Sign in to use this feature.

Years

Between: -

Subjects

remove_circle_outline
remove_circle_outline
remove_circle_outline
remove_circle_outline
remove_circle_outline
remove_circle_outline
remove_circle_outline
remove_circle_outline
remove_circle_outline

Journals

remove_circle_outline
remove_circle_outline
remove_circle_outline
remove_circle_outline
remove_circle_outline
remove_circle_outline
remove_circle_outline
remove_circle_outline
remove_circle_outline
remove_circle_outline
remove_circle_outline
remove_circle_outline
remove_circle_outline
remove_circle_outline

Article Types

Countries / Regions

remove_circle_outline
remove_circle_outline
remove_circle_outline
remove_circle_outline
remove_circle_outline
remove_circle_outline

Search Results (1,148)

Search Parameters:
Keywords = agrochemical

Order results
Result details
Results per page
Select all
Export citation of selected articles as:
12 pages, 545 KB  
Article
Pd/C–H2-Catalyzed One-Pot Aromatization–Deoxygenation of Dihydropyridinediones: A Green, Scalable Route to Alkyl Pyridines
by Susanta Mandal, Tushar Sharma Banstola, Dhan Maya Chettri, Kimron Protim Phukan and Biswajit Gopal Roy
Chemistry 2026, 8(2), 12; https://doi.org/10.3390/chemistry8020012 - 26 Jan 2026
Abstract
Alkyl-substituted pyridines are ubiquitous structural motifs found in natural products, pharmaceuticals, agrochemicals, and functional organic materials. However, their direct synthesis remains challenging because of the electron-deficient nature of the pyridine ring and the harsh conditions typically required for conventional carbonyl-to-alkane reduction. Herein, we [...] Read more.
Alkyl-substituted pyridines are ubiquitous structural motifs found in natural products, pharmaceuticals, agrochemicals, and functional organic materials. However, their direct synthesis remains challenging because of the electron-deficient nature of the pyridine ring and the harsh conditions typically required for conventional carbonyl-to-alkane reduction. Herein, we report a mild and environmentally benign Pd/C–H2 catalytic system that enables one-pot oxidative aromatization–deoxygenation of dihydropyridinedione derivatives to afford alkyl-substituted pyridines. The transformation proceeds efficiently at room temperature under atmospheric hydrogen pressure using ethanol as a green solvent, delivering the desired products in up to 91% isolated yield. The protocol exhibits broad substrate scope, high chemoselectivity, operational simplicity, and excellent catalyst recyclability. Mechanistic studies, including hydrogen-free control experiments and intermediate isolation, support a sequential Pd-mediated pathway involving oxidative aromatization, stepwise hydrogen-transfer reduction, and final deoxygenation, with water as the sole stoichiometric by-product. This method provides a sustainable and scalable alternative to classical harsh or reagent-intensive deoxygenation strategies for the synthesis of alkyl-substituted pyridines. Full article
(This article belongs to the Section Molecular Organics)
Show Figures

Graphical abstract

20 pages, 1966 KB  
Article
Histological Evidence of Thyroid Disruption in Wild Mice from Conventional and Organic Farming Environments
by Nádia M. P. Coelho, Ricardo Camarinho, Patrícia Garcia, Filipe Bernardo and Armindo S. Rodrigues
Environments 2026, 13(2), 66; https://doi.org/10.3390/environments13020066 - 23 Jan 2026
Viewed by 247
Abstract
The main objective of this work is to assess the potential negative impact of organic farming on the thyroid gland and compare it with the negative impact of conventional farming on this organ. Previous studies have linked exposure to conventional farming with thyroid [...] Read more.
The main objective of this work is to assess the potential negative impact of organic farming on the thyroid gland and compare it with the negative impact of conventional farming on this organ. Previous studies have linked exposure to conventional farming with thyroid disruption; relatively less is known about effects of exposure to organic farming on the thyroid. Mus musculus were the bioindicators in this work, captured in a conventional farm (CF), an organic farm (OF), and two reference areas (RF’) without agriculture. Histomorphometric and histomorphological measurements of the thyroid were performed. Hypothyroidism signs were observed in mice exposed to either farming system, being less pronounced in organic farming-exposed mice: epithelium thickness and the epithelial cells’ area and volume were lower than in non-exposed mice [epithelium thickness (µm): 4.16 ± 0.51 (CF); 6.28 ± 0.19 (OF); 7.46 ± 0.25 (RF’)]. Histomorphologic alterations included decreased follicular sphericity, increased epithelium irregularity, increased exfoliation into the colloid, and increased inflammation of thyroid tissue. Results suggest that, while organic farming might be a better alternative to conventional farming, it is not completely free of health hazards. Exposure to an organic farming environment can cause thyroid disruption, although with less pronounced effects than conventional farming. Despite there being risks to be considered, results support the benefit of transitioning from conventional farming systems towards organic farming systems. Full article
Show Figures

