Sign in to use this feature.

Years

Between: -

Subjects

remove_circle_outline
remove_circle_outline
remove_circle_outline
remove_circle_outline
remove_circle_outline
remove_circle_outline
remove_circle_outline
remove_circle_outline
remove_circle_outline

Journals

remove_circle_outline
remove_circle_outline
remove_circle_outline
remove_circle_outline
remove_circle_outline

Article Types

Countries / Regions

remove_circle_outline
remove_circle_outline
remove_circle_outline
remove_circle_outline
remove_circle_outline

Search Results (359)

Search Parameters:
Keywords = adaptive moving averages

Order results
Result details
Results per page
Select all
Export citation of selected articles as:
20 pages, 4010 KB  
Article
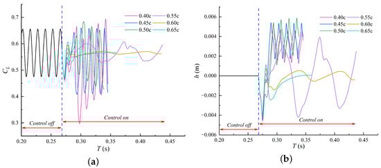
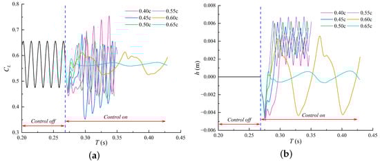
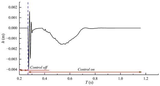
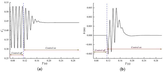
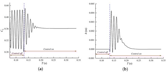
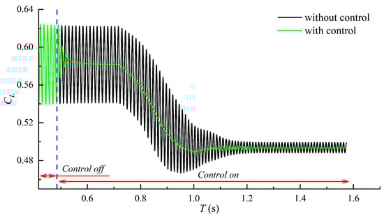
Data-Driven Adaptive Control of Transonic Buffet via Localized Morphing Skin
by Yuchen Zhang, Lianyi Wei, Yiqiu Jin, Han Tang, Guannan Zheng and Guowei Yang
Aerospace 2026, 13(1), 40; https://doi.org/10.3390/aerospace13010040 - 30 Dec 2025
Abstract
Transonic shock buffet, characterized by large-amplitude self-sustained shock oscillations arising from shock wave/boundary layer interactions, poses significant challenges to aircraft handling quality and structural integrity. Conventional control strategies for buffet suppression typically require prior knowledge of unstable steady-state solutions or time-averaged flow fields [...] Read more.
Transonic shock buffet, characterized by large-amplitude self-sustained shock oscillations arising from shock wave/boundary layer interactions, poses significant challenges to aircraft handling quality and structural integrity. Conventional control strategies for buffet suppression typically require prior knowledge of unstable steady-state solutions or time-averaged flow fields and are only applicable to fixed-flow conditions, rendering them inadequate for realistic flight scenarios involving time-varying parameters. This study proposes a data-driven adaptive control framework for transonic buffet suppression utilizing localized morphing skin as the actuation mechanism. The control system employs a Multi-Layer Perceptron neural network that dynamically adjusts the local skin height based on lift coefficient feedback, with the target lift coefficient determined through a moving average method. Numerical simulations on the NACA0012 airfoil demonstrate that the optimal actuator configuration—a skin length of 0.2c with maximum deformation positioned at 0.65c—achieves effective buffet suppression with minimal settling time. Beyond this baseline case, the proposed method exhibits robust performance across different flow conditions. Furthermore, the controller successfully suppresses buffet under time-varying flow conditions, including simultaneous variations in Mach number and angle of attack. These results demonstrate the potential of the proposed framework for practical aerospace applications. Full article
Show Figures

