Enhanced Henry Gas Solubility Optimization for Solving Data and Engineering Design Problems
Abstract
1. Introduction
- Diversity-preserving start: a stratified Latin-hypercube initialization combined with quasi-opposition sampling to seed a well-spread population.
- Nonlinear control schedule: a temperature/pressure schedule that adapts to population entropy, strengthening early exploration and late exploitation.
- Elitist archive with differential perturbation: a small archive preserves the best solutions; archived elites perturb the dissolution step to accelerate local refinement without premature convergence.
- Hybrid local search: a lightweight gradient-free local search (pattern search) is triggered adaptively near promising regions to sharpen feasibility and improve precision.
- Constraint handling: a feasibility-priority rule with adaptive penalties ensures consistent progress on constrained problems common in engineering designs.
- Complexity and ablation: we analyze time complexity and provide ablations isolating each mechanism’s contribution to solution quality.
2. Related Work
3. Enhanced Henry Gas Solubility Optimization
From Henry’s Law to Search Mechanics




4. Mathematical Model
4.1. Problem Statement and Notation
- N—population size;
- —position of the i-th individual, ;
- —objective value of individual i;
- —best solution found so far (global best);
- —a near–elite solution sampled from the top p fraction of the population (“pbest” pool).
4.2. OBL-LHS Initialization
4.2.1. Latin Hypercube Sampling
- are elements of a random permutation of for each dimension d;
- are independent uniform random variables.
4.2.2. Opposition-Based Learning
4.3. Phase I: DE/Current-to-/1
4.3.1. Mutation
- is the differential weight;
- and are two distinct indices selected uniformly from ;
- is chosen uniformly from the top individuals (the “pbest” pool).
4.3.2. Binomial Crossover
- is the crossover rate;
- is a randomly chosen dimension that guarantees at least one component is taken from ;
- rand is a uniform random number in .
4.3.3. Selection
4.3.4. Parameter Adaptation
4.4. Phase II: Lévy Drift and Spiral Contraction
4.4.1. Lévy Flight
4.4.2. Spiral Contraction
4.4.3. Greedy Acceptance and Archive
4.4.4. Bound Handling
4.5. HGSO Physics Core: Group Update
4.5.1. Gain Factor
4.5.2. Group Position Update
- controls the direction of change;
- ;
- is a scaling parameter;
- is the solubility of group g (defined below);
- is the k-th component of .
4.5.3. Temperature and Henry Constants
4.6. eHGSO High-Level Pseudocode
| Algorithm 1 eHGSO (Enhanced HGSO with DE/pbest, Lévy and Spiral). |
|
4.7. Movement Strategy
4.8. One-Iteration Update Cycle (Operator Composition)
4.9. Geometric Interpretation of the Composite Move

4.10. Operator Scheduling Across Iterations

4.11. Projection and Archive Effects
4.12. Exploration and Exploitation Behavior
4.12.1. Roles of the Operators (Exploration vs. Exploitation)
4.12.2. A Simple Diversity Indicator
4.12.3. Qualitative Spatial Patterns

4.12.4. Diversity Contraction over Time

4.12.5. Step-Length Mixture: Who Does What?

5. Complexity Analysis
5.1. Function Evaluations per Phase
5.1.1. Initialization
5.1.2. Per-Iteration Cost with Coexisting Operators
- A DE/current-to-/1 proposal during the seeding phase;
- A base HGSO-style update;
- A Lévy candidate;
- A spiral candidate;
- A (optional) local-search move around selected elites.
- DE/current-to-/1 is used only in the early “seeding” iterations, so and once .
- The base HGSO, Lévy, and spiral steps produce at most one additional candidate per agent, i.e., , , and .
- Local search is triggered adaptively for a small subset of promising agents (typically the current best few). If each local-search call uses at most L trial points, then .
5.1.3. Local Search Overhead
5.1.4. Total FE Budget
5.2. Archive (“File”) and Per-Agent Candidates
5.3. Runtime, Population Size, and Effective Iterations
6. Statistical Comparison Results on CEC2022
6.1. Experimental Setup
6.1.1. CEC2022 Benchmark (F1–F12)
- Mean final best objective ;
- Std—standard deviation of the final best values;
- ErrorMeasure—mean absolute error to the optimum, ;
- SEM—standard error of the mean, .
6.1.2. Base Parameters of eHGSO on CEC2022
6.2. Results Analysis over CEC2022
Per-Function Summary: eHGSO vs. Next Best
| Optimizer | Avg. Mean | Avg. Error | Avg. Std | Avg. Rank | Wins |
|---|---|---|---|---|---|
| eHGSO | 1631.271 | 4.577 | 47.938 | 1.0 | 12 |
| OMA | 1663.969 | 80.636 | 39.261 | 5.083 | 0 |
| GTO | 1644.383 | 61.05 | 19.874 | 5.083 | 0 |
| SSA | 1811.754 | 228.421 | 179.285 | 7.333 | 0 |
| ALO | 1780.844 | 197.51 | 148.631 | 7.833 | 0 |
| POA | 1726.501 | 143.168 | 183.854 | 9.0 | 0 |
| RTH | 1668.728 | 85.395 | 44.016 | 9.667 | 2 |
| DO | 1922.623 | 339.29 | 227.443 | 10.25 | 0 |
| GWO | 2019.266 | 435.933 | 322.397 | 10.833 | 0 |
| MFO | 2374.019 | 790.685 | 706.334 | 11.167 | 0 |
| AVOA | 1851.26 | 267.926 | 203.981 | 11.667 | 0 |
| AO | 2306.694 | 723.36 | 517.178 | 13.583 | 0 |
| SCSO | 2042.265 | 458.932 | 325.785 | 15.75 | 0 |
| SHIO | 2188.564 | 605.231 | 469.429 | 16.5 | 0 |
| ZOA | 1864.963 | 281.629 | 299.097 | 16.833 | 0 |
| SHO | 2120.521 | 537.188 | 326.229 | 17.0 | 0 |
| SCA | 157046.596 | 155463.262 | 139494.515 | 18.25 | 0 |
| GJO | 2308.488 | 725.154 | 329.895 | 18.583 | 0 |
| HHO | 1857.227 | 273.893 | 185.953 | 18.583 | 0 |
| TTHHO | 1972.742 | 389.409 | 226.726 | 20.75 | 0 |
| DOA | 1786432.204 | 1784848.871 | 7980872.895 | 21.333 | 0 |
| HGSO | 179001.936 | 177418.603 | 98919.271 | 22.667 | 0 |
| GBO | 4565.656 | 2982.323 | 2388.761 | 22.833 | 0 |
| CPO | 1895.83 | 312.497 | 259.799 | 23.5 | 0 |
| HLOA | 1850.198 | 266.865 | 248.357 | 23.75 | 0 |
| TSO | 2238.344 | 655.011 | 459.999 | 23.917 | 0 |
| WOA | 2847.274 | 1263.941 | 689.128 | 24.333 | 0 |
| FOX | 1899.645 | 316.312 | 230.859 | 24.583 | 0 |
| Chimp | 115737.164 | 114153.83 | 69433.002 | 24.833 | 0 |
| SMA | 3822.577 | 2239.243 | 1071.447 | 26.083 | 0 |
| AOA | 2641.281 | 1057.948 | 533.9 | 28.0 | 0 |
| BOA | 2373509.565 | 2371926.231 | 3974044.914 | 28.583 | 0 |
| ROA | 18061.118 | 16477.784 | 32885.68 | 29.833 | 0 |
| RSA | 5032994.001 | 5031410.668 | 2690883.52 | 32.083 | 0 |
| FLO | 2304258.635 | 2302675.302 | 3705222.726 | 32.5 | 0 |
| SPBO | 28815208.478 | 28813625.145 | 17791607.041 | 34.583 | 0 |
| SSOA | 13571197.097 | 13569613.764 | 11699822.575 | 36.0 | 0 |
| OHO | 67231284.059 | 67229700.725 | 50288881.886 | 36.667 | 0 |
| Function | eHGSO Rank | Best Competitor (s) | Competitor Rank |
|---|---|---|---|
| F1 | 1 | RTH | 1 |
| F2 | 1 | ALO | 2 |
| F3 | 1 | OMA | 2 |
| F4 | 1 | ZOA | 2 |
| F5 | 1 | OMA | 2 |
| F6 | 1 | RTH | 2 |
| F7 | 1 | OMA | 2 |
| F8 | 1 | GTO | 2 |
| F9 | 1 | RTH | 1 |
| F10 | 1 | OMA | 2 |
| F11 | 1 | GTO | 2 |
| F12 | 1 | MFO | 2 |
| Optimizer | Avg. Rank | Median Rank | Wins (Rank = 1) | Top-3 Counts | Top-5 Counts |
|---|---|---|---|---|---|
| eHGSO | 1.00 | 1.0 | 12 | 12 | 12 |
| GTO | 5.08 | 5.0 | 0 | 5 | 7 |
| OMA | 5.08 | 4.0 | 0 | 5 | 9 |
| SSA | 7.33 | 6.5 | 0 | 2 | 4 |
| ALO | 7.83 | 6.5 | 0 | 2 | 4 |
| POA | 9.00 | 8.5 | 0 | 1 | 3 |
| RTH | 9.67 | 9.0 | 2 | 4 | 4 |
| DO | 10.25 | 9.0 | 0 | 1 | 3 |
| GWO | 10.83 | 11.0 | 0 | 2 | 4 |
| MFO | 11.17 | 9.0 | 0 | 1 | 2 |
| Optimizer | Avg. Rank | Median Rank | Wins (Rank = 1) | Top-3 Counts | Top-5 Counts |
|---|---|---|---|---|---|
| eHGSO | 1.00 | 1.0 | 12 | 12 | 12 |
| GWO | 10.83 | 11.0 | 0 | 2 | 4 |
| HHO | 18.58 | 19.0 | 0 | 0 | 0 |
| HGSO | 22.67 | 24.5 | 0 | 0 | 0 |
| WOA | 24.33 | 25.0 | 0 | 0 | 0 |
| RSA | 32.08 | 33.0 | 0 | 0 | 0 |
6.3. Qualitative Search Dynamics (F1–F6)

