Next Article in Journal
Thermal Analysis of the Electronic Equipment Cabin of Vehicles Under Long-Endurance and High-Speed Flight Conditions
Previous Article in Journal
Demagnetization Fault Diagnosis Based on Coupled Multi-Physics Characteristics of Aviation Permanent Magnet Synchronous Motor
Previous Article in Special Issue
A Multi-Objective Point Response Prediction Method for Vertical Tail Buffeting Based on Elastic Scaling Transformation
 
 
Font Type:
Arial Georgia Verdana
Font Size:
Aa Aa Aa
Line Spacing:
Column Width:
Background:
Article

Data-Driven Adaptive Control of Transonic Buffet via Localized Morphing Skin

1
Key Laboratory for Mechanics in Fluid Solid Coupling Systems, Institute of Mechanics, Chinese Academy of Sciences, Beijing 100190, China
2
School of Future Technology, University of Chinese Academy of Sciences, Beijing 100049, China
3
School of Engineering Science, University of Chinese Academy of Sciences, Beijing 100049, China
*
Author to whom correspondence should be addressed.
Aerospace 2026, 13(1), 40; https://doi.org/10.3390/aerospace13010040
Submission received: 3 December 2025 / Revised: 27 December 2025 / Accepted: 28 December 2025 / Published: 30 December 2025

Abstract

Transonic shock buffet, characterized by large-amplitude self-sustained shock oscillations arising from shock wave/boundary layer interactions, poses significant challenges to aircraft handling quality and structural integrity. Conventional control strategies for buffet suppression typically require prior knowledge of unstable steady-state solutions or time-averaged flow fields and are only applicable to fixed-flow conditions, rendering them inadequate for realistic flight scenarios involving time-varying parameters. This study proposes a data-driven adaptive control framework for transonic buffet suppression utilizing localized morphing skin as the actuation mechanism. The control system employs a Multi-Layer Perceptron neural network that dynamically adjusts the local skin height based on lift coefficient feedback, with the target lift coefficient determined through a moving average method. Numerical simulations on the NACA0012 airfoil demonstrate that the optimal actuator configuration—a skin length of 0.2c with maximum deformation positioned at 0.65c—achieves effective buffet suppression with minimal settling time. Beyond this baseline case, the proposed method exhibits robust performance across different flow conditions. Furthermore, the controller successfully suppresses buffet under time-varying flow conditions, including simultaneous variations in Mach number and angle of attack. These results demonstrate the potential of the proposed framework for practical aerospace applications.

