Sign in to use this feature.

Years

Between: -

Subjects

remove_circle_outline
remove_circle_outline
remove_circle_outline
remove_circle_outline
remove_circle_outline
remove_circle_outline
remove_circle_outline
remove_circle_outline
remove_circle_outline

Journals

remove_circle_outline
remove_circle_outline
remove_circle_outline
remove_circle_outline
remove_circle_outline
remove_circle_outline
remove_circle_outline
remove_circle_outline
remove_circle_outline
remove_circle_outline
remove_circle_outline
remove_circle_outline
remove_circle_outline
remove_circle_outline
remove_circle_outline
remove_circle_outline
remove_circle_outline
remove_circle_outline
remove_circle_outline

Article Types

Countries / Regions

remove_circle_outline
remove_circle_outline
remove_circle_outline
remove_circle_outline
remove_circle_outline
remove_circle_outline

Search Results (3,781)

Search Parameters:
Keywords = air sensors

Order results
Result details
Results per page
Select all
Export citation of selected articles as:
15 pages, 831 KB  
Article
PM2.5 Pollution Decrease in Paris, France, for the 2013–2024 Period: An Evaluation of the Local Source Contributions by Subtracting the Effect of Wind Speed
by Jean-Baptiste Renard and Jérémy Surcin
Sensors 2025, 25(21), 6566; https://doi.org/10.3390/s25216566 (registering DOI) - 24 Oct 2025
Abstract
Measuring the long-term trend of PM2.5 mass-concentration in urban environments is essential as it has a direct impact on human health. PM2.5 levels depend not only on the intensity of local emission sources and on imported pollution, but also on meteorological conditions (e.g., [...] Read more.
Measuring the long-term trend of PM2.5 mass-concentration in urban environments is essential as it has a direct impact on human health. PM2.5 levels depend not only on the intensity of local emission sources and on imported pollution, but also on meteorological conditions (e.g., anticyclonic versus windy conditions), which leads to yearly variations in mean PM2.5 values. Two datasets available for Paris, France, are considered: measurements from Airparif air quality agency network and from the Pollutrack network of mobile car-based sensors. Also, meteorological parameters coming from ERA5 analysis (ECMWF) are considered. Annual values are calculated using three different statistical methods, which yield different results. For the 2013–2024 period, a clear relationship between wind speed and PM2.5 mass-concentration levels is established. The results show a linear decrease in both concentration and standard deviation for wind speeds in the 0–6 m.s−1 range, followed by nearly stable values for wind speed above 6 m.s−1. This behavior is explained by the dispersive effect of strong winds on air pollution. Under such conditions, which occur about 10% of the time in Paris, the contribution of persistent background sources can be isolated. Using the 6 m·s−1 threshold, the average annual linear decrease in emissions from local sources is estimated at 4.1 and 4.3% per year for the Airparif and Pollutrack data, respectively. Since 2023, the annual background value attributed to emission has been close to 5 µg.m−3, in agreement with WHO recommendations. This approach could be used to monitor the effects of regulations on traffic and heating emissions and could be applied to other cities for estimating background pollution levels. Finally, future studies should therefore prioritize number concentrations and size distributions, rather than mass-concentrations. Full article
(This article belongs to the Section Environmental Sensing)
52 pages, 5951 KB  
Review
Advanced Metal–Organic Framework-Based Sensor Systems for Gas and Environmental Monitoring: From Material Design to Embedded Applications
by Alemayehu Kidanemariam and Sungbo Cho
Sensors 2025, 25(21), 6539; https://doi.org/10.3390/s25216539 - 23 Oct 2025
Abstract
Environmental pollution is a global issue presenting risks to ecosystems and human health through release of toxic gases, existence of volatile organic compounds (VOCs) in the environment, and heavy metal contamination of waters and soils. To effectively address this issue, reliable and real-time [...] Read more.
Environmental pollution is a global issue presenting risks to ecosystems and human health through release of toxic gases, existence of volatile organic compounds (VOCs) in the environment, and heavy metal contamination of waters and soils. To effectively address this issue, reliable and real-time monitoring technology is imperative. Metal–organic frameworks (MOFs) are a disruptive set of materials with high surface area, tunable porosity, and abundant chemistry to design extremely sensitive and selective pollutant detection. This review article gives an account of recent advances towards sensor technology for MOFs with application specificity towards gas and environment monitoring. We critically examine optical, electrochemical, and resistive platforms and their interfacing with embedded electronics and edge artificial intelligence (edge-AI) to realize smart, compact, and energy-efficient monitoring tools. We also detail critical challenges such as scalability, reproducibility, long-term stability, and secure data management and underscore transforming MOF-based sensors from lab prototype to functional instruments to ensure safe coverage of human health and to bring about sustainable environmental management. Full article
(This article belongs to the Special Issue Advanced Sensors for Gas Monitoring: 2nd Edition)
Show Figures

