Pd/C–H2-Catalyzed One-Pot Aromatization–Deoxygenation of Dihydropyridinediones: A Green, Scalable Route to Alkyl Pyridines
Abstract
1. Introduction
2. Materials and Methods
2.1. General Methods
2.2. Materials
2.3. General Procedure for Construction of Starting Material: Dihydropyridinediones
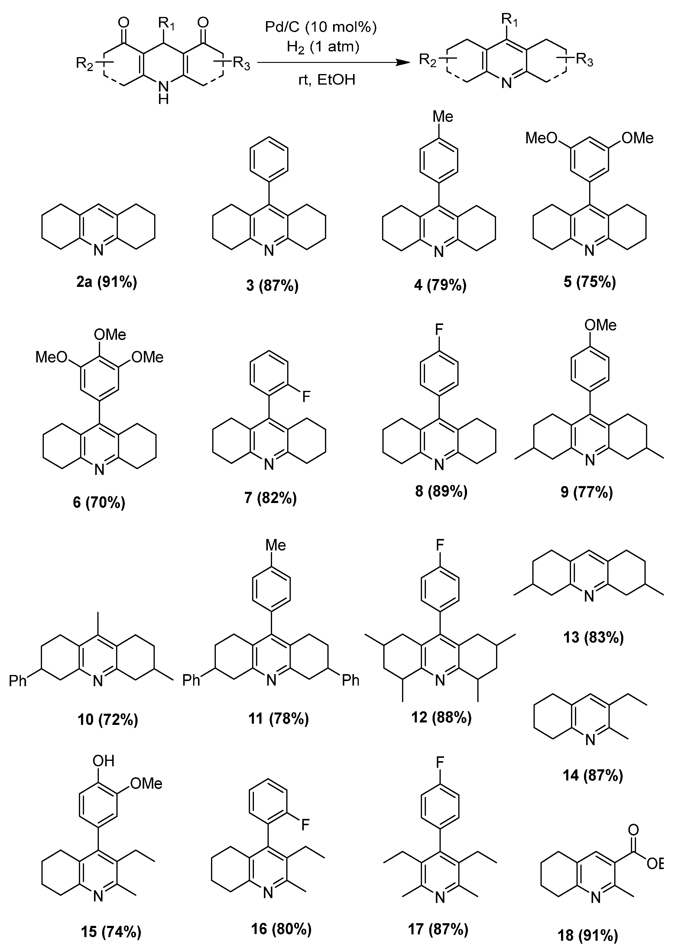
2.4. General Procedure A: Aromatization and Hydrogenation of Dihydropyridinedione
2.5. Characterization
3. Results and Discussion
4. Conclusions
Supplementary Materials
Author Contributions
Funding
Data Availability Statement
Acknowledgments
Conflicts of Interest
References
- Portero, C.E.; Han, Y.; Marchán-Rivadeneira, M.R. Advances on the Biosynthesis of Pyridine Rings. Eng. Microbiol. 2023, 3, 100064. [Google Scholar] [CrossRef] [PubMed]
- Islam, M.B.; Islam, M.I.; Nath, N.; Emran, T.B.; Rahman, M.R.; Sharma, R.; Matin, M.M. Recent Advances in Pyridine Scaffold: Focus on Chemistry, Synthesis, and Antibacterial Activities. BioMed Res. Int. 2023, 2023, 9967591. [Google Scholar] [CrossRef]
- Vaithegi, K.; Yi, S.; Lee, J.H.; Varun, B.V.; Park, S.B. Synthesis of Substituted Pyridines with Diverse Functional Groups via the Remodeling of (Aza)Indole/Benzofuran Skeletons. Commun. Chem. 2023, 6, 112. [Google Scholar] [CrossRef] [PubMed]
- De, S.; Kumar, A.; Shah, S.; Kazi, S.; Sarkar, N.; Banerjee, S.; Dey, S. Pyridine: The Scaffolds with Significant Clinical Diversity. RSC Adv. 2022, 12, 15385–15406. [Google Scholar] [CrossRef]
- Ling, Y.; Hao, Z.-Y.; Liang, D.; Zhang, C.-L.; Liu, Y.-F.; Wang, Y. The Expanding Role of Pyridine and Dihydropyridine Scaffolds in Drug Design. Drug Des. Devel. Ther. 2021, 15, 4289–4338. [Google Scholar] [CrossRef] [PubMed]
- Vitaku, E.; Smith, D.T.; Njardarson, J.T. Analysis of the Structural Diversity, Substitution Patterns, and Frequency of Nitrogen Heterocycles among U.S. FDA Approved Pharmaceuticals. J. Med. Chem. 2014, 57, 10257–10274. [Google Scholar] [CrossRef]
- Albratty, M.; Alhazmi, H.A. Novel Pyridine and Pyrimidine Derivatives as Promising Anticancer Agents: A Review. Arab. J. Chem. 2022, 15, 103846. [Google Scholar] [CrossRef]
- Shah, P. Synthesis and Molecular Docking Study of a Series of Novel Pyridine Derivatives and Evaluation of Their Anticancer Activity. J. Pharm. Res. Int. 2025, 37, 97–107. [Google Scholar] [CrossRef]
- Mohammad Abu-Taweel, G.; Ibrahim, M.M.; Khan, S.; Al-Saidi, H.M.; Alshamrani, M.; Alhumaydhi, F.A.; Alharthi, S.S. Medicinal Importance and Chemosensing Applications of Pyridine Derivatives: A Review. Crit. Rev. Anal. Chem. 2024, 54, 599–616. [Google Scholar] [CrossRef]