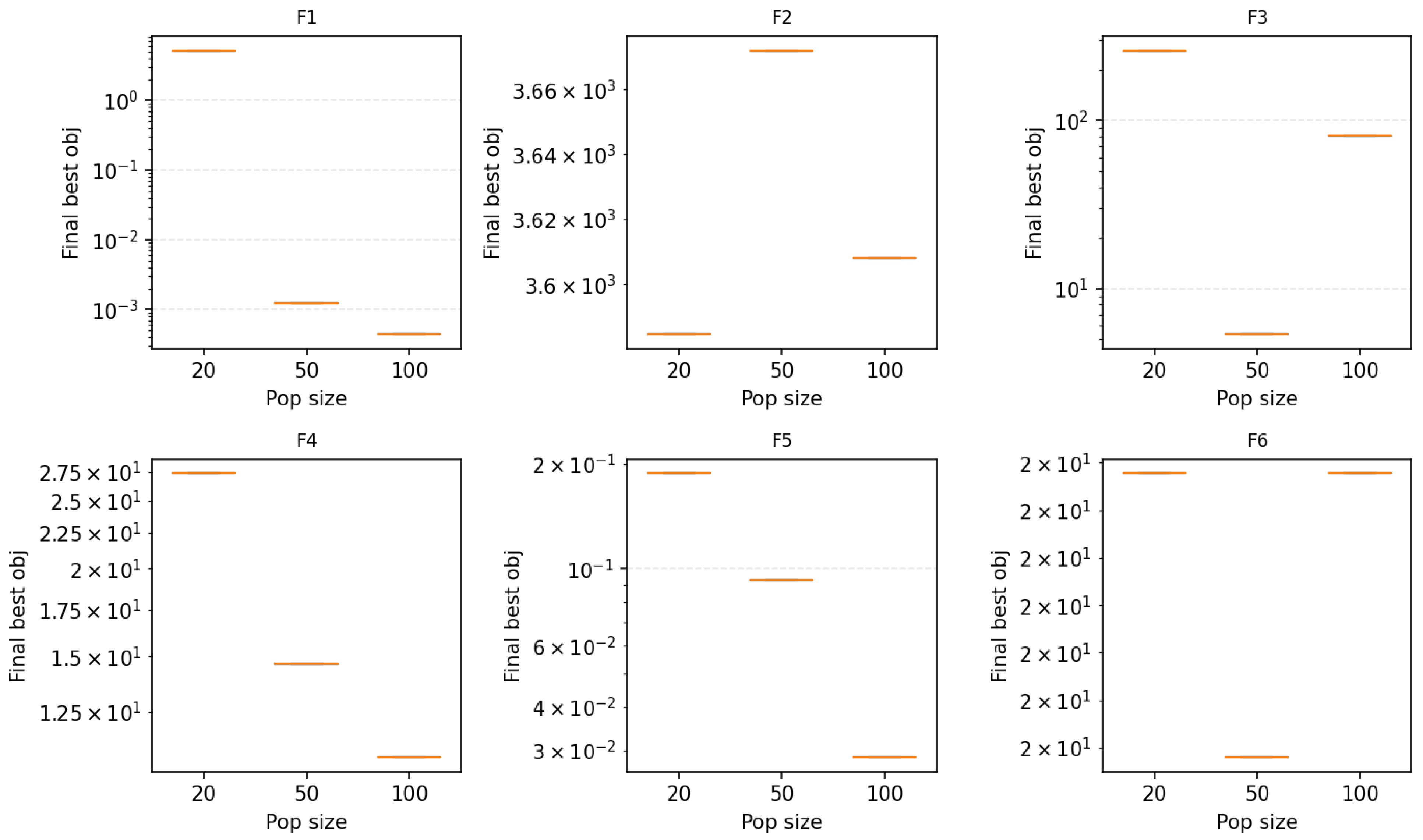
6.4. Sensitivity of the Dynamics to Population Size (F1–F6)
6.5. Qualitative Search Dynamics (F7–F12)
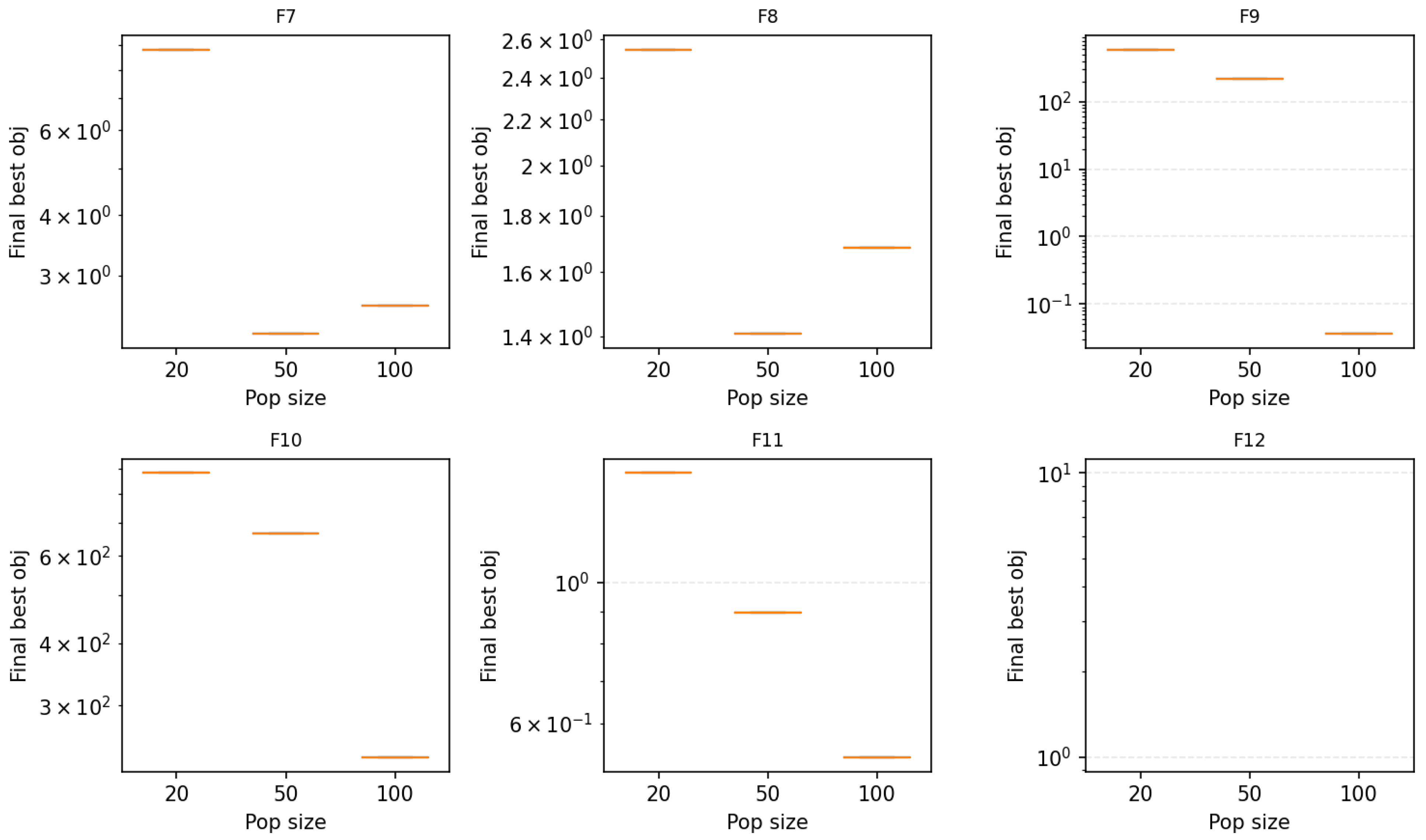
6.6. Sensitivity of the Dynamics to Population Size (F7–F12)

6.7. Convergence Behavior Across Iterations

6.8. Aggregate Performance via ECDF

6.9. Sensitivity to Population Size Across Functions

6.10. Effect of Population Size by Function Groups (F1–F6)

6.11. Effect of Population Size by Function Groups (F7–F12)

6.12. Performance Profile Across Population Sizes

6.13. Operator Modules, Ablation Switches, and Parameter Choices
- Elite archive (file): The external archive in Equation (17) stores replaced incumbents. A flag enables or disables its use in forming differential perturbations; when disabled, perturbations depend only on the live population.
- Local search: A lightweight pattern-search module is triggered adaptively when the relative improvement in the global best over a sliding window of w iterations drops below a threshold . At most elites are refined per call, and each local-search invocation is capped at function evaluations. This module can be turned off entirely to isolate its effect.
7. eHGSO Ablation Study
| Setting | Mean Final Best | Std. Dev. |
|---|---|---|
| baseline | ||
| high_pbest | ||
| low_CR0 | ||
| low_F0 | ||
| no_DE | ||
| no_Levy | ||
| no_OBL | ||
| no_adapt | ||
| no_archive | ||
| no_spiral | ||
| uniform_init |

8. Application of eHGSO Optimizer in Solving Engineering Design Problems
8.1. Cantilever Stepped Beam

| Algorithm | Mean Objective | Std. Dev. | Best Objective | Rank |
|---|---|---|---|---|
| eHGSO | 63574.359 | 206.248 | 63428.519 | 1 |
| POA | 64110.545 | 105.417 | 64036.004 | 2 |
| ChOA | 64722.451 | 954.266 | 64047.684 | 3 |
| ZOA | 65964.893 | 1405.326 | 64971.178 | 4 |
| MPA | 71321.498 | 1107.396 | 70538.451 | 5 |
| MFO | 71935.209 | 11264.736 | 63969.837 | 6 |
| TTHHO | 72509.999 | 794.495 | 71948.206 | 7 |
| ROA | 78652.325 | 2471.802 | 76904.497 | 8 |
| FLO | 80258.735 | 2982.472 | 78149.809 | 9 |
| SHO | 82051.012 | 16238.885 | 70568.386 | 10 |
| SMA | 86059.987 | 4788.744 | 82673.834 | 11 |
| SCA | 86715.612 | 461.139 | 86389.538 | 12 |
| WOA | 87037.593 | 6789.280 | 82236.847 | 13 |
| TSO | 92027.411 | 6245.260 | 87611.346 | 14 |
| SSOA | 103403.550 | 21230.483 | 88391.332 | 15 |
| RSA | 121050.011 | 18469.175 | 107990.332 | 16 |
| BOA | 385248.270 | 393207.474 | 107208.599 | 17 |
8.2. Spring Design

| Algorithm | Mean Objective | Std. Dev. | Best Objective | Rank |
|---|---|---|---|---|
| eHGSO | 180805.969 | 0.204 | 180805.825 | 1 |
| POA | 180806.495 | 0.960 | 180805.817 | 2 |
| ChOA | 181056.866 | 157.649 | 180945.392 | 3 |
| WOA | 182102.674 | 864.784 | 181491.179 | 4 |
| MFO | 182563.679 | 2402.460 | 180864.884 | 5 |
| ZOA | 183546.792 | 104.832 | 183472.664 | 6 |
| TSO | 198340.893 | 24798.233 | 180805.894 | 7 |
| SCA | 198388.001 | 1129.085 | 197589.618 | 8 |
| TTHHO | 211572.892 | 6586.397 | 206915.606 | 9 |
| MPA | 236304.490 | 54.056 | 236266.267 | 10 |
| SHO | 276016.283 | 10279.389 | 268747.657 | 11 |
| ROA | 333832.573 | 158931.092 | 221451.320 | 12 |
| SMA | 428569.524 | 203612.392 | 284593.821 | 13 |
| RSA | 431877.595 | 229584.918 | 269536.543 | 14 |
| BOA | 439555.868 | 15533.179 | 428572.252 | 15 |
| FLO | 505207.084 | 30933.176 | 483334.026 | 16 |
| SSOA | 583727.154 | 132897.315 | 489754.562 | 17 |
8.3. Welded Beam