1. Introduction

Within a narrow band of flight conditions in the transonic regime, interactions between shock waves and intermittently separated boundary layers give rise to large-amplitude, self-sustained shock oscillations—a phenomenon known as transonic shock buffet. First observed by Hilton and Fowler in the 1950s [1], this aerodynamic instability has been the subject of extensive research for over seven decades. The physical mechanisms underlying transonic buffet have been investigated from multiple perspectives: Lee [2] proposed a self-excited feedback model in which pressure waves propagate from the trailing edge to the shock foot, driving the shock oscillation, while Crouch et al. [3] attributed the origin of transonic buffet to a global flow instability. It is now widely recognized that the shock wave/boundary layer interaction and flow separation on upper wing surfaces exhibit strongly unsteady and nonlinear characteristics, which are triggered when the Mach number or angle of attack exceeds certain thresholds [4,5,6]. The resulting unsteady aerodynamic loads are detrimental to both aircraft handling quality and structural integrity, potentially interfering with flight control systems or even causing structural failure [7]. Consequently, these flow conditions must be excluded from the operational flight envelope. Given these constraints, attenuating transonic buffet remains a problem of substantial interest in aerospace engineering, as it addresses one of the most limiting aeroelastic phenomena in the transonic flight regime [8].
Numerous research efforts have been devoted to suppressing transonic buffet through both passive and active control strategies. Passive control methods primarily include vortex generators (VGs) [9], shock control bumps (SCBs) [10,11], and porous trailing edges [8]. Vortex generators have a significant impact on separated flows and can delay buffet onset at higher incidence angles, but their use may incurs a drag penalty at cruise conditions [9]. Shock control bumps have been widely studied for their ability to weaken shock intensity and delay buffet boundary by spreading the pressure rise over a larger region. However, a fundamental limitation of passive SCBs is that their position and shape are fixed, meaning they can only eliminate buffeting loads within a limited range of incoming flow states and may degrade aerodynamic performance in non-buffeting conditions [12,13,14].
Active control strategies, on the other hand, offer greater flexibility in adapting to varying flow conditions. Trailing edge deflectors (TEDs) [15], trailing edge flaps (TEFs) [16,17,18,19], and jet-based active flow control [20] have demonstrated considerable effectiveness in suppressing buffet. Caruana et al. [15] showed that selected deflections of the trailing edge deflector can increase the wing’s aerodynamic performance and delay the onset of buffet. Furthermore, in closed-loop active control using measurements of unsteady wall static pressures, TEDs can significantly reduce buffet. Gao et al. [17] proposed a closed-loop control strategy using trailing edge flap with lift coefficient feedback, showing that buffet can be completely suppressed through optimized delay time that achieves reversed-phase relationship between flap rotation and lift response. Jet-based active flow control has also been investigated [20], where physics-guided control frameworks based on resolvent analysis can determine optimal jet positions and angles for buffet suppression.
While trailing edge devices have proven effective, their location far from the shock wave region inherently limits control authority and response speed. Localized morphing skin (also referred to as “local smart skin” or “active shock control bump”) represents an innovative actuator concept that combines the advantages of both passive shock control bumps and active trailing edge devices [21,22,23]. Unlike fixed-geometry shock control bumps, the morphing skin can dynamically adjust the local surface height in response to real-time flow feedback. Since the actuator height is dynamically adjusted only after the occurrence of transonic buffet, the smart skin can suppress fluctuating loads without affecting aerodynamic performance in non-buffeting conditions. Ren et al. [22] proposed a smart skin system that employs model-free adaptive control to dynamically adjust the local skin height based on lift coefficient feedback. The numerical results demonstrated that buffet loads can be completely suppressed while preserving aerodynamic performance in buffeting conditions, and the control strategy exhibits robustness across different flow states. Deng et al. [23] applied closed-loop control with lift coefficient feedback to an active shock control bump (SCB), demonstrating that buffet can be effectively suppressed through appropriate tuning of the gain and delay time. Notably, compared to trailing edge flaps, SCB-based control exhibits lower sensitivity to control parameters and achieves a faster response time, further highlighting the potential of near-shock actuation strategies.
In complex flight environments, flow states can be altered by multiple disturbances and uncertain factors, necessitating the automatic adjustment of control laws to adapt to changing flow conditions. Although considerable progress has been made in transonic buffet control using localized morphing skin actuators under fixed flow conditions, buffet control under time-varying flow parameters remains largely unexplored. Practical application scenarios often involve dynamic variations in Mach number and angle of attack during flight maneuvers [24]. Under such conditions, the aforementioned control strategies face two fundamental limitations: first, control laws optimized for fixed flow conditions cannot maintain their suppression performance as flow parameters evolve; second, these methods rely on prior knowledge of the unstable steady-state solution or time-averaged flow field to determine the reference lift coefficient C L _ 0 , which is often difficult to access in practice. From a control perspective, this implies that existing closed-loop strategies based on localized morphing skin actuators are typically effective only around fixed operating points, as they rely on pre-identified reference lift coefficients and exhibit limited capability for buffet suppression under time-varying flow conditions. These constraints collectively render existing methodologies inapplicable to realistic flight scenarios.
Recent advances in artificial intelligence and machine learning have opened up new avenues for addressing transonic buffet challenges. Neural network approaches have been increasingly applied to various aspects of buffet phenomena, primarily focusing on buffet onset prediction [25,26,27] and reduced-order modeling [28,29,30]. For instance, Wang et al. [25] developed a CNN-based buffet classifier integrated with explainable machine learning techniques to establish interpretable physical metrics for accurate onset prediction in supercritical airfoil design. Zahn et al. [28] presented a hybrid deep learning framework combining a convolutional variational autoencoder with an LSTM neural network to predict transonic buffet pressure distributions from experimental wind tunnel data, successfully capturing the dominant buffet flow features. Despite these advances in prediction and analysis, research on NN-based buffet control remains limited. Among the few existing studies, most have focused on traditional actuators such as trailing-edge flaps [18,19] or employed optimization algorithms for airfoil shape design [31]. Notably, the integration of data-driven adaptive control with localized morphing skin actuators for transonic buffet suppression remains largely unexplored. This combination is particularly promising, as adaptive control strategies can learn from real-time flow measurements to naturally accommodate time-varying flow conditions, with the potential to achieve effective buffet suppression across diverse operating conditions.
In the present study, we propose a data-driven adaptive control framework for transonic buffet suppression utilizing localized morphing skin as the actuation mechanism. The principal novelty of this work lies in the integration of neural network-based adaptive control strategies with localized morphing skin actuators. This approach overcomes the fundamental limitation of conventional methods, namely the requirement for unstable steady-state solutions, while enabling real-time adaptive buffet suppression under time-varying flow conditions. Within this framework, the lift coefficient serves as the feedback signal, with the local skin height dynamically adjusted through the proposed data-driven algorithm. As a model-free approach, this methodology eliminates the necessity of establishing an accurate mathematical model of the flow system while achieving robust buffet suppression. The proposed framework is validated through numerical simulations, demonstrating its capability to suppress fluctuating aerodynamic oscillations and maintain stable aerodynamic performance under varying flow conditions.
The remainder of this paper is organized as follows. Section 2 introduces the control system, including the intelligent localized morphing skin actuator and the neural network-based adaptive control strategy. Section 3 describes the numerical methodology, encompassing the unsteady Navier-Stokes equation solver and its validation. Section 4 presents the results, examining the effects of actuator configuration on buffet control and evaluating the control performance under both different flow conditions and time-varying flow conditions. Finally, Section 5 summarizes the main conclusions and outlines directions for future research.