- Zakharychev, V.V.; Martsynkevich, A.M. Development of Novel Pyridine-Based Agrochemicals: A Review. Adv. Agrochem 2025, 4, 30–48. [Google Scholar] [CrossRef]
- Guan, A.-Y.; Liu, C.-L.; Sun, X.-F.; Xie, Y.; Wang, M.-A. Discovery of Pyridine-Based Agrochemicals by Using Intermediate Derivatization Methods. Bioorg. Med. Chem. 2016, 24, 342–353. [Google Scholar] [CrossRef] [PubMed]
- Zheng, Z.; Dai, A.; Jin, Z.; Chi, Y.R.; Wu, J. Trifluoromethylpyridine: An Important Active Fragment for the Discovery of New Pesticides. J. Agric. Food Chem. 2022, 70, 11019–11030. [Google Scholar] [CrossRef]
- Liu, Y.; Fu, B.; Xu, Y.; Ren, B.; Qin, Z. Advancement of Phenoxypyridine as an Active Scaffold for Pesticides. Molecules 2022, 27, 6803. [Google Scholar] [CrossRef]
- Zakharychev, V.V.; Kuzenkov, A.V.; Martsynkevich, A.M. Good Pyridine Hunting: A Biomimic Compound, a Modifier and a Unique Pharmacophore in Agrochemicals. Chem. Heterocycl. Compd. 2020, 56, 1491–1516. [Google Scholar] [CrossRef]
- Abd El-Lateef, H.M.; Khalaf, M.M.; Gouda, M.; Kandeel, M.; Amer, A.A.; Abdelhamid, A.A.; Drar, A.M.; Gad, M.A. Functionalized Pyridines: Synthesis and Toxicity Evaluation of Potential Insecticidal Agents against Aphis craccivora. ACS Omega 2023, 8, 29685–29692. [Google Scholar] [CrossRef] [PubMed]
- Bakhite, E.A.; Abd-Ella, A.A.; El-Sayed, M.E.A.; Abdel-Raheem, S.A.A. Pyridine Derivatives as Insecticides. Part 2: Synthesis of Some Piperidinium and Morpholinium Cyanopyridinethiolates and Their Insecticidal Activity. J. Saudi Chem. Soc. 2017, 21, 95–104. [Google Scholar] [CrossRef]
- Bakhite, E.A.; Abd-Ella, A.A.; El-Sayed, M.E.A.; Abdel-Raheem, S.A.A. Pyridine Derivatives as Insecticides. Part 1: Synthesis and Toxicity of Some Pyridine Derivatives Against Cowpea Aphid, Aphis Craccivora Koch (Homoptera: Aphididae). J. Agric. Food Chem. 2014, 62, 9982–9986. [Google Scholar] [CrossRef]
- Iglesias, B.; Alvarez, R.; de Lera, A.R. A General Synthesis of Alkylpyridines. Tetrahedron 2001, 57, 3125–3130. [Google Scholar] [CrossRef]
- Lin, S.X.; Curtis, M.A.; Sperry, J. Pyridine Alkaloids with Activity in the Central Nervous System. Bioorg. Med. Chem. 2020, 28, 115820. [Google Scholar] [CrossRef]
- Reza, A.I.; Iwai, K.; Nishiwaki, N. Recent Advances in Synthesis of Multiply Arylated/Alkylated Pyridines. Chem. Rec. 2022, 22, e202200099. [Google Scholar] [CrossRef] [PubMed]