Graphical abstract

35 pages, 920 KB  
Review
Hemp (Cannabis sativa L.) Phytochemicals and Their Potential in Agrochemical, Cosmetic, and Food Industries: A Review
by Daniela Trono
Int. J. Mol. Sci. 2026, 27(3), 1146; https://doi.org/10.3390/ijms27031146 - 23 Jan 2026
Viewed by 85
Abstract
Hemp is a high-yield crop traditionally cultivated for fiber used in products such as paper, textiles, ropes, and animal bedding, and more recently for sustainable applications in biofuels, insulation, and bioplastics. Beyond fiber, hemp is rich in phytochemicals. More than 500 compounds including [...] Read more.
Hemp is a high-yield crop traditionally cultivated for fiber used in products such as paper, textiles, ropes, and animal bedding, and more recently for sustainable applications in biofuels, insulation, and bioplastics. Beyond fiber, hemp is rich in phytochemicals. More than 500 compounds including cannabinoids, terpenes, phenolics, phytosterols, and tocopherols are accumulated in leaves, flowers, and seeds, which are typically considered waste products in the fiber industry. These compounds exhibit antioxidant, anti-inflammatory, neuroprotective, and antimicrobial properties, which have stimulated research into their pharmaceutical potential. However, hemp phytochemicals also find applications in other industrial sectors, including agrochemistry as natural insecticides, cosmetics for skin and hair care, and food and dietary supplements due to their associated health benefits. In light of this, the present review aims to give an overview of the available literature on the most common applications of hemp tissues, hemp extract, and purified hemp phytochemicals in agrochemical, cosmetic, and food sectors. This will be helpful to critically assess the current state of knowledge in this field and contribute to the ongoing debate over the natural and sustainable applications of hemp by-products. Full article
(This article belongs to the Collection Feature Papers in Bioactives and Nutraceuticals)
Show Figures

Figure 1

18 pages, 2525 KB  
Article
More than a Thickener: Xanthan Gum as a Vehicle for the Herbicidal Extract of Saussurea lappa and Its Rheological Characterization
by Shafiu Mustapha, Bryan N. S. Pinto, Ângelo M. L. Denadai and Elson S. Alvarenga
Plants 2026, 15(2), 337; https://doi.org/10.3390/plants15020337 - 22 Jan 2026
Viewed by 63
Abstract
The increasing demand for food is the driving force behind the search for novel, more selective, and less hazardous agrochemicals. Natural products are gaining prominence recently due to the promise of being green agrochemicals, but many natural products are poorly soluble in water, [...] Read more.
The increasing demand for food is the driving force behind the search for novel, more selective, and less hazardous agrochemicals. Natural products are gaining prominence recently due to the promise of being green agrochemicals, but many natural products are poorly soluble in water, which reduces their applicability. In this work, we successfully formulated a water-insoluble Saussurea lappa root extract into a stable aqueous suspension using xanthan gum. The colloidal suspension was characterized by rheology, dynamic light scattering, and zeta potential. The results demonstrated that the suspension is a stable, sprayable, shear-thinning viscoelastic system (weak gel). A series of S. lappa solutions with xanthan gum were prepared and tested against five plant species, observing the inhibitory effect on the shoots and roots. The results were also compared with the commercial herbicide Dual. The S. lappa extract presented results comparable to or even greater than Dual for Lactuca sativa, Cucumis sativus, Brachiaria decumbens, and Bidens pilosa. However, it showed low inhibitory activity for Sorghum bicolor, highlighting its potential for selective weed control. This work illustrates xanthan gum as an effective vehicle for formulating insoluble natural products and demonstrates that S. lappa extract is a promising candidate for developing novel herbicides. Full article
(This article belongs to the Special Issue Advances in Weed Control and Management)
Show Figures