Figure 1

17 pages, 2192 KB  
Article
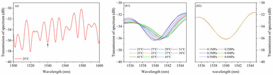
Cascaded MZI and FPI Sensor for Simultaneous Measurement of Air Pressure and Temperature Using Capillary Fiber and Dual-Core Fiber
by Tongtong Zhu, Xintong Zhong, Xinhao Guo, Qipeng Huang, Xiaoyong Chen, Chuanxin Teng, Peng-Cheng Li, Xuehao Hu and Hang Qu
Photonics 2025, 12(11), 1047; https://doi.org/10.3390/photonics12111047 - 23 Oct 2025
Abstract
In this paper, we propose and experimentally demonstrate a dual-parameter fiber optic sensor, which combines a Fabry–Perot interferometer (FPI) and a Mach–Zehnder interferometer (MZI) for simultaneous pressure and temperature sensing. The Fabry–Perot (FP) cavity is formed by sandwiching a capillary fiber between a [...] Read more.
In this paper, we propose and experimentally demonstrate a dual-parameter fiber optic sensor, which combines a Fabry–Perot interferometer (FPI) and a Mach–Zehnder interferometer (MZI) for simultaneous pressure and temperature sensing. The Fabry–Perot (FP) cavity is formed by sandwiching a capillary fiber between a single-mode fiber and a dual-core fiber (DCF). A fluid channel is very close to the central core of the DCF. By precisely drilling micro-air chambers in the annular cladding of a capillary fiber (CF) using a femtosecond laser, external air pressure can directly affect the capillary fiber and induce changes in the refractive index of the air in the CF. The F-P cavity achieves a pressure sensitivity of 3.67 nm/MPa with a temperature cross-sensitivity of 2.82 pm/°C. The MZI is constructed using a dual-core fiber filled with silicone oil in the fluidic channel, which enhances temperature sensitivity through the thermo-optic effect. The MZI sensor exhibits a nonlinear temperature response with an average sensitivity of 103.43 pm/°C. The corresponding pressure cross-sensitivity is about –0.11 nm/MPa. Due to very low cross-sensitivity, simultaneous measurement of temperature and gas pressure is feasible. In addition, we implement a variant by replacing silicone oil with a UV-curable adhesive, which delivers a comparable FP-based pressure sensitivity of ~3.93 nm/MPa while yielding an MZI-based temperature sensitivity of 71.7 pm/°C and potentially improved long-term stability. Full article
(This article belongs to the Special Issue Advances in Optical Fiber Sensing Technology)
Show Figures

Figure 1

20 pages, 5289 KB  
Article
Spatial and Temporal Evaluation of PM10 and PM2.5 in the Tropical Weather City Context: Effect of Environmental Parameters and Fixed-Pollution Sources
by Carlos Alberto Quintal-Franco, Agur Mendicuti-Ramos, Carmen Ponce-Caballero, Virgilio René Góngora-Echeverría and Sergio Aguilar-Escalante
Earth 2025, 6(4), 133; https://doi.org/10.3390/earth6040133 - 23 Oct 2025
Abstract
Tropical weather cities, such as Mérida in Yucatán, Mexico, are perceived as air pollution-free environments. This study aimed to evaluate the air quality in Mérida City over five years, focusing on PM2.5 and PM10 as well as spatial and temporal factors. [...] Read more.
Tropical weather cities, such as Mérida in Yucatán, Mexico, are perceived as air pollution-free environments. This study aimed to evaluate the air quality in Mérida City over five years, focusing on PM2.5 and PM10 as well as spatial and temporal factors. A government-accredited monitoring station for PM2.5 (2018–2022) and economic air sensors for PM2.5 and PM10 (2023) were used. Results showed the maximum daily (90 μg m−3) and annual PM2.5 (23 μg m−3) averages for 2020 exceeded the Mexican regulations. Sensors indicated that the fixed pollution sources influenced PM2.5 and PM10. Spatially and temporally, the southwest of the city in the dry season of 2023 showed the highest PM2.5 and PM10. Tropical conditions (solar radiation and temperature) increased PM, while high humidity and precipitation decreased it. Air quality improved during the rainy season. The southwest zone had the highest density of diesel vehicles and fixed pollution sources, which contributed to the highest PM concentration. The monitoring showed that air quality related to PM in Mérida City is a concern. Local and external factors are affecting the air quality. It is mandatory to regulate air emissions from fixed sources and implement vehicle verification, even in tropical weather cities. Full article
Show Figures

