Sign in to use this feature.

Years

Between: -

Subjects

remove_circle_outline
remove_circle_outline
remove_circle_outline
remove_circle_outline
remove_circle_outline
remove_circle_outline
remove_circle_outline
remove_circle_outline
remove_circle_outline

Journals

remove_circle_outline
remove_circle_outline
remove_circle_outline
remove_circle_outline
remove_circle_outline
remove_circle_outline

Article Types

Countries / Regions

remove_circle_outline
remove_circle_outline
remove_circle_outline
remove_circle_outline

Search Results (286)

Search Parameters:
Keywords = anomaly scan

Order results
Result details
Results per page
Select all
Export citation of selected articles as:
16 pages, 10588 KB  
Brief Report
A Cost-Effective and Efficient Geological Safety Survey Method for Early-Stage Site Screening of Carbon Sequestration: A Case Study of the Lishui Sag
by Qingsheng Guan and Zhongyan Shen
Appl. Sci. 2026, 16(2), 791; https://doi.org/10.3390/app16020791 - 13 Jan 2026
Viewed by 98
Abstract
Marine geological carbon sequestration (GCS) is crucial for achieving carbon neutrality, with site geological safety being paramount. To address the high cost of extensive multi-channel seismic (MCS) surveys during the early site screening stage, especially for those underexplored basins, this paper proposes an [...] Read more.
Marine geological carbon sequestration (GCS) is crucial for achieving carbon neutrality, with site geological safety being paramount. To address the high cost of extensive multi-channel seismic (MCS) surveys during the early site screening stage, especially for those underexplored basins, this paper proposes an integrated and cost-effective exploration method that combines gravity, magnetic, and sub-bottom profiling (SBP) surveys. This method enables efficient areal scanning for initial assessment of geological safety during early-stage site screening. The Lishui Sag, which has relatively well-defined structural information, was selected as a test site to validate the effectiveness of this method. The survey results show that the faults identified from the horizontal gradient magnitude (HGM) of gravity and magnetic anomalies exhibit good consistency with the major faults interpreted from MCS profiles, with average horizontal position offsets of approximately 2.3 km and 2.4 km, and average strike deviations of about 5.7° and 7.2°, respectively. While SBP detection effectively reveals shallow geohazards such as shallow gases. By leveraging the complementary strengths of geophysical data, this method can reliably identify key geological risk factors of carbon sequestration (e.g., faults, magmatic intrusions, shallow gases) during the early-stage site screening phase (regional scale) while significantly reducing survey costs. Although this method is not intended to provide a comprehensive geological safety assessment for final CO2 storage site approval, it offers an integrated survey approach that balances reliability and cost-effectiveness for early-stage, regional-scale risk assessment in site screening. Full article
(This article belongs to the Section Marine Science and Engineering)
Show Figures

Figure 1

16 pages, 3344 KB  
Article
From Diagnosis to Decision—Fetal Limb Abnormalities
by Andreea Florentina Stancioi-Cismaru, Razvan Grigoras Capitanescu, Mihaela-Simona Naidin, Cristian Constantin, Marina Dinu, Florin Burada, Oana Sorina Tica, Mihaela Gheonea, Bianca Catalina Andreiana, Razvan Cosmin Pana and Stefania Tudorache
J. Clin. Med. 2026, 15(2), 486; https://doi.org/10.3390/jcm15020486 - 8 Jan 2026
Viewed by 124
Abstract
Background/Objectives: Our aim was to investigate the diagnostic accuracy of prenatal ultrasound (US) in fetal limb abnormalities. As a secondary target, we wanted to correlate various predictors for the diagnosis accuracy. Methods: We prospectively enrolled cases with routine prenatal US performed in five [...] Read more.
Background/Objectives: Our aim was to investigate the diagnostic accuracy of prenatal ultrasound (US) in fetal limb abnormalities. As a secondary target, we wanted to correlate various predictors for the diagnosis accuracy. Methods: We prospectively enrolled cases with routine prenatal US performed in five participating centers. Subsequently, we selected and processed all cases with limb abnormalities: suspected, diagnosed, and missed on the prenatal diagnosis scans. We collected data on the type of anomaly, the US equipment and probes used, the operator’s expertise, the gestational age at the diagnosis, the length of the examination, and the use of US reporting form. SPSS 22.0 software was applied to perform the analyses using non-parametric statistical methods. Associations between categorical variables were evaluated using Fisher’s exact test and Chi-square tests. For correlations between the gestational age and the anomaly severity, we used Spearman’s rank-order correlation. Predictive performance of operator- and scan-related variables for diagnostic accuracy was assessed using receiver operating characteristic (ROC) curve analysis, with area under the curve (AUC) estimates, standard errors (SE), confidence intervals (95% CI), and p-values reported. Results: Our data showed that most US examinations were performed as part of routine screening (79.7%), and the most frequent anomaly diagnosed was clubfoot. Operators’ expertise demonstrated the highest predictive performance, while technical parameters—scan duration (AUC = 0.20, p = 0.1188) and US equipment (AUC = 0.30, p = 0.3478)—did not significantly predict diagnostic accuracy. Conclusions: The overall diagnostic accuracy of prenatal US was 85.5%. Our findings indicate that diagnostic performance is driven primarily by operator expertise and training, rather than by gestational age at scan and technical parameters. Full article
Show Figures