Graphical abstract

8 pages, 158 KB  
Proceeding Paper
Impacts of Agricultural Practices on Mountain Biodiversity
by Charisios Achillas, Thomas Varveris, Triantafyllos Bouchounas, Konstantinos Zapounidis and Dimitrios Aidonis
Proceedings 2026, 134(1), 53; https://doi.org/10.3390/proceedings2026134053 - 19 Jan 2026
Viewed by 128
Abstract
This paper investigates how agricultural practices impact mountain biodiversity. Within the PROMONT project this has been realized across six ADRION pilot areas. By combining species surveys, land-use mapping, and stakeholder input, PROMONT identifies how intensification, agrochemical use, and abandonment threaten ecological integrity. Findings [...] Read more.
This paper investigates how agricultural practices impact mountain biodiversity. Within the PROMONT project this has been realized across six ADRION pilot areas. By combining species surveys, land-use mapping, and stakeholder input, PROMONT identifies how intensification, agrochemical use, and abandonment threaten ecological integrity. Findings show that traditional agro-pastoral systems support biodiversity, while modern intensification leads to habitat loss and species decline. Agroecological practices, such as organic farming and landscape heterogeneity, offer viable pathways for sustainable coexistence. The study proposes a replicable assessment methodology and recommends integrating biodiversity objectives into agricultural policy, promoting knowledge transfer, and supporting conservation-friendly farming to enhance ecological resilience in mountain environments. Full article
24 pages, 15591 KB  
Article
Bioprospecting Honey-Derived Microorganisms for the Biological Control of Phytopathogens
by Patrícia Perina de Oliveira, Giovanna Felette de Paula, Katherine Bilsland Marchesan, Luiza Rodrigues de Souza, José Fhilipe de Miranda da Silva, João Gabriel Elston, Henrique Marques de Souza and Elizabeth Bilsland
Microorganisms 2026, 14(1), 224; https://doi.org/10.3390/microorganisms14010224 - 18 Jan 2026
Viewed by 199
Abstract
Microbial biological control agents are a sustainable alternative to synthetic pesticides, yet their widespread application is limited by a lack of environmental resilience of commercial products. To address this, we exploited honey—a stringent ecological niche—as a reservoir for stress-tolerant bacteria. In this study, [...] Read more.
Microbial biological control agents are a sustainable alternative to synthetic pesticides, yet their widespread application is limited by a lack of environmental resilience of commercial products. To address this, we exploited honey—a stringent ecological niche—as a reservoir for stress-tolerant bacteria. In this study, the bioprospection utilizing five types of commercially available honeys yielded a collection of 53 bacteria and 10 fungi. All bacterial isolates were evaluated for antimicrobial activity against a laboratory-standard bacterium and yeast, and six economically relevant phytopathogenic microorganisms. Initial screening with standard laboratory organisms proved to be an efficient method to detect strains with antimicrobial potential, correlating significantly with further phytopathogen inhibition (Spearman’s r = 0.4512, p = 0.0005). Two promising strains, M2.7 and M3.18, were selected for quantitative dual-culture assays along with molecular identification using 16S rDNA and gyrA gene sequencing, classifying them as Bacillus velezensis. These strains exhibited high inhibitory effects against the pathogens (p > 0.001), often with equivalent efficacy to the commercial biocontrol strain, and also induced significant phytopathogen hyphal deformities, such as increased septation and swelling. These findings support honey as a viable source of robust biocontrol agents, offering a sustainable strategy to substitute or complement current agrochemicals. Full article
(This article belongs to the Special Issue Microbes at the Root of Solutions for Anthropocene Challenges)
Show Figures

Figure 1

25 pages, 975 KB  
Article
Formal Synthesis of Ortho-Cyanated N-Heterocycles via Direct, Metal-Free Cyanation of N-Oxides Under Benign Conditions
by Hua Xiao, Reziyamu Wufuer and Dong Wang
Molecules 2026, 31(2), 276; https://doi.org/10.3390/molecules31020276 - 13 Jan 2026
Viewed by 298
Abstract
The introduction of cyano groups into aza-heterocyclic compounds plays a pivotal role in accessing diverse derivatives that are essential for the development of natural products, pharmaceuticals, and agrochemicals. Herein, we report a unified strategy for the direct ortho-C-H cyanation of a broad [...] Read more.
The introduction of cyano groups into aza-heterocyclic compounds plays a pivotal role in accessing diverse derivatives that are essential for the development of natural products, pharmaceuticals, and agrochemicals. Herein, we report a unified strategy for the direct ortho-C-H cyanation of a broad range of heterocyclic N-oxides, including pyridine, quinoline, isoquinoline, and pyrimidine derivatives. This transformation proceeds under mild conditions without the need for external activating agents or catalysts, and has been successfully applied to structurally complex, biologically relevant molecules. Compared to existing methodologies, our approach offers several distinct advantages: the use of non-prefunctionalized heteroarene substrates, environmentally benign reaction solvents, operational simplicity, broad substrate scope, and high efficiency in generating diverse ortho-cyanated heterocyclic compounds. Moreover, the method demonstrates considerable potential for scalable synthesis. Full article
(This article belongs to the Special Issue C-H Bond Functionalization of Heterocyclic Compounds)
Show Figures