2. Control System

2.1. Intelligent Localized Morphing Skin

The intelligent localized morphing skin integrates distributed sensors, micro-actuators, and a microprocessor-based control architecture to enable adaptive wing surface deformation [32,33]. Figure 1 illustrates the schematic diagram of the localized morphing skin actuator, whose geometry is defined by the Hicks–Henne shape function [34]. This parametric representation is characterized by four variables: the initial position x 0 , the skin length l, the normalized crest location x h _ m a x / l , and the deformation amplitude h. The shape function is expressed as:
f ( x n ) = h H ( x n ) H ( x n ) = sin 4 ( π x n p ) ,   p = ln ( 1 / 2 ) ln ( x h _ m a x / l )
where x n denotes the dimensionless chordwise coordinate within the deformation region, satisfying 0 x n = ( x x 0 ) / l 1 . In the present study, the skin exhibits a symmetrical profile centered at x h _ m a x / l = 1 / 2 .
This system is specifically designed to mitigate transonic buffet through targeted flow manipulation at critical locations on the wing surface. The control strategy relies on real-time aerodynamic feedback to adjust the actuator output dynamically. Rather than using localized pressure measurements, which tend to exhibit high-frequency fluctuations and noise, the system employs the lift coefficient as the control feedback parameter. This choice is motivated by the fact that the lift coefficient, derived from the integration of surface pressure, provides a more stable and representative measure of the overall aerodynamic state. This approach simplifies the sensor configuration while maintaining control accuracy.

