaSHV (2.4%). The frequency of carbapenem genes was 6.6% for blaIMP, 6.6% for blaKPC, 6.6% for blaoxa-48, 2.2% for blaNDM-1, 2.2% for blaGES, and 2.2% for blaVIM. Of the aminoglycoside genes screened, 8.6% harboured strA, 11.5% harboured aadA, and 1.5% harboured aph(3)-Ia(aphA1). Only one non-β-lactamase gene (qnrA) was detected, with a prevalence of 4.9%. The findings of this study revealed a high prevalence of multidrug-resistant P. aeruginosa and resistance determinants potentially posing environmental health risks. Full article
Show Figures

Figure 1

20 pages, 7609 KB  
Article
Can Pharmaceutical Excipients Threaten the Aquatic Environment? A Risk Assessment Based on the Microtox® Biotest
by Marika Turek, Ewa Różycka-Sokołowska, Marek Koprowski, Bernard Marciniak and Piotr Bałczewski
Molecules 2023, 28(18), 6590; https://doi.org/10.3390/molecules28186590 - 13 Sep 2023
Cited by 7 | Viewed by 2826
Abstract
The ecotoxicological impact of pharmaceuticals has received considerable attention, primarily focusing on active pharmaceutical ingredients (APIs) while largely neglecting the potential hazards posed by pharmaceutical excipients. Therefore, we analyzed the ecotoxicity of 16 commonly used pharmaceutical excipients, as well as 26 API–excipient and [...] Read more.
The ecotoxicological impact of pharmaceuticals has received considerable attention, primarily focusing on active pharmaceutical ingredients (APIs) while largely neglecting the potential hazards posed by pharmaceutical excipients. Therefore, we analyzed the ecotoxicity of 16 commonly used pharmaceutical excipients, as well as 26 API–excipient and excipient–excipient mixtures utilizing the Microtox® test. In this way, we assessed the potential risks that pharmaceutical excipients, generally considered safe, might pose to the aquatic environment. We investigated both their individual ecotoxicity and their interactions with tablet ingredients using concentration addition (CA) and independent action (IA) models to shed light on the often-overlooked ecotoxicological consequences of these substances. The CA model gave a more accurate prediction of toxicity and should be recommended for modeling the toxicity of combinations of drugs with different effects. A challenge when studying the ecotoxicological impact of some pharmaceutical excipients is their poor water solubility, which hinders the use of standard aquatic ecotoxicity testing techniques. Therefore, we used a modification of the Microtox® Basic Solid Phase protocol developed for poorly soluble substances. The results obtained suggest the high toxicity of some excipients, i.e., SLS and meglumine, and confirm the occurrence of interactions between APIs and excipients. Through this research, we hope to foster a better understanding of the ecological impact of pharmaceutical excipients, prompting the development of risk assessment strategies within the pharmaceutical industry. Full article
(This article belongs to the Section Medicinal Chemistry)
Show Figures

Graphical abstract

20 pages, 1984 KB  
Article
Drivers of the Structure of Mollusc Communities in the Natural Aquatic Habitats along the Valley of a Lowland River: Implications for Their Conservation through the Buffer Zones
by Iga Lewin, Edyta Stępień, Agnieszka Szlauer-Łukaszewska, Joanna Pakulnicka, Robert Stryjecki, Vladimir Pešić, Aleksandra Bańkowska, Izabela Szućko-Kociuba, Grzegorz Michoński, Zuzanna Krzynówek, Maja Krakowiak, Tapas Chatterjee and Andrzej Zawal
Water 2023, 15(11), 2059; https://doi.org/10.3390/w15112059 - 29 May 2023
Cited by 6 | Viewed by 3330
Abstract
The objectives of our survey were to determine the most important environmental factors within buffer zones that influenced mollusc communities and to evaluate the ecological conservation value of natural aquatic habitats (NAHs) that support mollusc species. Analysis of the spatial structure of buffer [...] Read more.
The objectives of our survey were to determine the most important environmental factors within buffer zones that influenced mollusc communities and to evaluate the ecological conservation value of natural aquatic habitats (NAHs) that support mollusc species. Analysis of the spatial structure of buffer zones and catchments was based on a set of landscape metrics. Land cover classes were determined, and buffer zones within a radius of 500 m from a sampling point were marked out. Mollusc samples were collected from each NAHs. Our results showed that the number of patches and mean patch size were most associated with the distribution of mollusc species. Within patches of buffer zones, the length of the catchment boundaries with low-density housing, an increasing area of forest and pH of the water were also significant. Our results proved that landscape metrics provide essential information about catchment anthropogenic transformation. Therefore, landscape metrics and the designated buffer zones should be included in restoration plans for the river, water bodies and adjacent habitats as elements of modern, sustainable water management. NAHs located along a valley of a lowland river provide refuges for molluscs, play an essential role in the dispersal of IAS, create important protective biogeochemical barriers for rivers, constitute necessary sources of moisture and water and support microhabitats for distinct mollusc communities, especially in the context of global warming. Full article
(This article belongs to the Special Issue Freshwater Biodiversity: Conservation and Management)
Show Figures