Graphical abstract

10 pages, 204 KB  
Perspective
Predicting Extreme Environmental Values with Hybrid Models: A Perspective Across Air Quality, Wind Energy, and Sensor Networks
by George Efthimiou
Sensors 2025, 25(21), 6523; https://doi.org/10.3390/s25216523 - 23 Oct 2025
Abstract
This Perspective synthesizes recent (2023–2025) progress in predicting extreme environmental values by combining empirical formulations, physics-based simulation outputs, and sensor-network data. We argue that hybrid approaches—spanning physics-informed machine learning, digital/operational twins, and edge/embedded AI—can deliver faster and more robust maxima estimates than standalone [...] Read more.
This Perspective synthesizes recent (2023–2025) progress in predicting extreme environmental values by combining empirical formulations, physics-based simulation outputs, and sensor-network data. We argue that hybrid approaches—spanning physics-informed machine learning, digital/operational twins, and edge/embedded AI—can deliver faster and more robust maxima estimates than standalone CFD or purely data-driven models, particularly for urban air quality and wind-energy applications. We distill lessons from cross-domain case studies and highlight five open challenges (uncertainty quantification, reproducibility and benchmarks, sensor layout optimization, real-time inference at the edge, and trustworthy model governance). Building on these, we propose a 2025–2030 research agenda: (i) standardized, open benchmarks with sensor–CFD pairs; (ii) physics-informed learners for extremes; (iii) adaptive source-term estimation pipelines; (iv) lightweight inference for embedded sensing; (v) interoperable digital-twin workflows; and (vi) reporting standards for uncertainty and ethics. The goal is a pragmatic path that couples scientific validity with deployability in operational environments. This Perspective is intended for researchers and practitioners in environmental sensing, urban dispersion, and renewable energy who seek actionable, cross-disciplinary directions for the next wave of extreme-value prediction. For instance, in validation studies using CFD-RANS and sensor data, the proposed hybrid models achieved prediction accuracies for peak pollutant concentrations and wind speeds within ~90–95% of high-fidelity simulations, with a computational cost reduction of over 80%. These results underscore the practical viability of the approach for operational use cases such as urban air quality alerts and wind farm micro-siting. Full article
(This article belongs to the Special Issue Advanced Sensing Techniques for Environmental and Energy Systems)
16 pages, 2360 KB  
Article
The Diagnosis and Recovery of Faults in the Workshop Environmental Control System Sensor Network Based on Medium-to-Long-Term Predictions
by Shaohan Xiao, Fangping Ye, Xinyuan Zhang, Mengying Tan and Canwen Zhang
Machines 2025, 13(11), 975; https://doi.org/10.3390/machines13110975 - 22 Oct 2025
Abstract
For the fault issues in the workshop environmental control system sensor network, a fault diagnosis and recovery method based on medium-to-long-term predictions is proposed. Firstly, a temperature observer based on the Informer model is established. Then, the predicted data temporarily replaces the missing [...] Read more.
For the fault issues in the workshop environmental control system sensor network, a fault diagnosis and recovery method based on medium-to-long-term predictions is proposed. Firstly, a temperature observer based on the Informer model is established. Then, the predicted data temporarily replaces the missing real data, and the model predicts the state of the sensor system within the step size. Secondly, the predicted data is combined with the measured temperature series, and residuals are utilized for real-time detection of sensor faults. Finally, the predicted data at the time of the fault replaces the real data, enabling the recovery of fault data; experiments are conducted to verify the effectiveness of the proposed method. The results indicate that when the prediction horizon is 1, 5, 10, 20, and 50, the average fault diagnosis rates under four fault levels are 94.40%, 95.28%, 94.79%, 92.52%, and 93.35%, respectively. The average coefficients of determination for data recovery are 0.999, 0.997, 0.995, 0.985, and 0.915, respectively. This achieves medium-to-long-term predictions in the field of sensor fault diagnosis. Full article
(This article belongs to the Section Machines Testing and Maintenance)
Show Figures

