Sign in to use this feature.

Years

Between: -

Subjects

remove_circle_outline
remove_circle_outline
remove_circle_outline
remove_circle_outline
remove_circle_outline
remove_circle_outline

Journals

Article Types

Countries / Regions

Search Results (25)

Search Parameters:
Keywords = anti-Ma2 antibody

Order results
Result details
Results per page
Select all
Export citation of selected articles as:
11 pages, 2827 KB  
Article
Characteristics of Microaneurysm Size in Residual Edema After Intravitreal Injection of Faricimab for Diabetic Macular Edema
by Yutaka Yamada, Yoshihiro Takamura, Masakazu Morioka, Hideyuki Oshima, Makoto Gozawa, Takehiro Matsumura and Masaru Inatani
J. Clin. Med. 2024, 13(24), 7839; https://doi.org/10.3390/jcm13247839 - 22 Dec 2024
Cited by 1 | Viewed by 1345
Abstract
Background/Objectives: Microaneurysms (MAs) are important in the pathology of diabetic macular edema (DME) and its response to anti-vascular endothelial growth factor (VEGF) therapy. This study aimed to clarify the morphological characteristics of MAs in residual edema following consecutive faricimab injections, a bispecific antibody [...] Read more.
Background/Objectives: Microaneurysms (MAs) are important in the pathology of diabetic macular edema (DME) and its response to anti-vascular endothelial growth factor (VEGF) therapy. This study aimed to clarify the morphological characteristics of MAs in residual edema following consecutive faricimab injections, a bispecific antibody against angiopoietin-2 and VEGF. Methods: We selected patients with DME who exhibited residual edema after three monthly injections of faricimab. In both the residual and absorbed areas of edema, we counted the turnover of MAs, including those that were lost and those that were newly formed. The total number of MAs was determined based on the merged images from an optical coherence tomography (OCT) map and fluorescein angiography. Results: A total of 8 of the 42 patients who received three monthly injections of faricimab showed residual edema one month after the injections. In the residual edema, the density of MAs and the number of maintained MAs were significantly higher (p = 0.04), while the number of disappeared MAs (p = 0.04) and MA turnover (p = 0.01) were lower compared to the absorbed areas. Among the MAs that persisted after the initial injection, the proportion of large-sized MAs (p = 0.01) and their density were significantly greater than those in the absorbed area. In conclusion, the residual areas following three doses of faricimab displayed a higher MA density, less MA loss, and a high density of large-sized MAs compared to the absorbed areas. Our data suggest that large-size MAs located in the residual edema are characteristic of DME cases refractory to faricimab treatment. Full article
(This article belongs to the Special Issue An Update on Retinal Diseases: From Diagnosis to Treatment)
Show Figures

Figure 1

19 pages, 852 KB  
Article
Autoantibodies Targeting G-Protein-Coupled Receptors and RAS-Related Molecules in Post-Acute COVID Vaccination Syndrome: A Retrospective Case Series Study
by Mauro Mantovani, Paolo Bellavite, Serafino Fazio, Giuseppe Di Fede, Marco Tomasi, Daniele Belli and Elisabetta Zanolin
Biomedicines 2024, 12(12), 2852; https://doi.org/10.3390/biomedicines12122852 - 15 Dec 2024
Cited by 3 | Viewed by 24888
Abstract
Background/Objectives: While post-acute COVID-19 syndrome is well known and extensively studied, the post-acute COVID vaccination syndrome (PACVS) is a more recent nosological entity that is poorly defined at the immunopathological level, although it shares many symptoms with the sequelae of viral infections. [...] Read more.
Background/Objectives: While post-acute COVID-19 syndrome is well known and extensively studied, the post-acute COVID vaccination syndrome (PACVS) is a more recent nosological entity that is poorly defined at the immunopathological level, although it shares many symptoms with the sequelae of viral infections. Methods: This single-center retrospective study reports a case series of 17 subjects vaccinated with mRNA or adenoviral vector vaccines who were healthy before vaccination and had never been infected with SARS-CoV-2 but who presented with symptoms similar to PACVS for a median time of 20 months (min 4, max 32). The medical records of all patients referred to our outpatient clinic over a one-year period were retrospectively analyzed. Results: In this group, serological tests showed that, in addition to positivity for anti-spike protein antibodies, a high percentage of subjects were positive for antibodies against G protein-coupled receptors and molecules involved in the response to SARS-CoV-2. In a panel of 16 autoantibodies tested, a few were positively associated with some of the symptoms reported by patients: anti-ATR1 with lymphadenopathy and/or tonsillitis; anti-ACE2 with skin symptoms such as ecchymosis, skin oedema, and rash; anti-MAS1 with widespread burning sensation; and anti-STAB1 with skin oedema and rash. Anti-ADRA2A were negatively associated with memory loss and/or mental fog. ACE2 correlated with the serum levels of anti-S antibodies, supporting the hypothesis of an anti-idiotype mechanism in the immunopathogenesis of PACVS. Conclusions: This exploratory analysis suggests that the levels of autoantibodies directed against ACE2, and probably also MAS1 and STAB1, may serve as biomarkers for PACVS. Full article
Show Figures

