Histological Evidence of Thyroid Disruption in Wild Mice from Conventional and Organic Farming Environments
Abstract
1. Introduction
2. Methodology
2.1. Study Sites
2.2. Mice Sampling and Preparation of Histological Slides
2.3. Histomorphometric Analysis
2.4. Histomorphological Analysis
2.5. Statistical Analysis
3. Results
3.1. Histomorphometric Analysis
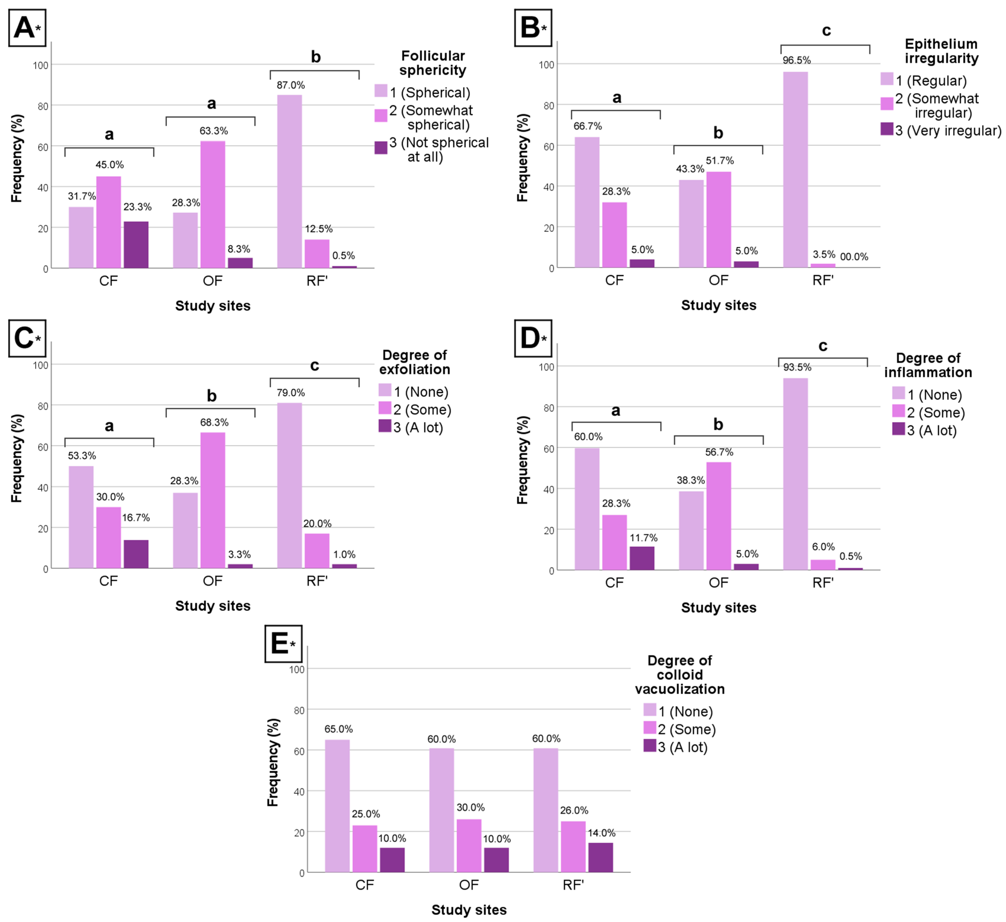
3.2. Histomorphological Analysis
3.3. Data Correlations
4. Discussion
5. Conclusions
Supplementary Materials
Author Contributions
Funding
Institutional Review Board Statement
Data Availability Statement
Acknowledgments
Conflicts of Interest
Abbreviations
References
- Fanzo, J. The role of farming and rural development as central to our diets. Physiol. Behav. 2018, 193, 291–297. [Google Scholar] [CrossRef] [PubMed]
- Viana, C.M.; Freire, D.; Abrantes, P.; Rocha, J.; Pereira, P. Agricultural land systems importance for supporting food security and sustainable development goals: A systematic review. Sci. Total Environ. 2022, 806, 150718. [Google Scholar] [CrossRef] [PubMed]
- Kaur, R.; Choudhary, D.; Bali, S.; Bandral, S.S.; Singh, V.; Ahmad, M.A.; Rani, N.; Singh, T.G.; Chandrasekaran, B. Pesticides: An alarming detrimental to health and environment. Sci. Total Environ. 2024, 915, 170113. [Google Scholar] [CrossRef] [PubMed]
- Zhao, K.; Tian, X.; Lai, W.; Xu, S. Agricultural production and air pollution: An investigation on crop straw fires. PLoS ONE 2024, 19, e0303830. [Google Scholar] [CrossRef]
- Azarbad, H. Conventional vs. organic agriculture–Which one promotes better yields and microbial resilience in rapidly changing climates? Front. Microbiol. 2022, 13, 903500. [Google Scholar] [CrossRef]
- Vašková, H.; Saska, P. Comparison of organic and conventional agriculture in the Czech Republic: A systematic review. Agriculture 2024, 14, 2087. [Google Scholar] [CrossRef]
- Gaitán-Cremaschi, D.; Klerkx, L.; Duncan, J.; Trienekens, J.H.; Huenchuleo, C.; Dogliotti, S.; Contesse, M.E.; Rossing, W.A.H. Characterizing diversity of food systems in view of sustainability transitions. A review. Agron. Sustain. Dev. 2019, 39, 1–22. [Google Scholar] [CrossRef]
- Crowder, D.W.; Reganold, J.P. Financial competitiveness of organic agriculture on a global scale. Proc. Natl. Acad. Sci. USA 2015, 112, 7611–7616. [Google Scholar] [CrossRef]
- Seufert, V.; Ramankutty, N.; Foley, J.A. Comparing the yields of organic and conventional agriculture. Nature 2012, 485, 229–232. [Google Scholar] [CrossRef]
- Vigar, V.; Myers, S.; Oliver, C.; Arellano, J.; Robinson, S.; Leifert, C. A systematic review of organic versus conventional food consumption: Is there a measurable benefit on human health? Nutrients 2019, 12, 7. [Google Scholar] [CrossRef]
- Thaise de Oliveira Faoro, D.; Artuzo, F.D.; Rossi Borges, J.A.; Foguesatto, C.R.; Dewes, H.; Talamini, E. Are organics more nutritious than conventional foods? A comprehensive systematic review. Heliyon 2024, 10, e28288. [Google Scholar] [CrossRef] [PubMed]
- Milner, G.R.; Boldsen, J.L. Population trends and the transition to agriculture: Global processes as seen from North America. Proc. Natl. Acad. Sci. USA 2023, 120, e2209478119. [Google Scholar] [CrossRef] [PubMed]