Figure 1

24 pages, 6101 KB  
Article
Research on Energy-Saving Optimization of Mushroom Growing Control Room Based on Neural Network Model Predictive Control
by Yifan Song, Wengang Zheng, Guoqiang Guo, Mingfei Wang, Changshou Luo, Cheng Chen and Zuolin Li
Energies 2025, 18(20), 5550; https://doi.org/10.3390/en18205550 - 21 Oct 2025
Viewed by 115
Abstract
In the heating, ventilation, and air conditioning (HVAC) systems of mushroom growing control rooms, traditional rule-based control methods are commonly adopted. However, these methods are characterized by response delays, leading to underutilization of energy-saving potential and energy costs that constitute a disproportionately high [...] Read more.
In the heating, ventilation, and air conditioning (HVAC) systems of mushroom growing control rooms, traditional rule-based control methods are commonly adopted. However, these methods are characterized by response delays, leading to underutilization of energy-saving potential and energy costs that constitute a disproportionately high share of overall production costs. Therefore, minimizing the running time of the air conditioning system is crucial while maintaining the optimal growing environment for mushrooms. To address the aforementioned issues, this paper proposed a sensor optimization method based on the combination of principal component analysis (PCA) and information entropy. Furthermore, model predictive control (MPC) was implemented using a gated recurrent unit (GRU) neural network with an attention mechanism (GRU-Attention) as the prediction model to optimize the air conditioning system. First, a method combining PCA and information entropy was proposed to select the three most representative sensors from the 16 sensors in the mushroom room, thus eliminating redundant information and correlations. Then, a temperature prediction model based on GRU-Attention was adopted, with its hyperparameters optimized using the Optuna framework. Finally, an improved crayfish optimization algorithm (ICOA) was proposed as an optimizer for MPC. Its objective was to solve the control sequence with high accuracy and low energy consumption. The average energy consumption was reduced by approximately 11.2%, achieving a more stable temperature control effect. Full article
Show Figures

Figure 1

35 pages, 14047 KB  
Article
Wildfire Susceptibility Mapping Using Deep Learning and Machine Learning Models Based on Multi-Sensor Satellite Data Fusion: A Case Study of Serbia
by Uroš Durlević, Velibor Ilić and Aleksandar Valjarević
Fire 2025, 8(10), 407; https://doi.org/10.3390/fire8100407 - 20 Oct 2025
Viewed by 389
Abstract
To prevent or mitigate the negative impact of fires, spatial prediction maps of wildfires are created to identify susceptible locations and key factors that influence the occurrence of fires. This study uses artificial intelligence models, specifically machine learning (XGBoost) and deep learning (Kolmogorov-Arnold [...] Read more.
To prevent or mitigate the negative impact of fires, spatial prediction maps of wildfires are created to identify susceptible locations and key factors that influence the occurrence of fires. This study uses artificial intelligence models, specifically machine learning (XGBoost) and deep learning (Kolmogorov-Arnold networks—KANs, and deep neural network—DNN), with data obtained from multi-sensor satellite imagery (MODIS, VIIRS, Sentinel-2, Landsat 8/9) for spatial modeling wildfires in Serbia (88,361 km2). Based on geographic information systems (GIS) and 199,598 wildfire samples, 16 quantitative variables (geomorphological, climatological, hydrological, vegetational, and anthropogenic) are presented, together with 3 synthesis maps and an integrated susceptibility map of the 3 applied models. The results show a varying percentage of Serbia’s very high vulnerability to wildfires (XGBoost = 11.5%; KAN = 14.8%; DNN = 15.2%; Ensemble = 12.7%). Among the applied models, the DNN achieved the highest predictive performance (Accuracy = 83.4%, ROC-AUC = 92.3%), followed by XGBoost and KANs, both of which also demonstrated strong predictive accuracy (ROC-AUC > 90%). These results confirm the robustness of deep and machine learning approaches for wildfire susceptibility mapping in Serbia. SHAP analysis determined that the most influential factors are elevation, air temperature, and humidity regime (precipitation, aridity, and series of consecutive dry/wet days). Full article
Show Figures