Graphical abstract

17 pages, 2554 KB  
Article
Increased Risk of Myositis-Specific and Myositis-Associated Autoantibodies After COVID-19 Pandemic and Vaccination: A Spanish Multicenter Collaborative Study
by Laura García-Bravo, Alvaro Prada, María Gutiérrez Larrañaga, Eduardo Espinosa Ros, Delia Almeida González, Dolores Martín Martínez, Telesforo Rodríguez Sánchez, Carlos Gustavo Mingorance Gámez, Aurora Jurado Roger, Rocío Aguado Álvarez, María De Las Mercedes Díaz Luna, Carmen Rodríguez Hernández, Raquel de la Varga-Martínez, María López-Cueto, Maria Rosa Julià Benique, Miriam San José-Cascón, Bibiana Quirant-Sánchez, Alba Martínez-Chamorro, Goitzane Marcaida-Benito, Pilar Teresa Timoneda Timoneda, Marta Fandos Sánchez, Beatriz Sacristán Enciso, Kauzar Mohamed Mohamed, Teresa Guerra-Galán, Ángela Villegas, Andrés Roncancio-Clavijo, Margarita Rodríguez-Mahou, Silvia Sánchez-Ramón, Miguel Fernández-Arquero, Gloria Candelas-Rodríguez, Juliana Ochoa-Grullón and on behalf of the GEAI-SEI Groupadd Show full author list remove Hide full author list
Biomedicines 2024, 12(12), 2800; https://doi.org/10.3390/biomedicines12122800 - 10 Dec 2024
Cited by 5 | Viewed by 3932
Abstract
Background: Emerging evidence suggests that SARS-CoV-2 infection and vaccines may trigger autoimmune responses in predisposed individuals. Idiopathic inflammatory myopathies (IIMs) are diseases with diverse clinical manifestations, often associated with myositis autoantibodies (MAs). Diagnosing IIM is challenging due to limitations in classification criteria [...] Read more.
Background: Emerging evidence suggests that SARS-CoV-2 infection and vaccines may trigger autoimmune responses in predisposed individuals. Idiopathic inflammatory myopathies (IIMs) are diseases with diverse clinical manifestations, often associated with myositis autoantibodies (MAs). Diagnosing IIM is challenging due to limitations in classification criteria and diagnostic assays. This study aimed to describe the incidence of IIM following SARS-CoV-2 infection or vaccination and compare rates between exposures. Methods: A multicenter observational study was conducted with 788 patients from 11 Spanish referral centers. A total of 1209 autoantibodies including myositis-specific autoantibodies (MSAs) and myositis-associated autoantibodies (MAAs), were analyzed using line blot immunoassay (LIA). Results: The study identified distinct patterns in aminoacyl-tRNA synthetase (ARS) antibody frequencies compared to pre-pandemic periods. Anti-PL-7 was the most prevalent ARS antibody (14.85%), while anti-Jo-1 was less frequent (7.23%). Anti-MDA5, commonly linked to SARS-CoV-2 infection, was detected in 11.68%. ANA positivity was observed in 60.66%, suggesting an autoimmune background. The most frequent diagnoses were anti-synthetase syndrome (ASSD) or IIM-non-ASSD (21.31%), followed by other systemic autoimmune diseases (SAIDs) (13.57%). Among the cohort, 91.13% received at least one dose of a messenger RNA (mRNA) COVID-19 vaccine, with a median of three doses per patient. Patients with prior SARS-CoV-2 infection or heterologous vaccination showed a higher frequency of multiple autoantibody positivity (p < 0.05), reflecting distinct immune signatures. Conclusions: This study provides valuable insights into the autoimmune risks and phenotypes associated with SARS-CoV-2 infection and vaccination, establishing a basis for further research on IIM and its link to MSAs and MAAs. Full article
(This article belongs to the Special Issue Advanced Biomedical Research on COVID-19 (2nd Edition))
Show Figures