Figure 1

30 pages, 9332 KB  
Article
Resilience and Vulnerability to Sustainable Urban Innovation: A Comparative Analysis of Knowledge and Technology Networks in China
by Jie Liu and Tianxing Zhu
Sustainability 2026, 18(1), 317; https://doi.org/10.3390/su18010317 - 28 Dec 2025
Viewed by 124
Abstract
This study examines the structural evolution of Knowledge Innovation Networks (KINs) and Technology Innovation Networks (TINs) across Chinese cities (2015–2024). Using SCI/SSCI co-authorship and prefecture-level patent data, we construct dual-layer networks and assess their resilience through metrics such as average clustering coefficient, path [...] Read more.
This study examines the structural evolution of Knowledge Innovation Networks (KINs) and Technology Innovation Networks (TINs) across Chinese cities (2015–2024). Using SCI/SSCI co-authorship and prefecture-level patent data, we construct dual-layer networks and assess their resilience through metrics such as average clustering coefficient, path length, global efficiency, and largest-component ratio. Our framework clarifies how network structure, spatial proximity, and urban hierarchy jointly shape innovation dynamics and opportunity distribution. Three main findings emerge. First, KINs have moved toward polycentricity yet remain hierarchically rigid, with persistent core–periphery gaps despite improved connectivity in tier 2–4 cities. TINs show greater cross-tier adaptability, creating new innovation gateways while intensifying intra-tier polarization. Second, under simulated disruptions, KINs are vulnerable to targeted attacks and exhibit path-dependent degradation, whereas TINs maintain efficiency until a critical threshold, then collapse abruptly. Third, MRQAP analysis reveals that economic and geographic proximity facilitate collaboration in KIN but constrain linkages in TINs, with spatial proximity exerting a stronger influence on knowledge flows. These results demonstrate how innovation networks mediate urban–rural interactions, affect spatial inequality, and shape regional resilience. We argue for differentiated policies that strengthen core–periphery connectivity while mitigating proximity-induced lock-in, fostering more inclusive, resilient, and sustainable urban innovation systems. Full article
(This article belongs to the Section Sustainable Urban and Rural Development)
Show Figures

Figure 1

33 pages, 8912 KB  
Article
Modified P-ECMS for Fuel Cell Commercial Vehicles Based on SSA-LSTM Vehicle Speed Prediction and Integration of Future Speed Trends into Dynamic Equivalent Factor Regulation
by Yiming Wu, Weiguang Zheng and Jirong Qin
Sustainability 2026, 18(1), 306; https://doi.org/10.3390/su18010306 - 28 Dec 2025
Viewed by 152
Abstract
Fuel cell commercial vehicles are widely used in commercial transport for their high efficiency and long range. However, in mixed operating scenarios, their energy economy and fuel cell operational stability cannot be fully balanced. Traditional strategies lack adaptability in mixed operating scenarios. Therefore, [...] Read more.
Fuel cell commercial vehicles are widely used in commercial transport for their high efficiency and long range. However, in mixed operating scenarios, their energy economy and fuel cell operational stability cannot be fully balanced. Traditional strategies lack adaptability in mixed operating scenarios. Therefore, based on the equivalent factor regulation formula of the Adaptive Equivalent Hydrogen Consumption Minimization Strategy (A-ECMS) and the improved Sparrow Search Algorithm-Long Short-Term Memory (SSA-LSTM) hybrid model, short-term speed prediction and three-stage speed interval division are embedded into the equivalent factor regulation logic. A dynamic equivalent factor regulation strategy integrating SOC deviation is constructed, and an improved Predictive Equivalent Hydrogen Consumption Minimization Strategy (P-ECMS) is finally derived. The SSA-LSTM algorithm is optimized via constrained hyperparameter tuning for short-term speed prediction. A time-decay weighting mechanism enhances recent speed data weight, with weighted results as inputs to boost accuracy. Moving Average Residual Correction (MARC) is used to verify the speed prediction model accuracy and correct residuals. Multi-scenario tests show that the SSA-LSTM model outperforms the Gated Recurrent Unit (GRU) model in prediction accuracy and generalization ability, providing reliable data support for segmented regulation. With battery SOC deviation and the SSA-LSTM-predicted speed trend as core inputs, combined with three-stage speed interval division, A-ECMS’s equivalent factor regulation formula is improved. The model adopts a segmented dynamic regulation logic to integrate dual factors into equivalent factor adjustment, and it reasonably adjusts the energy output ratio of fuel cells and power batteries according to speed intervals and operating condition changes. In scenarios with significant speed fluctuations and frequent operating condition transitions, power shocks are mitigated by the power battery’s peak-shaving and valley-filling function. Simulation results for C-WTVC and NREL2VAIL show that, compared with traditional A-ECMS, the improved P-ECMS has notable energy benefits, with equivalent hydrogen consumption reduced by 3.41% and 5.48%, respectively. The fuel cell’s state is significantly improved, with its high-efficiency share reaching 63%. The output power curve is smoother, start–stop losses are reduced, and the fuel cell’s service life is extended, balancing the energy economy and component durability. Full article
Show Figures