Figure 1

15 pages, 1632 KB  
Article
A New Horizon-Scanning Tool to Identify Potential Aquatic Invasive Alien Species Introduced into the Baltic Sea by Shipping
by Aldona Dobrzycka-Krahel and Silvia Medina-Villar
Water 2023, 15(3), 531; https://doi.org/10.3390/w15030531 - 29 Jan 2023
Cited by 6 | Viewed by 3935
Abstract
Some invasive alien species (IAS) may constitute an important threat to global biodiversity due to major ecological impacts. In 2014, the European Union (EU) introduced a regulation (EU) No 1143/201 on the prevention and management of the introduction and spread of IAS. EU [...] Read more.
Some invasive alien species (IAS) may constitute an important threat to global biodiversity due to major ecological impacts. In 2014, the European Union (EU) introduced a regulation (EU) No 1143/201 on the prevention and management of the introduction and spread of IAS. EU member states are required to carry out an analysis of the introduction and spread of potential IAS in their territories. In the case of aquatic alien species, shipping is considered as the main pathway for their introduction. In this study, a horizon-scanning tool was applied for identifying potential aquatic IAS introduced by shipping into the EU Baltic Sea Region (BSR) countries. This tool has mostly been applied on a country level, but it is more reasonable to study the invasive potentiality at a regional scale, especially for aquatic species that generally disperse over long distances. Individual Baltic countries may also benefit from the results of this study. The result of the horizon-scanning method that we applied produced a list of 27 potential aquatic invaders for the EU BSR countries introduced by international marine and inland shipping. In order, Asia (34% of the species), North America (27% of the species), and Indo-Pacific (23% of the species) were the most frequently listed geographical origins of concern. Marine habitat was the most frequent of the potential IAS, accounting for 41% of the species. Fish (26% of the species), Mollusks (18% of the species), and Crustacea (15% of the species) were the most frequent taxonomic groups. The list of potential IAS was prioritized from highest to lowest probability of invasion (establishment, spread, and impact). Eight species reached the highest probability of invasion. One of the potential IAS, Mytilus galloprovincialis, is native to the Mediterranean Region. These results provide valuable information that policy makers can use to develop more efficient prevention strategies for IAS introduced by shipping into the Baltic Sea. Full article
(This article belongs to the Special Issue Seas under Anthropopressure)
Show Figures