Figure 1

26 pages, 795 KB  
Review
Therapies for Chronic Spontaneous Urticaria: Present and Future Developments
by Riccardo Asero, Paolo Calzari, Silvia Vaienti and Massimo Cugno
Pharmaceuticals 2024, 17(11), 1499; https://doi.org/10.3390/ph17111499 - 7 Nov 2024
Cited by 14 | Viewed by 23859
Abstract
Chronic spontaneous urticaria (CSU) is a complex dermatological condition characterized by recurrent wheals and/or angioedema lasting for more than six weeks, significantly impairing patients’ quality of life. According to European guidelines, the first step in treatment involves second-generation H1-antihistamines (sgAHs), which block peripheral [...] Read more.
Chronic spontaneous urticaria (CSU) is a complex dermatological condition characterized by recurrent wheals and/or angioedema lasting for more than six weeks, significantly impairing patients’ quality of life. According to European guidelines, the first step in treatment involves second-generation H1-antihistamines (sgAHs), which block peripheral H1 receptors to alleviate symptoms. In cases with inadequate responses, the dose of antihistamines can be increased by up to fourfold. If symptoms persist despite this adjustment, the next step involves the use of omalizumab, a monoclonal anti-IgE antibody, which has shown efficacy in the majority of cases. However, a subset of patients remains refractory, necessitating alternative treatments such as immunosuppressive agents like cyclosporine or azathioprine. To address these unmet needs, several new therapeutic targets are being explored. Among them, significant attention is being given to drugs that block Bruton’s tyrosine kinase (BTK), such as remibrutinib, which reduces mast cell activation. Therapies like dupilumab, which target the interleukin-4 (IL-4) and IL-13 pathways, are also under investigation. Additionally, molecules targeting the Mas-related G protein-coupled receptor X2 (MRGPRX2), and those inhibiting the tyrosine kinase receptor Kit, such as barzolvolimab, show promise in clinical studies. These emerging treatments offer new options for patients with difficult-to-treat CSU and have the potential to modify the natural course of the disease by targeting key immune pathways, helping to achieve longer-term remission. Further research is essential to better elucidate the pathophysiology of CSU and optimize treatment protocols to achieve long-term benefits in managing this condition. Altogether, the future of CSU treatments that target pathogenetic mechanisms seems promising. Full article
(This article belongs to the Special Issue Drug Candidates for Allergic Diseases)
Show Figures

Figure 1

16 pages, 268 KB  
Review
Autoimmune Encephalitis and Paraneoplastic Neurological Syndromes with Progressive Supranuclear Palsy-like Manifestations
by Naoki Yamahara, Akira Takekoshi, Akio Kimura and Takayoshi Shimohata
Brain Sci. 2024, 14(10), 1012; https://doi.org/10.3390/brainsci14101012 - 9 Oct 2024
Cited by 2 | Viewed by 4064
Abstract
Background: Advances in diagnostic procedures have led to an increasing rate of diagnosis of autoimmune encephalitis or paraneoplastic neurological syndrome (AE/PNS) among patients with progressive supranuclear palsy (PSP)-like manifestations. Methods: In this narrative review, we first discuss the clinical characteristics of AE/PNS in [...] Read more.
Background: Advances in diagnostic procedures have led to an increasing rate of diagnosis of autoimmune encephalitis or paraneoplastic neurological syndrome (AE/PNS) among patients with progressive supranuclear palsy (PSP)-like manifestations. Methods: In this narrative review, we first discuss the clinical characteristics of AE/PNS in comparison to those of PSP, followed by a discussion of diagnosis and treatment. Results: The antibodies involved in these conditions include anti-IgLON5, -Ma2, and -Ri antibodies, each of which has a characteristic clinical presentation. The steps in the diagnosis of AE/PNS in patients with PSP-like manifestations include (i) suspicion of AE/PNS based on clinical presentations atypical of PSP and (ii) antibody detection measures. Methods used to identify antibodies include a combination of tissue-based assays and confirmatory tests. The primary confirmatory tests include cell-based assays and immunoblotting. Treatments can be divided into immunotherapy and tumor therapies, the former of which includes acute and maintenance therapies. Conclusions: One of the major challenges of diagnosis is that existing reports on PSP-like patients with AE/PNS include only case reports, with the majority discussing antibodies other than anti-IgLON5 antibody. As such, more patients need to be evaluated to establish the relationship between antibodies and PSP-like manifestations. Full article
13 pages, 443 KB  
Article
Paraneoplastic Neurological Syndromes as Initial Presentation of Tumors: An Eight-Year Single-Center Experience
by Konstantinos Melanis, Maria-Ioanna Stefanou, Dimitrios K. Kitsos, Athanasia Athanasaki, Aikaterini Theodorou, Eleftheria Koropouli, Anna Keramida, Evangelia Makrina Dimitriadou, Dimitrios Tzanetakos, Elizabeth Andreadou, Ioanna Koutroulou, Sotirios Giannopoulos, George P. Paraskevas, Georgios Tsivgoulis and John S. Tzartos
J. Clin. Med. 2024, 13(3), 824; https://doi.org/10.3390/jcm13030824 - 31 Jan 2024
Cited by 5 | Viewed by 5513
Abstract
Background: Paraneoplastic Neurological Syndromes (PNS) comprise a diverse group of disorders propagated by immune-mediated effects of malignant tumors on neural tissue. Methods: A single-center longitudinal study was performed including consecutive adult patients treated at a tertiary academic hospital between 2015 and 2023 and [...] Read more.
Background: Paraneoplastic Neurological Syndromes (PNS) comprise a diverse group of disorders propagated by immune-mediated effects of malignant tumors on neural tissue. Methods: A single-center longitudinal study was performed including consecutive adult patients treated at a tertiary academic hospital between 2015 and 2023 and diagnosed with PNS. PNS were ascertained using the 2004 and the revised 2021 PNS-Care diagnostic criteria. Results: Thirteen patients who fulfilled the 2004 definite PNS criteria were included. PNS comprise diverse neurological syndromes, with neuromuscular junction disorders (54%) and limbic encephalitis (31%) being predominant. PNS-related antibodies were detected in 85% of cases, including anti-AChR (n = 4), anti-P/Q-VGCC (n = 3), anti-Hu (n = 3), anti-Yo (n = 1), anti-Ma (n = 1), anti-titin (n = 1), anti-IgLON5 (n = 1), and anti-GAD65 (n = 1). Thymoma (31%), small-cell lung cancer (23%), and papillary thyroid carcinoma (18%) were the most frequent tumors. Imaging abnormalities were evident in 33% of cases. Early immunotherapy within 4-weeks from symptom onset was associated with favorable outcomes. At a mean follow-up of 2 ± 1 years, two patients with anti-Hu and anti-Yo antibodies died (18%). Four and three patients fulfilled the 2021 PNS-Care diagnostic criteria for definite and probable PNS, respectively. Conclusions: This study highlights the clinical heterogeneity of PNS, emphasizing the need for early suspicion and prompt treatment initiation for optimal outcomes. Full article
(This article belongs to the Section Clinical Neurology)
Show Figures