- Sadighara, P.; Mahmudiono, T.; Marufi, N.; Yazdanfar, N.; Fakhri, Y.; Rikabadi, A.K.; Khaneghah, A.M. Residues of carcinogenic pesticides in food: A systematic review. Rev. Environ. Health 2023, 39, 659–666. [Google Scholar] [CrossRef] [PubMed]
- Khode, D.; Hepat, A.; Mudey, A.; Joshi, A. Health-related challenges and programs among agriculture workers: A narrative review. Cureus 2024, 16, e57222. [Google Scholar] [CrossRef]
- Wilbois, K.-P.; Schmidt, J.E. Reframing the debate surrounding the yield gap between organic and conventional farming. Agronomy 2019, 9, 82. [Google Scholar] [CrossRef]
- Ondrasek, G.; Horvatinec, J.; Kovačić, M.B.; Reljić, M.; Vinceković, M.; Rathod, S.; Bandumula, N.; Dharavath, R.; Rashid, M.I.; Panfilova, O.; et al. Land resources in organic agriculture: Trends and challenges in the twenty-first century from global to Croatian contexts. Agronomy 2023, 13, 1544. [Google Scholar] [CrossRef]
- Strenner, M.; Chmelíková, L.; Hülsbergen, K.-J. Compost fertilization in organic agriculture—A comparison of the impact on corn plants using field spectroscopy. Appl. Sci. 2023, 13, 3676. [Google Scholar] [CrossRef]
- Panday, D.; Bhusal, N.; Das, S.; Ghalehgolabbehbahani, A. Rooted in nature: The rise, challenges, and potential of organic farming and fertilizers in agroecosystems. Sustainability 2024, 16, 1530. [Google Scholar] [CrossRef]
- Meng, F.; Qiao, Y.; Wu, W.; Smith, P.; Scott, S. Environmental impacts and production performances of organic agriculture in China: A monetary valuation. J. Environ. Manag. 2017, 188, 49–57. [Google Scholar] [CrossRef]
- Giampieri, F.; Mazzoni, L.; Cianciosi, D.; Alvarez-Suarez, J.M.; Regolo, L.; Sánchez-González, C.; Capocasa, F.; Xiao, J.; Mezzetti, B.; Battino, M. Organic vs conventional plant-based foods: A review. Food Chem. 2022, 383, 132352. [Google Scholar] [CrossRef]
- Knuth, D.; Gai, L.; Silva, V.; Harkes, P.; Hofman, J.; Šudoma, M.; Bílková, Z.; Alaoui, A.; Mandrioli, D.; Pasković, I.; et al. Pesticide residues in organic and conventional agricultural soils across Europe: Measured and predicted concentrations. Environ. Sci. Technol. 2024, 58, 6744–6752. [Google Scholar] [CrossRef] [PubMed]
- Lazarević-Pašti, T.; Milanković, V.; Tasić, T.; Petrović, S.; Leskovac, A. With or without you?—A critical review on pesticides in food. Foods 2025, 14, 1128. [Google Scholar] [CrossRef] [PubMed]
- Parelho, C.; Rodrigues, A.; Bernardo, F.; Barreto, M.C.; Cunha, L.; Poeta, P.; Garcia, P. Biological endpoints in earthworms (Amynthas gracilis) as tools for the ecotoxicity assessment of soils from livestock production systems. Ecol. Indic. 2018, 95, 984–990. [Google Scholar] [CrossRef]
- Silva, V.; Peixoto, F.; Igrejas, G.; Parelho, C.; Garcia, P.; Carvalho, I.; Pereira, J.; Rodrigues, A.; Poeta, P. First report on vanA-Enterococcus faecalis recovered from soils subjected to long-term livestock agricultural practices in Azores archipelago. Int. J. Environ. Res. 2018, 12, 39–44. [Google Scholar] [CrossRef]
- Bassitta, R.; Nottensteiner, A.; Bauer, J.; Straubinger, R.K.; Hölzel, C.S. Spread of antimicrobial resistance genes via pig manure from organic and conventional farms in the presence or absence of antibiotic use. J. Appl. Microbiol. 2022, 133, 2457–2465. [Google Scholar] [CrossRef]