Figure 1

16 pages, 2340 KB  
Article
A Novel Efficient Piscine Oral Nano-Vaccine Delivery System: Modified Halloysite Nanotubes (HNTs) Preventing Streptococcosis Disease in Tilapia (Oreochromis sp.)
by Ansaya Pumchan, Udom Sae-Ueng, Chaiya Prasittichai, Soranuth Sirisuay, Nontawith Areechon and Sasimanas Unajak
Vaccines 2022, 10(8), 1180; https://doi.org/10.3390/vaccines10081180 - 25 Jul 2022
Cited by 20 | Viewed by 4516
Abstract
Generally, the injection method is recommended as the best efficient method for vaccine applications in fish. However, labor-intensive and difficult injection for certain fish sizes is always considered as a limitation to aquatic animals. To demonstrate the effectiveness of a novel oral delivery [...] Read more.
Generally, the injection method is recommended as the best efficient method for vaccine applications in fish. However, labor-intensive and difficult injection for certain fish sizes is always considered as a limitation to aquatic animals. To demonstrate the effectiveness of a novel oral delivery system for the piscine vaccine with nano-delivery made from nano clay, halloysite nanotubes (HNTs) and their modified forms were loaded with killed vaccines, and we determined the ability of the system in releasing vaccines in a mimic digestive system. The efficaciousness of the oral piscine vaccine nano-delivery system was evaluated for its level of antibody production and for the level of disease prevention in tilapia. Herein, unmodified HNTs (H) and modified HNTs [HNT-Chitosan (HC), HNT-APTES (HA) and HNT-APTES-Chitosan (HAC)] successfully harbored streptococcal bivalent vaccine with inactivated S. agalactiae, designated as HF, HAF, HCF and HACF. The releasing of the loading antigens in the mimic digestive tract demonstrated a diverse pattern of protein releasing depending on the types of HNTs. Remarkably, HCF could properly release loading antigens with relevance to the increasing pH buffer. The oral vaccines revealed the greatest elevation of specific antibodies to S. agalactiae serotype Ia in HCF orally administered fish and to some extent in serotype III. The efficacy of streptococcal disease protection was determined by continually feeding with HF-, HAF-, HCF- and HACF-coated feed pellets for 7 days in the 1st and 3rd week. HCF showed significant RPS (75.00 ± 10.83%) among the other tested groups. Interestingly, the HCF-treated group exhibited noticeable efficacy similar to the bivalent-vaccine-injected group (RPS 81.25 ± 0.00%). This novel nano-delivery system for the fish vaccine was successfully developed and exhibited appropriated immune stimulation and promised disease prevention through oral administration. This delivery system can greatly support animals’ immune stimulation, which conquers the limitation in vaccine applications in aquaculture systems. Moreover, this delivery system can be applied to carrying diverse types of biologics, including DNA, RNA and subunit protein vaccines. Full article
(This article belongs to the Special Issue Vaccine Immunology)
Show Figures

Graphical abstract

19 pages, 744 KB  
Article
Invasive Alien Species of Benthic Macroinvertebrates and Fish in the Bulgarian Sector of the Danube River—Results of the Joint Danube Survey 4 (JDS4)
by Teodora Trichkova, Milcho Todorov, Marian Kenderov, Zdravko Hubenov, Ivan Botev, Tihomir Stefanov, Dilian Georgiev and Pavel Jurajda
Water 2022, 14(15), 2299; https://doi.org/10.3390/w14152299 - 24 Jul 2022
Cited by 7 | Viewed by 4681
Abstract
The aim of this study was to assess the status of aquatic invasive alien species (IAS) in the shoreline zone of the Bulgarian sector of the Danube River, Danube tributaries, and adjacent standing water bodies in the frame of the Joint Danube Survey [...] Read more.
The aim of this study was to assess the status of aquatic invasive alien species (IAS) in the shoreline zone of the Bulgarian sector of the Danube River, Danube tributaries, and adjacent standing water bodies in the frame of the Joint Danube Survey 4 (JDS4). Seven benthic macroinvertebrates and seven fish IAS were identified. The crayfish Faxonius limosus was frequently found and abundant in the tributaries. The mussels Corbicula fluminea, Dreissena rostriformis bugensis, and Sinanodonta woodiana dominated in the Danube River and the middle and lower reaches of the tributaries, while the fish Carassius gibelio, Perccottus glenii, and Lepomis gibbosus were most abundant in the standing water bodies. The integrated biocontamination estimated by taxonomic groups (crayfish, molluscs, and fish), sampling methods, and type of water bodies ranged from moderate in the shoreline zone of the Danube River, through moderate to high in the canals and lakes, to severe in the Danube tributaries and the reservoirs. The results demonstrate the importance of IAS in the assessment of the ecological status/potential of the water bodies in the DRB. The comprehensive evaluation of the aquatic IAS pressure will provide valuable information and support for the implementation of the national and EU IAS and water policies in the DRB. Full article
Show Figures