| Algorithm | Mean Objective | Std. Dev. | Best Objective | Rank |
|---|---|---|---|---|
| eHGSO | 1.725 | 0.000 | 1.725 | 1 |
| POA | 1.731 | 0.002 | 1.730 | 2 |
| ChOA | 1.741 | 0.006 | 1.736 | 3 |
| MFO | 1.744 | 0.019 | 1.730 | 4 |
| TTHHO | 2.186 | 0.229 | 2.024 | 5 |
| ZOA | 2.313 | 0.586 | 1.898 | 6 |
| SCA | 2.313 | 0.343 | 2.070 | 7 |
| TSO | 2.427 | 0.815 | 1.850 | 8 |
| RSA | 2.964 | 0.010 | 2.957 | 9 |
| SHO | 3.031 | 0.785 | 2.477 | 10 |
| SMA | 3.088 | 0.013 | 3.079 | 11 |
| FLO | 3.228 | 0.453 | 2.908 | 12 |
| MPA | 3.332 | 0.010 | 3.325 | 13 |
| BOA | 3.490 | 0.928 | 2.835 | 14 |
| WOA | 4.818 | 1.383 | 3.840 | 15 |
| ROA | 5.408 | 4.238 | 2.411 | 16 |
| SSOA | 188975.089 | 108021.763 | 112592.168 | 17 |
8.4. Three-Bar Truss