Figure 1

11 pages, 5555 KB  
Article
Dynamics of Ferroelastic Domain Walls Associated with the Dielectric Relaxation in CsPbCl3 Single Crystals
by Zijun Yu, Chen Zou and Dexin Yang
Nanomaterials 2026, 16(1), 57; https://doi.org/10.3390/nano16010057 - 31 Dec 2025
Viewed by 251
Abstract
Cesium lead chloride (CsPbCl3) is a stable, wide-bandgap perovskite with significant potential for ultraviolet (UV) photodetection and blue light-emitting diodes (LEDs). However, the dynamical mechanisms of ferroelastic domain walls associated with the dielectric relaxations in a single-crystal have rarely been reported. [...] Read more.
Cesium lead chloride (CsPbCl3) is a stable, wide-bandgap perovskite with significant potential for ultraviolet (UV) photodetection and blue light-emitting diodes (LEDs). However, the dynamical mechanisms of ferroelastic domain walls associated with the dielectric relaxations in a single-crystal have rarely been reported. In this work, we observed reversible phase transitions from cubic to tetragonal, and further to orthorhombic symmetry, accompanied by the formation and evolution of strip-like ferroelastic domain walls, using in situ X-ray diffraction (XRD), differential scanning calorimetry (DSC), polarized optical microscopy (POM), and dielectric measurements. Notably, the dielectric studies revealed low temperature (~170–180 K) frequency-dependent loss peaks that we attribute to the pinning of polarized domain walls by chloride vacancies. We also found that the formation or disappearance of ferroelastic domain walls near the octahedral tilting transition temperatures leads to pronounced anomalies in the dielectric permittivity. These findings clarify the intrinsic phase behavior of CsPbCl3 single crystals and underscore the significant contribution of ferroelastic domain walls to its dielectric response, providing insights for optimizing its optoelectronic performance. Full article
Show Figures

Graphical abstract

25 pages, 573 KB  
Article
Enhancing IoT Security with Generative AI: Threat Detection and Countermeasure Design
by Alex Oacheșu, Kayode S. Adewole, Andreas Jacobsson and Paul Davidsson
Electronics 2026, 15(1), 92; https://doi.org/10.3390/electronics15010092 - 24 Dec 2025
Viewed by 266
Abstract
The rapid proliferation of Internet of Things (IoT) devices has increased the attack surface for cyber threats. Traditional intrusion detection systems often struggle to keep pace with novel or evolving threats. This study proposes an end-to-end generative AI-based intrusion detection and response pipeline [...] Read more.
The rapid proliferation of Internet of Things (IoT) devices has increased the attack surface for cyber threats. Traditional intrusion detection systems often struggle to keep pace with novel or evolving threats. This study proposes an end-to-end generative AI-based intrusion detection and response pipeline designed for automated threat mitigation in smart home IoT environments. It leverages a Variational Autoencoder (VAE) trained on benign traffic to flag anomalies, a fine-tuned Bidirectional Encoder Representations from Transformers (BERT) model to classify anomalies into five attack categories (C&C, DDoS, Okiru, PortScan, and benign), and Grok3—a large language model—to generate tailored countermeasure recommendations. Using the Aposemat IoT-23 dataset, the VAE model achieves a recall of 0.999 and a precision of 0.961 for anomaly detection. The BERT model achieves an overall accuracy of 99.90% with per-class F1 scores exceeding 0.99. End-to-end prototype simulation involving 10,000 network traffic samples demonstrate a 98% accuracy in identifying cyber attacks and generating countermeasures to mitigate them. The pipeline integrates generative models for improved detection and automated security policy formulation in IoT settings, enhancing detection and enabling quicker and actionable security responses to mitigate cyber threats targeting smart home environments. Full article
Show Figures