- Zhuang, X.; Fan, H.; Li, X.; Dong, Y.; Wang, S.; Zhao, B.; Wu, S. Transfer and accumulation of antibiotic resistance genes and bacterial pathogens in the mice gut due to consumption of organic foods. Sci. Total Environ. 2024, 915, 169842. [Google Scholar] [CrossRef]
- Yavuz, S.; Salgado Nunez Del Prado, S.; Celi, F.S. Thyroid hormone action and energy expenditure. J. Endocr. Soc. 2019, 3, 1345–1356. [Google Scholar] [CrossRef]
- Sivertsson, E.; Friederich-Persson, M.; Persson, P.; Nangaku, M.; Hansell, P.; Palm, F. Thyroid hormone increases oxygen metabolism causing intrarenal tissue hypoxia; a pathway to kidney disease. PLoS ONE 2022, 17, e0264524. [Google Scholar] [CrossRef]
- Ortiga-Carvalho, T.M.; Chiamolera, M.I.; Pazos-Moura, C.C.; Wondisford, F.E. Hypothalamus-pituitary-thyroid axis. Compr. Physiol. 2016, 6, 1387–1428. [Google Scholar] [CrossRef]
- Cote, G.J.; Grubbs, E.G.; Hofmann, M.C. Thyroid c-cell biology and oncogenic transformation. Recent Results Cancer Res. 2015, 204, 1–39. [Google Scholar] [CrossRef]
- Boelen, A.; Kwakkel, J.; Fliers, E. Thyroid hormone receptors in health and disease. Minerva Endocrinol. 2012, 37, 291–304. [Google Scholar]
- Perez-Montiel, M.D.; Suster, S. The spectrum of histologic changes in thyroid hyperplasia: A clinicopathologic study of 300 cases. Human Pathol. 2008, 39, 1080–1087. [Google Scholar] [CrossRef] [PubMed]
- Lee, J.; Yi, S.; Kang, Y.E.; Kim, H.W.; Joung, K.H.; Sul, H.J.; Kim, K.S.; Shong, M. Morphological and functional changes in the thyroid follicles of the aged murine and humans. J. Pathol. Transl. Med. 2016, 50, 426–435. [Google Scholar] [CrossRef] [PubMed]
- Gonzalez, M.L.; Chernock, R.D.; Mansour, M. Environmental factors and anatomic pathology of the thyroid gland: Review of literature. Diagn. Histopathol. 2020, 26, 207–215. [Google Scholar] [CrossRef]
- Candanedo-Gonzalez, F.; Rios-Valencia, J.; Noemi Pacheco-Garcilazo, D.; Valenzuela-Gonzalez, W.; Gamboa-Dominguez, A. Morphology Aspects of Hypothyroidism; IntechOpen: Rijeka, Croatia, 2021. [Google Scholar] [CrossRef]
- Hallgren, S.; Darnerud, P.O. Polybrominated diphenyl ethers (PBDEs), polychlorinated biphenyls (PCBs) and chlorinated paraffins (CPs) in rats–Testing interactions and mechanisms for thyroid hormone effects. Toxicology 2002, 177, 227–243. [Google Scholar] [CrossRef]
- Song, M.; Sun, W.; Liu, Q.; Wang, Z.; Zhang, H. Global scientific trends on thyroid disease in early 21st century: A bibliometric and visualized analysis. Front. Endocrinol. 2024, 14, 1306232. [Google Scholar] [CrossRef]
- Bano, A.; Chaker, L.; Mattace-Raso, F.U.S.; Terzikhan, N.; Kavousi, M.; Ikram, M.A.; Peeters, R.P.; Franco, O.H. Thyroid function and life expectancy with and without noncommunicable diseases: A population-based study. PLoS Med. 2019, 16, e1002957. [Google Scholar] [CrossRef]
- Chiovato, L.; Magri, F.; Carlé, A. Hypothyroidism in context: Where we’ve been and where we’re going. Adv. Ther. 2019, 36, 47–58. [Google Scholar] [CrossRef]
- NIEHS (National Institute of Environmental Health Sciences). Endocrine Disruptors. 2024. Available online: https://www.niehs.nih.gov/health/topics/agents/endocrine (accessed on 14 July 2025).