Figure 1

24 pages, 4607 KB  
Article
Cross-Modal Interaction Fusion-Based Uncertainty-Aware Prediction Method for Industrial Froth Flotation Concentrate Grade by Using a Hybrid SKNet-ViT Framework
by Fanlei Lu, Weihua Gui, Yulong Wang, Jiayi Zhou and Xiaoli Wang
Sensors 2026, 26(1), 150; https://doi.org/10.3390/s26010150 - 25 Dec 2025
Viewed by 185
Abstract
In froth flotation, the features of froth images are important information to predict the concentrate grade. However, the froth structure is influenced by multiple factors, such as air flowrate, slurry level, ore properties, reagents, etc., which leads to highly complex and dynamic changes [...] Read more.
In froth flotation, the features of froth images are important information to predict the concentrate grade. However, the froth structure is influenced by multiple factors, such as air flowrate, slurry level, ore properties, reagents, etc., which leads to highly complex and dynamic changes in the image features. Additionally, issues such as the immeasurability of ore properties and measurement errors pose significant uncertainties including aleatoric uncertainty (intrinsic variability from ore fluctuations and sensor noise) and epistemic uncertainty (incomplete feature representation and local data heterogeneity) and generalization challenges for prediction models. This paper proposes an uncertainty quantification regression framework based on cross-modal interaction fusion, which integrates the complementary advantages of Selective Kernel Networks (SKNet) and Vision Transformers (ViT). By designing a cross-modal interaction module, the method achieves deep fusion of local and global features, reducing epistemic uncertainty caused by incomplete feature expression in single-models. Meanwhile, by combining adaptive calibrated quantile regression—using exponential moving average (EMA) to track real-time coverage and adjust parameters dynamically—the prediction interval coverage is optimized, addressing the inability of static quantile regression to adapt to aleatoric uncertainty. And through the localized conformal prediction module, sensitivity to local data distributions is enhanced, avoiding the limitation of global conformal methods in ignoring local heterogeneity. Experimental results demonstrate that this method significantly improves the robustness of uncertainty estimation while maintaining high prediction accuracy, providing strong support for intelligent optimization and decision-making in industrial flotation processes. Full article
Show Figures

Figure 1

21 pages, 4863 KB  
Article
Revealing Emerging Hydroclimatic Shifts: Advanced Trend Analysis of Rainfall and Streamflow in the Navasota River Watershed
by Ali Fares, Ripendra Awal, Anwar Assefa Adem, Anoop Valiya Veettil, Taha B. M. J. Ouarda, Samuel Brody and Marouane Temimi
Hydrology 2026, 13(1), 12; https://doi.org/10.3390/hydrology13010012 - 25 Dec 2025
Viewed by 195
Abstract
Rainfall and streamflow analyses have long been central to hydrological research, yet traditional approaches often overlook the complexity introduced by changing climate signals, land-use dynamics, and human infrastructure. This study applies an integrated, data-driven framework to explore emerging hydroclimatic shifts in the Navasota [...] Read more.
Rainfall and streamflow analyses have long been central to hydrological research, yet traditional approaches often overlook the complexity introduced by changing climate signals, land-use dynamics, and human infrastructure. This study applies an integrated, data-driven framework to explore emerging hydroclimatic shifts in the Navasota River Watershed of east-central Texas. By combining autocorrelation analysis, Mann–Kendall and modified Mann–Kendall trend tests, and Pettitt’s change-point detection, we examine more than a century of precipitation and streamflow records alongside post-1978 reservoir operations. Results reveal an accelerating wetting tendency, particularly evident in decadal rolling averages and early-summer precipitation, accompanied by a statistically significant increase in 10-year moving averages of annual peak streamflow. While abrupt regime shifts were not detected, subtle but persistent changes point to evolving watershed memory and heightened flood risk in the post-dam era. This study reframes rainfall and streamflow trend analysis as a dynamic tool for anticipating hydrologic regime shifts, highlighting the urgent need for adaptive water infrastructure and flood management strategies in rapidly urbanizing and climate-sensitive watersheds. Full article
(This article belongs to the Special Issue Trends and Variations in Hydroclimatic Variables: 2nd Edition)
Show Figures