Figure 1

19 pages, 5163 KB  
Article
Differentiated Surface Deterioration Mechanisms of the Macao Rammed Earth Wall Based on Terrestrial Laser Scanning
by Yiru Zheng, Kam Kin Lao, Guang Huang, Meng Wang, Wei Liu and Yalong Xing
Coatings 2026, 16(1), 12; https://doi.org/10.3390/coatings16010012 - 22 Dec 2025
Viewed by 441
Abstract
The Macao rammed earth wall is a typical representative of cultural heritage in hot-humid regions. However, the spatial differentiation mechanisms of its surface deterioration remain unclear. This study, taking the Old Wall in Macao as a case, combined field investigation with terrestrial laser [...] Read more.
The Macao rammed earth wall is a typical representative of cultural heritage in hot-humid regions. However, the spatial differentiation mechanisms of its surface deterioration remain unclear. This study, taking the Old Wall in Macao as a case, combined field investigation with terrestrial laser scanning (TLS) and thermal imaging to systematically reveal the spatial distribution patterns of surface pathologies and their hydrological driving mechanisms. Based on structural separations and deterioration characteristics, the wall was divided into three adjacent sections for comparative analysis. The main conclusions are as follows: (1) Quantitative analysis showed the section with a gentler slope (77%) experienced significant flatness deterioration due to uneven settlement, promoting internal water penetration that triggered severe undercutting (35% of its surface area); (2) The other two sections maintained steep slopes (86%) that promoted surface runoff, which combined with adjacent building drainage led to significant biological colonization (68% in the section most affected by nearby temple drainage); (3) Thermal imaging verified the correlation between water infiltration cores and temperature-flatness anomalies, enabling construction of a coupled “geometry-hydrology-pathology” model that elucidates the complete causal chain from foundation settlement to surface pathology. This study provides a theoretical basis and technical support for the differentiated protection of rammed earth heritage in hot-humid environments. Full article
Show Figures

Figure 1

34 pages, 9590 KB  
Article
Selecting Feature Subsets in Continuous Flow Network Attack Traffic Big Data Using Incremental Frequent Pattern Mining
by Sikha S. Bagui, Andrew Benyacko, Dustin Mink, Subhash C. Bagui and Arijit Bagchi
Algorithms 2025, 18(12), 795; https://doi.org/10.3390/a18120795 - 16 Dec 2025
Viewed by 248
Abstract
This work focuses on finding frequent patterns in continuous flow network traffic Big Data using incremental frequent pattern mining. A newly created Zeek Conn Log MITRE ATT&CK framework labeled dataset, UWF-ZeekData24, generated using the Cyber Range at The University of West Florida, was [...] Read more.
This work focuses on finding frequent patterns in continuous flow network traffic Big Data using incremental frequent pattern mining. A newly created Zeek Conn Log MITRE ATT&CK framework labeled dataset, UWF-ZeekData24, generated using the Cyber Range at The University of West Florida, was used for this study. While FP-Growth is effective for static datasets, its standard implementation does not support incremental mining, which poses challenges for applications involving continuously growing data streams, such as network traffic logs. To overcome this limitation, a staged incremental FP-Growth approach is adopted for this work. The novelty of this work is in showing how incremental FP-Growth can be used efficiently on continuous flow network traffic, or streaming network traffic data, where no rebuild is necessary when new transactions are scanned and integrated. Incremental frequent pattern mining also generates feature subsets that are useful for understanding the nature of the individual attack tactics. Hence, a detailed understanding of the features or feature subsets of the seven different MITRE ATT&CK tactics is also presented. For example, the results indicate that core behavioral rules, such as those involving TCP protocols and service associations, emerge early and remain stable throughout later increments. The incremental FP-Growth framework provides a structured lens through which network behaviors can be observed and compared over time, supporting not only classification but also investigative use cases such as anomaly tracking and technique attribution. And finally, the results of this work, the frequent itemsets, will be useful for intrusion detection machine learning/artificial intelligence algorithms. Full article
Show Figures