Graphical abstract

18 pages, 3617 KB  
Article
Sliding Mode Observer-Based Sensorless Control Strategy for PMSM Drives in Air Compressor Applications
by Rana Md Sohel, Wenhao Wu, Renzi Ji, Zihao Fang and Kai Liu
Appl. Sci. 2025, 15(20), 11206; https://doi.org/10.3390/app152011206 - 19 Oct 2025
Viewed by 246
Abstract
This paper presents a sensorless control strategy for permanent magnet synchronous motor (PMSM) drives in industrial and automotive air compressor applications. The strategy utilizes an adaptive-gain sliding mode observer integrated with a refined back-EMF model to suppress chattering and improve convergence. The proposed [...] Read more.
This paper presents a sensorless control strategy for permanent magnet synchronous motor (PMSM) drives in industrial and automotive air compressor applications. The strategy utilizes an adaptive-gain sliding mode observer integrated with a refined back-EMF model to suppress chattering and improve convergence. The proposed approach achieves precise rotor position and speed estimation across a wide operational range without mechanical sensors. It directly addresses the critical needs of reliability, compactness, and resilience in automotive environments. Unlike conventional observers, its originality lies in the enhanced gain structure, enabling accurate and robust sensorless control validated through both simulation and hardware tests. Comprehensive simulation results demonstrate effective performance from 2000 to 8500 rpm, with steady-state speed tracking errors maintained below 0.4% at 2000 rpm and 0.035% at 8500 rpm under rated load. The control methodology exhibits excellent disturbance rejection capabilities, maintaining speed regulation within ±5 rpm under an 80% load disturbance at 8500 rpm while limiting q-axis current ripple to 2.5% of rated values. Experimental validation on a 2.2 kW PMSM-driven compressor test platform confirms stable operation at 4000 rpm with speed fluctuations constrained to 20 rpm (0.5% error) and precise current regulation, maintaining the d-axis current within ±0.07 A. The system demonstrates rapid dynamic response, achieving acceleration from 1320 rpm to 2365 rpm within one second during testing. The results confirm the method’s practical viability for enhancing reliability and reducing maintenance in industrial and automotive compressors systems. Full article
Show Figures

Figure 1

28 pages, 5501 KB  
Article
Electrospun Fabrication of 1–3-Type PVP/SbSI and PVP/SbSeI Nanocomposites with Excellent Piezoelectric Properties for Nanogenerators and Sensors
by Bartłomiej Toroń, Wiktor Matysiak, Anna Starczewska, Jan Dec, Piotr Szperlich and Marian Nowak
Energies 2025, 18(20), 5506; https://doi.org/10.3390/en18205506 - 18 Oct 2025
Viewed by 277
Abstract
Electrospun one-dimensional nanocomposites composed of polyvinylpyrrolidone (PVP) matrices reinforced with antimony sulphoiodide (SbSI) or antimony selenoiodide (SbSeI) nanowires were fabricated for the first time. Their properties were investigated for applications in piezoelectric sensors and nanogenerators. Precise control of the electrospinning parameters produced nanofibres [...] Read more.
Electrospun one-dimensional nanocomposites composed of polyvinylpyrrolidone (PVP) matrices reinforced with antimony sulphoiodide (SbSI) or antimony selenoiodide (SbSeI) nanowires were fabricated for the first time. Their properties were investigated for applications in piezoelectric sensors and nanogenerators. Precise control of the electrospinning parameters produced nanofibres with diameters comparable to the lateral dimensions of the nanowires, ensuring parallel alignment and a 1–3 composite structure. Structural analysis confirmed uniform nanowire distribution and stoichiometry retention. In both nanocomposites, the alignment of the nanowires enables clear observation of the anisotropy of their piezoelectric properties. PVP/SbSI nanocomposites exhibited a ferroelectric–paraelectric transition near 290 K. Under air-pressure excitation of 17.03 bar, they generated a maximum piezoelectric voltage of 2.09 V, with a sensitivity of 229 mV/bar and a surface power density of 12.0 µW/cm2 for sandwich-type samples with nanowires aligned perpendicularly to the electrodes. PVP/SbSeI composites demonstrated stable semiconducting behaviour with a maximum piezoelectric voltage of 1.56 V, sensitivity of 130 mV/bar, and surface power density of 2.3 µW/cm2 for the same type of sample and excitation. The high piezoelectric coefficients d33 of 98 pC/N and 64 pC/N for PVP/SbSI and PVP/SbSeI, respectively, combined with mechanical flexibility, confirm the effectiveness of these nanocomposites as a practical solution for mechanical energy harvesting and pressure sensing in nanogenerators and sensors. Full article
(This article belongs to the Section D3: Nanoenergy)
Show Figures

