Sensitivity of Ostracods to U, Cd and Cu: The Case of Cypridopsis vidua
Abstract
1. Introduction
2. Materials and Methods
2.1. Material
2.2. Method
2.2.1. Single Acute Toxicity Test
2.2.2. Combined Acute Toxicity Test
- (1)
- Fixed ratio ray design (FRRD)
- (2)
- Equivalent effect concentration ratio (EECR)
- (3)
- Direct equipartition ray (EquRay)
2.2.3. Combined Acute Toxicity Prediction
2.3. Chemical Analysis
2.4. Data Processing
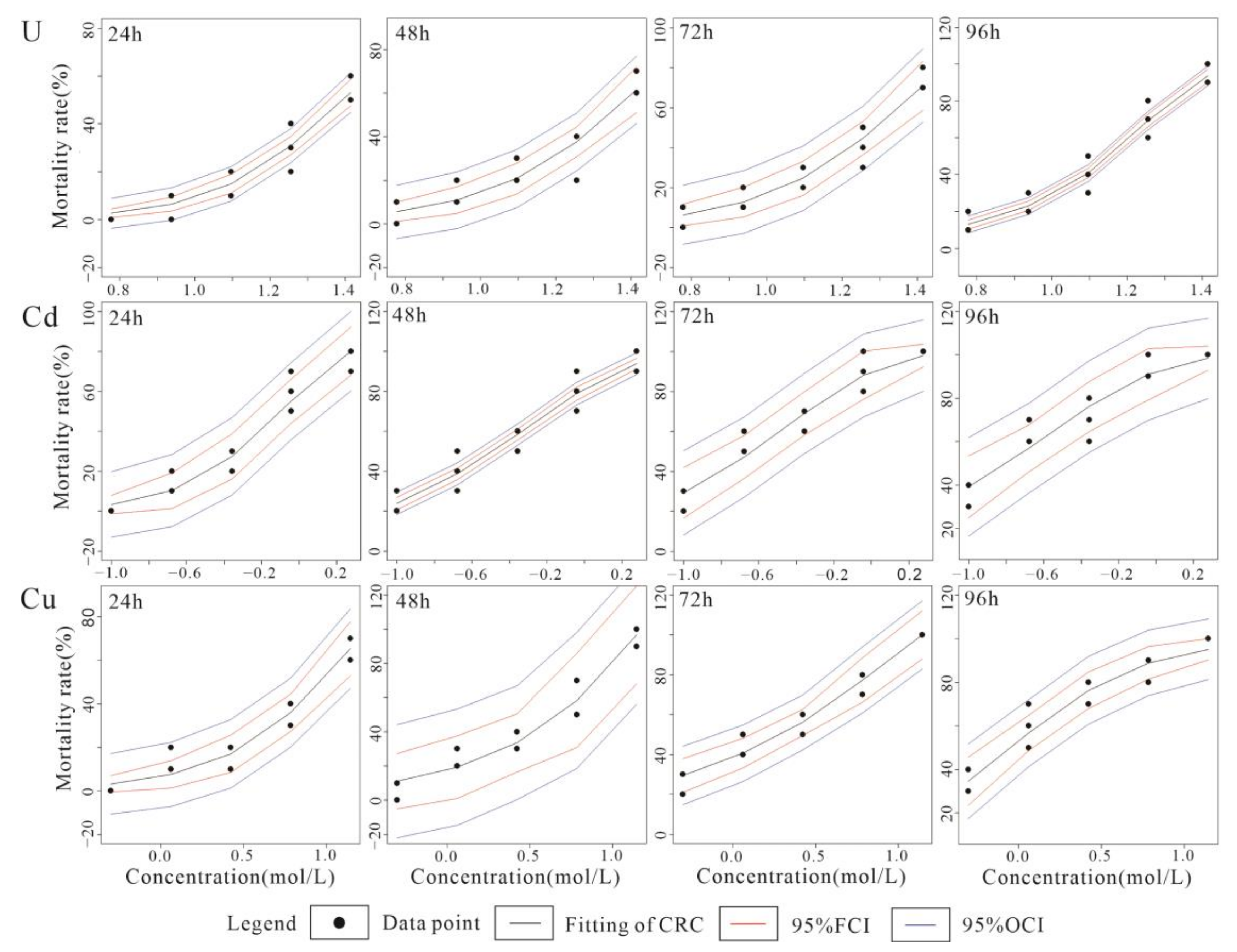
3. Results of Single Acute Toxicity Test
4. Results and Data Simulation of Combined Acute Toxicity Experiments
4.1. U-Cd Combined Acute Toxicity Test
4.2. U-Cu Combined Acute Toxicity Test
4.3. Cd-Cu Combined Acute Toxicity Test
5. Discussion
5.1. Discussion of Single Acute Toxicity Experiments
5.2. Discussion of Combined Acute Toxicity Experiments
5.2.1. Toxicity Evaluation of Combined Effects
5.2.2. Toxicity Effect Change Pattern
5.2.3. Model Prediction of Combined Toxicity
6. Conclusions
Author Contributions
Funding
Institutional Review Board Statement
Informed Consent Statement
Data Availability Statement
Acknowledgments
Conflicts of Interest
References
- Zhang, B.; Feng, Z.G.; Ma, Q.; Chen, R.; Wang, X.L.; Duan, X.Z.; Han, S.L. Pollution Characteristics and Environmental Availability of Uranium in the Soils around A Uranium Waste Rock Pile in Guangdong Province, China. Ecol. Environ. 2015, 24, 156–162. [Google Scholar] [CrossRef]
- Chen, Y.Y.; Zhang, H.; Hu, N.; Ding, D.X.; Dai, Z.R. Progress in Remediation Technologies for Contaminated Groundwater from In-situ Leach Uranium Mining. Min. Res. Dev. 2021, 41, 149–154. [Google Scholar] [CrossRef]
- Neiva, A.M.R.; Carvalho, P.C.S.; Antunes, I.M.H.R.; Albuquerque, M.T.D.; Santos, A.C.S.; Cunha, P.P.; Henriques, S.B.A. Assessment of metal and metalloid contamination in the waters and stream sediments around the abandoned uranium mine area from Mortórios, central Portugal. J. Geochem. Explor. 2019, 202, 35–48. [Google Scholar] [CrossRef]
- Trenfield, M.A.; Pease, C.J.; Walker, S.L.; Markich, S.J.; Humphrey, C.L.; van Dam, R.A.; Harford, A.J. Assessing the Toxicity of Mine-Water Mixtures and the Effectiveness of Water Quality Guideline Values in Protecting Local Aquatic Species. Environ. Toxicol. Chem. 2021, 40, 2334–2346. [Google Scholar] [CrossRef]
- Yi, L.; Gao, B.; Liu, H.; Zhang, Y.; Du, C.; Li, Y. Characteristics and Assessment of Toxic Metal Contamination in Surface Water and Sediments Near a Uranium Mining Area. Int. J. Environ. Res. Public Health 2020, 17, 548. [Google Scholar] [CrossRef]
- Chen, M.; Zheng, X.J.; Tao, M.X.; Li, F.G.; Hu, L.W.; Shi, Y.L.; Liu, Y.C. Pollution characteristics and risk assessment of heavy metals in sediment from Taojiang River Basin. Environ. Chem. 2020, 39, 2784–2791. [Google Scholar] [CrossRef]
- Sun, H.Y.; Hu, H.; Gao, P.; Chen, G.; Jiao, J.; Yang, Z.C. Ecological Risk Assessment of Heavy Metals in the Surface Sediments in Dagu River. Trans. Oceanol. Limnol. 2020, 5, 95–104. [Google Scholar] [CrossRef]