Figure 1

4 pages, 455 KB  
Interesting Images
Prenatal Diagnosis of Interrupted Inferior Vena Cava with Azygos Continuation: A Case Report
by Martina Billeci, Gianfranco Morreale, Ferdinando Antonio Gulino and Francesco Giuseppe Cannone
Reports 2025, 8(4), 266; https://doi.org/10.3390/reports8040266 - 14 Dec 2025
Viewed by 395
Abstract
Inferior vena cava (IVC) disruption with continuation of the azygos is a rare congenital vascular abnormality that can be detected prenatally via high-resolution ultrasound. We present a case of isolated discontinuation of IVC, diagnosed during a routine abnormal scan of the second trimester, [...] Read more.
Inferior vena cava (IVC) disruption with continuation of the azygos is a rare congenital vascular abnormality that can be detected prenatally via high-resolution ultrasound. We present a case of isolated discontinuation of IVC, diagnosed during a routine abnormal scan of the second trimester, confirmed by fetal echocardiography, with an uneventful neonatal outcome. In accordance with the literature, we discuss the diagnostic approach, clinical significance and long-term implications of this vascular variant. We want to emphasize the importance of recognizing this anomaly and differentiating isolated cases from those associated with other congenital malformations. Full article
(This article belongs to the Section Obstetrics/Gynaecology)
Show Figures

Figure 1

22 pages, 3352 KB  
Article
Hemodynamic Impact of the Aberrant Subclavian Artery: A CFD Investigation
by Edoardo Ugolini, Giorgio La Civita, Marco Ferraresi, Moad Alaidroos, Alessandro Carlo Luigi Molinari, Maria Katsarou, Giovanni Rossi and Emanuele Ghedini
J. Pers. Med. 2025, 15(12), 603; https://doi.org/10.3390/jpm15120603 - 5 Dec 2025
Viewed by 426
Abstract
Background/Objectives: The aberrant subclavian artery (ASA) represents the most common congenital anomaly of the aortic arch, and is frequently associated with a Kommerell diverticulum, an aneurysmal dilation at the anomalous vessel origin. This condition carries a significant risk of rupture and dissection, [...] Read more.
Background/Objectives: The aberrant subclavian artery (ASA) represents the most common congenital anomaly of the aortic arch, and is frequently associated with a Kommerell diverticulum, an aneurysmal dilation at the anomalous vessel origin. This condition carries a significant risk of rupture and dissection, and growing evidence indicates that local hemodynamic alterations may contribute to its development and progression. Computational Fluid Dynamics (CFD) provides a valuable non-invasive modality to assess biomechanical stresses and elucidate the pathophysiological mechanisms underlying these vascular abnormalities. Methods: In this study, twelve thoracic CT angiography scans were analyzed: six from patients with ASA and six from individuals with normal aortic anatomy. CFD simulations were performed using OpenFOAM, with standardized boundary conditions applied across all cases to isolate the influence of anatomical differences in flow behavior. Four key hemodynamic metrics were evaluated—Wall Shear Stress (WSS), Oscillatory Shear Index (OSI), Drag Forces (DF), and Turbulent Viscosity Ratio (TVR). The aortic arch was subdivided into Ishimaru zones 0–3, with an adapted definition accounting for ASA anatomy. For each region, time- and space-averaged quantities were computed to characterize mean values and oscillatory behavior. Conclusions: The findings demonstrate that patients with ASA exhibit markedly altered hemodynamics in zones 1–3 compared to controls, with consistently elevated WSS, OSI, DF, and TVR. The most pronounced abnormalities occurred in zones 2–3 near the origin of the aberrant vessel, where disturbed flow patterns and off-axis mechanical forces were observed. These features may promote chronic wall stress, endothelial dysfunction, and localized aneurysmal degeneration. Notably, two patients (M1 and M6) displayed particularly elevated drag forces and TVR in the distal arch, correlating with the presence of a distal aneurysm and right-sided arch configuration, respectively. Overall, this work supports the hypothesis that aberrant hemodynamics contribute to Kommerell diverticulum formation and progression, and highlights the CFD’s feasibility for clarifying disease mechanisms, characterizing flow patterns, and informing endovascular planning by identifying hemodynamically favorable landing zones. Full article
Show Figures