Graphical abstract

25 pages, 767 KB  
Review
Enhancing Anaerobic Digestion of Agricultural By-Products: Insights and Future Directions in Microaeration
by Ellie B. Froelich and Neslihan Akdeniz
Bioengineering 2025, 12(10), 1117; https://doi.org/10.3390/bioengineering12101117 - 18 Oct 2025
Viewed by 285
Abstract
Anaerobic digestion of manures, crop residues, food waste, and sludge frequently yields biogas with elevated hydrogen sulfide concentrations, which accelerate corrosion and reduce biogas quality. Microaeration, defined as the controlled addition of oxygen at 1 to 5% of the biogas production rate, has [...] Read more.
Anaerobic digestion of manures, crop residues, food waste, and sludge frequently yields biogas with elevated hydrogen sulfide concentrations, which accelerate corrosion and reduce biogas quality. Microaeration, defined as the controlled addition of oxygen at 1 to 5% of the biogas production rate, has been investigated as a low-cost desulfurization strategy. This review synthesizes studies from 2015 to 2025 spanning laboratory, pilot, and full-scale anaerobic digester systems. Continuous sludge digesters supplied with ambient air at 0.28–14 m3 h−1 routinely achieved 90 to 99% H2S removal, while a full-scale dairy manure system reported a 68% reduction at 20 m3 air d−1. Pure oxygen dosing at 0.2–0.25 m3 O2 (standard conditions) per m3 reactor volume resulted in greater than 99% removal. Reported methane yield improvements ranged from 5 to 20%, depending on substrate characteristics, operating temperature, and aeration control. Excessive oxygen, however, reduced methane yields in some cases by inhibiting methanogens or diverting carbon to CO2. Documented benefits of microaeration include accelerated hydrolysis of lignocellulosic substrates, mitigation of sulfide inhibition, and stimulation of sulfur-oxidizing bacteria that convert sulfide to elemental sulfur or sulfate. Optimal redox conditions were generally maintained between −300 and −150 mV, though monitoring was limited by low-resolution oxygen sensors. Recent extensions of the Anaerobic Digestion Model No. 1 (ADM1), a mathematical framework developed by the International Water Association, incorporate oxygen transfer and sulfur pathways, enhancing its ability to predict gas quality and process stability under microaeration. Economic analyses estimate microaeration costs at 0.0015–0.0045 USD m−3 biogas, substantially lower than chemical scrubbing. Future research should focus on refining oxygen transfer models, quantifying microbial shifts under long-term operation, assessing effects on digestate quality and nitrogen emissions, and developing adaptive control strategies that enable reliable application across diverse substrates and reactor configurations. Full article
(This article belongs to the Section Biochemical Engineering)
Show Figures