Figure 1

20 pages, 2966 KB  
Article
EMAFG-RTDETR: An Improved RTDETR Algorithm for UAV-Based Concrete Defect Detection
by Jinlong Yang, Shaojiang Dong, Jun Luo, Shizheng Sun, Jiayuan Luo, Kaibo Yan, Cai Chen and Xin Zhou
Drones 2026, 10(1), 6; https://doi.org/10.3390/drones10010006 - 23 Dec 2025
Viewed by 248
Abstract
To address the challenges of varying scales of concrete defects, class imbalance, and hardware limitations, we propose EMAFG-RTDETR, a UAV-based concrete defect detection algorithm built upon RTDETR. In the feature extraction stage, a lightweight multi-scale attention feature extraction module (EMA-PRepFaster block) is designed, [...] Read more.
To address the challenges of varying scales of concrete defects, class imbalance, and hardware limitations, we propose EMAFG-RTDETR, a UAV-based concrete defect detection algorithm built upon RTDETR. In the feature extraction stage, a lightweight multi-scale attention feature extraction module (EMA-PRepFaster block) is designed, where PConv and RepConv are fused to improve the FasterNet block. At the same time, an Efficient Multi-scale Attention (EMA) module is introduced to enhance spatial feature extraction while reducing computational redundancy. For feature fusion, the Gather-and-Distribute mechanism of GOLD-YOLO is adopted to improve the fusion of multi-scale features. The introduction of Powerful-IoU v2 not only accelerates the training process but also enhances the model’s ability to capture defects of different sizes. To handle the issue of sample imbalance, a novel classification loss function, EMASVLoss, is proposed. This function adjusts classification loss values through piecewise weighting and integrates an exponential moving average mechanism for dynamic weight smoothing, improving model adaptability. Finally, the algorithm was deployed and validated on an octocopter UAV developed by our team. Experimental results demonstrate that EMAFG-RTDETR achieves a 2.5% improvement in mean Average Precision (mAP@0.5), reaching 90% on the concrete defect dataset, with reductions in both parameter size and computational cost. Moreover, the UAV equipped with the proposed algorithm can accurately detect cracks and spalling defects on concrete surfaces, validating the effectiveness of the improved model. Full article
Show Figures

Figure 1

25 pages, 3501 KB  
Article
Characterisation and Analysis of Large Forest Fires (LFFs) in the Canary Islands, 2012–2024
by Nerea Martín-Raya, Abel López-Díez and Álvaro Lillo Ezquerra
Fire 2026, 9(1), 7; https://doi.org/10.3390/fire9010007 - 23 Dec 2025
Viewed by 292
Abstract
In recent decades, forest fires have become one of the most disruptive and complex natural hazards from both environmental and territorial perspectives. The Canary Islands represent a particularly suitable setting for analysing wildfire risk. This study aims to characterise the Large Forest Fires [...] Read more.
In recent decades, forest fires have become one of the most disruptive and complex natural hazards from both environmental and territorial perspectives. The Canary Islands represent a particularly suitable setting for analysing wildfire risk. This study aims to characterise the Large Forest Fires (LFFs) that occurred across the archipelago between 2012 and 2024 through an integrative approach combining geospatial, meteorological, and socio-environmental information. A total of 13 LFFs were identified in Tenerife, Gran Canaria, La Palma, and La Gomera, affecting 55,167 hectares—equivalent to 7.4% of the islands’ total land area. The results indicate a temporal concentration during the summer months and an altitudinal range between 750 and 1500 m, corresponding to transitional zones between laurel forest and Canary pine woodland. Meteorological conditions showed average temperatures of 24.3 °C, minimum relative humidity of 23.7%, and thermal inversion layers at around 270 m a.s.l., creating an environment conducive to fire spread. Approximately 81% of the affected area lies within protected natural spaces, highlighting a high level of ecological vulnerability. Analysis of the Normalized Burn Ratio (NBR) index reveals a growing trend in fire severity, while social impacts include the evacuation of more than 43,000 people. These findings underscore the urgency of moving towards proactive territorial management that integrates prevention, ecological restoration, and climate change adaptation as fundamental pillars of any disaster risk reduction strategy. Full article
Show Figures