Figure 1

24 pages, 2238 KB  
Article
Heart Morphometry in Standard Second Trimester Scan
by Alexandru-Cristian Comănescu, Dragoș-Ovidiu Alexandru, Maria-Cristina Comănescu, Agnesa Preda and Mar Bennasar
Diagnostics 2025, 15(23), 3088; https://doi.org/10.3390/diagnostics15233088 - 4 Dec 2025
Viewed by 303
Abstract
Introduction: Routine second trimester anomaly scans include standard cardiac planes, yet detailed cardiac morphometry is not part of current practice. We hypothesized that a comprehensive set of cardiac measurements could be obtained from these standard views without prolonging examination time and with clinically [...] Read more.
Introduction: Routine second trimester anomaly scans include standard cardiac planes, yet detailed cardiac morphometry is not part of current practice. We hypothesized that a comprehensive set of cardiac measurements could be obtained from these standard views without prolonging examination time and with clinically meaningful reproducibility. Methods: We conducted a prospective study involving ninety-two uncomplicated singleton pregnancies undergoing routine second trimester anomaly scans. Cardiac measurements were obtained using standard ISUOG/SRUOG planes, both during the examination and offline. Feasibility, reproducibility, and the impact on scanning time were evaluated, and results were compared with established reference ranges. Results: All morphometric measurements were successfully obtained in 100% of included cases. Mean “screen time” increased only minimally from 35.45 min (95% CI 32.9–38.0) to 38.75 min (95% CI 36.1–41.4), with a non-significant mean difference of 3.30 min (p = 0.063). Most z-scores fell within ±2 SD. Intra-observer reproducibility ranged from fair to excellent, with strong correlations for major cardiac dimensions (r > 0.80 for multiple parameters). Conclusions: Comprehensive fetal cardiac morphometry can be integrated into the routine second trimester anomaly scan using standard imaging planes, without prolonging the examination. This approach may support earlier recognition of atypical growth patterns or cardiac remodeling. Full article
(This article belongs to the Section Clinical Diagnosis and Prognosis)
Show Figures

Figure 1

21 pages, 5268 KB  
Article
Robust Line-Scan Image Registration via Disparity Estimation for Train Fault Diagnosis
by Darui Feng, Kai Yang, Zhi Ling, Yong Wang and Lin Luo
Sensors 2025, 25(23), 7315; https://doi.org/10.3390/s25237315 - 1 Dec 2025
Viewed by 368
Abstract
Automatic fault detection based on machine vision technology is crucial for the operational safety of trains. However, when imaging moving trains, system errors may induce localized geometric distortions in the captured images, altering the shapes of critical train components. This, in turn, undermines [...] Read more.
Automatic fault detection based on machine vision technology is crucial for the operational safety of trains. However, when imaging moving trains, system errors may induce localized geometric distortions in the captured images, altering the shapes of critical train components. This, in turn, undermines the precision of subsequent diagnostic algorithms. Therefore, image registration prior to anomaly detection is essential. To address this need, we redefine the horizontal registration of line-scan images as a disparity estimation problem on rectified stereo pairs, which is solved using a proposed dense matching network. The disparity is iteratively refined through a GRU-based update module that constructs a multi-scale cost volume with positional encoding and self-attention. To overcome the absence of real-world disparity ground truth, we generate a physics-based simulation dataset by analytically modeling the nonlinear relationship between train velocity variations and line-scan image distortions. Extensive experiments on diverse real-world train image datasets under varied operational conditions demonstrate that our method consistently outperforms alternatives, achieving 5.8% higher registration accuracy and a fourfold increase in processing speed over state-of-the-art approaches. This advantage is particularly evident in challenging scenarios involving repetitive patterns or texture-less regions. Full article
(This article belongs to the Section Fault Diagnosis & Sensors)
Show Figures