Figure 1

19 pages, 2846 KB  
Article
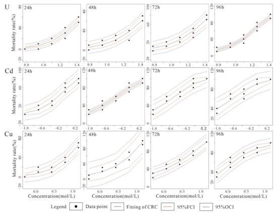
Sensitivity of Ostracods to U, Cd and Cu: The Case of Cypridopsis vidua
by Liang Chen, Zheng Huo, Chi Su, Yong Liu, Wei Huang, Shan Liu, Peng Feng, Zhixin Guo, Zhihua Su, Haiyang He and Qinglin Sui
Toxics 2022, 10(7), 349; https://doi.org/10.3390/toxics10070349 - 24 Jun 2022
Cited by 10 | Viewed by 2700
Abstract
The development of uranium mines has been necessary to obtain abundant and scarce uranium resources, but they also bring inevitable radioactive contamination to the surrounding soil, rivers and lakes. This paper explores the sensitivity of Cypridopsis vidua to the radioactive element uranium and [...] Read more.
The development of uranium mines has been necessary to obtain abundant and scarce uranium resources, but they also bring inevitable radioactive contamination to the surrounding soil, rivers and lakes. This paper explores the sensitivity of Cypridopsis vidua to the radioactive element uranium and the heavy elements cadmium and copper with single and combined acute toxicity experiments and combined toxicity model predictions. The results from the single toxicity experiments showed that the degree of toxic effects was cadmium > copper > uranium. The combined toxicity experiments showed that the compound toxicity of U-Cd and U-Cu was higher than the weakest component and lower than the strongest component, whereas the compound toxicity of Cd-Cu was higher than either of its components. When the overall proportion of a more toxic metal was increased, its mixed toxicity also increased, and vice versa. Combined toxicity predictions showed that the U-Cd combination was best described by the concentration additive (CA) model, the independent action (IA) model was more applicable to the Cd-Cu combination, and the most applicable model for the U-Cu combination changed depending on the concentration gradient. The acute toxicity data from this study provide a reference for the development of wastewater discharge standards for uranium mines, enriches the data related to the toxicity of uranium for ostracods and deepens the understanding of the threat of uranium pollution to aquatic ecosystems. Full article
(This article belongs to the Section Toxicology)
Show Figures