Graphical abstract

21 pages, 512 KB  
Review
A One Health Approach Involving Composting and Compost: Balancing Human Health Risks and Agricultural Benefits
by Mohamed Ou-Zine, Said El Kinany, Said Ezrari and Rachid Bouamri
Agrochemicals 2026, 5(1), 4; https://doi.org/10.3390/agrochemicals5010004 - 12 Jan 2026
Viewed by 157
Abstract
The one health approach recognizes the interconnection between human, animal, and environmental health, emphasizing that human health should never be threatened in the pursuit of agricultural productivity. Indeed, within agricultural systems, this approach is particularly relevant, as the overuse of chemical inputs and [...] Read more.
The one health approach recognizes the interconnection between human, animal, and environmental health, emphasizing that human health should never be threatened in the pursuit of agricultural productivity. Indeed, within agricultural systems, this approach is particularly relevant, as the overuse of chemical inputs and the mismanagement of organic wastes can directly threaten human health. Overuse of chemical inputs can result in various health disturbances and contribute to the development of acute or chronic human diseases. Likewise, organic wastes constitute potential human health risks due to the presence of pathogens in these wastes such as bacteria, viruses, fungi, and parasites. Despite increasing research, many studies often lack integrated risk assessments of agrochemicals and organic waste within a “One Health” framework, leaving gaps in practical guidance for safe agricultural management. This review was conducted to address these gaps and answer the following questions: What are the human health risks associated with agrochemicals and mismanaged organic wastes? How can composting/compost mitigate these risks and support sustainable agricultural production? It examines the role of composting in managing organic wastes, producing high-quality compost, and reducing exposure to hazardous chemicals and pathogens. Furthermore, it outlines key characteristics of compost required to ensure safety for humans, plants, soil, and ecosystems. By integrating evidence on human health and crop productivity, this review provides insights for safe, sustainable agricultural practices within a unified One Health framework. Full article
(This article belongs to the Section Fertilizers and Soil Improvement Agents)
Show Figures

Figure 1

29 pages, 904 KB  
Review
Risks Associated with Dietary Exposure to Contaminants from Foods Obtained from Marine and Fresh Water, Including Aquaculture
by Martin Rose
Int. J. Environ. Res. Public Health 2026, 23(1), 85; https://doi.org/10.3390/ijerph23010085 - 7 Jan 2026
Viewed by 470
Abstract
Aquatic environments have been a critical source of nutrition for millennia, with wild fisheries supplying protein and nutrients to populations worldwide. A notable shift has occurred in recent decades with the expansion of aquaculture, now representing a fast-growing sector in food production. Aquaculture [...] Read more.
Aquatic environments have been a critical source of nutrition for millennia, with wild fisheries supplying protein and nutrients to populations worldwide. A notable shift has occurred in recent decades with the expansion of aquaculture, now representing a fast-growing sector in food production. Aquaculture plays a key role in mitigating the depletion of wild fish stocks and addressing issues related to overfishing. Despite its potential benefits, the sustainability of both wild and farmed aquatic food systems is challenged by anthropogenic pollution. Contaminants from agricultural runoff, industrial discharges, and domestic effluents enter freshwater systems and eventually reach marine environments, where they may be transported globally through ocean currents. Maintaining water quality is paramount to food safety, environmental integrity, and long-term food security. In addition to conventional seafood products such as fish and shellfish, foods such as those derived from microalgae are gaining attention in Western markets for their high nutritional value and potential functional properties. These organisms have been consumed in Asia for generations and are now being explored as sustainable foods and ingredients as an alternative source of protein. Contaminants in aquatic food products include residues of agrochemicals, persistent organic pollutants (POPs) such as dioxins, polychlorinated biphenyls (PCBs), and per- and polyfluoroalkyl substances (PFASs), as well as brominated flame retardants and heavy metals. Public and scientific attention has intensified around plastic pollution, particularly microplastics and nanoplastics, which are increasingly detected in aquatic organisms and are the subject of ongoing toxicological and ecological risk assessments. While the presence of these hazards necessitates robust risk assessment and regulatory oversight, it is important to balance these concerns against the health benefits of aquatic foods, which are rich in omega-3 fatty acids, high-quality proteins, vitamins, and trace elements. Furthermore, beyond direct human health implications, the environmental impact of pollutant sources must be addressed through integrated management approaches to ensure the long-term sustainability of aquatic ecosystems and the food systems they support. This review covers regulatory frameworks, risk assessments, and management issues relating to aquatic environments, including the impact of climate change. It aims to serve as a comprehensive resource for researchers, policymakers, food businesses who harvest food from aquatic systems and other stakeholders. Full article
Show Figures