Figure 1

19 pages, 3750 KB  
Article
Autonomous UAV-Based Volcanic Gas Monitoring: A Simulation-Validated Case Study in Santorini
by Theodoros Karachalios and Theofanis Orphanoudakis
Drones 2025, 9(12), 829; https://doi.org/10.3390/drones9120829 - 29 Nov 2025
Viewed by 588
Abstract
Unmanned Aerial Vehicles (UAVs) can deliver rapid, spatially resolved measurements of volcanic gases that often precede eruptions, yet most deployments remain manual or preplanned and are slow to react to seismic unrest. In the present work, we present a simulation-validated design of an [...] Read more.
Unmanned Aerial Vehicles (UAVs) can deliver rapid, spatially resolved measurements of volcanic gases that often precede eruptions, yet most deployments remain manual or preplanned and are slow to react to seismic unrest. In the present work, we present a simulation-validated design of an earthquake-triggered, autonomous workflow for early detection of CO2 anomalies, demonstrated through a conceptual case study focused on the Santorini caldera. The system ingests real-time seismic alerts, generates missions automatically, and executes a two-stage sensing strategy: a fast scan to build a coarse CO2 heatmap followed by targeted high-precision sampling at emerging hotspots. Mission planning includes wind-and terrain-aware flight profiles, geofenced safety envelopes and a facility-location approach to landing-site placement; in a Santorini case study, we provide a ring of candidate launch/landing zones with wind-contingent usage, illustrate adaptive replanning driven by heatmap uncertainty and outline calibration and quality-control steps for robust CO2 mapping. The proposed methodology offers an operational blueprint that links seismic triggers to actionable, georeferenced gas information and can be transferred to other island or caldera volcanoes. Full article
(This article belongs to the Special Issue Unmanned Aerial Vehicles for Enhanced Emergency Response)
Show Figures

Figure 1

31 pages, 3063 KB  
Article
Interactive Digital Twin Workflow for Energy Assessment of Buildings: Integration of Photogrammetry, BIM and Thermography
by Luis Santiago Rojas-Colmenares, Carlos Rizo-Maestre, Francisco Gómez-Donoso and Pascual Saura-Gómez
Appl. Sci. 2025, 15(23), 12599; https://doi.org/10.3390/app152312599 - 28 Nov 2025
Viewed by 951
Abstract
This study presents a novel low-cost workflow integrating smartphone-based photogrammetry, Building Information Modeling (BIM), infrared thermography, and real-time interactive visualization to create digital twins for comprehensive energy assessment of existing buildings. Unlike conventional approaches requiring expensive laser scanning equipment and specialized software, this [...] Read more.
This study presents a novel low-cost workflow integrating smartphone-based photogrammetry, Building Information Modeling (BIM), infrared thermography, and real-time interactive visualization to create digital twins for comprehensive energy assessment of existing buildings. Unlike conventional approaches requiring expensive laser scanning equipment and specialized software, this methodology democratizes advanced building diagnostics through accessible technologies and academic licenses. The research aims to develop and validate a replicable workflow that enables architects, engineers, and educators to conduct detailed energy assessments without high-end equipment, while establishing technical criteria for accurate geometric reconstruction, thermal data integration, and interactive visualization. The workflow combines terrestrial photogrammetry using smartphone cameras for 3D reconstruction, BIM modeling in Autodesk Revit for semantic building representation, infrared thermography for thermal performance documentation, and Unreal Engine for immersive real-time visualization. The approach is validated through application to the historic control tower of the former Rabassa aerodrome at the University of Alicante, documenting data capture protocols, processing workflows, and integration criteria to ensure methodological replicability. Results demonstrate that functional digital twins can be generated using consumer-grade devices (high-end smartphones) and academically licensed software, achieving geometric accuracy sufficient for energy assessment purposes. The integrated platform enables systematic identification of thermal anomalies, heat loss patterns, and envelope deficiencies through intuitive three-dimensional interfaces, providing a robust foundation for evidence-based energy assessment and renovation planning. The validated workflow offers a viable, economical, and scalable solution for building energy analysis, particularly valuable in resource-constrained academic and professional contexts, advancing both scientific understanding of accessible digital twin methodologies and practical applications in building energy assessment. Full article
Show Figures