Figure 1

18 pages, 3577 KB  
Article
Adaptive Fault Diagnosis of DC-DC Boost Converters in Photovoltaic Systems Based on Sliding Mode Observers with Dynamic Thresholds
by Maouadda Ismail, Karim Dahech, Fernando Tadeo, Tarak Damak and Mohamed Chaabane
Electronics 2026, 15(1), 40; https://doi.org/10.3390/electronics15010040 - 22 Dec 2025
Viewed by 123
Abstract
A robust methodology for parametric fault diagnosis in photovoltaic systems is proposed, focusing on DC-DC boost converters. The methodology uses Adaptive Sliding Mode Observers (ASMO) combined with adaptive thresholding. Specifically, an observer-based scheme detects and isolates faults in passive components of the converter, [...] Read more.
A robust methodology for parametric fault diagnosis in photovoltaic systems is proposed, focusing on DC-DC boost converters. The methodology uses Adaptive Sliding Mode Observers (ASMO) combined with adaptive thresholding. Specifically, an observer-based scheme detects and isolates faults in passive components of the converter, achieving complete isolation in about 0.05 s, even under varying environmental conditions. In addition, a dynamic fault discrimination approach is introduced, based on adaptive thresholds derived from Exponentially Weighted Moving Average (EWMA). This minimizes false alarms caused by transient conditions. Stability and robustness are guaranteed through Lyapunov-based conditions. Simulation results under sequential and simultaneous fault scenarios confirm rapid and precise fault detection, highly specific isolation, and exceptional resilience against environmental disturbances. Full article
(This article belongs to the Special Issue Applications, Control and Design of Power Electronics Converters)
Show Figures

Figure 1

19 pages, 2564 KB  
Article
Dynamic Feature Elimination-Based Visual–Inertial Navigation Algorithm
by Jiawei Yu, Hongde Dai, Juan Li, Xin Li and Xueying Liu
Sensors 2026, 26(1), 52; https://doi.org/10.3390/s26010052 - 20 Dec 2025
Viewed by 344
Abstract
To address the problem of degraded positioning accuracy in traditional visual–inertial navigation systems (VINS) due to interference from moving objects in dynamic scenarios, this paper proposes an improved algorithm based on the VINS-Fusion framework, which resolves this issue through a synergistic combination of [...] Read more.
To address the problem of degraded positioning accuracy in traditional visual–inertial navigation systems (VINS) due to interference from moving objects in dynamic scenarios, this paper proposes an improved algorithm based on the VINS-Fusion framework, which resolves this issue through a synergistic combination of multi-scale feature optimization and real-time dynamic feature elimination. First, at the feature extraction front-end, the SuperPoint encoder structure is reconstructed. By integrating dual-branch multi-scale feature fusion and 1 × 1 convolutional channel compression, it simultaneously captures shallow texture details and deep semantic information, enhances the discriminative ability of static background features, and reduces mis-elimination near dynamic–static boundaries. Second, in the dynamic processing module, the ASORT (Adaptive Simple Online and Realtime Tracking) algorithm is designed. This algorithm combines an object detection network, adaptive Kalman filter-based trajectory prediction, and a Hungarian algorithm-based matching mechanism to identify moving objects in images in real time, filter out their associated dynamic feature points from the optimized feature point set, and ensure that only reliable static features are input to the backend optimization, thereby minimizing pose estimation errors caused by dynamic interference. Experiments on the KITTI dataset demonstrate that, compared with the original VINS-Fusion algorithm, the proposed method achieves an average improvement of approximately 14.8% in absolute trajectory accuracy, with an average single-frame processing time of 23.9 milliseconds. This validates that the proposed approach provides an efficient and robust solution for visual–inertial navigation in highly dynamic environments. Full article
(This article belongs to the Section Navigation and Positioning)
Show Figures