- Zhang, X.L.; Xu, L.C.; Zhang, H. Potential Ecological Risk Assessment of Heavy Metals Contamination in Farmland Soils near an Uranium Tailings Pond. Environ. Monit. China 2016, 32, 76–83. [Google Scholar] [CrossRef]
- Minter, K.M.; Jannik, G.T.; Hinck, J.E.; Cleveland, D.; Kubilius, W.P.; Kuhne, W.W. Biota Dose Assessment of Small Rodents Sampled Near Breccia Pipe Uranium Mines in the Grand Canyon Watershed. Health Phys. 2019, 117, 20–27. [Google Scholar] [CrossRef]
- Liu, S.L.; Tao, F.; Song, X.H.; Sun, Z.X. Study on the Biological Toxicity Assessment of one Southern Uranium Mine. Asian J. Ecotoxicol. 2018, 13, 203–208. [Google Scholar] [CrossRef]
- Jiang, Y.Z. New Advances of study on monitoring environmental pollution by biomarkers. Guangdong Chem. Ind. 2010, 37, 150–152, 154. [Google Scholar] [CrossRef]
- Liao, T.C.; Yi, J.Q.; Li, K.Z.; Tan, H.H. Advances on species diversity and ecology of marine pelagic ostracods. Ecol. Sci. 2019, 38, 190–198. [Google Scholar] [CrossRef]
- Khanal, R.; Furumai, H.; Nakajima, F.; Yoshimura, C. Carcinogenic profile, toxicity and source apportionment of polycyclic aromatic hydrocarbons accumulated from urban road dust in Tokyo, Japan. Ecotoxicol. Environ. Saf. 2018, 165, 440–449. [Google Scholar] [CrossRef]
- Niyommaneerat, W.; Nakajima, F.; Tobino, T.; Yamamoto, K. Development of a chronic sediment toxicity test using the benthic ostracod Heterocypris incongruens and their application to toxicity assessments of urban road dust. Ecotoxicol. Environ. Saf. 2017, 143, 266–274. [Google Scholar] [CrossRef]
- Szmigielska, M.; Wróbel, M.; Rybak, J. Assessment of water quality contaminated with arsenic using diatoms and Ostracodtoxkit F test. E3S Web Conf. 2018, 44, 174–179. [Google Scholar] [CrossRef]
- Kudłak, B.; Wolska, L.; Namieśnik, J. Determination of EC50 toxicity data of selected heavy metals toward Heterocypris incongruens and their comparison to “direct-contact” and microbiotests. Environ. Monit. Assess. 2011, 174, 509–516. [Google Scholar] [CrossRef]
- Wróbel, M.; Rybak, J.; Rogula-Kozłowska, W. The application of OSTRACODTOXKIT F™ test to assess metals contamination in road dust in Wrocław agglomeration. Sci. Rev. Eng. Environ. Sci. 2020, 29, 27–36. [Google Scholar] [CrossRef][Green Version]
- Lima, J.C.D.S.; Moreira, R.A.; Neto, A.J.G.; de Pádua Andrade, D.; Freitas, E.C.; Daam, M.A.; Rocha, O. Metal Toxicity Can Affect Dragonfly Nymphs and Ostracods Predation Rates and Food Selectivity: Ecological Implications on Food Webs. Water Air Soil Pollut. 2021, 288. [Google Scholar] [CrossRef]
- Sivalingam, P.; Salah, D.M.M.A.; Poté, J. Sediment Heavy Metal Contents, Ostracod Toxicity and Risk Assessment in Tropical Freshwater Lakes, Tamil Nadu, India. Soil Sediment Contam. Int. J. 2021, 30, 231–252. [Google Scholar] [CrossRef]
- Anandakumar, N.; Thajuddin, N. Effect of industrial effluents on Cypridopsis species (Ostracoda: Cyprididae) diversity in River Cauvery, Tamilnadu, India. Ecol. Environ. Conserv. 2021, 27, 93–98. Available online: https://www.researchgate.net/publication/353666381 (accessed on 23 May 2022).