| Algorithm | Mean Objective | Std. Dev. | Best Objective | Rank |
|---|---|---|---|---|
| eHGSO | 263.896 | 0.000 | 263.896 | 1 |
| POA | 263.896 | 0.000 | 263.896 | 2 |
| MPA | 263.901 | 0.003 | 263.898 | 3 |
| ZOA | 263.907 | 0.012 | 263.899 | 4 |
| ChOA | 263.972 | 0.029 | 263.951 | 5 |
| MFO | 263.988 | 0.118 | 263.905 | 6 |
| SCA | 264.087 | 0.217 | 263.933 | 7 |
| TTHHO | 264.286 | 0.436 | 263.978 | 8 |
| BOA | 264.609 | 0.462 | 264.282 | 9 |
| FLO | 264.828 | 0.288 | 264.624 | 10 |
| SHO | 265.350 | 0.263 | 265.164 | 11 |
| SSOA | 265.478 | 0.588 | 265.062 | 12 |
| ROA | 265.923 | 1.124 | 265.129 | 13 |
| WOA | 266.118 | 2.454 | 264.383 | 14 |
| RSA | 267.293 | 0.187 | 267.161 | 15 |
| SMA | 268.523 | 3.047 | 266.368 | 16 |
| TSO | 273.500 | 13.212 | 264.158 | 17 |
9. Conclusions
10. Mathematical Formulations of Engineering Problems
10.1. Formulation of Cantilever Stepped Beam
10.2. Formulation of Spring Design
10.3. Formulation of Welded Beam
10.4. Three-Bar Truss
Author Contributions
Funding
Institutional Review Board Statement
Informed Consent Statement
Data Availability Statement
Conflicts of Interest
Appendix A. Wilcoxon Results of eHGSO in Comparison with Other Optimizers
| Function | Measure | eHGSO | HGSO | SMA | GBO | RTH | GTO | CPO | SCSO | DOA | ZOA | SPBO | TSO | AO |
|---|---|---|---|---|---|---|---|---|---|---|---|---|---|---|
| F1 | Mean | 300 | 4228.87 | 20911.4 | 7996.74 | 300 | 300 | 497.261 | 1247.71 | 2949.43 | 832.659 | 30506.8 | 3458.21 | 726.878 |
| Error | 3928.87 | 20611.4 | 7696.74 | 197.261 | 947.714 | 2649.43 | 532.659 | 30206.8 | 3158.21 | 426.878 | ||||
| Std | 853.471 | 9681 | 3295.66 | 416.86 | 1422.38 | 3504.98 | 1343.83 | 8534.58 | 2290.04 | 335.842 | ||||
| Rank | 1 | 26 | 37 | 31 | 1 | 3 | 14 | 18 | 22 | 16 | 38 | 24 | 15 | |
| F2 | Mean | 406.967 | 492.98 | 458.727 | 441.451 | 408.454 | 409.195 | 421.711 | 429.149 | 479.437 | 435.33 | 1160.9 | 423.702 | 413.053 |
| Error | 2.66962 | 92.9795 | 58.7266 | 41.4514 | 8.45365 | 9.19528 | 21.7113 | 29.1491 | 79.4367 | 35.3297 | 760.903 | 23.7018 | 13.0535 | |
| Std | 6.96664 | 23.1124 | 82.745 | 27.671 | 15.0091 | 14.8846 | 29.3878 | 34.1302 | 115.293 | 29.135 | 230.735 | 30.9084 | 14.0004 | |
| Rank | 1 | 29 | 26 | 24 | 3 | 5 | 14 | 18 | 28 | 21 | 34 | 17 | 7 | |
| F3 | Mean | 600.001 | 627.021 | 620.621 | 619.314 | 608.794 | 605.156 | 652.084 | 612.71 | 620.123 | 617.073 | 670.296 | 639.658 | 611.792 |
| Error | 0.00148416 | 27.0207 | 20.6211 | 19.3138 | 8.79377 | 5.15598 | 52.0837 | 12.7096 | 20.1234 | 17.0728 | 70.2965 | 39.6578 | 11.7925 | |
| Std | 0.00104809 | 5.03499 | 13.4779 | 7.58659 | 10.4326 | 3.50832 | 9.28586 | 7.2338 | 9.12278 | 6.59757 | 8.60519 | 12.8599 | 6.49206 | |
| Rank | 1 | 23 | 21 | 19 | 9 | 6 | 34 | 15 | 20 | 17 | 38 | 29 | 13 | |
| F4 | Mean | 809.505 | 833.688 | 833.111 | 836.57 | 822.486 | 822.337 | 832.137 | 828.354 | 827.425 | 812.752 | 899.839 | 839.93 | 822.123 |
| Error | 1.9794 | 33.6884 | 33.1111 | 36.5701 | 22.486 | 22.3368 | 32.1371 | 28.3538 | 27.4247 | 12.7519 | 99.8392 | 39.9304 | 22.1232 | |
| Std | 9.50479 | 4.47612 | 10.9224 | 8.99759 | 8.78957 | 6.62717 | 1.33489 | 6.80808 | 8.96295 | 5.33544 | 12.6441 | 9.93287 | 7.30161 | |
| Rank | 1 | 24 | 23 | 26 | 11 | 10 | 22 | 17 | 16 | 2 | 38 | 30 | 8 | |
| F5 | Mean | 900.036 | 990.375 | 1480.61 | 1063.73 | 1046.38 | 949.798 | 1536.99 | 1084.52 | 1093.75 | 988.516 | 3677.53 | 1843.64 | 1029.66 |
| Error | 0.0490366 | 90.3755 | 580.607 | 163.731 | 146.376 | 49.7982 | 636.99 | 184.52 | 193.749 | 88.5165 | 2777.53 | 943.64 | 129.665 | |
| Std | 0.0358113 | 27.3778 | 410.895 | 94.4705 | 129.64 | 50.7174 | 173.135 | 134.433 | 103.473 | 63.818 | 736.406 | 691.729 | 127.981 | |
| Rank | 1 | 13 | 31 | 18 | 16 | 6 | 34 | 19 | 20 | 11 | 38 | 37 | 15 | |
| F6 | Mean | 1831.85 | 2125740.0 | 6278.42 | 28663.2 | 1835.13 | 1875.96 | 3530.44 | 5306 | 21416100.0 | 3477.9 | 345729000.0 | 4450.99 | 9148.86 |
| Error | 37.1559 | 2123940.0 | 4478.42 | 26863.2 | 35.1275 | 75.9625 | 1730.44 | 3506 | 21414300.0 | 1677.9 | 345727000.0 | 2650.99 | 7348.86 | |
| Std | 31.8498 | 1185930.0 | 1975.54 | 24891.6 | 57.4611 | 68.2961 | 2021.07 | 2075.08 | 95766300.0 | 1756.94 | 213489000.0 | 2002.51 | 5531.15 | |
| Rank | 1 | 31 | 24 | 27 | 2 | 3 | 10 | 22 | 32 | 9 | 37 | 17 | 26 | |
| F7 | Mean | 2017.98 | 2066.99 | 2063.47 | 2068.99 | 2032.11 | 2030.49 | 2133.07 | 2039.88 | 2037.11 | 2041.71 | 2167.31 | 2065.34 | 2035.19 |
| Error | 5.9385 | 66.9906 | 63.4666 | 68.9882 | 32.112 | 30.4877 | 133.073 | 39.8798 | 37.1078 | 41.7084 | 167.314 | 65.3438 | 35.1947 | |
| Std | 17.9843 | 9.17529 | 43.8553 | 20.9118 | 14.0196 | 10.8302 | 49.1487 | 17.9702 | 18.4602 | 12.836 | 42.4141 | 24.9434 | 10.6656 | |
| Rank | 1 | 25 | 22 | 26 | 9 | 8 | 37 | 15 | 14 | 16 | 38 | 24 | 12 | |
| F8 | Mean | 2216.85 | 2232.68 | 2236.65 | 2237.81 | 2229.63 | 2220.5 | 2292.28 | 2225.19 | 2243.3 | 2225.16 | 2319.85 | 2237.94 | 2228.02 |
| Error | 5.06687 | 32.6762 | 36.6513 | 37.8121 | 29.6309 | 20.4969 | 92.2777 | 25.1851 | 43.2994 | 25.1641 | 119.845 | 37.9414 | 28.0208 | |
| Std | 16.8488 | 1.9413 | 28.555 | 6.04352 | 25.1412 | 4.89468 | 72.7302 | 3.98756 | 67.3455 | 2.78826 | 96.6884 | 8.94851 | 2.97153 | |
| Rank | 1 | 21 | 24 | 25 | 18 | 2 | 32 | 11 | 27 | 10 | 35 | 26 | 16 | |
| F9 | Mean | 2529.28 | 2593.92 | 2602.64 | 2575.53 | 2529.28 | 2529.31 | 2558.02 | 2553.73 | 2571.12 | 2602.57 | 2761.51 | 2534.21 | 2560.54 |
| Error | 0 | 293.92 | 302.642 | 275.528 | 229.284 | 229.312 | 258.02 | 253.726 | 271.116 | 302.568 | 461.513 | 234.206 | 260.535 | |
| Std | 229.284 | 28.3576 | 48.3886 | 37.6751 | 0 | 0.124326 | 47.748 | 27.0823 | 63.8838 | 47.8226 | 63.569 | 14.492 | 18.0628 | |
| Rank | 1 | 27 | 30 | 21 | 1 | 5 | 16 | 15 | 19 | 29 | 35 | 11 | 18 | |
| F10 | Mean | 2500.34 | 2515.06 | 2628.78 | 2549.35 | 2564.22 | 2518.31 | 2635.07 | 2550.44 | 2539.15 | 2530.78 | 2581.96 | 2644.54 | 2572.86 |
| Error | 0.0385987 | 115.059 | 228.785 | 149.346 | 164.225 | 118.312 | 235.073 | 150.441 | 139.145 | 130.778 | 181.963 | 244.54 | 172.859 | |
| Std | 100.335 | 32.7208 | 339.071 | 68.6383 | 65.5525 | 43.7184 | 97.8045 | 62.6487 | 58.5439 | 53.8609 | 52.791 | 228.605 | 60.3695 | |
| Rank | 1 | 6 | 28 | 14 | 19 | 8 | 29 | 16 | 13 | 11 | 24 | 30 | 21 | |
| F11 | Mean | 2600 | 2810.4 | 2878.37 | 2861.68 | 2781.68 | 2607.52 | 2743.33 | 2762.25 | 2836.67 | 2895.56 | 3767.86 | 2844.51 | 2664.91 |
| Error | 210.398 | 278.372 | 261.681 | 181.676 | 7.5232 | 143.327 | 162.254 | 236.674 | 295.558 | 1167.86 | 244.509 | 64.9148 | ||
| Std | 102.65 | 202.627 | 185.973 | 196.306 | 33.6448 | 147.838 | 112.301 | 238.162 | 233.583 | 391.755 | 183.1 | 89.2564 | ||
| Rank | 1 | 22 | 28 | 26 | 18 | 2 | 10 | 13 | 23 | 29 | 37 | 24 | 4 | |
| F12 | Mean | 2862.44 | 2892.27 | 2878.08 | 2873.51 | 2866.58 | 2864.02 | 2917.57 | 2867.25 | 2884.18 | 2919.55 | 2886.1 | 2877.46 | 2866.43 |
| Error | 2.02768 | 192.271 | 178.075 | 173.511 | 166.576 | 164.021 | 217.569 | 167.246 | 184.179 | 219.545 | 186.102 | 177.464 | 166.427 | |
| Std | 162.442 | 9.39995 | 20.2824 | 19.9337 | 5.83679 | 1.24716 | 51.2486 | 5.36519 | 27.0269 | 32.6215 | 8.65061 | 21.9129 | 2.05063 | |
| Rank | 1 | 25 | 19 | 17 | 9 | 3 | 30 | 10 | 22 | 31 | 23 | 18 | 8 |
| Function | Measure | TTHHO | HHO | OMA | SSOA | MFO | BOA | GWO | SCA | SSA | AOA | GJO | HLOA | WOA |
|---|---|---|---|---|---|---|---|---|---|---|---|---|---|---|
| F1 | Mean | 308.863 | 301.815 | 300.001 | 12879 | 5427.59 | 7857.01 | 1287.19 | 1247.28 | 300 | 8218.46 | 2425.72 | 300.028 | 11618 |
| Error | 8.86287 | 1.81524 | 0.000696412 | 12579 | 5127.59 | 7557.01 | 987.188 | 947.28 | 7918.46 | 2125.72 | 0.0275077 | 11318 | ||
| Std | 9.34017 | 0.643532 | 0.00108347 | 7290.82 | 6003.8 | 2822.12 | 1032.66 | 643.145 | 3813.12 | 1643.93 | 0.0510802 | 5193.76 | ||
| Rank | 12 | 11 | 8 | 35 | 27 | 29 | 19 | 17 | 4 | 32 | 21 | 10 | 34 | |
| F2 | Mean | 448.266 | 423.591 | 408.492 | 1349.95 | 417.78 | 2133.14 | 417.975 | 459.298 | 410.745 | 996.227 | 436.608 | 423.055 | 436.413 |
| Error | 48.2664 | 23.5906 | 8.492 | 949.954 | 17.7798 | 1733.14 | 17.9752 | 59.2983 | 10.7453 | 596.227 | 36.6077 | 23.055 | 36.4127 | |
| Std | 40.6622 | 28.5737 | 21.5483 | 404.267 | 22.7816 | 794.727 | 18.9325 | 13.4047 | 16.8763 | 622.372 | 19.256 | 30.3305 | 33.9742 | |
| Rank | 25 | 16 | 4 | 36 | 11 | 37 | 12 | 27 | 6 | 33 | 23 | 15 | 22 | |