Figure 1

12 pages, 1465 KB  
Perspective
Advances in Environmental Monitoring and Ecosystem Health: Suggestions for the Proper Reporting of Anomalies in Amphibians
by Héctor A. Castro-Bastidas, Marcos Bucio-Pacheco and David R. Aguillón-Gutiérrez
Green Health 2026, 2(1), 1; https://doi.org/10.3390/greenhealth2010001 - 6 Jan 2026
Viewed by 207
Abstract
Amphibians, as sensitive bioindicators, reflect environmental health issues that also impact human communities through shared pathways, including contaminated water and agricultural products. This perspective addresses the need to standardize the reporting of anomalies (defined as significant phenotypic deviations from typical morphology, structure, or [...] Read more.
Amphibians, as sensitive bioindicators, reflect environmental health issues that also impact human communities through shared pathways, including contaminated water and agricultural products. This perspective addresses the need to standardize the reporting of anomalies (defined as significant phenotypic deviations from typical morphology, structure, or coloration) in amphibians in Mexico, where inconsistent terminology and incomplete data limit their utility for environmental monitoring. We propose a framework that includes a classification of anomalies (structural and chromatic) and a field-based physical examination protocol to systematically document these cases. The approach integrates detailed guidelines to ensure comprehensive reporting and data comparability, addressing geographic and taxonomic biases. Recent findings highlight that over 50% of anomaly reports in Mexico are incidental, with predominant cases in Ambystomatidae, Hylidae, and Ranidae, and linked to anthropogenic pressures such as agrochemicals. The framework promotes interdisciplinary collaboration, citizen science, and emerging technologies like artificial intelligence for sustainable monitoring. By standardizing the detection and reporting of anomalies, this proposal strengthens the role of amphibians as sentinels of ecosystem health, with applications in Mexico and other regions facing high environmental degradation. Full article
Show Figures

Figure 1

17 pages, 3005 KB  
Article
Methodological Advancement in Resistive-Based, Real-Time Spray Deposition Assessment with Multiplexed Acquisition
by Ayesha Ali, Lorenzo Becce, Andreas Gronauer and Fabrizio Mazzetto
AgriEngineering 2026, 8(1), 3; https://doi.org/10.3390/agriengineering8010003 - 1 Jan 2026
Viewed by 326
Abstract
The use of agrochemicals remains indispensable for ensuring fruit production; however, their excessive or inefficient application poses significant environmental and health concerns. Rapid detection of spray deposition is crucial for assessing sprayer performance, improving precision application, and reducing drift and chemical waste. In [...] Read more.
The use of agrochemicals remains indispensable for ensuring fruit production; however, their excessive or inefficient application poses significant environmental and health concerns. Rapid detection of spray deposition is crucial for assessing sprayer performance, improving precision application, and reducing drift and chemical waste. In this context, real-time monitoring technologies represent a promising tool to promote sustainable and efficient crop protection practices. This study refines previous experiences with an array of resistive sensors to quickly measure spray deposition. First, a multi-point calibration curve is introduced to improve the sensors’ accuracy. Furthermore, a multiplexed acquisition system (Sciospec ISX-5) is employed to enable time-resolved measurements of the whole sensor array. The method is validated by spectrophotometry and weight measurements. Wind tunnel trials with fluorescein (FLU) and fluorescein + potassium chloride (FLU + KCl) tracing solutions were conducted. The conductivity of the latter was higher than the former, without biasing the measurement. Both tracers showed good correlation between deposition and conductivity (R2 = 0.997 for FLU and 0.995 for FLU + KCl), and the maximum deviation from the spectrophotometric estimates was <10%. Time-resolved measurement showed the build-up of deposition over time, potentially indicating the dimensional composition of the sprayed cloud. The improved workflow provides array-wide, sequential deposition measurements, enabling faster on-site acquisition and efficient analysis. The results demonstrate strong potential for scaling the method to field applications, supporting its further development into real-time deposition mapping tools that could guide precision spraying, optimize agrochemical use, and reduce environmental drift. Full article
Show Figures