Figure 1

47 pages, 2290 KB  
Article
Enhanced Henry Gas Solubility Optimization for Solving Data and Engineering Design Problems
by Jamal Zraqou, Ayman Alnsour, Riyad Alrousan, Hussam N. Fakhouri and Niveen Halalsheh
Eng 2025, 6(12), 374; https://doi.org/10.3390/eng6120374 - 18 Dec 2025
Viewed by 199
Abstract
Many engineering design problems are formulated as constrained optimization tasks that are nonlinear and nonconvex, and often treated as black boxes. In such cases, metaheuristic algorithms are attractive because they can search complex design spaces without requiring gradient information. In this work, we [...] Read more.
Many engineering design problems are formulated as constrained optimization tasks that are nonlinear and nonconvex, and often treated as black boxes. In such cases, metaheuristic algorithms are attractive because they can search complex design spaces without requiring gradient information. In this work, we propose an Enhanced Henry Gas Solubility Optimization (eHGSO) algorithm, which is an improved version of the physics-inspired HGSO method. The enhanced variant introduces six main contributions: (i) a more diverse, population-wide initialization strategy to cover the design space more thoroughly; (ii) adaptive temperature/pressure control parameters that automatically shift the search from global exploration to local refinement; (iii) an elitist archive with differential perturbation that accelerates exploitation around high-quality candidate designs; (iv) a simple combination of the global HGSO search moves with a lightweight gradient-free local search to refine promising solutions; (v) a constraint-handling mechanism that explicitly prioritizes feasible solutions while still allowing exploration near the constraint boundaries; and (vi) a complexity and ablation analysis that quantifies the impact of each mechanism and confirms that they introduce only modest computational overhead. We evaluate eHGSO on four classical constrained engineering design problems: the stepped cantilever beam, the tension/compression spring, the welded beam, and the three-bar truss. Its performance is compared with seventeen recent metaheuristic optimizers over multiple independent runs. eHGSO achieves the best average objective value on the cantilever, spring, and welded-beam problems and shares the best average result on the three-bar truss. Compared to the second-best method, the mean objective is improved by about 0.84% for the cantilever beam and 0.35% for the welded beam, while the spring and truss results are essentially equivalent at four significant figures. Convergence and robustness analyses show that eHGSO reaches high-quality solutions quickly and consistently. Overall, the proposed eHGSO algorithm appears to be a competitive and practical tool for constrained engineering design problems. Full article
(This article belongs to the Special Issue Interdisciplinary Insights in Engineering Research)
Show Figures

Figure 1

24 pages, 11163 KB  
Article
Design and Implementation of a Quick-Change End-Effector Control System for Lightweight Robotic Arms in Workpiece Assembly Applications
by Guangxin Luan, Lingyan Hu and Raofen Wang
Actuators 2025, 14(12), 619; https://doi.org/10.3390/act14120619 - 18 Dec 2025
Viewed by 231
Abstract
This paper presents a lightweight end-effector quick-change control system for robotic arms, designed for scenarios such as workpiece assembly that require rapid switching between multiple end-effectors. The system utilizes a proprietary quick-change mechanism as its hardware foundation. Its main disk employs a modular [...] Read more.
This paper presents a lightweight end-effector quick-change control system for robotic arms, designed for scenarios such as workpiece assembly that require rapid switching between multiple end-effectors. The system utilizes a proprietary quick-change mechanism as its hardware foundation. Its main disk employs a modular and lightweight design compatible with small collaborative robots like the UR3. Motor-driven claws enable automatic tool locking and unlocking. To unify control interfaces for heterogeneous motor-driven tools, this paper proposes a universal peripheral adapter circuit based on the RS485 bus and a tool ID recognition mechanism, establishing a standardized four-wire interface for multi-tool sharing. At the control level, embedded control programs were developed for both the quick-change device and the tool end. An upper-level control platform based on ROS and MoveIt was established to achieve automatic quick-change and task sequence control during typical robotic operations such as “drilling-assembly workpiece.” Statistics from 20 locking time and communication success rate tests, along with 30 complete assembly experiments, demonstrate that the average quick-change locking time is 1.81 s, communication success rate is 100%, and a 93.3% assembly process success rate. These results validate the feasibility and stability of the proposed lightweight robotic arm end-effector quick-change control system in workpiece assembly scenarios, providing an expandable and reproducible quick-change control solution for multi-task operations of lightweight robotic arms. Full article
(This article belongs to the Section Actuators for Robotics)
Show Figures