Figure 1

2 pages, 205 KB  
Abstract
Lessons Learned from the Elimination of Plant IAS in Natura 2000 River Corridors of the Iberian Atlantic Region (Galicia, NW Spain)
by Javier Ferreiro da Costa, Pablo Ramil-Rego, Hugo López Castro, Carlos Oreiro Rey and Luis Gómez-Orellana
Biol. Life Sci. Forum 2022, 13(1), 87; https://doi.org/10.3390/blsf2022013087 - 14 Jun 2022
Viewed by 983
Abstract
LIFE FLUVIAL project (LIFE16 NAT/ES/000771) is a transnational project between Spain and Portugal, whose overall objective is the improvement in the conservation of Atlantic Natura 2000 river corridors and associated wetlands, mainly targeting the 91E0* priority habitat. IAS have become one of the [...] Read more.
LIFE FLUVIAL project (LIFE16 NAT/ES/000771) is a transnational project between Spain and Portugal, whose overall objective is the improvement in the conservation of Atlantic Natura 2000 river corridors and associated wetlands, mainly targeting the 91E0* priority habitat. IAS have become one of the main threats to these ecosystems, as they affect the composition and structure of riverine habitats, as well as the decrease in their area. In this conference, we present the results and learned lessons of IAS elimination in several river basins (Miño, Mandeo, Mero, Barcés) of Galicia (NW Spain) by LIFE FLUVIAL, including herb (Cortaderia selloana, Crocosmia x crocosmiiflora, Delairea odorata), scrub (Tamarix gallica,) and tree (Eucalyptus spp., Acacia dealbata, Robinia pseudoacacia, Populus x canadensis, Salix viminalis) alien species. An integral strategy has been developed, as they have been removed from the upper and middle basin, as well as from estuaries, so LIFE FLUVIAL has a highly demonstrative character as it can be applied on a larger scale to similar situations, or elsewhere in similar circumstances. The project has refused to use herbicides because of the high fragility of the aquatic environment, nor are they a 100% effective method. Removing plant IAS through manual or light mechanical means has revealed the best practices to improve the conservation status of priority habitat 91E0* and river corridors, carrying out active and continuous management, because many of them have a high resprouting potential. Following this methodology, plant IAS can be completely eliminated, or at least controlled, as they are confined in very specific places from where they cannot disperse. In some cases, the eliminated plants (both herbaceous and woody plants) reached large sizes, which has been a major challenge when it comes to eliminating, handling and removing them. When this happened, the plant material was stacked and dried in an isolated place from which it cannot spread, to finally be removed for treatment by an authorized waste manager. In this regard, the herbaceous IAS have been valued as raw material in the economic system, undergoing treatment to obtain agricultural fertilizers; thus, the project has also contributed to the circular economy. Full article
(This article belongs to the Proceedings of The IX Iberian Congress of Ichthyology)
2 pages, 209 KB  
Abstract
Awareness and Prevention of Aquatic Invasive Alien Species in the Iberian Peninsula by LIFE INVASAQUA: Midterm Outcomes
by Francisco J. Oliva-Paterna, Rosa Olivo del Amo, Mar Torralva, Pedro M. Anastácio, Filipe M. S. Banha, Sandra Barca, Frederic Casals, Fernando Cobo, Antonio Guillén, Celia López-Cañizares, Annie Machordom, Rafael Miranda, Catherine Numa, Francisco J. Oficialdegui, Javier Oscoz, Anabel Perdices, Filipe Ribeiro, Jorge R. Sánchez-González, Rufino Vieira-Lanero and José Manuel Zamora-Marín
Biol. Life Sci. Forum 2022, 13(1), 47; https://doi.org/10.3390/blsf2022013047 - 7 Jun 2022
Cited by 1 | Viewed by 1525
Abstract
The Iberian society has a limited understanding of the threats posed by invasive alien species (IAS) in aquatic ecosystems. This lack of knowledge and awareness about IAS problems hampers any management policy proposed by public administration and stakeholders, contributing to missing an IAS [...] Read more.
The Iberian society has a limited understanding of the threats posed by invasive alien species (IAS) in aquatic ecosystems. This lack of knowledge and awareness about IAS problems hampers any management policy proposed by public administration and stakeholders, contributing to missing an IAS management strategy. We present the midterm outcomes of the Environmental Governance and Information LIFE project—LIFE INVASAQUA—that will run between 2018 and 2023 in the Iberian Peninsula. The main goal of INVASQUA is to increase the Iberian public and stakeholders’ awareness of aquatic IAS problems and to develop tools that will improve an efficient early warning and rapid response (EWRR) framework for new IAS in freshwater and estuarine habitats in the Iberian Peninsula. We focus on new challenges and outcomes of the project to explore some of the problems and solutions encountered in the project implementation. Full article
(This article belongs to the Proceedings of The IX Iberian Congress of Ichthyology)
17 pages, 2411 KB  
Article
Novel Mobile Integrons and Strain-Specific Integrase Genes within Shewanella spp. Unveil Multiple Lateral Genetic Transfer Events within The Genus
by Teolincacihuatl Ayala Nuñez, Gabriela N. Cerbino, María Florencia Rapisardi, Cecilia Quiroga and Daniela Centrón
Microorganisms 2022, 10(6), 1102; https://doi.org/10.3390/microorganisms10061102 - 26 May 2022
Cited by 6 | Viewed by 2932
Abstract
Shewanella spp. are Gram-negative bacteria that thrive in aquatic niches and also can cause infectious diseases as opportunistic pathogens. Chromosomal (CI) and mobile integrons (MI) were previously described in some Shewanella isolates. Here, we evaluated the occurrence of integrase genes, the integron systems [...] Read more.
Shewanella spp. are Gram-negative bacteria that thrive in aquatic niches and also can cause infectious diseases as opportunistic pathogens. Chromosomal (CI) and mobile integrons (MI) were previously described in some Shewanella isolates. Here, we evaluated the occurrence of integrase genes, the integron systems and their genetic surroundings in the genus. We identified 22 integrase gene types, 17 of which were newly described, showing traits of multiple events of lateral genetic transfer (LGT). Phylogenetic analysis showed that most of them were strain-specific, except for Shewanella algae, where SonIntIA-like may have co-evolved within the host as typical CIs. It is noteworthy that co-existence of up to five different integrase genes within a strain, as well as their wide dissemination to Alteromonadales, Vibrionales, Chromatiales, Oceanospirillales and Enterobacterales was observed. In addition, identification of two novel MIs suggests that continuous LGT events may have occurred resembling the behavior of class 1 integrons. The constant emergence of determinants associated to antimicrobial resistance worldwide, concomitantly with novel MIs in strains capable to harbor several types of integrons, may be an alarming threat for the recruitment of novel antimicrobial resistance gene cassettes in the genus Shewanella, with its consequent contribution towards multidrug resistance in clinical isolates. Full article
(This article belongs to the Special Issue Adaptive and Evolutionary Aspects of Integrons)
Show Figures

Figure 1

Back to TopTop