- Lukin, O. Functionalized Pyridines as Valuable Building Blocks in Organic Synthesis and Medicinal Chemistry. Available online: https://lifechemicals.com/blog/building-blocks/401-functionalized-pyridines-as-valuable-building-blocks-in-organic-synthesis-and-medicinal-chemistry (accessed on 1 November 2025).
- Smith, M.B.; March, J. Aromatic Substitution, Electrophilic. In March’s Advanced Organic Chemistry; John Wiley & Sons: Hoboken, NJ, USA, 2006; pp. 657–751. [Google Scholar] [CrossRef]
- Smith, M.B.; March, J. Aromatic Substitution, Nucleophilic and Organometallic. In March’s Advanced Organic Chemistry; John Wiley & Sons: Hoboken, NJ, USA, 2006; pp. 853–933. [Google Scholar] [CrossRef]
- Nakao, Y. Transition-Metal-Catalyzed C-H Functionalization for the Synthesis of Substituted Pyridines. Synthesis 2011, 2011, 3209–3219. [Google Scholar] [CrossRef]
- Cao, Y.; Shih, W.-C.; Bhuvanesh, N.; Zhou, J.; Ozerov, O.V. Cooperative C–H Activation of Pyridine by PBP Complexes of Rh and Ir Can Lead to Bridging 2-Pyridyls with Different Connectivity to the B–M Unit. Chem. Sci. 2021, 12, 14167–14173. [Google Scholar] [CrossRef]
- Martin, E.L. The Clemmensen Reduction. In Organic Reactions; John Wiley & Sons: Hoboken, NJ, USA, 2011; pp. 155–209. [Google Scholar] [CrossRef]
- Todd, D. The Wolff-Kishner Reduction. In Organic Reactions; John Wiley & Sons: Hoboken, NJ, USA, 2011; pp. 378–422. [Google Scholar] [CrossRef]
- Clayden, J.; Greeves, N.; Warren, S.; Clayden, J.; Greeves, N.; Warren, S. Organic Chemistry, 2nd ed.; Oxford University Press: Oxford, UK, 2012. [Google Scholar]
- Barton, D.H.R.; McCombie, S.W. A New Method for the Deoxygenation of Secondary Alcohols. J. Chem. Soc. Perkin 1 1975, 16, 1574–1585. [Google Scholar] [CrossRef]
- Volkov, A.; Gustafson, K.P.J.; Tai, C.-W.; Verho, O.; Bäckvall, J.-E.; Adolfsson, H. Mild Deoxygenation of Aromatic Ketones and Aldehydes over Pd/C Using Polymethylhydrosiloxane as the Reducing Agent. Angew. Chem. Int. Ed. 2015, 54, 5122–5126. [Google Scholar] [CrossRef]
- Sunada, Y.; Kawakami, H.; Imaoka, T.; Motoyama, Y.; Nagashima, H. Hydrosilane Reduction of Tertiary Carboxamides by Iron Carbonyl Catalysts. Angew. Chem. Int. Ed. 2009, 48, 9511–9514. [Google Scholar] [CrossRef]
- Chen, H.; Xu, Z.; Wan, H.; Zheng, J.; Yin, D.; Zheng, S. Aqueous bromate reduction by catalytic hydrogenation over Pd/Al2O3 catalysts. Appl. Catal. B Environ. 2010, 96, 307–313. [Google Scholar] [CrossRef]