- Tan, C.W.J.; Gouramanis, C.; Pham, T.D.; Hoang, D.Q.; Switzer, A.D. Ostracods as pollution indicators in Lap An Lagoon, central Vietnam. Environ. Pollut. 2021, 116762. [Google Scholar] [CrossRef]
- GB 3838-2002; Surface Water Environmental Quality Standards. State Environmental Protection Administration. Department of Science and Technology Standards: Beijing, China, 2002.
- Anzecc, A. Australian and New Zealand Guidelines for Fresh and Marine Water Quality; Australian and New Zealand Environment and Conservation Council and Agriculture and Resource Management Council of Australia and New Zealand: Canberra, Australia, 2008; pp. 1–314. [Google Scholar]
- Proykova, A.; Kraetke, R.; Bertollini, R.; Borges, T.; Duarte-Davidson, R.; Panagiotakos, D.; Slama, R.; Scott, M.; Testai, E.; Vermeire, T.; et al. Memorandum on weight of evidence and uncertainties Revision 2018; European Commission: Brussels, Belgium, 2018; pp. 1–48. [Google Scholar] [CrossRef]
- Chen, L.; Liu, J.; Tang, Z.P.; Liu, S.; Huang, W.; Han, S.L.; Wang, Z.Q.; Xie, Y.S. Characteristics of Distribution and Ecology of Recent Ostracods from Dongting Lake. Acta Sedimentol. Sin. 2019, 37, 143–154. [Google Scholar] [CrossRef]
- Yao, J.G.; Ma, S.X.; Wei, C.Q.; Li, D.P.; Ma, X.M.; Zhao, Q.H.; Ni, B.; Yu, N. New record of freshwater ostracods from the Yuandang Lake in the east China. Acta Micropalaeontol. Sin. 2016, 33, 280–292. [Google Scholar]
- Chen, L.; Liu, J.; Tang, Z.P.; Huang, W.; Liu, S.; Han, S.L.; Wang, Z.Q.; Xie, Y.S. Freshwater ostracods at the DT01 section from the Dongting Lake Hunan province, China. Acta Micropalaeontol. Sin. 2018, 35, 106–112. [Google Scholar]
- Ge, H.L.; Liu, S.S.; Su, B.X.; Xu, Z. Mathematical Derivation of Concentration Addition, Independent Action and Effect Summation Models. Appl. Mech. Mater. 2013, 361–363, 1054–1057. [Google Scholar] [CrossRef]
- Xu, X.Q.; Guo, P.; Wang, X.J.; Xie, C.Q.; Han, C.; Wang, X. Progress on CA and IA models in combined toxicity prediction of chemical mixtures. Prog. Vet. Med. 2020, 41, 91–94. [Google Scholar]
- Chen, S.M.; Yu, N.; Zhou, Y.Y.; Zhang, Q.; Li, E.C.; Chen, L.Q. Acutetoxicity experiment of Cd2+, Zn2+ and Cu2+ in physocypria kraepelini (ostracoda). Acta Micropalaeontol. Sin. 2010, 27, 118–124. [Google Scholar]
- Qin, L.-T.; Liu, S.-S.; Zhang, J.; Xiao, Q.-F. A novel model integrated concentration addition with independent action for the prediction of toxicity of multi-component mixture. Toxicology 2011, 280, 164–172. [Google Scholar] [CrossRef]
- Dou, R.-N.; Liu, S.-S.; Mo, L.-Y.; Liu, H.-L.; Deng, F.-C. A novel direct equipartition ray design (EquRay) procedure for toxicity interaction between ionic liquid and dichlorvos. Environ. Sci. Pollut. Res. 2011, 18, 734–742. [Google Scholar] [CrossRef]
- Bliss, C.I. The Toxicity of Poisons Applied Jointly. Ann. Appl. Biol. 1939, 26, 585–615. [Google Scholar] [CrossRef]
- Zhu, X.-W.; Ge, H.-L.; Cao, Y.-B. Mixture cytotoxicity assessment of ionic liquids and heavy metals in MCF-7 cells using mixtox. Chemosphere 2016, 163, 544–551. [Google Scholar] [CrossRef] [PubMed]
- Zhu, X.W.; Liu, S.S.; Qin, L.T.; Chen, F.; Liu, H.L. Modeling non-monotonic dose-response relationships: Model evaluation and hormetic quantities exploration. Ecotox. Environ. Safe. 2013, 89, 130–136. [Google Scholar] [CrossRef] [PubMed]