- Ahn, C.; Jeung, E.B. Endocrine-disrupting chemicals and disease endpoints. Int. J. Mol. Sci. 2023, 24, 5342. [Google Scholar] [CrossRef]
- McKinlay, R.; Plant, J.A.; Bell, J.N.; Voulvoulis, N. Endocrine disrupting pesticides: Implications for risk assessment. Environ. Int. 2008, 34, 168–183. [Google Scholar] [CrossRef]
- Campos, É.; Freire, C. Exposure to non-persistent pesticides and thyroid function: A systematic review of epidemiological evidence. Int. J. Hyg. Environ. Health 2016, 219, 481–497. [Google Scholar] [CrossRef]
- Kongtip, P.; Nankongnab, N.; Kallayanatham, N.; Pundee, R.; Choochouy, N.; Yimsabai, J.; Woskie, S. Thyroid hormones in conventional and organic farmers in Thailand. Int. J. Environ. Res. Public Health 2019, 16, 2704. [Google Scholar] [CrossRef]
- He, J.; Xu, J.; Zheng, M.; Pan, K.; Yang, L.; Ma, L.; Wang, C.; Yu, J. Thyroid dysfunction caused by exposure to environmental endocrine disruptors and the underlying mechanism: A review. Chem. Biol. Interact. 2024, 391, 110909. [Google Scholar] [CrossRef]
- Coelho, N.M.P.; Bernardo, F.; Rodrigues, A.S.; Garcia, P. Volcanic environments and thyroid disruption—A review focused on As, Hg, and Co. Sci. Total Environ. 2025, 993, 180018. [Google Scholar] [CrossRef] [PubMed]
- Goldner, W.S.; Sandler, D.P.; Yu, F.; Hoppin, J.A.; Kamel, F.; Levan, T.D. Pesticide use and thyroid disease among women in the Agricultural Health Study. Am. J. Epidemiol. 2010, 171, 455–464. [Google Scholar] [CrossRef] [PubMed]
- Piccoli, C.; Cremonese, C.; Koifman, R.J.; Koifman, S.; Freire, C. Pesticide exposure and thyroid function in an agricultural population in Brazil. Environ. Res. 2016, 151, 389–398. [Google Scholar] [CrossRef] [PubMed]
- Coelho, N.; Camarinho, R.; Garcia, P.; Rodrigues, A.S. Histological evidence of hypothyroidism in mice chronically exposed to conventional farming. Environ. Toxicol. Pharmacol. 2024, 106, 104387. [Google Scholar] [CrossRef]
- Parelho, C.; Rodrigues, A.S.; Cruz, J.V.; Garcia, P. Linking trace metals and agricultural land use in volcanic soils--A multivariate approach. Sci. Total Environ. 2014, 496, 241–247. [Google Scholar] [CrossRef]
- Parelho, C.; Bernardo, F.; Camarinho, R.; Rodrigues, A.S.; Garcia, P. Testicular damage and farming environments—An integrative ecotoxicological link. Chemosphere 2016, 155, 135–141. [Google Scholar] [CrossRef]
- Imholt, C.; Abdulla, T.; Stevens, A.; Edwards, P.; Jacob, J.; Woods, D.; Rogers, E.; Aarons, L.; Segelcke, D. Establishment and validation of microsampling techniques in wild rodents for ecotoxicological research. J. Appl. Toxicol. 2018, 38, 1244–1250. [Google Scholar] [CrossRef]
- Gudeta, K.; Kumar, V.; Bhagat, A.; Julka, J.M.; Bhat, S.A.; Ameen, F.; Qadri, H.; Singh, S.; Amarowicz, R. Ecological adaptation of earthworms for coping with plant polyphenols, heavy metals, and microplastics in the soil: A review. Heliyon 2023, 9, e14572. [Google Scholar] [CrossRef]
- Chen, F.; Jiang, F.; Ma, J.; Alghamdi, M.A.; Zhu, Y.; Yong, J.W.H. Intersecting planetary health: Exploring the impacts of environmental stressors on wildlife and human health. Ecotoxicol. Environ. Saf. 2024, 283, 116848. [Google Scholar] [CrossRef]
- Marcheselli, M.; Sala, L.; Mauri, M. Bioaccumulation of PGEs and other traffic-related metals in populations of the small mammal Apodemus sylvaticus. Chemosphere 2010, 80, 1247–1254. [Google Scholar] [CrossRef]
- Lidicker, W.Z. Ecological observations on a feral house mouse population declining to extinction. Ecol. Monogr. 1966, 36, 27–50. [Google Scholar] [CrossRef]
- Martoja, R.; Martoja-Pierson, M.; Grumbles, L.C.; Moncanut, M.E.; Coll, M.D. Técnicas de Histología Animal [Animal Histology Techniques], 1st ed.; Toray-Masson: Barcelona, Spain, 1970. [Google Scholar]
- Andrade, C. Sample size and its importance in research. Indian J. Psychol. Med. 2020, 42, 102–103. [Google Scholar] [CrossRef] [PubMed]
- De Felice, M.; Di Lauro, R. Chapter 72—Anatomy and development of the thyroid. In Endocrinology, 6th ed.; Jameson, J.L., De Groot, L.J., Eds.; W.B. Saunders: Philadelphia, PA, USA, 2010; pp. 1342–1361. [Google Scholar] [CrossRef]
- Ferrari, S.M.; Fallahi, P.; Antonelli, A.; Benvenga, S. Environmental issues in thyroid diseases. Front. Endocrinol. 2017, 8, 50. [Google Scholar] [CrossRef] [PubMed]