| F3 | Mean | 629.203 | 629.745 | 600.073 | 658.374 | 601.1 | 637.507 | 600.345 | 617.69 | 610.081 | 635.316 | 608.858 | 648.732 | 630.19 |
| Error | 29.2031 | 29.7453 | 0.0727002 | 58.3736 | 1.09985 | 37.507 | 0.344659 | 17.69 | 10.0806 | 35.3159 | 8.85825 | 48.7318 | 30.1904 | |
| Std | 9.6019 | 12.8722 | 0.18864 | 8.45676 | 2.27977 | 7.80289 | 0.418769 | 2.63247 | 7.35369 | 7.34322 | 7.0238 | 14.8903 | 10.7557 | |
| Rank | 24 | 25 | 2 | 36 | 4 | 28 | 3 | 18 | 12 | 27 | 10 | 33 | 26 | |
| F4 | Mean | 825.172 | 823.848 | 814.174 | 857.204 | 828.439 | 846.683 | 814.11 | 838.229 | 822.993 | 830.801 | 829.378 | 843.058 | 835.131 |
| Error | 25.172 | 23.8482 | 14.1738 | 57.2042 | 28.4389 | 46.6826 | 14.1104 | 38.2291 | 22.9932 | 30.8013 | 29.3775 | 43.0577 | 35.1306 | |
| Std | 7.63567 | 7.33544 | 3.84828 | 11.1147 | 14.0995 | 8.33884 | 4.65907 | 6.65125 | 10.7259 | 6.64323 | 11.8634 | 17.8022 | 13.4967 | |
| Rank | 14 | 13 | 4 | 37 | 18 | 34 | 3 | 27 | 12 | 21 | 19 | 31 | 25 | |
| F5 | Mean | 1340.67 | 1353.68 | 900.549 | 1589.64 | 971.227 | 1259.08 | 914.153 | 984.984 | 907.673 | 1234.78 | 969.709 | 1462.46 | 1350.15 |
| Error | 440.667 | 453.683 | 0.549163 | 689.643 | 71.2273 | 359.077 | 14.1533 | 84.9845 | 7.673 | 334.779 | 69.7087 | 562.46 | 450.147 | |
| Std | 219.816 | 146.188 | 1.88104 | 115.856 | 126.173 | 128.678 | 48.5939 | 32.172 | 22.5559 | 132.039 | 62.191 | 225.652 | 317.396 | |
| Rank | 26 | 28 | 2 | 35 | 9 | 23 | 4 | 10 | 3 | 22 | 8 | 30 | 27 | |
| F6 | Mean | 5002.83 | 3674.14 | 2125.36 | 162820000.0 | 5334.49 | 28453800.0 | 5193.85 | 1865420.0 | 3850.06 | 3944.11 | 7276.46 | 3134.65 | 4091.11 |
| Error | 3202.83 | 1874.14 | 325.365 | 162818000.0 | 3534.49 | 28452000.0 | 3393.85 | 1863620.0 | 2050.06 | 2144.11 | 5476.46 | 1334.65 | 2291.11 | |
| Std | 2093.77 | 1699.65 | 340.074 | 140389000.0 | 2118.01 | 47684400.0 | 2520.94 | 1673170.0 | 1902.09 | 1194.14 | 1874.16 | 1941.49 | 2154.19 | |
| Rank | 19 | 11 | 4 | 36 | 23 | 34 | 21 | 30 | 12 | 14 | 25 | 6 | 15 | |
| F7 | Mean | 2064.54 | 2062.15 | 2019.67 | 2128.99 | 2028.74 | 2080.5 | 2032.62 | 2054.01 | 2034.71 | 2115.99 | 2046.21 | 2123.41 | 2080.98 |
| Error | 64.5441 | 62.1462 | 19.6735 | 128.99 | 28.7444 | 80.5015 | 32.6201 | 54.0086 | 34.7065 | 115.99 | 46.2068 | 123.414 | 80.9798 | |
| Std | 28.9226 | 23.0889 | 6.74092 | 24.7559 | 13.1425 | 15.4348 | 18.7253 | 9.78522 | 13.7793 | 48.6685 | 15.2545 | 47.0586 | 33.829 | |
| Rank | 23 | 21 | 2 | 36 | 6 | 28 | 10 | 19 | 11 | 31 | 18 | 34 | 29 | |
| F8 | Mean | 2235.77 | 2228.11 | 2226.09 | 2381.46 | 2223.17 | 2275.53 | 2223.12 | 2231.79 | 2223.46 | 2275.6 | 2226.21 | 2319.84 | 2232.32 |
| Error | 35.7743 | 28.1135 | 26.0879 | 181.464 | 23.1687 | 75.528 | 23.1229 | 31.7942 | 23.4617 | 75.5978 | 26.208 | 119.841 | 32.3184 | |
| Std | 14.6229 | 6.56539 | 2.46649 | 106.556 | 5.93461 | 36.7936 | 6.57772 | 2.34272 | 3.89917 | 83.2347 | 2.5305 | 95.2497 | 5.66021 | |
| Rank | 22 | 17 | 13 | 36 | 7 | 30 | 6 | 19 | 8 | 31 | 14 | 34 | 20 | |
| F9 | Mean | 2593.09 | 2582.93 | 2529.28 | 2786.3 | 2531.03 | 2776.07 | 2551.73 | 2558.39 | 2530.06 | 2701.09 | 2588 | 2530.37 | 2590.5 |
| Error | 293.085 | 282.934 | 229.284 | 486.297 | 231.031 | 476.07 | 251.727 | 258.389 | 230.059 | 401.091 | 288.001 | 230.374 | 290.5 | |
| Std | 38.6781 | 54.1137 | 50.4386 | 4.49981 | 60.173 | 31.7944 | 14.1818 | 2.42857 | 33.0127 | 44.282 | 4.48426 | 57.2759 | ||
| Rank | 26 | 22 | 3 | 37 | 9 | 36 | 14 | 17 | 7 | 32 | 24 | 8 | 25 | |
| F10 | Mean | 2549.55 | 2576.44 | 2500.46 | 2700.51 | 2515.55 | 2502.33 | 2563.05 | 2508.53 | 2500.51 | 2611.71 | 2567.47 | 2718.58 | 2622.33 |
| Error | 149.548 | 176.436 | 100.465 | 300.513 | 115.549 | 102.328 | 163.046 | 108.529 | 100.511 | 211.708 | 167.469 | 318.584 | 222.335 | |
| Std | 68.3701 | 102.143 | 0.097789 | 147.016 | 38.6242 | 0.999522 | 57.4405 | 30.0213 | 0.151279 | 97.4944 | 62.495 | 350.407 | 228.176 | |
| Rank | 15 | 23 | 2 | 35 | 7 | 4 | 18 | 5 | 3 | 26 | 20 | 36 | 27 | |
| F11 | Mean | 2775.32 | 2725.04 | 2676.05 | 3648.54 | 2745.67 | 3084.11 | 2768.54 | 2769.15 | 2686.71 | 3141.54 | 2854.97 | 2791.29 | 2796.61 |
| Error | 175.322 | 125.036 | 76.0484 | 1048.54 | 145.669 | 484.114 | 168.544 | 169.152 | 86.7063 | 541.539 | 254.973 | 191.293 | 196.606 | |
| Std | 158.372 | 106.763 | 92.1241 | 452.914 | 125.844 | 259.989 | 126.922 | 6.73558 | 170.592 | 329.319 | 198.525 | 198.549 | 197.955 | |
| Rank | 17 | 9 | 5 | 36 | 11 | 31 | 15 | 16 | 6 | 32 | 25 | 20 | 21 | |
| F12 | Mean | 2899.63 | 2905.23 | 2867.42 | 3094.24 | 2863.44 | 2908.77 | 2864.51 | 2869.02 | 2864.05 | 2989.75 | 2872.26 | 2906.89 | 2883.52 |
| Error | 199.633 | 205.229 | 167.419 | 394.241 | 163.438 | 208.767 | 164.51 | 169.016 | 164.049 | 289.754 | 172.263 | 206.89 | 183.523 | |
| Std | 30.9162 | 43.5007 | 2.16039 | 103.213 | 0.820586 | 31.0195 | 1.09629 | 1.9188 | 0.964609 | 39.4057 | 17.2242 | 54.3202 | 23.0683 | |
| Rank | 26 | 27 | 12 | 37 | 2 | 29 | 5 | 14 | 4 | 35 | 16 | 28 | 21 |
| Function | Measure | RSA | SHO | FLO | DO | FOX | ROA | ALO | AVOA | Chimp | SHIO | OHO | POA |
|---|---|---|---|---|---|---|---|---|---|---|---|---|---|
| F1 | Mean | 7886.04 | 3035.96 | 8473.76 | 300.003 | 300 | 7338.77 | 300 | 300 | 2360.33 | 3654.88 | 17551.1 | 436.278 |
| Error | 7586.04 | 2735.96 | 8173.76 | 0.0027544 | 7038.77 | 2060.33 | 3354.88 | 17251.1 | 136.278 | ||||
| Std | 1932.44 | 2018.03 | 1344.2 | 0.00270677 | 2545.23 | 1198.93 | 2915.3 | 6466.5 | 236.642 | ||||
| Rank | 30 | 23 | 33 | 9 | 7 | 28 | 5 | 6 | 20 | 25 | 36 | 13 | |
| F2 | Mean | 946.028 | 433.524 | 1269.24 | 416.898 | 417.668 | 814.814 | 407.361 | 416.771 | 589.062 | 432.289 | 2998.57 | 419.448 |
| Error | 546.028 | 33.5238 | 869.244 | 16.898 | 17.6684 | 414.814 | 7.36113 | 16.7711 | 189.062 | 32.2892 | 2598.57 | 19.4479 | |
| Std | 558.801 | 35.5674 | 504.703 | 25.7037 | 27.7618 | 628.842 | 15.4154 | 25.4754 | 172.81 | 26.4451 | 990.058 | 26.0858 | |
| Rank | 32 | 20 | 35 | 9 | 10 | 31 | 2 | 8 | 30 | 19 | 38 | 13 | |
| F3 | Mean | 645.593 | 612.256 | 645.875 | 607.01 | 657.821 | 646.188 | 608.598 | 609.633 | 626.036 | 604.613 | 659.759 | 616.884 |
| Error | 45.5934 | 12.2561 | 45.8745 | 7.01 | 57.8212 | 46.1879 | 8.5976 | 9.6332 | 26.0357 | 4.61329 | 59.759 | 16.8837 | |
| Std | 6.46441 | 6.36771 | 9.64778 | 7.69798 | 10.6923 | 14.7672 | 7.66131 | 6.30967 | 5.8128 | 4.16744 | 4.66461 | 11.7627 | |
| Rank | 30 | 14 | 31 | 7 | 35 | 32 | 8 | 11 | 22 | 5 | 37 | 16 | |
| F4 | Mean | 849.591 | 822.287 | 849.442 | 825.5 | 839.397 | 843.274 | 821.491 | 830.498 | 838.875 | 816.571 | 844.64 | 817.846 |
| Error | 49.5914 | 22.2873 | 49.4423 | 25.4998 | 39.3972 | 43.2741 | 21.4911 | 30.498 | 38.8746 | 16.5711 | 44.6402 | 17.8456 | |
| Std | 7.07024 | 4.78827 | 6.46748 | 8.41481 | 17.3616 | 10.7612 | 9.49073 | 11.4534 | 8.63674 | 6.5055 | 2.58553 | 4.20989 | |
| Rank | 36 | 9 | 35 | 15 | 29 | 32 | 7 | 20 | 28 | 5 | 33 | 6 | |
| F5 | Mean | 1409.55 | 1050.29 | 1334.92 | 988.881 | 1484.32 | 1494.81 | 917.233 | 1203.57 | 1321.98 | 951.614 | 1606.5 | 998.711 |
| Error | 509.555 | 150.289 | 434.915 | 88.8813 | 584.32 | 594.809 | 17.2328 | 303.566 | 421.978 | 51.6142 | 706.503 | 98.7113 | |
| Std | 133.811 | 125.745 | 197.486 | 133.76 | 115.815 | 215.952 | 30.7581 | 174.094 | 180.098 | 77.8561 | 91.1859 | 89.1826 | |
| Rank | 29 | 17 | 25 | 12 | 32 | 33 | 5 | 21 | 24 | 7 | 36 | 14 | |
| F6 | Mean | 60368200.0 | 4329.67 | 27622200.0 | 5043.8 | 3370.82 | 189984 | 3477.6 | 3921.38 | 1367390.0 | 4643.92 | 806734000.0 | 2556.79 |
| Error | 60366400.0 | 2529.67 | 27620400.0 | 3243.8 | 1570.82 | 188184 | 1677.6 | 2121.38 | 1365590.0 | 2843.92 | 806732000.0 | 756.793 | |
| Std | 32287300.0 | 1314.87 | 44460000.0 | 2303.7 | 1691.18 | 390490 | 1528.23 | 1993.93 | 830898 | 2105.69 | 603458000.0 | 1633.5 | |
| Rank | 35 | 16 | 33 | 20 | 7 | 28 | 8 | 13 | 29 | 18 | 38 | 5 | |
| F7 | Mean | 2122.93 | 2024.61 | 2104.18 | 2026.45 | 2128.79 | 2072.54 | 2042.3 | 2029.32 | 2057.08 | 2035.65 | 2120.19 | 2024.31 |
| Error | 122.927 | 24.6116 | 104.179 | 26.4477 | 128.794 | 72.5425 | 42.298 | 29.3234 | 57.0843 | 35.6538 | 120.188 | 24.3119 | |
| Std | 17.1594 | 7.81378 | 20.8382 | 7.65849 | 59.3857 | 19.9873 | 19.1937 | 9.03656 | 5.93081 | 15.5289 | 10.4452 | 9.96517 | |
| Rank | 33 | 4 | 30 | 5 | 35 | 27 | 17 | 7 | 20 | 13 | 32 | 3 | |
| F8 | Mean | 2244.95 | 2222.46 | 2246.92 | 2221.67 | 2383.76 | 2235.95 | 2226.92 | 2224.34 | 2316.59 | 2225.68 | 2486.85 | 2221.78 |