- Zhu, X.W.; Liu, S.S.; Ge, H.L.; Liu, Y. Comparision between two confidence intervals of dose-response relationships. China Environ. Sci. 2009, 29, 113–117. [Google Scholar] [CrossRef]
- UN GHS. Globally harmonized system of classification and labelling of chemicals (GHS), 5th revised ed.; United Nation: New York, NY, USA; Geneva, Switzerland, 2013. [Google Scholar] [CrossRef]
- Shankar, P.; Dashner-Titus, E.J.; Truong, L.; Hayward, K.; Hudson, L.G.; Tanguay, R.L. Developmental toxicity in zebrafish (Danio rerio) exposed to uranium: A comparison with lead, cadmium, and iron. Environ. Pollut. 2021, 97, 3761–3776. [Google Scholar] [CrossRef]
- Möhner, M.; Lindtner, M.; Otten, H.; Gille, H.-G. Leukemia and exposure to ionizing radiation among German uranium miners. Am. J. Ind. Med. 2006, 49, 238–248. [Google Scholar] [CrossRef]
- Vandenhove, H.; Sweeck, L.; Mallants, D.; Vanmarcke, H.; Aitkulov, A.; Sadyrov, O.; Savosin, M.; Tolongutov, B.; Mirzachev, M.; Clerc, J.; et al. Assessment of radiation exposure in the uranium mining and milling area of Mailuu Suu, Kyrgyzstan. J. Environ. Radioact. 2006, 88, 118–139. [Google Scholar] [CrossRef]
- Asghari, M.H.; Saeidnia, S.; Rezvanfar, M.A.; Abdollahi, M. A Systematic Review of the Molecular Mechanisms of Uranium-Induced Reproductive Toxicity. Inflamm. Allergy-Drug Targets 2015, 14, 67–76. [Google Scholar] [CrossRef]
- Yin, J. Studies on Toxics Effect and Mechanism of Heavy Metals on Zebrafish; Peking Union Medical College: Beijing, China, 2014; Available online: https://kns.cnki.net/KCMS/detail/detail.aspx?dbname=CDFD1214&filename=1014345479.nh (accessed on 23 May 2022).
- Traudt, E.M.; Ranville, J.F.; Smith, S.A.; Meyer, J.S. A test of the additivity of acute toxicity of binary-metal mixtures of Ni with Cd, Cu, and Zn to Daphnia magna, using the inflection point of the concentration-response curves. Environ. Toxicol. Chem. 2016, 35, 1843–1851. [Google Scholar] [CrossRef]
- Zhao, Y.; Kong, Q.; Fu, R.S. Single and joint toxicity of Cu2+, Cd2+ and Cr6+ on Poecilia reticulata. Water Technol. 2009, 3, 10–12, 20. [Google Scholar] [CrossRef]
- Otitoloju, A.A. Evaluation of the joint-action toxicity of binary mixtures of heavy metals against the mangrove periwinkle Tympanotonus fuscatus var radula (L.). Ecotoxicol. Environ. Saf. 2002, 53, 404–415. [Google Scholar] [CrossRef]
- Charles, A.L.; Markich, S.J.; Ralph, P. Toxicity of uranium and copper individually, and in combination, to a tropical freshwater macrophyte (Lemna aequinoctialis). Chemosphere 2006, 62, 1224–1233. [Google Scholar] [CrossRef]
- Xu, C.; Li, T.; Hu, C.; Guo, H.; Ye, J.; Li, L.; Liu, W.; Niu, L. Waterborne uranium causes toxic effect and thyroid disruption in zebrafish larvae. Ecotoxicol. Environ. Saf. 2021, 208, 111585. [Google Scholar] [CrossRef]
- Alsop, D.; Wood, C.M. Metal uptake and acute toxicity in zebrafish: Common mechanisms across multiple metals. Aquat. Toxicol. 2011, 105, 385–393. [Google Scholar] [CrossRef]
- Markich, S.J.; Warne, M.; Westbury, A.-M.; Roberts, C.J. A compilation of data on the toxicity of chemicals to species in Australasia. Part 3: Metals. Australas. J. Ecotoxicol. 2002, 8, 1–72. Available online: https://www.researchgate.net/publication/234814652 (accessed on 23 May 2022).