- EFSA (European Food Safety Authority); Crivellente, F.; Hart, A.; Hernandez-Jerez, A.F.; Hougaard Bennekou, S.; Pedersen, R.; Terron, A.; Wolterink, G.; Mohimont, L. Establishment of cumulative assessment groups of pesticides for their effects on the thyroid. EFSA J. 2019, 17, e05801. [Google Scholar] [CrossRef] [PubMed]
- Yao, F.; Li, Y.; Ru, H.; Wu, L.; Xiao, Z.; Ni, Z.; Chen, D.; Zhong, L. Thyroid disruption and developmental toxicity caused by triphenyltin (TPT) in zebrafish embryos/larvae. Toxicol. Appl. Pharmacol. 2020, 394, 114957. [Google Scholar] [CrossRef]
- Korkmaz, N.; Örün, I. Effects of pesticide NeemAzal-T/S on thyroid, stress hormone and some cytokines levels in freshwater common carp, Cyprinus carpio L. Toxin Rev. 2021, 41, 496–505. [Google Scholar] [CrossRef]
- Schnitzler, J.G.; Koutrakis, E.; Siebert, U.; Thomé, J.P.; Das, K. Effects of persistent organic pollutants on the thyroid function of the European sea bass (Dicentrarchus labrax) from the Aegean sea, is it an endocrine disruption? Mar. Pollut. Bull. 2008, 56, 1755–1764. [Google Scholar] [CrossRef]
- El-Mehi, A.E.; Amin, S.A. Effect of lead acetate on the thyroid gland of adult male albino rats and the possible protective role of zinc supplementation: A biochemical, histological and morphometric study. Am. J. Sci. 2012, 8, 61–71. [Google Scholar]
- Andrade, M.N.; Santos-Silva, A.P.; Rodrigues-Pereira, P.; Paiva-Melo, F.D.; de Lima Junior, N.C.; Teixeira, M.P.; Soares, P.; Dias, G.R.M.; Graceli, J.B.; de Carvalho, D.P.; et al. The environmental contaminant tributyltin leads to abnormalities in different levels of the hypothalamus-pituitary-thyroid axis in female rats. Environ. Pollut. 2018, 241, 636–645. [Google Scholar] [CrossRef] [PubMed]
- Hartmann, H.; Weiss, V.; Loberg, M.; Lee, E. PFAS-mediated disruptions on thyroid histology. Am. J. Clin. Pathol. 2024, 162, S94. [Google Scholar] [CrossRef]
- Liu, P.; Song, X.; Yuan, W.; Wen, W.; Wu, X.; Li, J.; Chen, X. Effects of cypermethrin and methyl parathion mixtures on hormone levels and immune functions in Wistar rats. Arch. Toxicol. 2006, 80, 449–457. [Google Scholar] [CrossRef] [PubMed]
- Mallem, L.; Boulakoud, M.S.; Franck, M. Hypothyroidism after medium exposure to the fungicide maneb in the rabbit Cuniculus lepus. Commun. Agric. Appl. Biol. Sci. 2006, 71, 91–99. [Google Scholar]
- Stoker, T.; Kaydos, E.; Jeffay, S.; Cooper, R. Effect of 2,4-D exposure on pubertal development and thyroid function in the male Wistar rat. Biol. Reprod. 2007, 77, 75. [Google Scholar] [CrossRef]
- Bhanu, A.P. Disrupting action of cypermethrin on thyroid and cortisol hormones in the serum of Cyprinus carpio. J. Entomol. Zool. Stud. 2016, 4, 340–341. [Google Scholar]
- Goldner, W.S.; Sandler, D.P.; Yu, F.; Shostrom, V.; Hoppin, J.A.; Kamel, F.; LeVan, T.D. Hypothyroidism and pesticide use among male private pesticide applicators in the Agricultural Health Study. J. Occup. Environ. Med. 2013, 55, 1171–1178. [Google Scholar] [CrossRef]
- Farokhi, F.; Taravati, A. Pesticide exposure and thyroid function in adult male sprayers. Int. J. Med. Investig. 2014, 3, 127–132. [Google Scholar]
- Shrestha, S.; Parks, C.G.; Goldner, W.S.; Kamel, F.; Umbach, D.M.; Ward, M.H.; Lerro, C.C.; Koutros, S.; Hofmann, J.N.; Beane Freeman, L.E.; et al. Pesticide use and incident hypothyroidism in pesticide applicators in the Agricultural Health Study. Environ. Health Perspect. 2018, 126, 97008. [Google Scholar] [CrossRef]
- Liem, J.F.; Subekti, I.; Mansyur, M.; Soemarko, D.S.; Kekalih, A.; Suyatna, F.D.; Suryandari, D.A.; Malik, S.G.; Pangaribuan, B. The determinants of thyroid function among vegetable farmers with primary exposure to chlorpyrifos: A cross-sectional study in Central Java, Indonesia. Heliyon 2023, 9, e16435. [Google Scholar] [CrossRef]
- Sirikul, W.; Sapbamrer, R. Exposure to pesticides and the risk of hypothyroidism: A systematic review and meta-analysis. BMC Public Health 2023, 23, 1867. [Google Scholar] [CrossRef] [PubMed]
- Haas, J.; Manro, J.; Shannon, H.; Anderson, W.; Brozinick, J.; Chakravartty, A.; Chambers, M.; Du, J.; Eastwood, B.; Heuer, J.; et al. In vivo assay guidelines (last updated on October 2012). In Assay Guidance Manual [Internet]; Markossian, S., Grossman, A., Baski, H., Arkin, M., Auld, D., Austin, C., Baell, J., Brimacombe, K., Chung, T.D.Y., Coussens, N.P., et al., Eds.; Eli Lilly & Company and the National Center For Advancing Translational Sciences: Bethesda, MD, USA, 2012. Available online: https://www.ncbi.nlm.nih.gov/sites/books/NBK92013/ (accessed on 13 September 2025).