- Chen, W.; Chen, Y.; Gu, X.; Chen, Z.; Ho, C.-Y. (NHC)Pd(II) Hydride-Catalyzed Dehydroaromatization by Olefin Chain-Walking Isomerization and Transfer-Dehydrogenation. Nat. Commun. 2022, 13, 5507. [Google Scholar] [CrossRef] [PubMed]
- Iosub, A.V.; Stahl, S.S. Palladium-Catalyzed Aerobic Dehydrogenation of Cyclic Hydrocarbons for the Synthesis of Substituted Aromatics and Other Unsaturated Products. ACS Catal. 2016, 6, 8201–8213. [Google Scholar] [CrossRef]
- Mao, Z.; Gu, H.; Lin, X.; Mao, Z.; Gu, H.; Lin, X. Recent Advances of Pd/C-Catalyzed Reactions. Catalysts 2021, 11, 1078. [Google Scholar] [CrossRef]
- You, P.; Wu, L.; Zhou, L.; Xu, Y.; Qin, R.; You, P.; Wu, L.; Zhou, L.; Xu, Y.; Qin, R. Impact of Oxygen-Containing Groups on Pd/C in the Catalytic Hydrogenation of Acetophenone and Phenylacetylene. Catalysts 2024, 14, 545. [Google Scholar] [CrossRef]
- Mandal, S.; Chhetri, K.; Bhuyan, S.; Roy, B.G. Efficient iron catalyzed ligand-free access to acridines and acridinium ions. Green Chem. 2020, 22, 3178–3185. [Google Scholar] [CrossRef]
- Loev, B.; Goodman, M.M.; Snader, K.M.; Tedeschi, R.; Macko, E.J. Hantzsch-type dihydropyridine hypotensive agents. Med. Chem. 1974, 17, 956–965. [Google Scholar] [CrossRef]
- Marques, C.A.; Selva, M.; Tundo, P. Facile Hydrodehalogenation with H2 and Pd/C Catalyst under Multiphase Conditions. 3. Selective Removal of Halogen from Functionalized Aryl Ketones. 4. Aryl Halide-Promoted Reduction of Benzyl Alcohols to Alkanes. J. Org. Chem. 1995, 60, 2430–2435. [Google Scholar] [CrossRef]
- Nakamichi, N.; Kawashita, Y.; Hayashi, M. Oxidative Aromatization of 1,3,5-Trisubstituted Pyrazolines and Hantzsch 1,4-Dihydropyridines by Pd/C in Acetic Acid. Org. Lett. 2002, 4, 3955–3957. [Google Scholar] [CrossRef]
- Hayashi, M.; Yamada, K.; Nakayama, S.; Hayashi, H.; Yamazaki, S. Environmentally Benign Oxidation Using a Palladium Catalyst System. Green Chem. 2000, 2, 257–260. [Google Scholar] [CrossRef]
- Liu, X.-J.; Wang, W.-P.; Huo, C.; Wang, X.; Quan, Z.-J. Palladium-Catalyzed Dehydrogenation of Dihydro-Heterocycles Using Isoprene as the Hydrogen Acceptors without Oxidants. Catal. Sci. Technol. 2017, 7, 565–569. [Google Scholar] [CrossRef]
- Rajagopal, S.; Spatola, A.F. Mechanism of Palladium-Catalyzed Transfer Hydrogenolysis of Aryl Chlorides by Formate Salts. J. Org. Chem. 1995, 60, 1347–1355. [Google Scholar] [CrossRef]
- Mandal, P.K.; McMurray, J.S. Pd−C-Induced Catalytic Transfer Hydrogenation with Triethylsilane. J. Org. Chem. 2007, 72, 6599–6601. [Google Scholar] [CrossRef]