- Liber, K.; Doig, L.E.; White-Sobey, S.L. Toxicity of uranium, molybdenum, nickel, and arsenic to Hyalella azteca and Chironomus dilutus in water-only and spiked-sediment toxicity tests. Ecotoxicol. Environ. Saf. 2011, 74, 1171–1179. [Google Scholar] [CrossRef]
- Shuhaimi-Othman, M.; Yakub, N.; Ramle, N.-A.; Abas, A. Toxicity of Metals to a Freshwater Ostracod: Stenocypris major. J. Toxicol. 2011, 2011, 136104. [Google Scholar] [CrossRef]
- Zidour, M.; Boubechiche, Z.; Pan, Y.-J.; Bialais, C.; Cudennec, B.; Grard, T.; Drider, D.; Flahaut, C.; Ouddane, B.; Souissi, S. Population response of the estuarine copepod Eurytemora affinis to its bioaccumulation of trace metals. Chemosphere 2019, 220, 505–513. [Google Scholar] [CrossRef]
- Kefford, B.J.; King, C.K.; Wasley, J.; Riddle, M.J.; Nugegoda, D. Sensitivity of a Large and Representative Sample of Antarctic Marine Invertebrates to Metals. Environ. Toxicol. Chem. 2019, 38, 1560–1568. [Google Scholar] [CrossRef]
- Li, L.; Tian, X.; Yu, X.; Dong, S. Effects of Acute and Chronic Heavy Metal (Cu, Cd, and Zn) Exposure on Sea Cucumbers (Apostichopus japonicus). BioMed Res. Int. 2016, 2016, 4532697. [Google Scholar] [CrossRef]
- Hogan, A.; van Dam, R.; Markich, S.; Camilleri, C. Chronic toxicity of uranium to a tropical green alga (Chlorella sp.) in natural waters and the influence of dissolved organic carbon. Aquat. Toxicol. 2005, 75, 343–353. [Google Scholar] [CrossRef]
- Margerit, A.; Lecomte-Pradines, C.; Svendsen, C.; Frelon, S.; Gomez, E.; Gilbin, R. Nested interactions in the combined toxicity of uranium and cadmium to the nematode Caenorhabditis elegans. Ecotoxicol. Environ. Saf. 2015, 118, 139–148. [Google Scholar] [CrossRef]
- Prasad, M.; Malec, P.; Waloszek, A.; Bojko, M.; Strzałka, K. Physiological responses of Lemna trisulca L. (duckweed) to cadmium and copper bioaccumulation. Plant Sci. 2001, 161, 881–889. [Google Scholar] [CrossRef]
- Meyer, J.S.; Ranville, J.F.; Pontasch, M.; Gorsuch, J.W.; Adams, W.J. Acute toxicity of binary and ternary mixtures of Cd, Cu, and Zn to Daphnia magna. Environ. Toxicol. Chem. 2014, 34, 799–808. [Google Scholar] [CrossRef]
- Santore, R.C.; Ryan, A.C. Development and application of a multimetal multibiotic ligand model for assessing aquatic toxicity of metal mixtures. Environ. Toxicol. Chem. 2015, 34, 777–787. [Google Scholar] [CrossRef]
- Maloney, E.; Morrissey, C.; Headley, J.; Peru, K.; Liber, K. Can chronic exposure to imidacloprid, clothianidin, and thiamethoxam mixtures exert greater than additive toxicity in Chironomus dilutus? Ecotoxicol. Environ. Saf. 2018, 156, 354–365. [Google Scholar] [CrossRef]
- Kienle, C.; Köhler, H.-R.; Gerhardt, A. Behavioural and developmental toxicity of chlorpyrifos and nickel chloride to zebrafish (Danio rerio) embryos and larvae. Ecotoxicol. Environ. Saf. 2009, 72, 1740–1747. [Google Scholar] [CrossRef]
- Varano, V.; Fabbri, E.; Pasteris, A. Assessing the environmental hazard of individual and combined pharmaceuticals: Acute and chronic toxicity of fluoxetine and propranolol in the crustacean Daphnia magna. Ecotoxicology 2017, 26, 711–728. [Google Scholar] [CrossRef] [PubMed]
- Gong, B.; He, E.; Qiu, H.; Li, J.; Ji, J.; Zhao, L.; Cao, X. Phytotoxicity of individual and binary mixtures of rare earth elements (Y, La, and Ce) in relation to bioavailability. Environ. Pollut. 2019, 246, 114–121. [Google Scholar] [CrossRef] [PubMed]