- Kim, J.H.; Ko, Y.; Kim, H.J.; Park, S.J. Age and sex differences in the relationship of body weight changes with colon cancer risks: A nationwide cohort study. Sci. Rep. 2025, 15, 678. [Google Scholar] [CrossRef] [PubMed]
- Tarım, Ö. Thyroid hormones growth in health disease. J. Clin. Res. Pediatr. Endocrinol. 2011, 3, 51–55. [Google Scholar] [CrossRef] [PubMed]
- Segni, M. Disorders of the thyroid gland in infancy, childhood and adolescence (last updated on March 2017). In Endotext [Internet]; Feingold, K.R., Adler, R.A., Ahmed, S.F., Anawalt, B., Blackman, M.R., Chrousos, G., Corpas, E., de Herder, W.W., Dhatariya, K., Dungan, K., et al., Eds.; MDText.com, Inc.: South Dartmouth, MA, USA, 2017. Available online: https://www.ncbi.nlm.nih.gov/books/NBK279032/ (accessed on 15 September 2025).
- Wanjari, M.; Patil, M.; Late, S.; Umate, R. Prevalence of thyroid disorder among young adults in the rural areas of Wardha district: A cross-sectional study. J. Family Med. Prim. Care 2022, 11, 7700–7704. [Google Scholar] [CrossRef]
- Bégin, M.E.; Langlois, M.F.; Lorrain, D.; Cunnane, S.C. Thyroid function and cognition during aging. Curr. Gerontol. Geriatr. Res. 2008, 2008, 474868. [Google Scholar] [CrossRef]
- Taylor, P.N.; Lansdown, A.; Witczak, J.; Khan, R.; Rees, A.; Dayan, C.M.; Okosieme, O. Age-related variation in thyroid function—A narrative review highlighting important implications for research and clinical practice. Thyroid Res. 2023, 16, 7. [Google Scholar] [CrossRef]
- Nilsson, M.; Mölne, J.; Jörtsö, E.; Smeds, S.; Ericson, L.E. Plasma membrane shedding and colloid vacuoles in hyperactive human thyroid tissue. Virchows Arch. B Cell Pathol. Incl. Mol. Pathol. 1988, 56, 85–94. [Google Scholar] [CrossRef]
- Pirahanchi, Y.; Tariq, M.A.; Jialal, I. Physiology, thyroid (last updated on February 2023). In StatPearls [Internet]; StatPearls Publishing: Treasure Island, FL, USA, 2023. Available online: https://www.ncbi.nlm.nih.gov/books/NBK519566/ (accessed on 18 September 2025).
- Mense, M.G.; Boorman, G.A. Chapter 33—Thyroid gland. In Boorman’s Pathology of the Rat, 2nd ed.; Suttie, A.W., Ed.; Academic Press: Cambridge, MA, USA, 2018; pp. 669–686. [Google Scholar] [CrossRef]
- Al-Maathidy, A.; Alzyoud, J.A.M.; Al-Dalaen, S.; Al-Qtaitat, A. Histological alterations in the thyroid follicular cells induced by lead acetate toxicity in adult male albino rats. Int. J. Pharm. Phytopharm. Res. 2019, 9, 19–26. [Google Scholar] [CrossRef]
- Zhang, X.; Kellogg, A.P.; Citterio, C.E.; Zhang, H.; Larkin, D.; Morishita, Y.; Targovnik, H.M.; Balbi, V.A.; Arvan, P. Thyroid hormone synthesis continues despite biallelic thyroglobulin mutation with cell death. J. Clin. Investig. 2021, 6, e148496. [Google Scholar] [CrossRef]
- Lopes-Ferreira, M.; Farinha, L.R.L.; Costa, Y.S.O.; Pinto, F.J.; Disner, G.R.; da Rosa, J.G.D.S.; Lima, C. Pesticide-induced inflammation at a glance. Toxics 2023, 11, 896. [Google Scholar] [CrossRef] [PubMed]
- Ruíz-Arias, M.A.; Medina-Díaz, I.M.; Bernal-Hernández, Y.Y.; Agraz-Cibrián, J.M.; González-Arias, C.A.; Barrón-Vivanco, B.S.; Herrera-Moreno, J.F.; Verdín-Betancourt, F.A.; Zambrano-Zaragoza, J.F.; Rojas-García, A.E. Hematological indices as indicators of inflammation induced by exposure to pesticides. Environ. Sci. Pollut. Res. Int. 2023, 30, 19466–19476. [Google Scholar] [CrossRef] [PubMed]
- Erge, E.; Kiziltunc, C.; Balci, S.B.; Atak Tel, B.M.; Bilgin, S.; Duman, T.T.; Aktas, G. A novel inflammatory marker for the diagnosis of Hashimoto’s thyroiditis: Platelet-count-to-lymphocyte-count ratio. Diseases 2023, 11, 15. [Google Scholar] [CrossRef]