Figure 1

17 pages, 1679 KB  
Article
Phase Separation Phenomena in Lightly Cu-Doped A-Site-Ordered Quadruple Perovskite NdMn7O12
by Alexei A. Belik, Ran Liu and Kazunari Yamaura
Molecules 2025, 30(23), 4561; https://doi.org/10.3390/molecules30234561 - 26 Nov 2025
Viewed by 363
Abstract
A-site-ordered quadruple perovskite manganites, AMn7O12, show many interesting physical phenomena, including orbital and spin modulations, spin-induced multiferroic properties, and competitions between different magnetic ground states. Doping with Cu2+ can result in colossal magnetoresistance properties, ferrimagnetism, and additional structural [...] Read more.
A-site-ordered quadruple perovskite manganites, AMn7O12, show many interesting physical phenomena, including orbital and spin modulations, spin-induced multiferroic properties, and competitions between different magnetic ground states. Doping with Cu2+ can result in colossal magnetoresistance properties, ferrimagnetism, and additional structural modulations producing electric–dipole helicoidal textures. Many previous works have focused on large-concentration doping, reaching ACu3Mn4O12 compositions. Small-concentration doping has been investigated in a limited number of systems, e.g., in BiCuxMn7−xO12. In this work, we investigated solid solutions of NdCuxMn7−xO12 with x = 0.1, 0.2, and 0.3, prepared at 6 GPa and 1500 K. Specific heat measurements detected three magnetic transitions at x = 0 (at TN3 = 9 K, TN2 = 12 K, and TN1 = 84 K) and two transitions at x = 0.1 (at TN2 = 10 K and TN1 = 78 K), while only one transition was found at x = 0.2 (TN1 = 72 K) and x = 0.3 (TN1 = 65 K). Differential scanning calorimetry (DSC) measurements showed sharp and strong peaks near TOO = 664 K at x = 0, corresponding to an orbital-order (OO) structural transition from I2/m to Im-3 symmetry. DSC anomalies were significantly broadened and their intensities were significantly reduced at x = 0.1–0.3, and structural transitions were observed near TOO = 630 K at x = 0.1, TOO = 600 K at x = 0.2, and TOO = 570 K at x = 0.3. The x = 0.1 sample clearly showed double-peak features on the DSC curves near TOO because of the presence of two close phases. High-resolution synchrotron powder X-ray diffraction studies gave strong evidence that phase separation phenomena took place in the x = 0.1–0.3 samples, where two I2/m phases with an approximate ratio of 1:1 were present (e.g., a = 7.47143 Å, b = 7.36828 Å, c = 7.46210 Å, and β = 90.9929° for one phase and a = 7.46596 Å, b = 7.37257 Å, c = 7.45756 Å, and β = 90.9328° for the second phase at x = 0.3). The Curie–Weiss temperature changed from negative (for x = 0, 0.1, and 0.2) to positive (for x = 0.3). TOO, TN1, the Curie–Weiss temperature, and magnetization (at 5 K and 70 kOe) changed almost linearly with x. Full article
(This article belongs to the Special Issue Inorganic Chemistry in Asia, 2nd Edition)
Show Figures