- Jonker, M.J.; Svendsen, C.; Bedaux, J.J.; Bongers, M.; Kammenga, J.E. Significance Testing of Synergistic/Antagonistic, Dose Level-Dependent, or Dose Ratio-Dependent Effects in Mixture Dose-Response Analysis. Environ. Toxicol. Chem. 2005, 24, 2701–2713. [Google Scholar] [CrossRef] [PubMed]






| Function Name | ||
|---|---|---|
| Hill | ||
| Logit | ||
| Weibull | ||
| Box–Cox–Weibull (BCW) | ||
| Box–Cox–Logit (BCL) | ||
| Generalised Logit (GL) |
| Concentration Group | U/mg·L−1 | Cd/mg·L−1 | Cu/mg·L−1 |
|---|---|---|---|
| 1 | 6 | 0.1 | 0.5 |
| 2 | 8.66 | 0.21 | 1.15 |
| 3 | 12.49 | 0.44 | 2.65 |
| 4 | 18.02 | 0.91 | 6.09 |
| 5 | 26 | 1.9 | 14 |
| Element | Time | pH Value | Temperature/ °C | Dissolved Oxygen/ mg·L−1 | Hardness/ mg·L−1 |
|---|---|---|---|---|---|
| U | Before | 7.5 ± 0.1 | 25 ± 0.1 | 6.5 ± 0.2 | 155 ± 1 |
| After | 7.5 ± 0.1 | 25 ± 0.1 | 5.4 ± 0.2 | 155 ± 1 | |
| Cd | Before | 7.6 ± 0.1 | 25 ± 0.1 | 5.9 ± 0.2 | 147 ± 1 |
| After | 7.5 ± 0.1 | 25 ± 0.1 | 5.5 ± 0.2 | 147 ± 1 | |
| Cu | Before | 7.4 ± 0.1 | 25 ± 0.1 | 6.0 ± 0.2 | 154 ± 1 |
| After | 7.4 ± 0.1 | 25 ± 0.1 | 5.5 ± 0.2 | 154 ± 1 |
| Element | Time/h | Function | α | β | γ | MAE | Concentration/mg·L−1 | |||
|---|---|---|---|---|---|---|---|---|---|---|
| LC10 | LC30 | LC50 | ||||||||
| U | 24 | Logit | −8.161 | 5.858 | / | 0.991 | 0.011 | 10.424 (8.901–11.745) | 17.721 (16.649–18.791) | 24.723 (23.245–26.294) |
| 48 | Weibull | −6.331 | 4.443 | / | 0.976 | 0.026 | 8.286 (5.539–10.479) | 15.590 (13.651–17.471) | 21.998 (19.874–24.211) | |
| 72 | Weibull | −6.339 | 4.631 | / | 0.974 | 0.031 | 7.636 (4.698–9.846) | 14.001 (11.938–15.975) | 19.481 (17.454–21.591) | |
| 96 | GL | −20.611 | 15.376 | 0.236 | 0.999 | 0.005 | 5.105 (4.429–5.731) | 10.236 (9.789–10.673) | 14.244 (13.794–14.691) | |
| Cd | 24 | Logit | 0.358 | 3.732 | / | 0.976 | 0.037 | 0.206 (0.078–0.311) | 0.475 (0.352–0.610) | 0.801 (0.642–1.000) |
| 48 | Weibull | 0.515 | 1.817 | / | 0.997 | 0.010 | 0.030 (0.021–0.038) | 0.141 (0.123–0.160) | 0.327 (0.300–0.355) | |
| 72 | Weibull | 0.833 | 1.892 | / | 0.967 | 0.036 | 0.023 (0.002–0.052) | 0.103 (0.057–0.161) | 0.232 (0.167–0.314) | |
| 96 | Weibull | 0.947 | 1.644 | / | 0.952 | 0.037 | 0.011 (0.001–0.031) | 0.062 (0.028–0.111) | 0.158 (0.104–0.234) | |
| Cu | 24 | Weibull | −2.694 | 2.402 | / | 0.973 | 0.026 | 1.530 (0.569–2.531) | 4.926 (3.604–6.376) | 9.313 (7.462–11.454) |
| 48 | GL | −30.261 | 26.592 | 0.057 | 0.964 | 0.033 | 0.426 (0.001–1.569) | 2.236 (0.795–4.104) | 4.830 (2.601–7.482) | |
| 72 | GL | −87.563 | 81.627 | 0.011 | 0.990 | 0.013 | 0.030 (0.003–0.100) | 0.523 (0.266–0.894) | 1.964 (1.429–2.608) | |
| 96 | Logit | 0.115 | 2.493 | / | 0.975 | 0.029 | 0.118 (0.030–0.214) | 0.411 (0.269–0.586) | 0.898 (0.685–1.177) | |
| Concentration Design | Concentration Ratio | |||||
|---|---|---|---|---|---|---|
| U | Cd | U | Cu | Cd | Cu | |
| EE10 | 0.9978 | 0.0022 | 0.9774 | 0.0226 | 0.0853 | 0.9147 |
| EE30 | 0.9939 | 0.0061 | 0.9653 | 0.0347 | 0.1462 | 0.8538 |
| EE50 | 0.9890 | 0.0110 | 0.9434 | 0.0566 | 0.1560 | 0.8440 |
| Eq1 | 0.9978 | 0.0022 | 0.9881 | 0.0119 | 0.4802 | 0.5198 |
| Eq2 | 0.9945 | 0.0055 | 0.9709 | 0.0291 | 0.2699 | 0.7301 |
| Eq3 | 0.9890 | 0.0110 | 0.9434 | 0.0566 | 0.1560 | 0.8440 |
| Eq4 | 0.9783 | 0.0217 | 0.8928 | 0.1072 | 0.0846 | 0.9154 |
| Eq5 | 0.9475 | 0.0525 | 0.7692 | 0.2308 | 0.0356 | 0.9644 |
| Combination | Function | α | β | γ | MAE | LC30 (mg·L−1) | LC50 (mg·L−1) | |||||
|---|---|---|---|---|---|---|---|---|---|---|---|---|