Figure 1

11 pages, 1286 KB  
Brief Report
Characterization of Immunogenicity and Safety of COVID-19 mRNA-1273 in HIV-Positive Italian Patients with Hemophilia: A Prospective Single-Center Cohort Study
by Chiara Suffritti, Roberta Gualtierotti, Sara Arcudi, Alessandro Ciavarella, Cristina Novembrino, Anna Lecchi, Silvia La Marca, Lidia Padovan, Erica Scalambrino, Marigrazia Clerici, Patrizia Bono, Ferruccio Ceriotti, Antonio Muscatello, Simona Maria Siboni and Flora Peyvandi
J. Clin. Med. 2023, 12(17), 5475; https://doi.org/10.3390/jcm12175475 - 23 Aug 2023
Cited by 1 | Viewed by 2286
Abstract
To characterize the immunogenicity of mRNA-1273 (Moderna, Cambridge, MA, USA) vaccine in HIV-positive hemophilic patients during the third COVID-19 wave in Italy and to investigate biomarkers of coagulation and endothelial perturbation before and after complete vaccination schedule, twenty-three consecutive adult HIV-positive patients with [...] Read more.
To characterize the immunogenicity of mRNA-1273 (Moderna, Cambridge, MA, USA) vaccine in HIV-positive hemophilic patients during the third COVID-19 wave in Italy and to investigate biomarkers of coagulation and endothelial perturbation before and after complete vaccination schedule, twenty-three consecutive adult HIV-positive patients with hemophilia were included. Blood was collected before and two weeks after vaccination. We measured anti-SARS-CoV-2 spike protein antibodies to assess immunogenicity; circulating biomarkers of coagulation (protein C and D-dimer), endothelial perturbation (von Willebrand factor (VWF)) and anti-Platelet Factor 4 (PF4) antibodies were analyzed. Flow-based analysis of thrombus formation was performed in nine patients using a flow-chamber device. Two weeks after completing the vaccination schedule, all patients had anti-spike antibodies values consistent with an effective immunization. Mean (±standard deviation) basal values of protein C and VWF (106 ± 21% and 171 ± 45%, respectively) were not significantly different from data obtained two weeks after the second dose (103 ± 20%, 162 ± 43%, respectively). D-dimer median values (interquartile range) were not significantly different at baseline (442 (603–142) ng/mL) and after the second dose (477 (654–262) ng/mL). Anti-PF4 antibodies were detected in three patients with no associated clinical manifestations. No significant differences were found in flow-based analysis of thrombus formation. Our data demonstrate that in HIV-positive patients with hemophilia, SARS-CoV-2 vaccination is effective and safe, with no effects on coagulation and endothelial perturbation. Full article
(This article belongs to the Section Immunology & Rheumatology)
Show Figures