Figure 1

18 pages, 3340 KB  
Article
Experimental Investigation of 3D-Printed TPU Triboelectric Composites for Biomechanical Energy Conversion in Knee Implants
by Osama Abdalla, Milad Azami, Amir Ameli, Emre Salman, Milutin Stanacevic, Ryan Willing and Shahrzad Towfighian
Sensors 2025, 25(20), 6454; https://doi.org/10.3390/s25206454 - 18 Oct 2025
Viewed by 266
Abstract
Although total knee replacements have an insignificant impact on patients’ mobility and quality of life, real-time performance monitoring remains a challenge. Monitoring the load over time can improve surgery outcomes and early detection of mechanical imbalances. Triboelectric nanogenerators (TENGs) present a promising approach [...] Read more.
Although total knee replacements have an insignificant impact on patients’ mobility and quality of life, real-time performance monitoring remains a challenge. Monitoring the load over time can improve surgery outcomes and early detection of mechanical imbalances. Triboelectric nanogenerators (TENGs) present a promising approach as a self-powered sensor for load monitoring in TKR. A TENG was fabricated with dielectric layers consisting of Kapton tape and 3D-printed thermoplastic polyurethane (TPU) matrix incorporating CNT and BTO fillers, separated by an air gap and sandwiched between two copper electrodes. The sensor performance was optimized by varying the concentrations of BTO and CNT to study their effect on the energy-harvesting behavior. The test results demonstrate that the BTO/TPU composite that has 15% BTO achieved the maximum power output of 11.15 μW, corresponding to a power density of 7 mW/m2, under a cyclic compressive load of 2100 N at a load resistance of 1200 MΩ, which was the highest power output among all the tested samples. Under a gait load profile, the same TENG sensor generated a power density of 0.8 mW/m2 at 900 MΩ. By contrast, all tested CNT/TPU-based TENG produced lower output, where the maximum generated apparent power output was around 8 μW corresponding to a power density of 4.8 mW/m2, confirming that using BTO fillers had a more significant impact on TENG performance compared with CNT fillers. Based on our earlier work, this power is sufficient to operate the ADC circuit. Furthermore, we investigated the durability and sensitivity of the 15% BTO/TPU samples, where it was tested under a compressive force of 1000 N for 15,000 cycles, confirming the potential of long-term use inside the TKR. The sensitivity analysis showed values of 37.4 mV/N for axial forces below 800 N and 5.0 mV/N for forces above 800 N. Moreover, dielectric characterization revealed that increasing the BTO concentration improves the dielectric constant while at the same time reducing the dielectric loss, with an optimal 15% BTO concentration exhibiting the most favorable dielectric properties. SEM images for BTO/TPU showed that the 10% and 15% BTO/TPU composites showed better morphological characteristics with lower fabrication defects compared with higher filler concentrations. Our BTO/TPU-based TENG sensor showed robust performance, long-term durability, and efficient energy conversion, supporting its potential for next-generation smart total knee replacements. Full article
(This article belongs to the Special Issue Wireless Sensor Networks with Energy Harvesting)
Show Figures

Figure 1

12 pages, 2252 KB  
Article
Ultra-High Spectral Contrast Nanobeam Photonic Crystal Cavity on Bending Waveguide
by Ping Yu, Peihong Cheng, Zhuoyuan Wang, Jingrui Wang, Fangfang Ge, Huiye Qiu and Daniel Kacik
Photonics 2025, 12(10), 1031; https://doi.org/10.3390/photonics12101031 - 17 Oct 2025
Viewed by 201
Abstract
In this article, one-dimensional photonic crystal cavities on bending waveguides (PCCoBW) used for achieving high-contrast spectra are proposed, analyzed, and experimentally verified on silicon on insulator (SOI). Both air and dielectric modes of the PCCoBW calculated by the finite-difference time-domain (FDTD) method show [...] Read more.
In this article, one-dimensional photonic crystal cavities on bending waveguides (PCCoBW) used for achieving high-contrast spectra are proposed, analyzed, and experimentally verified on silicon on insulator (SOI). Both air and dielectric modes of the PCCoBW calculated by the finite-difference time-domain (FDTD) method show finger-ring-like mode profiles with the achievement of high-quality factors (Q∼106), even when the bending radius is less than 50 times the lattice constant. Straight waveguides side-coupled to the cavity are used to access and measure mode resonances. The measured spectra show a high extinction ratio over 40 dB for dielectric modes and 20 dB for air modes, respectively. Both dielectric and air resonant modes are revealed with Q-factors over 3.3 × 104 and 7.9 × 104, respectively, for the coupled PCCoBWs. The proposed PCCoBW could be implemented as high-contrast notch filtering and would benefit a broad range of applications such as optical filters, modulators, sensors, or switches. Full article
(This article belongs to the Special Issue Recent Advancement in Microwave Photonics)
Show Figures