2.2. Neural Network-Based Adaptive Control

To achieve effective control of transonic buffet, an adaptive control strategy based on neural network is developed in this work. The control framework pursues two primary objectives: (1) suppression of lift coefficient oscillations induced by transonic buffet and (2) minimization of actuator displacement, with the ultimate goal of achieving zero steady-state actuation. The overall architecture of the neural network-based adaptive control system is presented in Figure 2.
The adaptive controller utilizes a Multi-Layer Perceptron (MLP) neural network to compute real-time control commands for the morphing skin actuator. The network features an n in - n h - n out architecture (where n in = 4 , n h = 4 , n out = 1 ), comprising an input layer with n in neurons representing historical tracking errors, a hidden layer with n h neurons employing hyperbolic tangent activation functions, and n out output neuron producing the control height command. The input vector at time step t is defined as
x ( t ) = [ e ( t ) , e ( t 1 ) , , e ( t n in + 1 ) ] T
where e ( t ) = C L _ t a r g e t ( t ) C L ( t ) denotes the tracking error between the desired lift coefficient C L _ t a r g e t and the current value C L . In this study, the desired lift coefficient C L _ t a r g e t is dynamically determined using a moving average method, expressed as follows:
C L _ t a r g e t ( t ) = 1 s i = 0 s 1 C L ( t i )
This approach addresses a fundamental challenge: the unstable steady-state solution and its associated lift coefficient are typically unknown a priori in transonic buffet conditions. By continuously averaging the instantaneous lift coefficient measurements over a sliding window, the controller adaptively establishes a reference trajectory. This strategy enables the effective suppression of buffet-induced lift coefficient oscillations without requiring explicit knowledge of the theoretical steady state, thereby ensuring robust performance and closed-loop stability.
The forward propagation through the network is computed as follows. For the hidden layer,
h i = tanh j = 1 n in w 1 , j i x j + b 1 , i ,   i = 1 , , n h
where w 1 , j i represents the connection weight from input j to hidden neuron i, and b 1 , i is the corresponding bias term. The output layer produces
Δ h ( t ) = i = 1 n h w 2 , i h i + b 2
where w 2 , i denotes output weights, b 2 is the output bias, and Δ h ( t ) denotes the incremental change in actuator height, corresponding to the network output.
To accomplish the dual objectives of oscillation suppression and actuator height convergence to zero, the training process incorporates a composite loss function:
J total = e ( t ) + λ h · h ( t )
where λ h = 0.18 is the height penalty weight that balances tracking error against skin deformation magnitude. This formulation encourages the controller to minimize lift coefficient deviations while simultaneously reducing actuator displacement. The network parameters are updated using gradient descent with momentum and L2 regularization. The output gradient is computed as δ out = e eff ( t ) , where e eff ( t ) represents the effective error after applying dead-zone filtering. Hidden layer gradients are derived through backpropagation as:
δ h , i = δ out w 2 , i · 1 tanh 2 ( z h , i )
where z h , i = j = 1 n in w 1 , j i x j + b 1 , i denotes the net input to hidden neuron i. To prevent gradient explosion, gradient clipping is applied when the gradient norm g 2 = i = 1 n h δ h , i 2 + δ out 2 exceeds g max = 1.0 , scaling all gradients by g max / g 2 .
The weight updates incorporate momentum through
v w 2 ( t + 1 ) = β v w 2 ( t ) η eff δ out h T + γ w 2
w 2 ( t + 1 ) = w 2 ( t ) + v w 2 ( t + 1 )
where β = 0.8 is the momentum coefficient, γ = 0.01 is the weight decay coefficient, and η eff is an adaptive learning rate with a base value of η = 0.001 that decreases for large errors to enhance stability. Similar updates apply to first-layer weights w 1 and all bias terms. The comprehensive framework presented herein enables neural network controllers to establish complex nonlinear mappings between historical error patterns and optimal control responses, thereby facilitating effective transonic buffeting suppression.