Figure 1

14 pages, 26301 KB  
Article
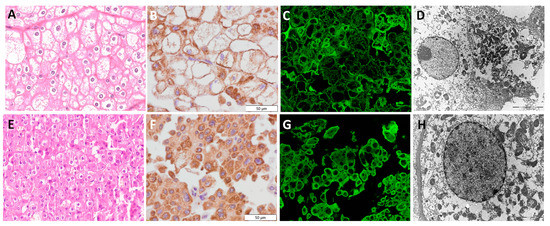
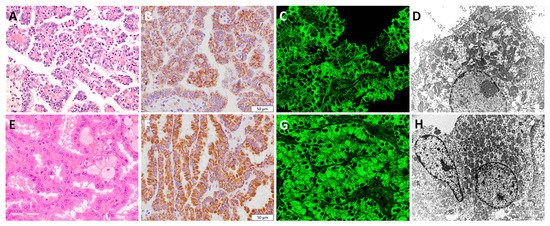
The Utility of Mitochondrial Detection Methods Applied as an Additional Tool for the Differentiation of Renal Cell Tumors
by Gorana Nikolic, Maja Zivotic, Sanja Cirovic, Sanja Despotovic, Dusko Dundjerovic and Sanja Radojevic Skodric
Diagnostics 2023, 13(14), 2319; https://doi.org/10.3390/diagnostics13142319 - 9 Jul 2023
Cited by 3 | Viewed by 2510
Abstract
The precise differentiation of renal cell tumors (RCTs) is sometimes hard to achieve using standard imaging and histopathological methods, especially for those with eosinophilic features. It has been suggested that the vast overabundance of mitochondria, as a well-known hallmark of eosinophilic cytoplasm, and [...] Read more.
The precise differentiation of renal cell tumors (RCTs) is sometimes hard to achieve using standard imaging and histopathological methods, especially for those with eosinophilic features. It has been suggested that the vast overabundance of mitochondria, as a well-known hallmark of eosinophilic cytoplasm, and could be a characteristic of distinct tumor types with opposing clinical outcomes. Thus, we intended to explore the associations between mitochondrial distribution patterns in different RCTs, including 43 cell renal cell carcinomas (ccRCCs), 15 papillary renal cell carcinomas (pRCCs), 20 chromophobe renal cell carcinomas (chRCCs), and 18 renal oncocytomas (ROs). Tumor samples were stained with two anti-mitochondrial antibodies (mitochondrial antibody Ab-2, clone MTC02; prohibitin, II-14-10, MA5-12858), applying immunohistochemistry and immunofluorescence to define mitochondrial distribution patterns (coarse scanty, moderate granular, and diffuse granular). Our results revealed significantly different expression patterns among the investigated RCTs (p < 0.001). The majority of ccRCCs exhibited coarse scanty mitochondrial staining, while all chRCCs had moderate granular expression. Nevertheless, all ROs, all pRCCs, and two cases of ccRCC presenting with higher nuclear grade and eosinophilic cytoplasm had diffuse granular mitochondrial expression. Moreover, with increased distribution of mitochondria, the intensity of staining was higher (p < 0.001). Here we present a strategy that utilizes fast and easy mitochondrial detection to differentiate RO from chRCC, as well as other eosinophilic variants of RCC with high accuracy. Full article
(This article belongs to the Section Pathology and Molecular Diagnostics)
Show Figures

Figure 1

13 pages, 3530 KB  
Article
Electrochemical Detection of Vibrio cholerae by Amine Functionalized Biocompatible Gadolinium Oxide Nanoparticles
by Ashutosh Kumar, Tamal Sarkar, Robin Kumar, Amulya K. Panda and Pratima R. Solanki
Micromachines 2023, 14(5), 995; https://doi.org/10.3390/mi14050995 - 3 May 2023
Cited by 1 | Viewed by 2527
Abstract
Herein, we report the biocompatible amine-functionalized gadolinium oxide nanoparticles (Gd2O3 NPs) for the possibility of electrochemical detection of Vibrio cholerae (Vc) cells. The microwave irradiation process is applied to synthesize Gd2O3 NPs. The amine (NH [...] Read more.
Herein, we report the biocompatible amine-functionalized gadolinium oxide nanoparticles (Gd2O3 NPs) for the possibility of electrochemical detection of Vibrio cholerae (Vc) cells. The microwave irradiation process is applied to synthesize Gd2O3 NPs. The amine (NH2) functionalization is carried out via overnight stirring with 3(Aminopropyl)triethoxysilane (APTES) at 55 °C. The size of NPs amine functionalized APETS@Gd2O3 NPs are determined by transmission electron microscopy (TEM). APETS@Gd2O3 NPs are further electrophoretically deposited onto indium tin oxide (ITO) coated glass substrate to obtain working electrode surface. The monoclonal antibodies (anti-CT) specific to cholera toxin associated to Vc cells are covalently immobilized onto the above electrodes using EDC-NHS chemistry and further BSA is added to obtain the BSA/anti-CT/APETS@Gd2O3/ITO immunoelectrode. Further, this immunoelectrode shows the response for cells in CFU range from 3.125 × 106 to 30 × 106 and is very selective with sensitivity and LOD 5.07 mA CFUs mL cm−2 and 0.9375 × 106 CFU respectively. To establish a future potential for APTES@Gd2O3 NPs in field of biomedical applications and cytosensing, the effect of APTES@Gd2O3 NPs on mammalian cells is also observed using in vitro cytotoxicity assay and cell cycle analysis. Full article
(This article belongs to the Special Issue Microfluidics and Biosensors for Point-of-Care Applications)
Show Figures