| Actual Measured Value (Confidence Interval) | CA | IA | Actual Measured Value (Confidence Interval) | CA | IA | |||||||
| EE10 | Weibull | −1.872 | 1.861 | / | 0.967 | 0.034 | 2.831 (2.324–3.384) | 7.523 | 7.762 | 6.439 (5.693–7.257) | 11.9 | 12.1712 |
| EE30 | Weibull | −1.118 | 1.510 | / | 0.989 | 0.02 | 1.142 (0.993–1.303) | 5.149 | 5.661 | 3.147 (2.887–3.425) | 9.252 | 0.073 |
| EE50 | GL | −2.755 | 4.097 | 0.368 | 0.994 | 0.016 | 0.764 (0.681–0.852) | 3.668 | 4.127 | 1.791 (1.645–1.945) | 7.201 | 8.163 |
| Eq1 | GL | 0.680 | 3.080 | 10.667 | 0.992 | 0.019 | 2.942 (2.732–3.163) | 8.303 | 8.39 | 4.528 (4.217–4.870) | 12.637 | 12.727 |
| Eq2 | BCW | −1.523 | 1.394 | −0.359 | 0.984 | 0.028 | 1.458 (1.282–1.648) | 7.17 | 7.472 | 2.677 (2.375–3.021) | 11.547 | 11.907 |
| Eq3 | Weibull | −0.847 | 1.900 | / | 0.995 | 0.016 | 0.800 (0.725–0.877) | 3.448 | 3.884 | 1.789 (1.679–1.905) | 6.863 | 7.818 |
| Eq4 | GL | −5.722 | 8.191 | 0.123 | 0.989 | 0.021 | 0.315 (0.246–0.394) | 3.896 | 4.376 | 1.020 (0.898–1.150) | 7.542 | 8.502 |
| Eq5 | BCW | 0.141 | 0.636 | 0.130 | 0.996 | 0.01 | 0.121 (0.103–0.141) | 3.668 | 4.127 | 0.430 (0.393–0.469) | 7.201 | 8.163 |
| Combination | Function | α | β | γ | MAE | LC30 (mg·L−1) | LC50 (mg·L−1) | |||||
|---|---|---|---|---|---|---|---|---|---|---|---|---|
| Actual Measured Value (Confidence Interval) | CA | IA | Actual Measured Value (Confidence Interval) | CA | IA | |||||||
| EE10 | GL | 5.711 | 1.136 | 618.052 | 0.948 | 0.029 | 2.923 (2.427–3.508) | 6.643 | 7.643 | 8.958 (7.482–10.779) | 10.662 | 11.868 |
| EE30 | Logit | −0.993 | 1.431 | / | 0.983 | 0.013 | 1.265 (1.086–1.465) | 5.323 | 6.284 | 4.944 (4.563–5.357) | 9.054 | 10.43 |
| EE50 | BCW | −0.607 | 0.752 | −0.544 | 0.922 | 0.033 | 0.611 (0.451–0.822) | 4.231 | 5.017 | 1.422 (1.184–1.729) | 7.571 | 8.903 |
| Eq1 | BCW | −12.943 | 18.087 | −1.417 | 0.982 | 0.019 | 6.771 (6.196–7.440) | 7.573 | 8.473 | 19.939 (15.491–29.279) | 11.69 | 12.671 |
| Eq2 | BCW | −6.677 | 10.999 | −1.732 | 0.975 | 0.020 | 3.556 (3.211–3.980) | 6.936 | 7.916 | 18.309 (9.540–25.328) | 10.995 | 12.137 |
| Eq3 | BCW | −2.174 | 1.510 | −0.660 | 0.972 | 0.021 | 2.856 (2.472–3.311) | 3.68 | 4.341 | 10.646 (8.632–13.504) | 6.762 | 7.993 |
| Eq4 | BCW | −0.976 | 0.807 | −0.709 | 0.958 | 0.023 | 0.936 (0.800–1.099) | 4.335 | 5.142 | 2.951 (2.335–3.875) | 7.718 | 9.063 |
| Eq5 | BCW | −0.472 | 0.522 | −0.749 | 0.938 | 0.034 | 0.455 (0.371–0.561) | 4.231 | 5.017 | 1.244 (0.940–1.748) | 7.571 | 8.903 |
| Combination | Function | α | β | γ | MAE | LC30 (mg·L−1) | LC50 (mg·L−1) | |||||
|---|---|---|---|---|---|---|---|---|---|---|---|---|
| Actual Measured Value (Confidence Interval) | CA | IA | Actual Measured Value (Confidence Interval) | CA | IA | |||||||
| EE10 | GL | 1.195 | 2.764 | 0.745 | 0.985 | 0.027 | 0.115 (0.094–0.138) | 0.276 | 0.238 | 0.258 (0.217–0.307) | 0.638 | 0.523 |
| EE30 | GL | 1.096 | 2.902 | 0.457 | 0.982 | 0.026 | 0.054 (0.042–0.069) | 0.237 | 0.206 | 0.153 (0.125–0.186) | 0.556 | 0.457 |
| EE50 | BCW | 1.020 | 0.263 | −0.497 | 0.984 | 0.030 | 0.041 (0.035–0.047) | 0.224 | 0.196 | 0.075 (0.065–0.086) | 0.529 | 0.437 |
| Eq1 | GL | 4.065 | 1.798 | 3.531 | 0.978 | 0.034 | 0.017 (0.014–0.021) | 0.331 | 0.287 | 0.038 (0.031–0.047) | 0.747 | 0.625 |
| Eq2 | Logit | 2.187 | 2.216 | / | 0.955 | 0.054 | 0.042 (0.029–0.058) | 0.322 | 0.278 | 0.103 (0.079–0.134) | 0.729 | 0.606 |
| Eq3 | GL | 9.826 | 1.732 | 2195.314 | 0.979 | 0.035 | 0.045 (0.037–0.055) | 0.140 | 0.130 | 0.095 (0.079–0.116) | 0.344 | 0.303 |