Figure 1

18 pages, 6450 KB  
Article
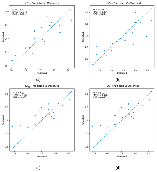
Machine Learning for Urban Air Quality Prediction Using Google AlphaEarth Foundations Satellite Embeddings: A Case Study of Quito, Ecuador
by Cesar Ivan Alvarez, Carlos Andrés Ulloa Vaca and Neptali Armando Echeverria Llumipanta
Remote Sens. 2025, 17(20), 3472; https://doi.org/10.3390/rs17203472 - 17 Oct 2025
Viewed by 1122
Abstract
Many Global-South cities lack dense monitoring and suffer persistent cloud cover, hampering fine-scale trend detection. This study evaluates the potential of annual multi-sensor satellite embeddings from the AlphaEarth Foundations model in Google Earth Engine to predict and map major air pollutants in Quito, [...] Read more.
Many Global-South cities lack dense monitoring and suffer persistent cloud cover, hampering fine-scale trend detection. This study evaluates the potential of annual multi-sensor satellite embeddings from the AlphaEarth Foundations model in Google Earth Engine to predict and map major air pollutants in Quito, Ecuador, between 2017 and 2024. The 64-dimensional embeddings integrate Sentinel-1 radar, Sentinel-2 optical imagery, Landsat surface reflectance, ERA5-Land climate variables, GRACE terrestrial water storage, and GEDI canopy structure into a compact representation of surface and climatic conditions. Annual median concentrations of NO2, SO2, PM2.5, CO, and O3 from the Red Metropolitana de Monitoreo Atmosférico de Quito (REEMAQ) were paired with collocated embeddings and modeled using five machine learning algorithms. Support Vector Regression achieved the highest accuracy for NO2 and SO2 (R2 = 0.71 for both), capturing fine-scale spatial patterns and multi-year changes, including COVID-19 lockdown-related reductions. PM2.5 and CO were predicted with moderate accuracy, while O3 remained challenging due to its short-term photochemical and meteorological drivers and the mismatch with annual aggregation. SHAP analysis revealed that a small subset of embedding bands dominated predictions for NO2 and SO2. The approach provides a scalable and transferable framework for high-resolution urban air quality mapping in data-scarce environments, supporting long-term monitoring, hotspot detection, and evidence-based policy interventions. Full article
Show Figures

Figure 1

21 pages, 4149 KB  
Article
Air Pollution Monitoring and Modeling: A Comparative Study of PM, NO2, and SO2 with Meteorological Correlations
by Elżbieta Wójcik-Gront and Dariusz Gozdowski
Atmosphere 2025, 16(10), 1199; https://doi.org/10.3390/atmos16101199 - 17 Oct 2025
Viewed by 294
Abstract
Monitoring air pollution remains a significant challenge for both environmental policy and public health, particularly in parts of Eastern Europe where industrial structures are undergoing transition. In this paper, we examine long-term air quality trends in Poland between 1990 and 2023, drawing on [...] Read more.
Monitoring air pollution remains a significant challenge for both environmental policy and public health, particularly in parts of Eastern Europe where industrial structures are undergoing transition. In this paper, we examine long-term air quality trends in Poland between 1990 and 2023, drawing on multiple sources: satellite observations (from 2019 to 2025), ground-based stations, and official national emission inventories. The analysis focused on sulfur dioxide (SO2), nitrogen dioxide (NO2), and particulate matter (PM10, PM2.5). Data were obtained from the Sentinel-5P TROPOMI sensor, processed through Google Earth Engine, and monitored by the Chief Inspectorate of Environmental Protection (GIOŚ, Warsaw, Poland) and the National Inventory Report (NIR, Warsaw, Poland), compiled by KOBiZE (The National Centre for Emissions Management, Warsaw, Poland). The results show a decline in emissions. SO2, for instance, dropped from about 2700 kilotons in 1990 to under 400 kilotons in 2023. Ground-based measurements matched well with inventory data (correlations around 0.75–0.85), but the agreement was noticeably weaker when satellite estimates were compared with surface monitoring. In addition to analyzing emission trends, this study examined the relationship between pollution levels and meteorological conditions across major Polish cities from 2019 to mid-2024. Pearson’s correlation analysis revealed strong negative correlations between temperature and pollutant concentrations, especially for SO2, reflecting the seasonal nature of pollution peaks during colder months. Wind speed exhibited ambiguous relationships, with daily data indicating a dilution effect (negative correlations), whereas monthly averages revealed positive associations, likely due to seasonal confounding. Higher humidity was consistently linked to higher pollution levels, and precipitation showed weak negative correlations, likely influenced by seasonal weather patterns rather than direct atmospheric processes. These findings suggest that combining different monitoring methods, despite their quirks and mismatches, provides a fuller picture of atmospheric pollution. They also point to a practical challenge. Further improvements will depend less on sweeping industrial reform and more on shifting everyday practices, like how homes are heated and how people move around cities. Full article
(This article belongs to the Section Air Quality)
Show Figures

Figure 1

Back to TopTop