Figure 1

30 pages, 10210 KB  
Article
Molecular Modeling Reveals Selective AChE Inhibitor Against Bemisia tabaci Pest
by Fernanda F. de Souza, Juliana F. Vilachã, Othon S. Campos and Heberth de Paula
Targets 2026, 4(1), 1; https://doi.org/10.3390/targets4010001 - 31 Dec 2025
Viewed by 248
Abstract
Acetylcholinesterase (AChE) is an important molecular target in the development of insecticides, but due to also being found in the human body, it is necessary to characterize the inhibitory profile of compounds to achieve selectivity. In this study, we employed molecular modeling and [...] Read more.
Acetylcholinesterase (AChE) is an important molecular target in the development of insecticides, but due to also being found in the human body, it is necessary to characterize the inhibitory profile of compounds to achieve selectivity. In this study, we employed molecular modeling and 3D-QSAR approaches to identify novel compounds that inhibit AChE1 in Bemisia tabaci, a common agricultural pest in tropical and subtropical crops. We conducted molecular docking simulations and quantitative structure–activity relationship analysis (QSAR) to identify compounds with potential inhibitory activity and to develop a predictive model for the activity of these new compounds. The validated model demonstrated remarkable predictive performance. Using the model, we screened a library of novel moieties in favorable regions of the most active molecules in the dataset and identified promising candidates, including FS168. We performed molecular dynamics simulations with FS168 bound to the AChE1 of B. tabaci and observed stabilization and interaction with important catalytic amino acids, indicating a potential inhibition mechanism. Our results showcase the potential of combining molecular modeling and 3D-QSAR approaches for discovering new potential AChE1 inhibitors in Bemisia tabaci as selective agrochemicals. Full article
Show Figures

Graphical abstract

14 pages, 1339 KB  
Article
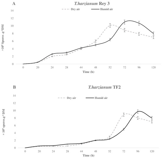
Biopesticide Production from Trichoderma harzianum by Solid-State Fermentation: Impact of Drying Process on Spore Viability
by Rayhane Hamrouni, Vincent Walker, Anne-Marie Farnet-Da Silva, Hervé Bresson, Sevastianos Roussos and Nathalie Dupuy
Fermentation 2026, 12(1), 19; https://doi.org/10.3390/fermentation12010019 - 30 Dec 2025
Viewed by 647
Abstract
Among the sustainable agricultural approaches, biological control agents are a promising new alternative to agrochemicals. However, expensive production methods, formulation, poor storage stability and short shelf life are limiting their adoption. One of the promising options for biopesticide production is solid-state fermentation (SSF). [...] Read more.
Among the sustainable agricultural approaches, biological control agents are a promising new alternative to agrochemicals. However, expensive production methods, formulation, poor storage stability and short shelf life are limiting their adoption. One of the promising options for biopesticide production is solid-state fermentation (SSF). This study was conducted to evaluate spore production by two Trichoderma harzianum, Rey 3 and TF2, under forced air drying in SSF. A mixture of agroindustrial byproducts (sugarcane bagasse, vine shoots, wheat bran, potato flour and chitin) were used as substrates. CO2 generated during fungi growth was recorded by respirometry. We also investigated the effect of hydric stress conditions on the decreasing phase of Trichoderma metabolism as an inducer of sporulation. In parallel, we analyzed the viability of T. harzianum TF2 and spores under different storage conditions (lyophilized, frozen and dried). Under the present culture conditions, the highest production of spores was 10.1 ± 0.3 × 109 spores/g DM (Dry Material) at 52 h for T. harzianum Rey 3 and 8.9 ± 0.6 × 109 spores/g DM at 72 h for T. harzianum TF2. The forced dry air during the fermentation process had no notable effect on spore production, but it did increase the spore viability (29% viability for T. harzianum Rey 3 and 33% viability for T. harzianum TF2). In parallel, the chitinase, cellulase, xylanase and lipase activities were evaluated, obtaining interesting results regarding enzymatic activities. Full article
Show Figures