| Error | 44.9462 | 22.4623 | 46.9224 | 21.6723 | 183.762 | 35.9523 | 26.9242 | 24.3375 | 116.589 | 25.6776 | 286.851 | 21.7799 | |
| Std | 10.1776 | 3.78645 | 20.1392 | 6.60184 | 121.324 | 13.1752 | 4.00307 | 3.4865 | 55.3017 | 5.97557 | 266.356 | 5.8036 | |
| Rank | 28 | 5 | 29 | 3 | 37 | 23 | 15 | 9 | 33 | 12 | 38 | 4 | |
| F9 | Mean | 2705.44 | 2582.98 | 2744.1 | 2529.28 | 2547.49 | 2686.18 | 2529.53 | 2536.63 | 2571.37 | 2596.38 | 2855.48 | 2533.03 |
| Error | 405.442 | 282.982 | 444.1 | 229.284 | 247.488 | 386.177 | 229.525 | 236.631 | 271.371 | 296.376 | 555.478 | 233.028 | |
| Std | 42.2564 | 20.8775 | 39.517 | 35.2289 | 47.3337 | 0.274144 | 32.855 | 51.3632 | 37.3302 | 100.133 | 9.585 | ||
| Rank | 33 | 23 | 34 | 4 | 13 | 31 | 6 | 12 | 20 | 28 | 38 | 10 | |
| F10 | Mean | 2675.06 | 2573.01 | 2697.55 | 2553.43 | 2891.39 | 2655.63 | 2530.91 | 2524.76 | 2583.43 | 2657.05 | 2991.15 | 2520.06 |
| Error | 275.061 | 173.015 | 297.547 | 153.432 | 491.387 | 255.627 | 130.913 | 124.756 | 183.427 | 257.051 | 591.146 | 120.063 | |
| Std | 136.85 | 60.3159 | 128.507 | 60.3448 | 454.081 | 342.105 | 54.7084 | 49.6543 | 342.516 | 274.109 | 294.741 | 45.4858 | |
| Rank | 33 | 22 | 34 | 17 | 37 | 31 | 12 | 10 | 25 | 32 | 38 | 9 | |
| F11 | Mean | 3291.58 | 2870.82 | 3490.97 | 2689.25 | 2789.04 | 3034.54 | 2642.52 | 2750.94 | 3321.86 | 2763.51 | 4066.58 | 2707.18 |
| Error | 691.577 | 270.822 | 890.971 | 89.2533 | 189.035 | 434.539 | 42.5217 | 150.942 | 721.862 | 163.511 | 1466.58 | 107.179 | |
| Std | 430.341 | 301.148 | 347.701 | 168.856 | 159.863 | 245.845 | 111.56 | 135.503 | 269.892 | 143.012 | 408.09 | 130.894 | |
| Rank | 33 | 27 | 35 | 7 | 19 | 30 | 3 | 12 | 34 | 14 | 38 | 8 | |
| F12 | Mean | 2941.54 | 2888.37 | 3037.38 | 2869.29 | 2985.25 | 2926.7 | 2865.66 | 2867.28 | 2867.62 | 2880.6 | 3183.31 | 2865.69 |
| Error | 241.538 | 188.371 | 337.381 | 169.293 | 285.251 | 226.7 | 165.663 | 167.279 | 167.621 | 180.604 | 483.308 | 165.69 | |
| Std | 63.0745 | 15.425 | 74.5892 | 6.58064 | 77.6113 | 53.8196 | 2.28465 | 5.97641 | 6.33603 | 21.2336 | 124.497 | 3.13222 | |
| Rank | 33 | 24 | 36 | 15 | 34 | 32 | 6 | 11 | 13 | 20 | 38 | 7 |
| Function | HGSO | SMA | GBO | RTH | GTO | CPO | SCSO | DOA | ZOA | SPBO | TSO | AO |
|---|---|---|---|---|---|---|---|---|---|---|---|---|
| F1 | ||||||||||||
| T+: 210, T−: 0 | T+: 210, T−: 0 | T+: 210, T−: 0 | T+: 210, T−: 0 | T+: 210, T−: 0 | T+: 210, T−: 0 | T+: 210, T−: 0 | T+: 210, T−: 0 | T+: 210, T−: 0 | T+: 210, T−: 0 | T+: 210, T−: 0 | T+: 210, T−: 0 | |
| F2 | 0.167184041 | 0.232226 | 0.125859 | 0.881293 | 0.191334 | 0.043804 | 0.156004 | 0.627446 | 0.000449 | 0.058548 | 0.092963 | |
| T+: 68, T−: 142 | T+: 137, T−: 73 | T+: 64, T−: 146 | T+: 101, T−: 109 | T+: 140, T−: 70 | T+: 159, T−: 51 | T+: 143, T−: 67 | T+: 118, T−: 92 | T+: 199, T−: 11 | T+: 157, T−: 53 | T+: 150, T−: 60 | T+: 210, T−: 0 | |
| F3 | 0.000516715 | |||||||||||
| T+: 198, T−: 12 | T+: 210, T−: 0 | T+: 210, T−: 0 | T+: 210, T−: 0 | T+: 210, T−: 0 | T+: 210, T−: 0 | T+: 210, T−: 0 | T+: 210, T−: 0 | T+: 210, T−: 0 | T+: 210, T−: 0 | T+: 210, T−: 0 | T+: 210, T−: 0 | |
| F4 | 0.000779593 | 0.005111 | 0.001713 | 0.000103 | 0.000219 | 0.000103 | 0.00012 | 0.001944 | 0.000189 | 0.001162 | 0.000189 | |
| T+: 195, T−: 15 | T+: 180, T−: 30 | T+: 189, T−: 21 | T+: 209, T−: 1 | T+: 204, T−: 6 | T+: 209, T−: 1 | T+: 208, T−: 2 | T+: 210, T−: 0 | T+: 188, T−: 22 | T+: 205, T−: 5 | T+: 192, T−: 18 | T+: 205, T−: 5 | |
| F5 | 0.000140134 | 0.000219 | 0.000338 | |||||||||
| T+: 207, T−: 3 | T+: 204, T−: 6 | T+: 210, T−: 0 | T+: 210, T−: 0 | T+: 210, T−: 0 | T+: 210, T−: 0 | T+: 210, T−: 0 | T+: 210, T−: 0 | T+: 210, T−: 0 | T+: 210, T−: 0 | T+: 201, T−: 9 | T+: 210, T−: 0 | |
| F6 | ||||||||||||
| T+: 210, T−: 0 | T+: 210, T−: 0 | T+: 210, T−: 0 | T+: 210, T−: 0 | T+: 210, T−: 0 | T+: 210, T−: 0 | T+: 210, T−: 0 | T+: 210, T−: 0 | T+: 210, T−: 0 | T+: 210, T−: 0 | T+: 210, T−: 0 | T+: 210, T−: 0 | |
| F7 | 0.00282086 | 0.027621 | 0.005734 | 0.000103 | 0.1454 | 0.00014 | 0.036561 | 0.000103 | ||||
| T+: 185, T−: 25 | T+: 164, T−: 46 | T+: 179, T−: 31 | T+: 210, T−: 0 | T+: 209, T−: 1 | T+: 144, T−: 66 | T+: 207, T−: 3 | T+: 161, T−: 49 | T+: 209, T−: 1 | T+: 210, T−: 0 | T+: 210, T−: 0 | T+: 210, T−: 0 | |
| F8 | 0.000338455 | 0.005734 | 0.000254 | 0.000189 | 0.000681 | 0.003592 | 0.000338 | 0.00039 | 0.002204 | 0.000163 | 0.000163 | |
| T+: 201, T−: 9 | T+: 179, T−: 31 | T+: 203, T−: 7 | T+: 205, T−: 5 | T+: 196, T−: 14 | T+: 183, T−: 27 | T+: 201, T−: 9 | T+: 200, T−: 10 | T+: 187, T−: 23 | T+: 206, T−: 4 | T+: 206, T−: 4 | T+: 210, T−: 0 | |
| F9 | 0.000132 | |||||||||||
| T+: 210, T−: 0 | T+: 210, T−: 0 | T+: 210, T−: 0 | T+: 210, T−: 0 | T+: 210, T−: 0 | T+: 210, T−: 0 | T+: 210, T−: 0 | T+: 210, T−: 0 | T+: 210, T−: 0 | T+: 210, T−: 0 | T+: 210, T−: 0 | T+: 210, T−: 0 | |
| F10 | 0.011129014 | 0.002495 | 0.018675 | 0.000593 | 0.000681 | 0.001019 | 0.000593 | 0.001325 | 0.000593 | 8.86 | ||
| T+: 173, T−: 37 | T+: 186, T−: 24 | T+: 168, T−: 42 | T+: 197, T−: 13 | T+: 196, T−: 14 | T+: 193, T−: 17 | T+: 197, T−: 13 | T+: 191, T−: 19 | T+: 197, T−: 13 | T+: 210, T−: 0 | T+: 210, T−: 0 | T+: 210, T−: 0 | |
| F11 | ||||||||||||
| T+: 210, T−: 0 | T+: 210, T−: 0 | T+: 210, T−: 0 | T+: 210, T−: 0 | T+: 210, T−: 0 | T+: 210, T−: 0 | T+: 210, T−: 0 | T+: 210, T−: 0 | T+: 210, T−: 0 | T+: 210, T−: 0 | T+: 210, T−: 0 | T+: 210, T−: 0 | |
| F12 | 0.00014 | 0.000293 | 0.00012 | 0.00455 | 0.000293 | 0.00039 | 0.000254 | 0.000103 | ||||
| T+: 210, T−: 0 | T+: 207, T−: 3 | T+: 210, T−: 0 | T+: 202, T−: 8 | T+: 208, T−: 2 | T+: 181, T−: 29 | T+: 202, T−: 8 | T+: 210, T−: 0 | T+: 200, T−: 10 | T+: 203, T−: 7 | T+: 210, T−: 0 | T+: 209, T−: 1 | |
| Total | +:11, −:0, =:1 | +:11, −:0, =:1 | +:11, −:0, =:1 | +:11, −:0, =:1 | +:11, −:0, =:1 | +:11, −:0, =:1 | +:11, −:0, =:1 | +:11, −:0, =:1 | +:12, −:0, =:0 | +:11, −:0, =:1 | +:11, −:0, =:1 | +:12, −:0, =:0 |
| TTHHO | HHO | OMA | SSOA | MFO | BOA | GWO | SCA | SSA | AOA | GJO | HLOA | WOA |
|---|---|---|---|---|---|---|---|---|---|---|---|---|
| T+: 210, T−: 0 | T+: 210, T−: 0 | T+: 210, T−: 0 | T+: 210, T−: 0 | T+: 210, T−: 0 | T+: 210, T−: 0 | T+: 210, T−: 0 | T+: 210, T−: 0 | T+: 210, T−: 0 | T+: 210, T−: 0 | T+: 210, T−: 0 | T+: 210, T−: 0 | T+: 210, T−: 0 |
| 0.00014 | 0.000517 | 0.001162 | 0.001019 | 0.002495 | 0.000892 | 0.000103 | 0.001944 | 0.108427 | ||||
| T+: 207, T−: 3 | T+: 198, T−: 12 | T+: 192, T−: 18 | T+: 193, T−: 17 | T+: 210, T−: 0 | T+: 210, T−: 0 | T+: 186, T−: 24 | T+: 194, T−: 16 | T+: 209, T−: 1 | T+: 210, T−: 0 | T+: 210, T−: 0 | T+: 188, T−: 22 | T+: 148, T−: 62 |
| T+: 210, T−: 0 | T+: 210, T−: 0 | T+: 210, T−: 0 | T+: 210, T−: 0 | T+: 210, T−: 0 | T+: 210, T−: 0 | T+: 210, T−: 0 | T+: 210, T−: 0 | T+: 210, T−: 0 | T+: 210, T−: 0 | T+: 210, T−: 0 | T+: 210, T−: 0 | T+: 210, T−: 0 |
| 0.000681 | 0.001162 | 0.00012 | 0.000449 | 0.000449 | ||||||||
| T+: 196, T−: 14 | T+: 210, T−: 0 | T+: 192, T−: 18 | T+: 208, T−: 2 | T+: 199, T−: 11 | T+: 210, T−: 0 | T+: 199, T−: 11 | T+: 210, T−: 0 | T+: 210, T−: 0 | T+: 210, T−: 0 | T+: 210, T−: 0 | T+: 210, T−: 0 | T+: 210, T−: 0 |
| T+: 210, T−: 0 | T+: 210, T−: 0 | T+: 210, T−: 0 | T+: 210, T−: 0 | T+: 210, T−: 0 | T+: 210, T−: 0 | T+: 210, T−: 0 | T+: 210, T−: 0 | T+: 210, T−: 0 | T+: 210, T−: 0 | T+: 210, T−: 0 | T+: 210, T−: 0 | T+: 210, T−: 0 |
| T+: 210, T−: 0 | T+: 210, T−: 0 | T+: 210, T−: 0 | T+: 210, T−: 0 | T+: 210, T−: 0 | T+: 210, T−: 0 | T+: 210, T−: 0 | T+: 210, T−: 0 | T+: 210, T−: 0 | T+: 210, T−: 0 | T+: 210, T−: 0 | T+: 210, T−: 0 | T+: 210, T−: 0 |
| 0.000103 | ||||||||||||
| T+: 210, T−: 0 | T+: 210, T−: 0 | T+: 210, T−: 0 | T+: 209, T−: 1 | T+: 210, T−: 0 | T+: 210, T−: 0 | T+: 210, T−: 0 | T+: 210, T−: 0 | T+: 210, T−: 0 | T+: 210, T−: 0 | T+: 210, T−: 0 | T+: 210, T−: 0 | T+: 210, T−: 0 |
| 0.000103 | 0.000293 | 0.00014 | 0.000103 | 0.00014 | 0.000103 | 0.00012 | ||||||
| T+: 209, T−: 1 | T+: 202, T−: 8 | T+: 207, T−: 3 | T+: 210, T−: 0 | T+: 210, T−: 0 | T+: 210, T−: 0 | T+: 209, T−: 1 | T+: 210, T−: 0 | T+: 210, T−: 0 | T+: 210, T−: 0 | T+: 207, T−: 3 | T+: 209, T−: 1 | T+: 208, T−: 2 |
| T+: 210, T−: 0 | T+: 210, T−: 0 | T+: 210, T−: 0 | T+: 210, T−: 0 | T+: 210, T−: 0 | T+: 210, T−: 0 | T+: 210, T−: 0 | T+: 210, T−: 0 | T+: 210, T−: 0 | T+: 210, T−: 0 | T+: 210, T−: 0 | T+: 210, T−: 0 | T+: 210, T−: 0 |