- Sawadjoon, S.; Lundstedt, A.; Samec, J.S.M. Pd-Catalyzed Transfer Hydrogenolysis of Primary, Secondary, and Tertiary Benzylic Alcohols by Formic Acid: A Mechanistic Study. ACS Catal. 2013, 3, 635–642. [Google Scholar] [CrossRef]



![]() | ||||
|---|---|---|---|---|
| Entry | Pd (mol%) | Solvent | Time (h) | Yield (%) |
| 1 | Pd/C (5) | MeOH | 24 | 52 |
| 2 | Pd/C (10) | MeOH | 10 | 90 |
| 3 | Pd/C (10) | EtOH | 10 | 91 |
| 4 | Pd/C (10) | DCM | 24 | 19 |
| 5 | Pd/C (10) | CH3CN | 24 | 21 |
| 6 | Pd/C (10) | CHCl3 | 24 | 18 |
| 7 | Pd/Al2O3 (10) | EtOH | 24 | 25 |
| 8 | Pd/CaCO3 (10) | EtOH | 24 | 11 |
| Entry | Pd/C Catalytic Cycles 1 | Yield (%) |
|---|---|---|
| 1 | Fresh | 91 |
| 2 | First reuse | 90 |
| 3 | Second reuse | 88 |
| 4 | Third reuse | 86 |
Disclaimer/Publisher’s Note: The statements, opinions and data contained in all publications are solely those of the individual author(s) and contributor(s) and not of MDPI and/or the editor(s). MDPI and/or the editor(s) disclaim responsibility for any injury to people or property resulting from any ideas, methods, instructions or products referred to in the content. |
© 2026 by the authors. Licensee MDPI, Basel, Switzerland. This article is an open access article distributed under the terms and conditions of the Creative Commons Attribution (CC BY) license.
Share and Cite
Mandal, S.; Banstola, T.S.; Chettri, D.M.; Phukan, K.P.; Roy, B.G. Pd/C–H2-Catalyzed One-Pot Aromatization–Deoxygenation of Dihydropyridinediones: A Green, Scalable Route to Alkyl Pyridines. Chemistry 2026, 8, 12. https://doi.org/10.3390/chemistry8020012
Mandal S, Banstola TS, Chettri DM, Phukan KP, Roy BG. Pd/C–H2-Catalyzed One-Pot Aromatization–Deoxygenation of Dihydropyridinediones: A Green, Scalable Route to Alkyl Pyridines. Chemistry. 2026; 8(2):12. https://doi.org/10.3390/chemistry8020012
Chicago/Turabian StyleMandal, Susanta, Tushar Sharma Banstola, Dhan Maya Chettri, Kimron Protim Phukan, and Biswajit Gopal Roy. 2026. "Pd/C–H2-Catalyzed One-Pot Aromatization–Deoxygenation of Dihydropyridinediones: A Green, Scalable Route to Alkyl Pyridines" Chemistry 8, no. 2: 12. https://doi.org/10.3390/chemistry8020012
APA StyleMandal, S., Banstola, T. S., Chettri, D. M., Phukan, K. P., & Roy, B. G. (2026). Pd/C–H2-Catalyzed One-Pot Aromatization–Deoxygenation of Dihydropyridinediones: A Green, Scalable Route to Alkyl Pyridines. Chemistry, 8(2), 12. https://doi.org/10.3390/chemistry8020012