Figure 1

22 pages, 2575 KB  
Article
Sustained Release of Azoxystrobin from Clay Carriers for the Management of Maize Late Wilt Disease
by Ofir Degani, Adar Abramovici, Achinoam Levi-Lion, Daniel Demenchuk, Ariel Hadad and Elhanan Dimant
J. Fungi 2026, 12(1), 21; https://doi.org/10.3390/jof12010021 - 27 Dec 2025
Viewed by 387
Abstract
Controlled-release technologies based on natural clays offer a sustainable approach to enhance the efficacy and environmental compatibility of agrochemicals. This study reports the development and evaluation of clay-based azoxystrobin (Az) formulations for controlling Magnaporthiopsis maydis, the causal agent of maize late wilt [...] Read more.
Controlled-release technologies based on natural clays offer a sustainable approach to enhance the efficacy and environmental compatibility of agrochemicals. This study reports the development and evaluation of clay-based azoxystrobin (Az) formulations for controlling Magnaporthiopsis maydis, the causal agent of maize late wilt disease. Among six carriers tested, raw bentonite and sepiolite were selected for their comparable adsorption capacity (9.5% Az loading efficiency) and ease of preparation. A novel mycelial plug-immersion bioassay was established and calibrated (R2 = 0.92–0.95) to assess release kinetics and antifungal efficacy, showing approximately tenfold higher sensitivity than conventional disk-diffusion or mycelial-growth inhibition assays. Sequential wash and extended incubation experiments demonstrated sustained Az release equivalent to ≥1 mg L−1 over 144 h, resulting in approximately 50% (p < 0.05) fungal growth suppression. A comparative analysis of particle suspensions and supernatants revealed formulation-specific release behaviors, which differed among clay carriers. Overall, bentonite and sepiolite acted as efficient carriers that prolonged fungicide bioavailability, minimized leaching losses, and preserved biological activity. These findings provide proof of concept for clay–Az formulations as eco-friendly and cost-effective tools for late wilt management and advance understanding of clay–fungicide interactions that support sustainable, integrated disease-control strategies. Full article
(This article belongs to the Special Issue Plant Fungal Diseases and Crop Protection, 2nd Edition)
Show Figures

Graphical abstract

16 pages, 681 KB  
Review
Research Progress on the Application of Trichoderma in Plant Abiotic Stress
by Meilan Zhao, Huanrui Zhao, Peng Wang, Longfei Jin, Yang Yue and Dejian Zhang
Horticulturae 2026, 12(1), 29; https://doi.org/10.3390/horticulturae12010029 - 26 Dec 2025
Cited by 1 | Viewed by 325
Abstract
Abiotic stresses, including salt stress, drought, extreme temperature, heavy metal pollution, and waterlogging, interfere with the normal physiological activities of plants through multiple pathways. These stresses destroy the structure and function of cell membranes, inhibit enzyme activity, cause protein denaturation, and trigger oxidative [...] Read more.
Abiotic stresses, including salt stress, drought, extreme temperature, heavy metal pollution, and waterlogging, interfere with the normal physiological activities of plants through multiple pathways. These stresses destroy the structure and function of cell membranes, inhibit enzyme activity, cause protein denaturation, and trigger oxidative stress. Such effects not only slow plant biomass accumulation but may also initiate a series of secondary metabolic reactions, increasing the metabolic burden on plants. Abiotic stress poses a serious threat to agricultural production through yield reductions, while exerting profound negative impacts on ecosystem stability, causing many adverse effects. This review focuses on how Trichoderma promotes plant growth and nutrient uptake through multiple mechanisms under abiotic stress conditions. Additionally, it produces abundant secondary metabolites to activate the antioxidant system, thereby enhancing plant tolerance to abiotic stress and their defense capabilities. It can boost soil nutrient availability, enhance agrochemical-contaminated soil, promote crop growth, and improve yield and quality, while reducing the use of chemical pesticides and lessening environmental impacts. Therefore, as a crucial soil microorganism, Trichoderma has great potential in alleviating crop abiotic stress. Through deep research and technological innovation, Trichoderma is expected to become an important tool for sustainable agricultural development. Full article
Show Figures

Figure 1

Back to TopTop