| Eq4 | Hill | 0.124 | 1.078 | / | 0.976 | 0.034 | 0.056 (0.044–0.069) | 0.194 | 0.172 | 0.124 (0.105–0.146) | 0.464 | 0.389 |
| Eq5 | GL | 3.111 | 2.234 | 2.568 | 0.987 | 0.023 | 0.068 (0.059–0.078) | 0.224 | 0.196 | 0.135 (0.118–0.154) | 0.529 | 0.437 |
| Phylum | Species | U | Cd | Cu | Reference |
|---|---|---|---|---|---|
| Magnoliophyta | Lemna aequinoctialis | 3.2 μmol·L−1 | 0.25 μmol·L−1 | [46] | |
| Vertebrate | Brachydanio rerio | 3.05 mg·L−1 | 3.8 mg·L−1 | 212 μg·L−1 | [47,48] |
| Melanotaenia nigrans | 2.16 mg·L−1 | 135 μg·L−1 | [49] | ||
| Melanotaenia splendida inornata | 3.94 mg·L−1 | 168 μg·L−1 | [49] | ||
| Mollusca | Velesunio angasi | 941 μg·L−1 | 184 μg·L−1 | 10.4 μg·L−1 | [49] |
| Arthropoda | Cypridopsis vidua | 14.2 mg·L−1 | 158 μg·L−1 | 898 μg·L−1 | Present study |
| Chironomus dilutus | 33.5 mg·L−1 | [50] | |||
| Hyalella azteca | 8.2 mg·L−1 | 17.5 μg·L−1 | 912 μg·L−1 | [50,51] | |
| Eurytemora affinis (Males) | 127.8 μg·L−1 | 25.0 μg·L−1 | [52] | ||
| Eurytemora affinis (Females) | 90.0 μg·L−1 | 38.0 μg·L−1 | [52] | ||
| Heterophoxus videns | 1.95 mg·L−1 | 1.30 mg·L−1 | [53] | ||
| Stenocypris major | 13.1 μg·L−1 | 25.2 μg·L−1 | [53] | ||
| Echinodermata | Ophiura flexibilis | 1.95 mg·L−1 | 396 μg·L−1 | [53] | |
| Apostichopus japonicus | 1.57 mg·L−1 | 133 μg·L−1 | [54] |
| Combination | U-Cd | U-Cu | Cd-Cu | ||||||
|---|---|---|---|---|---|---|---|---|---|
| LC50 | SR | SR | LC50 | SR | SR | LC50 | SR | SR | |
| U | Cd | U | Cu | Cd | Cu | ||||
| EE10 | 6.439 | 2.212 | 0.025 | 8.958 | 1.590 | 0.100 | 0.258 | 0.612 | 3.481 |
| EE30 | 3.147 | 4.526 | 0.050 | 4.944 | 2.881 | 0.182 | 0.153 | 1.033 | 5.869 |
| EE50 | 1.791 | 7.953 | 0.088 | 1.422 | 10.017 | 0.632 | 0.075 | 2.107 | 11.973 |
| Eq1 | 4.528 | 3.146 | 0.035 | 19.939 | 0.714 | 0.045 | 0.038 | 4.158 | 23.632 |
| Eq2 | 2.677 | 5.321 | 0.059 | 18.309 | 0.778 | 0.049 | 0.103 | 1.534 | 8.718 |
| Eq3 | 1.789 | 7.962 | 0.088 | 10.646 | 1.338 | 0.084 | 0.095 | 1.663 | 9.453 |
| Eq4 | 1.02 | 13.965 | 0.155 | 2.951 | 4.827 | 0.304 | 0.124 | 1.274 | 7.242 |
| Eq5 | 0.43 | 33.126 | 0.367 | 1.244 | 11.450 | 0.722 | 0.135 | 1.170 | 6.652 |
Publisher’s Note: MDPI stays neutral with regard to jurisdictional claims in published maps and institutional affiliations. |
© 2022 by the authors. Licensee MDPI, Basel, Switzerland. This article is an open access article distributed under the terms and conditions of the Creative Commons Attribution (CC BY) license (https://creativecommons.org/licenses/by/4.0/).
Share and Cite
Chen, L.; Huo, Z.; Su, C.; Liu, Y.; Huang, W.; Liu, S.; Feng, P.; Guo, Z.; Su, Z.; He, H.; et al. Sensitivity of Ostracods to U, Cd and Cu: The Case of Cypridopsis vidua. Toxics 2022, 10, 349. https://doi.org/10.3390/toxics10070349
Chen L, Huo Z, Su C, Liu Y, Huang W, Liu S, Feng P, Guo Z, Su Z, He H, et al. Sensitivity of Ostracods to U, Cd and Cu: The Case of Cypridopsis vidua. Toxics. 2022; 10(7):349. https://doi.org/10.3390/toxics10070349
Chicago/Turabian StyleChen, Liang, Zheng Huo, Chi Su, Yong Liu, Wei Huang, Shan Liu, Peng Feng, Zhixin Guo, Zhihua Su, Haiyang He, and et al. 2022. "Sensitivity of Ostracods to U, Cd and Cu: The Case of Cypridopsis vidua" Toxics 10, no. 7: 349. https://doi.org/10.3390/toxics10070349
APA StyleChen, L., Huo, Z., Su, C., Liu, Y., Huang, W., Liu, S., Feng, P., Guo, Z., Su, Z., He, H., & Sui, Q. (2022). Sensitivity of Ostracods to U, Cd and Cu: The Case of Cypridopsis vidua. Toxics, 10(7), 349. https://doi.org/10.3390/toxics10070349