| 0.001325 | 0.000293 | 0.001713 | 0.000338 | 0.011129 | 0.000293 | 0.002204 | 0.00455 | 0.00039 | 0.000517 | |||
| T+: 191, T−: 19 | T+: 202, T−: 8 | T+: 189, T−: 21 | T+: 210, T−: 0 | T+: 201, T−: 9 | T+: 173, T−: 37 | T+: 210, T−: 0 | T+: 202, T−: 8 | T+: 187, T−: 23 | T+: 181, T−: 29 | T+: 200, T−: 10 | T+: 198, T−: 12 | T+: 210, T−: 0 |
| T+: 210, T−: 0 | T+: 210, T−: 0 | T+: 210, T−: 0 | T+: 210, T−: 0 | T+: 210, T−: 0 | T+: 210, T−: 0 | T+: 210, T−: 0 | T+: 210, T−: 0 | T+: 210, T−: 0 | T+: 210, T−: 0 | T+: 210, T−: 0 | T+: 210, T−: 0 | T+: 210, T−: 0 |
| 0.000163 | 0.00012 | |||||||||||
| T+: 210, T−: 0 | T+: 210, T−: 0 | T+: 210, T−: 0 | T+: 210, T−: 0 | T+: 206, T−: 4 | T+: 210, T−: 0 | T+: 210, T−: 0 | T+: 210, T−: 0 | T+: 210, T−: 0 | T+: 210, T−: 0 | T+: 210, T−: 0 | T+: 208, T−: 2 | T+: 210, T−: 0 |
| +:12, −:0, =:0 | +:12, −:0, =:0 | +:12, −:0, =:0 | +:12, −:0, =:0 | +:12, −:0, =:0 | +:12, −:0, =:0 | +:12, −:0, =:0 | +:12, −:0, =:0 | +:12, −:0, =:0 | +:12, −:0, =:0 | +:12, −:0, =:0 | +:12, −:0, =:0 | +:11, −:0, =:1 |
| RSA | SHO | FLO | DO | FOX | ROA | ALO | AVOA | Chimp | SHIO | OHO | POA |
|---|---|---|---|---|---|---|---|---|---|---|---|
| T+: 210, T−: 0 | T+: 210, T−: 0 | T+: 210, T−: 0 | T+: 210, T−: 0 | T+: 210, T−: 0 | T+: 210, T−: 0 | T+: 210, T−: 0 | T+: 210, T−: 0 | T+: 210, T−: 0 | T+: 210, T−: 0 | T+: 210, T−: 0 | T+: 210, T−: 0 |
| 0.018675 | 0.20433 | 0.178956 | 0.00014 | ||||||||
| T+: 168, T−: 42 | T+: 139, T−: 71 | T+: 141, T−: 69 | T+: 210, T−: 0 | T+: 207, T−: 3 | T+: 210, T−: 0 | T+: 210, T−: 0 | T+: 210, T−: 0 | T+: 210, T−: 0 | T+: 210, T−: 0 | T+: 210, T−: 0 | T+: 210, T−: 0 |
| T+: 210, T−: 0 | T+: 210, T−: 0 | T+: 210, T−: 0 | T+: 210, T−: 0 | T+: 210, T−: 0 | T+: 210, T−: 0 | T+: 210, T−: 0 | T+: 210, T−: 0 | T+: 210, T−: 0 | T+: 210, T−: 0 | T+: 210, T−: 0 | T+: 210, T−: 0 |
| T+: 210, T−: 0 | T+: 210, T−: 0 | T+: 210, T−: 0 | T+: 210, T−: 0 | T+: 210, T−: 0 | T+: 210, T−: 0 | T+: 210, T−: 0 | T+: 210, T−: 0 | T+: 210, T−: 0 | T+: 210, T−: 0 | T+: 210, T−: 0 | T+: 210, T−: 0 |
| T+: 210, T−: 0 | T+: 210, T−: 0 | T+: 210, T−: 0 | T+: 210, T−: 0 | T+: 210, T−: 0 | T+: 210, T−: 0 | T+: 210, T−: 0 | T+: 210, T−: 0 | T+: 210, T−: 0 | T+: 210, T−: 0 | T+: 210, T−: 0 | T+: 210, T−: 0 |
| T+: 210, T−: 0 | T+: 210, T−: 0 | T+: 210, T−: 0 | T+: 210, T−: 0 | T+: 210, T−: 0 | T+: 210, T−: 0 | T+: 210, T−: 0 | T+: 210, T−: 0 | T+: 210, T−: 0 | T+: 210, T−: 0 | T+: 210, T−: 0 | T+: 210, T−: 0 |
| T+: 210, T−: 0 | T+: 210, T−: 0 | T+: 210, T−: 0 | T+: 210, T−: 0 | T+: 210, T−: 0 | T+: 210, T−: 0 | T+: 210, T−: 0 | T+: 210, T−: 0 | T+: 210, T−: 0 | T+: 210, T−: 0 | T+: 210, T−: 0 | T+: 210, T−: 0 |
| 0.00012 | 0.000103 | 0.000103 | 0.00012 | ||||||||
| T+: 208, T−: 2 | T+: 210, T−: 0 | T+: 210, T−: 0 | T+: 210, T−: 0 | T+: 209, T−: 1 | T+: 209, T−: 1 | T+: 210, T−: 0 | T+: 210, T−: 0 | T+: 210, T−: 0 | T+: 208, T−: 2 | T+: 210, T−: 0 | T+: 210, T−: 0 |
| T+: 210, T−: 0 | T+: 210, T−: 0 | T+: 210, T−: 0 | T+: 210, T−: 0 | T+: 210, T−: 0 | T+: 210, T−: 0 | T+: 210, T−: 0 | T+: 210, T−: 0 | T+: 210, T−: 0 | T+: 210, T−: 0 | T+: 210, T−: 0 | T+: 210, T−: 0 |
| 0.000293 | 0.000517 | 0.000449 | 0.000219 | 0.000892 | 0.008968 | 0.000254 | 0.000189 | 0.000103 | |||
| T+: 210, T−: 0 | T+: 210, T−: 0 | T+: 202, T−: 8 | T+: 198, T−: 12 | T+: 199, T−: 11 | T+: 204, T−: 6 | T+: 194, T−: 16 | T+: 175, T−: 35 | T+: 203, T−: 7 | T+: 210, T−: 0 | T+: 205, T−: 5 | T+: 209, T−: 1 |
| T+: 210, T−: 0 | T+: 210, T−: 0 | T+: 210, T−: 0 | T+: 210, T−: 0 | T+: 210, T−: 0 | T+: 210, T−: 0 | T+: 210, T−: 0 | T+: 210, T−: 0 | T+: 210, T−: 0 | T+: 210, T−: 0 | T+: 210, T−: 0 | T+: 210, T−: 0 |
| T+: 210, T−: 0 | T+: 210, T−: 0 | T+: 210, T−: 0 | T+: 210, T−: 0 | T+: 210, T−: 0 | T+: 210, T−: 0 | T+: 210, T−: 0 | T+: 210, T−: 0 | T+: 210, T−: 0 | T+: 210, T−: 0 | T+: 210, T−: 0 | T+: 210, T−: 0 |
| +:12, −:0, =:0 | +:11, −:0, =:1 | +:11, −:0, =:1 | +:12, −:0, =:0 | +:12, −:0, =:0 | +:12, −:0, =:0 | +:12, −:0, =:0 | +:12, −:0, =:0 | +:12, −:0, =:0 | +:12, −:0, =:0 | +:12, −:0, =:0 | +:12, −:0, =:0 |
References
- Chou, J.S.; Truong, D.N. A novel metaheuristic optimizer inspired by behavior of jellyfish in ocean. Appl. Math. Comput. 2021, 389, 125535. [Google Scholar] [CrossRef]
- Zhong, C.; Li, G.; Meng, Z. Beluga whale optimization: A novel nature-inspired metaheuristic algorithm. Knowl.-Based Syst. 2022, 251, 109215. [Google Scholar]
- Oftadeh, R.; Mahjoob, M.J.; Shariatpanahi, M. A novel meta-heuristic optimization algorithm inspired by group hunting of animals: Hunting search. Comput. Math. Appl. 2010, 60, 2087–2098. [Google Scholar] [CrossRef]
- Huang, S.; Zhao, G.; Chen, M. Novel adaptive quantum-inspired bacterial foraging algorithms for global optimization. Int. J. Innov. Comput. Inf. Control 2017, 13, 1649–1664. [Google Scholar]
- Zhou, X.; Guo, Y.; Yan, Y.; Huang, Y.; Xue, Q. Migration Search Algorithm: A Novel Nature-Inspired Metaheuristic Optimization Algorithm. J. Netw. Intell. 2023, 8, 869–882. [Google Scholar]
- Anaraki, M.V.; Farzin, S. Humboldt Squid Optimization Algorithm (HSOA): A Novel Nature-Inspired Technique for Solving Optimization Problems. IEEE Access 2023, 12, 122069. [Google Scholar] [CrossRef]
- Tourani, M. Elymus Repens Optimization (ERO); A Novel Agricultural-Inspired Algorithm. J. Inf. Syst. Telecommun. (JIST) 2024, 3, 170. [Google Scholar]
- Houssein, E.H.; Oliva, D.; Samee, N.A.; Mahmoud, N.F.; Emam, M.M. Liver Cancer Algorithm: A novel bio-inspired optimizer. Comput. Biol. Med. 2023, 165, 107389. [Google Scholar] [CrossRef] [PubMed]
- Maroosi, A.; Muniyandi, R.C. A novel membrane-inspired multiverse optimizer algorithm for quality of service-aware cloud web service composition with service level agreements. Int. J. Commun. Syst. 2023, 36, e5483. [Google Scholar] [CrossRef]
- Shijie, Z.; Shilin, M.; Leifu, G.; Dongmei, Y. A Novel Quantum Entanglement-Inspired Meta-heuristic Framework for Solving Multimodal Optimization Problems. Chin. J. Electron. 2021, 30, 145–152. [Google Scholar] [CrossRef]
- Yin, H.; Zheng, X.; Wen, G.; Zhang, C.; Wu, Z. Design optimization of a novel bio-inspired 3D porous structure for crashworthiness. Compos. Struct. 2021, 255, 112897. [Google Scholar] [CrossRef]
- Kanagasabai, L. Novel Commercial Pilot Preparation, Mindarinae and Formica Fusca Rapport Inspired, Red-footed Booby Optimization Algorithms for Real Power Loss Reduction and Voltage Stability Expansion. J. Eng. Sci. Technol. Rev. 2023, 16, 138. [Google Scholar] [CrossRef]
- Diab, H.Y.; Abdelsalam, M. A Novel Technique for the Optimization of Energy Cost Management and Operation of Microgrids Inspired from the Behavior of Egyptian Stray Dogs. Inventions 2024, 9, 88. [Google Scholar] [CrossRef]
- Ghanbari, S.; Ghasabehi, M.; Asadi, M.R.; Shams, M. An inquiry into transport phenomena and artificial intelligence-based optimization of a novel bio-inspired flow field for proton exchange membrane fuel cells. Appl. Energy 2024, 376, 124260. [Google Scholar] [CrossRef]
- Nourmohammadzadeh, A.; Hartmann, S. Fuel-efficient truck platooning by a novel meta-heuristic inspired from ant colony optimisation. Soft Comput. 2019, 23, 1439–1452. [Google Scholar] [CrossRef]
- Panigrahi, B.S.; Nagarajan, N.; Prasad, K.D.; Sathya; Salunkhe, S.S.; Kumar, P.D.; Kumar, M.A. Novel nature-inspired optimization approach-based svm for identifying the android malicious data. Multimed. Tools Appl. 2024, 83, 71579–71597. [Google Scholar] [CrossRef]
- Qiu, Y.; Zhou, J. Novel rockburst prediction criterion with enhanced explainability employing CatBoost and nature-inspired metaheuristic technique. Undergr. Space 2024, 19, 101–118. [Google Scholar] [CrossRef]
- Chiang, H.S.; Sangaiah, A.K.; Chen, M.Y.; Liu, J.Y. A Novel Artificial Bee Colony Optimization Algorithm with SVM for Bio-inspired Software-Defined Networking. Int. J. Parallel Program. 2020, 48, 310–328. [Google Scholar] [CrossRef]
- İlhan, H.; Elbir, A.; Serbes, G.; Aydin, N. The Evaluation of Nature-Inspired Optimization Techniques for Contrast Enhancement in Images: A Novel Software Tool. Trait. Signal 2023, 40, 1305–1318. [Google Scholar] [CrossRef]
- Arya, P.; Pandey, A.K.; Gopal, S.; Patro, K.; Tiwari, K.; Panigrahi, N.; Naveed, Q.; Lasisi, A.; Khan, W.A. MSCMGTB: A Novel Approach for Multimodal Social Media Content Moderation Using Hybrid Graph Theory and Bio-Inspired Optimization. IEEE Access 2024, 12, 73700–73718. [Google Scholar] [CrossRef]