Graphical abstract

11 pages, 1106 KB  
Brief Report
Rescue of Pap-Mas in Systemic JIA Using Janus Kinase Inhibitors, Case Report and Systematic Review
by Franck Zekre, Anita Duncan, Audrey Laurent, Maud Tusseau, Rémi Pescarmona, Sophie Collardeau-Frachon, Camille Ohlmann, Sébastien Viel, Philippe Reix, Sarah Benezech and Alexandre Belot
J. Clin. Med. 2023, 12(7), 2702; https://doi.org/10.3390/jcm12072702 - 4 Apr 2023
Cited by 13 | Viewed by 3352
Abstract
Introduction: Biological disease-modifying anti-rheumatic drugs (bDMARDs) targeting interleukin (IL)-6 and IL-1β represent a steroid-sparing first-line therapy used in systemic-onset juvenile idiopathic arthritis (sJIA). Recently, the occurrence of pulmonary alveolar proteinosis (PAP) in sJIA patients was reported with early-onset and exposure to bDMARDs as [...] Read more.
Introduction: Biological disease-modifying anti-rheumatic drugs (bDMARDs) targeting interleukin (IL)-6 and IL-1β represent a steroid-sparing first-line therapy used in systemic-onset juvenile idiopathic arthritis (sJIA). Recently, the occurrence of pulmonary alveolar proteinosis (PAP) in sJIA patients was reported with early-onset and exposure to bDMARDs as potential risk factors. We report on a new case with longitudinal immunomonitoring successfully treated by Janus Kinase inhibitors (JAKi) and review past clinical descriptions of this new entity. Methods: We report one case of pulmonary alveolar proteinosis and macrophage activation syndrome (PAP-MAS) with longitudinal immunomonitoring. We then conducted a review of the literature of seven publications reporting 107 cases of PAP-MAS sJIA, and included the main characteristics and evolution under treatment. Results: Of the seven articles analyzed, the incidence of PAP-MAS among sJIA patients varied from 1.28% to 12.9%. We report here a single case among a cohort of 537 sJIA patients followed in the pediatric department of the Hospices Civils de Lyon over the last 15 years. This child presented with all clinical and immunological characteristics of PAP-MAS. After several lines of treatment, he benefited from JAKi and improved with respect to both systemic symptoms and lung disease. In the literature, strategies with monoclonal antibodies targeting either INF-γ or IL-1β/IL-18 have been tested with variable results. Orally taken JAKi presents the advantage of targeting multiple cytokines and avoiding parenteral injections of monoclonal antibodies that may contribute to the pathogenesis. Conclusions: JAKi represent a promising option in the treatment of lung disease associated with sJIA. Full article
(This article belongs to the Special Issue New Advances in Juvenile Idiopathic Arthritis (JIA))
Show Figures

Figure 1

13 pages, 3963 KB  
Article
Amine Functionalized Gadolinium Oxide Nanoparticles-Based Electrochemical Immunosensor for Cholera
by Ashutosh Kumar, Tamal Sarkar and Pratima R. Solanki
Biosensors 2023, 13(2), 177; https://doi.org/10.3390/bios13020177 - 23 Jan 2023
Cited by 12 | Viewed by 3786
Abstract
Herein, we report the synthesis and functionalization of gadolinium oxide nanoparticles (Gd2O3 NPs) to fabricate a highly efficient immunosensor for the detection of Vibrio cholera toxin (CT). Gd2O3 NPs were produced in a straightforward manner utilizing the [...] Read more.
Herein, we report the synthesis and functionalization of gadolinium oxide nanoparticles (Gd2O3 NPs) to fabricate a highly efficient immunosensor for the detection of Vibrio cholera toxin (CT). Gd2O3 NPs were produced in a straightforward manner utilizing the microwave irradiation technique using a domestic microwave oven. X-ray diffraction, transmission electron microscopy, and spectroscopic techniques were used to characterize the structural and physical aspects of Gd2O3 NPs. The Gd2O3 NPs were then functionalized with 3-(Aminopropyl) triethoxysilane (APTES) and electrophoretically deposited onto an ITO-coated glass substrate. The anti-CT monoclonal antibodies were covalently attached to the APTES-Gd2O3/ITO electrode via EDC-NHS chemistry, followed by bovine serum albumin (BSA). For CT detection, electrochemical response experiments using BSA/anti-CT/APTES-Gd2O3/ITO immunoelectrodes were carried out (5–700 ng mL−1). The immunoelectrode demonstrated an outstanding electrochemical reaction against CT, with a sensitivity of 8.37 mA ng−1 mL cm−2 and a detection limit of 1.48 ng mL−1. Full article
Show Figures