- Babić Leko, M.; Gunjača, I.; Pleić, N.; Zemunik, T. Environmental factors affecting thyroid-stimulating hormone and thyroid hormone levels. Int. J. Mol. Sci. 2021, 22, 6521. [Google Scholar] [CrossRef] [PubMed]
- Cyna, W.; Wojciechowska, A.; Szybiak-Skora, W.; Lacka, K. The Impact of environmental factors on the development of autoimmune thyroiditis—Review. Biomedicines 2024, 12, 1788. [Google Scholar] [CrossRef]
- Berg, K.J.V.D.; van Raaij, J.A.G.M.; Bragt, P.C.; Notten, W.R.F. Interactions of halogenated industrial chemicals with transthyretin and effects on thyroid hormone levels in vivo. Arch. Toxicol. 1991, 65, 15–19. [Google Scholar] [CrossRef]
- Kackar, R.; Srivastava, M.K.; Raizada, R.B. Studies on rat thyroid after oral administration of mancozeb: Morphological and biochemical evaluations. J. Appl. Toxicol. 1997, 17, 369–375. [Google Scholar] [CrossRef]
- Thambirajah, A.A.; Wade, M.G.; Verreault, J.; Buisine, N.; Alves, V.A.; Langlois, V.S.; Helbing, C.C. Disruption by stealth—Interference of endocrine disrupting chemicals on hormonal crosstalk with thyroid axis function in humans and other animals. Environ. Res. 2022, 203, 111906. [Google Scholar] [CrossRef]
- Zhang, X.; Barceló, D.; Clougherty, R.J.; Gao, B.; Harms, H.; Tefsen, B.; Vithanage, M.; Wang, H.; Wang, Z.; Wells, M. “Potentially toxic element”─Something that means everything means nothing. Environ. Sci. Technol. 2022, 56, 11922–11925. [Google Scholar] [CrossRef]
- Fiore, M.; Oliveri Conti, G.; Caltabiano, R.; Buffone, A.; Zuccarello, P.; Cormaci, L.; Cannizzaro, M.A.; Ferrante, M. Role of emerging environmental risk factors in thyroid cancer: A brief review. Int. J. Environ. Res. Public Health 2019, 16, 1185. [Google Scholar] [CrossRef]
- Leemans, M.; Couderq, S.; Demeneix, B.; Fini, J.B. Pesticides with potential thyroid hormone-disrupting effects: A review of recent data. Front. Endocrinol. 2019, 10, 743. [Google Scholar] [CrossRef]
- Chandramohan, M.S.; da Silva, I.M.; da Silva, J.E. Concentrations of potentially toxic elements in topsoils of urban agricultural areas of Rome. Environments 2024, 11, 34. [Google Scholar] [CrossRef]
- Ramakrishnan, B.; Maddela, N.R.; Venkateswarlu, K.; Megharaj, M. Organic farming: Does it contribute to contaminant-free produce and ensure food safety? Sci. Total Environ. 2021, 769, 145079. [Google Scholar] [CrossRef] [PubMed]
- Nankongnab, N.; Kongtip, P.; Kallayanatham, N.; Pundee, R.; Yimsabai, J.; Woskie, S. Longitudinal study of thyroid hormones between conventional and organic farmers in Thailand. Toxics 2020, 8, 82. [Google Scholar] [CrossRef] [PubMed]
- Nankongnab, N.; Kongtip, P.; Tipayamongkholgul, M.; Bunngamchairat, A.; Sitthisak, S.; Woskie, S. Difference in accidents, health symptoms, and ergonomic problems between conventional farmers using pesticides and organic farmers. J. Agromed. 2020, 25, 158–165. [Google Scholar] [CrossRef]
- Yu, K.; Li, X.; Qiu, Y.; Zeng, X.; Yu, X.; Wang, W.; Yi, X.; Huang, L. Low-dose effects on thyroid disruption in zebrafish by long-term exposure to oxytetracycline. Aquat. Toxicol. 2020, 227, 105608. [Google Scholar] [CrossRef]
- Pollock, A.J.; Seibert, T.; Allen, D.B. Severe and persistent thyroid dysfunction associated with tetracycline-antibiotic treatment in youth. J. Pediatr. 2016, 173, 232–234. [Google Scholar] [CrossRef]
- Petit, P.; Chamot, S.; Al-Salameh, A.; Cancé, C.; Desailloud, R.; Bonneterre, V. Farming activity and risk of treated thyroid disorders: Insights from the TRACTOR project, a nationwide cohort study. Environ. Res. 2024, 249, 118458. [Google Scholar] [CrossRef]
- EFSA (European Food Safety Authority). National summary reports on pesticide residue analysis performed in 2021. EFSA Support. Publ. 2023, 20, EN-7901. [Google Scholar] [CrossRef]