- Alatas, B.; Bozkurt, O. A physics-based novel approach for travelling tournament problem: Optics inspired optimization. Inf. Technol. Control 2019, 9, 373–388. [Google Scholar] [CrossRef]
- Tian, A.Q.; Liu, F.F.; Lv, H.X. Snow Geese Algorithm: A novel migration-inspired meta-heuristic algorithm for constrained engineering optimization problems. Appl. Math. Model. 2024, 126, 327–347. [Google Scholar] [CrossRef]
- Sharma, P.; Raju, S. Metaheuristic optimization algorithms: A comprehensive overview and classification of benchmark test functions. Soft Comput. 2024, 28, 3123–3186. [Google Scholar] [CrossRef]
- Tomar, V.; Bansal, M.; Singh, P. Metaheuristic Algorithms for Optimization: A Brief Review. Eng. Proc. 2023, 59, 238. [Google Scholar] [CrossRef]
- Pan, J.; Hu, P.; Snášel, V.; Chu, S. A survey on binary metaheuristic algorithms and their engineering applications. Artif. Intell. Rev. 2023, 56, 6101–6167. [Google Scholar] [CrossRef]
- Hathal, H.M.; Ali, R.S.; Abdullah, A.S. A novel metaheuristic moss-rose-inspired algorithm with engineering applications. Electronics 2021, 10, 1877. [Google Scholar] [CrossRef]
- Dalla Vedova, M.; Berri, P.C.; Re, S. Novel metaheuristic bio-inspired algorithms for prognostics of onboard electromechanical actuators. Int. J. Mech. Control 2018, 19, 95–101. [Google Scholar]
- Prajna, K.; Mukhopadhyay, C.K. Acoustic Emission Denoising Based on Bio-inspired Antlion Optimization: A Novel Technique for Structural Health Monitoring. J. Vib. Eng. Technol. 2024, 12, 7671–7687. [Google Scholar] [CrossRef]
- Rodríguez-Gallegos, F.L.; Rodríguez-Gallegos, C.A.; Rodríguez-Gallegos, A.A.; Rodríguez-Gallegos, C.D. Natural reforestation optimization (NRO): A novel optimization algorithm inspired by the reforestation process. J. Comput. Sci. 2020, 16, 1172–1184. [Google Scholar] [CrossRef]
- Peraza-Vázquez, H.; Merino, M.A.; Peña-Delgado, A.F. A novel metaheuristic inspired by horned lizard defense tactics. Artif. Intell. Rev. 2024, 57, 59. [Google Scholar] [CrossRef]
- Liang, Z.; Shu, T.; Ding, Z. A Novel Improved Whale Optimization Algorithm for Global Optimization and Engineering Applications. Mathematics 2024, 12, 636. [Google Scholar] [CrossRef]
- Yin, L.; Cao, X. Quantum-inspired distributed policy-value optimization learning with advanced environmental forecasting for real-time generation control in novel power systems. Eng. Appl. Artif. Intell. 2024, 129, 107640. [Google Scholar] [CrossRef]
- Tian, Z.; Gai, M. Football team training algorithm: A novel sport-inspired meta-heuristic optimization algorithm for global optimization. Expert Syst. Appl. 2024, 245, 123088. [Google Scholar] [CrossRef]
- Kanagasabai, L. Novel train heist optimization and logistic chaotic map based freshman learning process inspired algorithm for solving the optimal power flow problem. Suranaree J. Sci. Technol. 2024, 31, 010321. [Google Scholar] [CrossRef]
- Kanagasabai, L. Novel reminiscence inspired and approximation based measurement of mount kailash optimization algorithms. Suranaree J. Sci. Technol. 2024, 31, 1. [Google Scholar] [CrossRef]
- Nemati, M.; Zandi, Y.; Agdas, A.S. Application of a novel metaheuristic algorithm inspired by stadium spectators in global optimization problems. Sci. Rep. 2024, 14, 3078. [Google Scholar] [CrossRef]
- Shu, T.; Pan, Z.; Ding, Z. Resource scheduling optimization for industrial operating system using deep reinforcement learning and WOA algorithm. Expert Syst. Appl. 2024, 255, 124765. [Google Scholar] [CrossRef]
- Karim, F.K.; Khafaga, D.S.; Eid, M.M.; Towfek, S.K.; Alkahtani, H.K. A Novel Bio-Inspired Optimization Algorithm Design for Wind Power Engineering Applications Time-Series Forecasting. Biomimetics 2023, 8, 321. [Google Scholar] [CrossRef] [PubMed]
- Almazroi, A.A.; ul Hassan, C.A. Nature-inspired solutions for energy sustainability using novel optimization methods. Plos ONE 2023, 18, e0288490. [Google Scholar] [CrossRef]
- Leong, K.H.; Abdul-Rahman, H.; Wang, C.; Onn, C.C.; Loo, S.C. Bee inspired novel optimization algorithm and mathematical model for effective and efficient route planning in railway system. PLoS ONE 2016, 11, e0166064. [Google Scholar] [CrossRef] [PubMed]
- Xu, Z.H.; Deng, Y.K.; Wang, Y. A Novel Optimization Framework for Classic Windows Using Bio-Inspired Methodology. Circuits Syst. Signal Process. 2016, 35, 693–703. [Google Scholar] [CrossRef]
- Haddadi, Y.R.; Mansouri, B.; Khodja, F.Z. A novel bio-inspired optimization algorithm for medical image restoration using Enhanced Regularized Inverse Filtering. Res. Biomed. Eng. 2023, 39, 233–244. [Google Scholar] [CrossRef]
- Lari, S.M.; Mojra, A.; Rokni, M. Simultaneous localization of multiple tumors from thermogram of tissue phantom by using a novel optimization algorithm inspired by hunting dogs. Comput. Biol. Med. 2019, 112, 103377. [Google Scholar] [CrossRef]
- Akopov, A.S. Parallel genetic algorithm with fading selection. Int. J. Comput. Appl. Technol. 2014, 49, 325–331. [Google Scholar] [CrossRef]
- Güyagüler, B.; Gümrah, F. Gas Production Rate Optimization by Genetic Algorithm. Energy Sources 2001, 23, 295–304. [Google Scholar] [CrossRef]
- Akopov, A.S.; Beklaryan, A.L.; Zhukova, A.A. Optimization of Characteristics for a Stochastic Agent-Based Model of Goods Exchange with the Use of Parallel Hybrid Genetic Algorithm. Cybern. Inf. Technol. 2023, 23, 87–104. [Google Scholar] [CrossRef]
- Akopov, A.S. A Clustering-Based Hybrid Particle Swarm Optimization Algorithm for Solving a Multisectoral Agent-Based Model. Stud. Informatics Control 2024, 33, 83–95. [Google Scholar] [CrossRef]
- Akopov, A.S. An Improved Parallel Biobjective Hybrid Real-Coded Genetic Algorithm with Clustering-Based Selection. Cybern. Inf. Technol. 2024, 24, 32–49. [Google Scholar] [CrossRef]
- Yue, S.; Rind, F.C.; Keil, M.S.; Cuadri, J.; Stafford, R. A bio-inspired visual collision detection mechanism for cars: Optimisation of a model of a locust neuron to a novel environment. Neurocomputing 2006, 69, 1591–1598. [Google Scholar] [CrossRef]
- Hu, G.; Huang, F.; Chen, K.; Wei, G. MNEARO: A meta swarm intelligence optimization algorithm for engineering applications. Comput. Methods Appl. Mech. Eng. 2024, 419, 116664. [Google Scholar] [CrossRef]
- Wang, K.; Shu, T.; Yin, X.; Xia, J. A multi-strategy improved manta ray foraging optimization for engineering applications. Clust. Comput. 2025, 28, 472. [Google Scholar] [CrossRef]
- Hashim, F.A.; Houssein, E.H.; Mabrouk, M.S.; Al-Atabany, W.; Mirjalili, S. Henry gas solubility optimization: A novel physics-based algorithm. Future Gener. Comput. Syst. 2019, 101, 646–667. [Google Scholar] [CrossRef]
- Latha, V.; Karthikeyan, P. Optimization of stepped cantilever beam design using genetic algorithms. Int. J. Mech. Sci. 2015, 105, 60–69. [Google Scholar]
Disclaimer/Publisher’s Note: The statements, opinions and data contained in all publications are solely those of the individual author(s) and contributor(s) and not of MDPI and/or the editor(s). MDPI and/or the editor(s) disclaim responsibility for any injury to people or property resulting from any ideas, methods, instructions or products referred to in the content. |
© 2025 by the authors. Licensee MDPI, Basel, Switzerland. This article is an open access article distributed under the terms and conditions of the Creative Commons Attribution (CC BY) license (https://creativecommons.org/licenses/by/4.0/).
Share and Cite
Zraqou, J.; Alnsour, A.; Alrousan, R.; Fakhouri, H.N.; Halalsheh, N. Enhanced Henry Gas Solubility Optimization for Solving Data and Engineering Design Problems. Eng 2025, 6, 374. https://doi.org/10.3390/eng6120374
Zraqou J, Alnsour A, Alrousan R, Fakhouri HN, Halalsheh N. Enhanced Henry Gas Solubility Optimization for Solving Data and Engineering Design Problems. Eng. 2025; 6(12):374. https://doi.org/10.3390/eng6120374
Chicago/Turabian StyleZraqou, Jamal, Ayman Alnsour, Riyad Alrousan, Hussam N. Fakhouri, and Niveen Halalsheh. 2025. "Enhanced Henry Gas Solubility Optimization for Solving Data and Engineering Design Problems" Eng 6, no. 12: 374. https://doi.org/10.3390/eng6120374
APA StyleZraqou, J., Alnsour, A., Alrousan, R., Fakhouri, H. N., & Halalsheh, N. (2025). Enhanced Henry Gas Solubility Optimization for Solving Data and Engineering Design Problems. Eng, 6(12), 374. https://doi.org/10.3390/eng6120374