Figure 1

20 pages, 8586 KB  
Article
Multi-Objective Optimization for Irrigation Canal Water Allocation and Intelligent Gate Control Under Water Supply Uncertainty
by Qingtong Cai, Xianghui Xu, Mo Li, Xingru Ye, Wuyuan Liu, Hongda Lian and Yan Zhou
Water 2025, 17(24), 3585; https://doi.org/10.3390/w17243585 - 17 Dec 2025
Viewed by 341
Abstract
Open-channel irrigation systems often face constraints due to water supply uncertainty and insufficient gate control precision. This study proposes an integrated framework for canal water allocation and gate control that combines interval-based uncertainty analysis with intelligent optimization to address these challenges. First, we [...] Read more.
Open-channel irrigation systems often face constraints due to water supply uncertainty and insufficient gate control precision. This study proposes an integrated framework for canal water allocation and gate control that combines interval-based uncertainty analysis with intelligent optimization to address these challenges. First, we predict the inflow process using an Auto-Regressive Integrated Moving Average (ARIMA) model and quantify the range of water supply uncertainty through Maximum Likelihood Estimation (MLE). Based on these results, we formulate a bi-objective optimization model to minimize both main canal flow fluctuations and canal network seepage losses. We solve the model using the Non-dominated Sorting Genetic Algorithm II (NSGA-II) to obtain Pareto-optimal water allocation schemes under uncertain inflow conditions. This study also designs a Fuzzy Proportional–Integral–Derivative (Fuzzy PID) controller. We adaptively tune its parameters using the Particle Swarm Optimization (PSO) algorithm, which enhances the dynamic response and operational stability of open-channel gate control. We apply this framework to the Chahayang irrigation district. The results show that total canal seepage decreases by 1.21 × 107 m3, accounting for 3.9% of the district’s annual water supply, and the irrigation cycle is shortened from 45 days to 40.54 days, improving efficiency by 9.91%. Compared with conventional PID control, the PSO-optimized Fuzzy PID controller reduces overshoot by 4.84%, and shortens regulation time by 39.51%. These findings indicate that the proposed method can significantly improve irrigation water allocation efficiency and gate control performance under uncertain and variable water supply conditions. Full article
(This article belongs to the Section Water, Agriculture and Aquaculture)
Show Figures

Figure 1

25 pages, 6352 KB  
Article
Integrated Stochastic Framework for Drought Assessment and Forecasting Using Climate Indices, Remote Sensing, and ARIMA Modelling
by Majed Alsubih, Javed Mallick, Hoang Thi Hang, Mansour S. Almatawa and Vijay P. Singh
Water 2025, 17(24), 3582; https://doi.org/10.3390/w17243582 - 17 Dec 2025
Viewed by 278
Abstract
This study presents an integrated stochastic framework for assessing and forecasting drought dynamics in the western Bhagirathi–Hooghly River Basin, encompassing the districts of Bankura, Birbhum, Burdwan, Medinipur, and Purulia. Employing multiple probabilistic and statistical techniques, including the gamma-based standardized precipitation index (SPI), effective [...] Read more.
This study presents an integrated stochastic framework for assessing and forecasting drought dynamics in the western Bhagirathi–Hooghly River Basin, encompassing the districts of Bankura, Birbhum, Burdwan, Medinipur, and Purulia. Employing multiple probabilistic and statistical techniques, including the gamma-based standardized precipitation index (SPI), effective drought index (EDI), rainfall anomaly index (RAI), and the auto-regressive integrated moving average (ARIMA) model, the research quantifies spatio-temporal variability and projects drought risk under non-stationary climatic conditions. The analysis of century-long rainfall records (1905–2023), coupled with LANDSAT-derived vegetation and moisture indices, reveals escalating drought frequency and severity, particularly in Purulia, where recurrent droughts occur at roughly four-year intervals. Stochastic evaluation of rainfall anomalies and SPI distributions indicates significant inter-annual variability and complex temporal dependencies across all districts. ARIMA-based forecasts (2025–2045) suggest persistent negative SPI trends, with Bankura and Purulia exhibiting heightened drought probability and reduced predictability at longer timescales. The integration of remote sensing and time-series modelling enhances the robustness of drought prediction by combining climatic stochasticity with land-surface responses. The findings demonstrate that a hybrid stochastic modelling approach effectively captures uncertainty in drought evolution and supports climate-resilient water resource management. This research contributes a novel, region-specific stochastic framework that advances risk-based drought assessment, aligning with the broader goal of developing adaptive and probabilistic environmental management strategies under changing climatic regimes. Full article
(This article belongs to the Special Issue Drought Evaluation Under Climate Change Condition)
Show Figures