- EFSA (European Food Safety Authority). National summary reports on pesticide residue analyses performed in 2022. EFSA Support. Publ. 2024, 21, EN-8751. [Google Scholar] [CrossRef]
- EFSA (European Food Safety Authority). National summary reports on pesticide residue analyses performed in 2023. EFSA Support. Publ. 2025, 22, EN-9320. [Google Scholar] [CrossRef]




| Variable | Sites | Mean ± Standard Error | * Kruskal–Wallis/** ANOVA | Pairwise Comparisons/Tukey’s HSD | pValues |
|---|---|---|---|---|---|
| Colloid area (µm2) | CF | 6200 ± 820 | * H (2.64) = 20.45, p < 0.001 | CF-OF | <0.001 |
| OF | 2220 ± 360 | CF-RF’ | 0.272 | ||
| RF’ | 5020 ± 300 | OF-RF’ | <0.001 | ||
| Colloid perimeter (µm) | CF | 361 ± 26 | * H (2.64) = 20.73, p < 0.001 | CF-OF | <0.001 |
| OF | 203 ± 19 | CF-RF’ | 0.007 | ||
| RF’ | 269 ± 8.4 | OF-RF’ | 0.003 | ||
| Epithelium thickness (µm) | CF | 4.16 ± 0.51 | * H (2.64) = 25.72, p < 0.001 | CF-OF | 0.033 |
| OF | 6.28 ± 0.19 | CF-RF’ | <0.001 | ||
| RF’ | 7.46 ± 0.25 | OF-RF’ | 0.022 | ||
| Number of epithelial cell nuclei per 50 µm | CF | 4.43 ± 0.33 | * H (2.64) = 26.81, p < 0.001 | CF-OF | <0.001 |
| OF | 6.03 ± 0.17 | CF-RF’ | 0.003 | ||
| RF’ | 5.12 ± 0.08 | OF-RF’ | <0.001 | ||
| Epithelial cell width (µm) | CF | 11.8 ± 0.63 | ** F (2.64) = 23.11, p < 0.001 | CF-OF | <0.001 |
| OF | 8.36 ± 0.24 | CF-RF’ | <0.001 | ||
| RF’ | 9.86 ± 0.15 | OF-RF’ | 0.001 | ||
| Epithelial cell area (µm2) | CF | 46.1 ± 2.2 | * H (2.64) = 30.69, p < 0.001 | CF-OF | 0.243 |
| OF | 52.6 ± 2.4 | CF-RF’ | <0.001 | ||
| RF’ | 73.7 ± 2.8 | OF-RF’ | <0.001 | ||
| Epithelial cell volume (µm3) | CF | 538 ± 33 | ** F (2.64) = 14.11, p < 0.001 | CF-OF | 0.421 |
| OF | 444 ± 31 | CF-RF’ | 0.005 | ||
| RF’ | 734 ± 34 | OF-RF’ | <0.001 | ||
| Number of follicles in a 30,000 µm2 thyroid area | CF | 5.87 ± 0.90 | * H (2.64) = 28.47, p < 0.001 | CF-OF | 0.001 |
| OF | 17.8 ± 2.0 | CF-RF’ | <0.001 | ||
| RF’ | 10.9 ± 0.55 | OF-RF’ | <0.001 |
Disclaimer/Publisher’s Note: The statements, opinions and data contained in all publications are solely those of the individual author(s) and contributor(s) and not of MDPI and/or the editor(s). MDPI and/or the editor(s) disclaim responsibility for any injury to people or property resulting from any ideas, methods, instructions or products referred to in the content. |
© 2026 by the authors. Licensee MDPI, Basel, Switzerland. This article is an open access article distributed under the terms and conditions of the Creative Commons Attribution (CC BY) license.
Share and Cite
Coelho, N.M.P.; Camarinho, R.; Garcia, P.; Bernardo, F.; Rodrigues, A.S. Histological Evidence of Thyroid Disruption in Wild Mice from Conventional and Organic Farming Environments. Environments 2026, 13, 66. https://doi.org/10.3390/environments13020066
Coelho NMP, Camarinho R, Garcia P, Bernardo F, Rodrigues AS. Histological Evidence of Thyroid Disruption in Wild Mice from Conventional and Organic Farming Environments. Environments. 2026; 13(2):66. https://doi.org/10.3390/environments13020066
Chicago/Turabian StyleCoelho, Nádia M. P., Ricardo Camarinho, Patrícia Garcia, Filipe Bernardo, and Armindo S. Rodrigues. 2026. "Histological Evidence of Thyroid Disruption in Wild Mice from Conventional and Organic Farming Environments" Environments 13, no. 2: 66. https://doi.org/10.3390/environments13020066
APA StyleCoelho, N. M. P., Camarinho, R., Garcia, P., Bernardo, F., & Rodrigues, A. S. (2026). Histological Evidence of Thyroid Disruption in Wild Mice from Conventional and Organic Farming Environments. Environments, 13(2), 66. https://doi.org/10.3390/environments13020066