Figure 1

18 pages, 19178 KB  
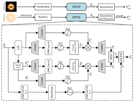
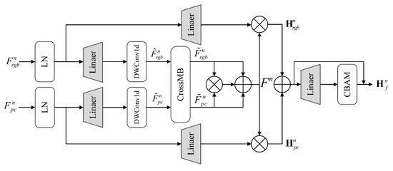
Article
HFMM-Net: A Hybrid Fusion Mamba Network for Efficient Multimodal Industrial Defect Detection
by Guo Zhao, Liang Tan, Musong He and Qi Wu
Information 2025, 16(12), 1018; https://doi.org/10.3390/info16121018 - 23 Nov 2025
Viewed by 633
Abstract
With the increasing demand for higher precision and real-time performance in industrial surface defect detection, multimodal detection methods integrating RGB images and 3D point clouds have drawn considerable attention. However, current mainstream methods typically employ computationally expensive Transformer-based models for capturing global features, [...] Read more.
With the increasing demand for higher precision and real-time performance in industrial surface defect detection, multimodal detection methods integrating RGB images and 3D point clouds have drawn considerable attention. However, current mainstream methods typically employ computationally expensive Transformer-based models for capturing global features, resulting in significant inference delays that hinder their practical deployment for online inspection tasks. Furthermore, existing approaches exhibit limited capability in deep cross-modal interactions, negatively impacting defect detection and segmentation accuracy. In this paper, we propose a novel multimodal anomaly detection framework based on a bidirectional Mamba network to enhance cross-modal feature interaction and fusion. Specifically, we introduce an anomaly-aware parallel feature extraction network, leveraging a hybrid scanning state space model (SSM) to efficiently capture global and long-range dependencies with linear computational complexity. Additionally, we develop a cross-enhanced feature fusion module to facilitate dynamic interaction and adaptive fusion of multimodal features at multiple scales. Extensive experiments conducted on two publicly available benchmark datasets, MVTec 3D-AD and Eyecandies, demonstrate that the proposed method consistently outperforms existing approaches in both defect detection and segmentation tasks. Full article
(This article belongs to the Section Artificial Intelligence)
Show Figures

Figure 1

14 pages, 644 KB  
Article
DNS-Sensor: A Sensor-Driven Architecture for Real-Time DNS Cache Poisoning Detection and Mitigation
by Haisheng Yu, Xuebiao Yuchi, Xue Yang, Hongtao Li, Xingxing Yang and Wei Wang
Sensors 2025, 25(22), 6884; https://doi.org/10.3390/s25226884 - 11 Nov 2025
Viewed by 627
Abstract
The Domain Name System (DNS) is a fundamental component of the Internet, yet its distributed and caching nature makes it susceptible to various attacks, especially cache poisoning. Although the use of random port numbers and transaction IDs has reduced the probability of cache [...] Read more.
The Domain Name System (DNS) is a fundamental component of the Internet, yet its distributed and caching nature makes it susceptible to various attacks, especially cache poisoning. Although the use of random port numbers and transaction IDs has reduced the probability of cache poisoning, recent developments such as DNS Forwarder fragmentation and side-channel attacks have increased the possibility of cache poisoning. To counteract these emerging cache poisoning techniques, this paper proposes the DNS Cache Sensor (DNS-Sensor) system, which operates as a distributed sensor network for DNS security. Like environmental sensors monitoring physical parameters, DNS-Sensor continuously scans DNS cache records, comparing them with authoritative data to detect anomalies with sensor-grade precision. It involves checking whether the DNS cache is consistent with authoritative query results by continuous observation to determine whether cache poisoning has occurred. In the event of cache poisoning, the system switches to a disaster recovery resolution system. To expedite comparison and DNS query speeds and isolate the impact of cache poisoning on the disaster recovery resolution system, this paper uses a local top-level domain authoritative mirror query system. Experimental results demonstrate the accuracy of the DNS-Sensor system in detecting cache poisoning, while the local authoritative mirror query system significantly improves the efficiency of DNS-Sensor. Compared to traditional DNS, the integrated DNS query and DNS-Sensor method and local top-level domain authoritative mirror query system is faster, thus improving DNS performance and security. Full article
Show Figures

Figure 1

Back to TopTop