Figure 1

17 pages, 1752 KB  
Article
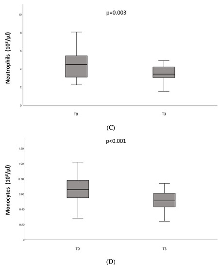
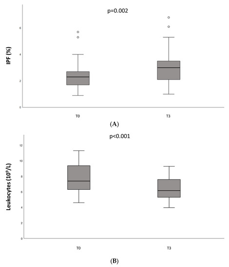
Preliminary Study on the Host Response to Bivalent and Monovalent Autogenous Vaccines against Mycoplasma agalactiae in Dairy Sheep
by Hany A. Hussein, Marco Tolone, Lucia Condorelli, Paola Galluzzo, Roberto Puleio, Irene Vazzana, Maria Luisa Scatassa, Gavino Marogna, Santino Barreca, Guido Ruggero Loria, Lucia Galuppo and Sergio Migliore
Vet. Sci. 2022, 9(12), 651; https://doi.org/10.3390/vetsci9120651 - 22 Nov 2022
Cited by 1 | Viewed by 2409
Abstract
In Italy, dairy sheep farming represents a vital agro-industry sector, but it is still challenged by contagious agalactia (CA), which is endemic there, and vaccination is the most economical and sustainable tool for control. This study aimed to evaluate the combined Mycoplasma agalactiae [...] Read more.
In Italy, dairy sheep farming represents a vital agro-industry sector, but it is still challenged by contagious agalactia (CA), which is endemic there, and vaccination is the most economical and sustainable tool for control. This study aimed to evaluate the combined Mycoplasma agalactiae (Ma)-Staphylococcus aureus (Sa) vaccine (Ma–Sa) against the Ma monovalent vaccine in ewes. Twelve primiparous Ma-free ewes were randomly grouped into three equal groups: first, the control group injected with placebo, second, the group vaccinated with the Ma monovalent vaccine, and third, the group vaccinated with Ma–Sa combined vaccine, with two S/C doses at 45-day intervals. The animals were examined for serological, hematological, and somatic cell count (SCC) changes for 17 successive weeks. A significant increase in anti-Ma antibody mean titers, leukocytes, and platelets was observed in the vaccinated animals, with the highest values in those who received the combined vaccine. Neutrophils were high only in the animals who received the combined vaccine. SCC was lower in the vaccinated animals during the first six weeks. This study concludes that the combined Ma–Sa vaccines enhance immune response and potentiate its efficacy against Ma. This improvement might be attributed to the sensitization/activation effect of S. aureus on platelets, which are recoded to act as a key regulator for the coordination of all components of the innate immune system. Even though this study included a small number of animals, its findings about the potentialities of this inactivated vaccine in the control of CA are strongly encouraging. Further confirmation might be needed through additional replicates and a challenge study is needed before proceeding with widespread use. Full article
(This article belongs to the Special Issue Advances in Research on Animal Infectious Diseases)
Show Figures

Figure 1

15 pages, 990 KB  
Article
Active and Passive Immunization with an Anti-Methamphetamine Vaccine Attenuates the Behavioral and Cardiovascular Effects of Methamphetamine
by Colin N. Haile, Kurt J. Varner, Xia Huijing, Reetakshi Arora, Frank M. Orson, Thomas R. Kosten and Therese A. Kosten
Vaccines 2022, 10(9), 1508; https://doi.org/10.3390/vaccines10091508 - 9 Sep 2022
Cited by 7 | Viewed by 3580
Abstract
Background: Methamphetamine use disorder (MUD) is a growing health concern with no FDA-approved treatment. The present series of studies build upon our previous work developing an anti-methamphetamine (MA) vaccine for MUD. We determined the effects of a formulation that included tetanus-toxoid (TT) conjugated [...] Read more.
Background: Methamphetamine use disorder (MUD) is a growing health concern with no FDA-approved treatment. The present series of studies build upon our previous work developing an anti-methamphetamine (MA) vaccine for MUD. We determined the effects of a formulation that included tetanus-toxoid (TT) conjugated to succinyl-methamphetamine (TT-SMA) adsorbed onto aluminum hydroxide (alum) in combination with the novel Toll-Like Receptor-5 agonist, entolimod. Methods: Mice were vaccinated (0, 3, 6 weeks) with TT-SMA+alum and various doses of entolimod to determine an optimal dose for enhancing immunogenicity against MA. Functional effects were then assessed using MA-induced locomotor activation in mice. Experiments using passive immunization of antibodies generated by the vaccine tested its ability to attenuate MA-induced cardiovascular effects and alter the reinforcing effects of MA in an MA-induced reinstatement of a drug seeking model of relapse in male and female rats. Results: Antibody levels peaked at 10 weeks following vaccination with TT-SMA+alum combined with entolimod (1, 3 and 10 μg). MA-induced locomotor activation was significantly attenuated in vaccinated vs. unvaccinated mice and antibody levels significantly correlated with ambulation levels. Passive immunization decreased mean arterial pressure following MA dosing in rats of both sexes but did not alter heart rate. Passive immunization also attenuated the ability of MA to reinstate extinguished drug-seeking behavior in male and female rats. Results support further development of this vaccine for relapse prevention for individuals with MUD. Full article
(This article belongs to the Special Issue Vaccines against Drugs of Abuse)
Show Figures