Figure 1

16 pages, 1052 KB  
Article
A Q-Learning-Based Method for UAV Communication Resilience Against Random Pulse Jamming
by Yuqi Wen, Yusi Zhang and Yingtao Niu
Electronics 2025, 14(24), 4945; https://doi.org/10.3390/electronics14244945 - 17 Dec 2025
Viewed by 201
Abstract
In open wireless communication channels, the combined effects of random pulse jamming and multipath-induced time-varying fading significantly degrade the reliability and efficiency of information transmission. Particularly in highly dynamic scenarios such as unmanned aerial vehicle (UAV) communications, existing Q-learning-based anti-jamming methods often rely [...] Read more.
In open wireless communication channels, the combined effects of random pulse jamming and multipath-induced time-varying fading significantly degrade the reliability and efficiency of information transmission. Particularly in highly dynamic scenarios such as unmanned aerial vehicle (UAV) communications, existing Q-learning-based anti-jamming methods often rely on idealized channel assumptions, leading to mismatched “transmit/silence” decisions under fading conditions. To address this issue, this paper proposes a Q-learning and time-varying fading channel-aware anti-jamming method against random pulse jamming. In the proposed framework, a fading channel model is incorporated into Q-learning, where the state space jointly represents timeslot position, jamming history, and channel sensing results. Furthermore, a reward function is designed by jointly considering jamming power and channel quality, enabling dynamic strategy adaptation under rapidly varying channels. A moving average process is applied to smooth simulation fluctuations. The results demonstrate that the proposed method effectively suppresses jamming collisions, enhances the successful transmission rate, and improves communication robustness in fast-fading environments, showing strong potential for deployment in practical open-channel applications. Full article
(This article belongs to the Section Microwave and Wireless Communications)
Show Figures

Figure 1

26 pages, 22711 KB  
Article
Advanced Servo Control and Adaptive Path Planning for a Vision-Aided Omnidirectional Launch Platform in Sports-Training Applications
by Shuai Wang, Yinuo Xie, Kangyi Huang, Jun Lang, Qi Liu and Yaoming Zhuang
Actuators 2025, 14(12), 614; https://doi.org/10.3390/act14120614 - 15 Dec 2025
Viewed by 374
Abstract
A system-level scheme that couples a multi-dimensional attention-fused vision model and an improved Dijkstra planner is proposed for basketball robots in complex scenes. Fast-moving object detection, cluttered background recognition, and real-time path decision are targeted. For vision, the proposed YOLO11 with Multi-dimensional Attention [...] Read more.
A system-level scheme that couples a multi-dimensional attention-fused vision model and an improved Dijkstra planner is proposed for basketball robots in complex scenes. Fast-moving object detection, cluttered background recognition, and real-time path decision are targeted. For vision, the proposed YOLO11 with Multi-dimensional Attention Fusion (YOLO11-MAF) is equipped with four modules: Coordinate Attention (CoordAttention), Efficient Channel Attention (ECA), Multi-Scale Channel Attention (MSCA), and Large-Separable Kernel Attention (LSKA). Detection accuracy and robustness for high-speed basketballs are raised. For planning, an improved Dijkstra algorithm is proposed. Binary heap optimization and heuristic fusion cut time complexity from O(V2) to O((V+E)logV). Redundant expansions are removed and planning speed is increased. A complete robot platform integrating mechanical, electronic, and software components is constructed. End-to-end experiments show the improved vision model raises mAP@0.5 by 0.7% while keeping real-time frames per second (FPS). The improved path planning algorithm cuts average compute time by 16% and achieves over 95% obstacle avoidance success. The work offers a new approach for real-time perception and autonomous navigation of intelligent sport robots. It lays a basis for future multi-sensor fusion and adaptive path planning research. Full article
Show Figures

Figure 1

Back to TopTop