Figure 1

10 pages, 2407 KB  
Communication
Production and Evaluation of Chicken Egg Yolk Immunoglobulin (IgY) against Human and Simian Rotaviruses
by Gentil Arthur Bentes, Natália Maria Lanzarini, Juliana Rodrigues Guimarães, Marcos Bryan Heinemann, Eduardo de Mello Volotão, Alexandre dos Santos da Silva, Luiz Guilherme Dias Heneine, Jaqueline Mendes de Oliveira and Marcelo Alves Pinto
Viruses 2022, 14(9), 1995; https://doi.org/10.3390/v14091995 - 9 Sep 2022
Cited by 9 | Viewed by 4180
Abstract
Producing specific antibodies in chickens is an attractive approach for diagnosis or therapeutic applications. Besides the high immunoglobulin Y (IgY) yield transferred to the egg yolk and its suitability for large-scale production, such an approach is more bioethical for animal maintenance. The IgY [...] Read more.
Producing specific antibodies in chickens is an attractive approach for diagnosis or therapeutic applications. Besides the high immunoglobulin Y (IgY) yield transferred to the egg yolk and its suitability for large-scale production, such an approach is more bioethical for animal maintenance. The IgY technology offers new possibilities for application in human and veterinary diagnostics and therapeutics, including strategies for treating severe intestinal diseases in children, particularly in emerging countries. Herein, we describe the production and purification of polyclonal antibodies against rotavirus group A (RVA) in immunised hens aiming at its application in prophylaxis and treatment of rotavirus-induced diarrhoea. For this purpose, we inoculated Rhodia laying chickens (Gallus gallus domesticus) with two or three doses of RVA combined with adjuvants or only adjuvants (control group). As the egg-laying period began, the yolk protein purification processes yielded a high concentration of specific IgY, the highest titre resulting from the group of hens that received three doses of the immunogen. The purified IgY blocked the functional activity of RVA in MA-104 cells, thus confirming the neutralisation ability. Therefore, anti-RVA IgY could be a promising candidate for pre- and post-exposure prevention or treatment of rotavirus-induced diarrhoea. Full article
(This article belongs to the Special Issue The Application of Viruses to Biotechnology 2022)
Show Figures

Figure 1

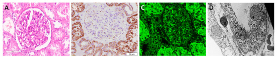
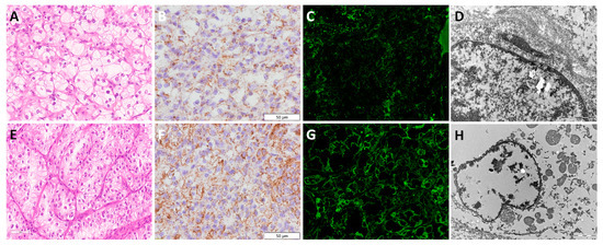
16 pages, 3216 KB  
Article
Add-On Cyclic Angiotensin-(1-7) with Cyclophosphamide Arrests Progressive Kidney Disease in Rats with ANCA Associated Glomerulonephritis
by Domenico Cerullo, Daniela Rottoli, Daniela Corna, Mauro Abbate, Ariela Benigni, Giuseppe Remuzzi and Carlamaria Zoja
Cells 2022, 11(15), 2434; https://doi.org/10.3390/cells11152434 - 5 Aug 2022
Cited by 4 | Viewed by 2839
Abstract
Rapidly progressive crescentic glomerulonephritis associated with anti-neutrophil cytoplasmic antibodies (ANCA-GN) is a major cause of renal failure. Current immunosuppressive therapies are associated with severe side effects, intensifying the need for new therapeutic strategies. The activation of Mas receptor/Angiotensin-(1-7) axis exerted renoprotection in chronic [...] Read more.
Rapidly progressive crescentic glomerulonephritis associated with anti-neutrophil cytoplasmic antibodies (ANCA-GN) is a major cause of renal failure. Current immunosuppressive therapies are associated with severe side effects, intensifying the need for new therapeutic strategies. The activation of Mas receptor/Angiotensin-(1-7) axis exerted renoprotection in chronic kidney disease. Here, we investigated the effect of adding the lanthionine-stabilized cyclic form of angiotensin-1-7 [cAng-(1-7)] to cyclophosphamide in a rat model of ANCA-GN. At the onset of proteinuria, Wistar Kyoto rats with ANCA-GN received vehicle or a single bolus of cyclophosphamide, with or without daily cAng-(1-7). Treatment with cAng-(1-7) plus cyclophosphamide reduced proteinuria by 85% vs. vehicle, and by 60% vs. cyclophosphamide, and dramatically limited glomerular crescents to less than 10%. The addition of cAng-(1-7) to cyclophosphamide protected against glomerular inflammation and endothelial rarefaction and restored the normal distribution of parietal epithelial cells. Ultrastructural analysis revealed a preserved GBM, glomerular endothelium and podocyte structure, demonstrating that combination therapy provided an additional layer of renoprotection. This study demonstrates that adding cAng-(1-7) to a partially effective dose of cyclophosphamide arrests the progression of renal disease in rats with ANCA-GN, suggesting that cAng-(1-7) could be a novel clinical approach for sparing immunosuppressants. Full article
(This article belongs to the Special Issue Recent Advances in Development and Progression of Kidney Diseases)
Show Figures

Figure 1

Back to TopTop