3. Numerical Method

3.1. Unsteady Navier-Stokes Equation Solver

The present study employs a density-based Computational Fluid Dynamics (CFD) solver with time-derivative preconditioning to address numerical stiffness at low Mach numbers. For unsteady calculations, the dual-time stepping strategy is implemented. The governing Navier–Stokes equations can be expressed in the integral form as
t W d V + Γ τ Q d V + [ F G ] d A = M d V
where V denotes the control volume and A represents the differential surface area. W and Q are the conservative and primitive variables, respectively, and Γ is the preconditioning matrix. F and G represent the inviscid and viscous fluxes, respectively, while M contains the source terms. The variables t and τ denote the physical and pseudo time, respectively.
In this work, the governing equations are solved using the finite volume method. The flow equations are discretized using the third-order Monotonic Upstream-centered Scheme for Conservation Laws (MUSCL), while the turbulent equations are discretized using the second-order scheme. More details on the numerical method can be found in Refs. [35,36].

3.2. Method Validation

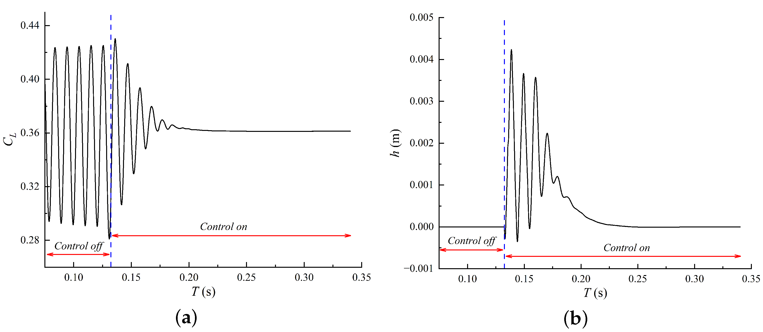
To validate the numerical method, simulations of transonic buffet over the NACA0012 airfoil are performed. The flow condition of M a = 0.7 , A o A = 5.5 , and R e = 3 × 10 6 is selected based on the well-documented transonic buffet experiment by Doerffer et al. [37], where significant unsteady loads are observed in the post-buffet regime. Figure 3 shows the computational grid, in which the domain boundaries are located at least 50 chord lengths away from the airfoil, and pressure far-field boundary conditions are applied.
To verify grid independence, three meshes with different refinement levels were employed in this study. All simulations were executed using ANSYS FLUENT 2021R1 with the Stress-Omega Reynolds Stress Model (SORSM) for turbulence closure. Temporal integration was performed using a dual time-stepping algorithm with a physical time step of Δ t = 2 × 10 5 s, maintaining a Courant–Friedrichs–Lewy (CFL) number of 5. Each physical time step incorporated 50 sub-iterations to ensure convergence. The characteristics of the three grids and the corresponding computed lift coefficient amplitudes and buffeting frequencies are summarized in Table 1. The results indicate that Grid 2 and Grid 3 yield nearly identical predictions, suggesting adequate grid resolution. Considering both accuracy and computational efficiency, Grid 2 was selected for all subsequent simulations. This numerical method has been extensively validated against various buffeting conditions, with further details available in our previous studies [35,38].

4. Results

To validate the effectiveness of the proposed method for transonic buffet control, this study adopts a three-stage approach. First, we investigate the influence of actuator configuration on transonic buffet control, focusing on the effects of morphing skin length and chordwise position. Second, we apply the proposed method to buffet control under different flow conditions to demonstrate its robustness. Finally, we extend the control method to time-varying flow conditions to further evaluate its adaptive control performance.

4.1. Effects of Actuator Configuration on Buffet Control

To investigate the effects of actuator configuration on buffet control performance, a baseline flow condition is established with a Mach number of M a = 0.70 , angle of attack of A o A = 5.5 , temperature of T = 298 K, and Reynolds number of R e = 3 × 10 6 . Parametric studies are conducted to examine how skin length and position influence the buffet suppression effectiveness under this representative transonic flow condition.
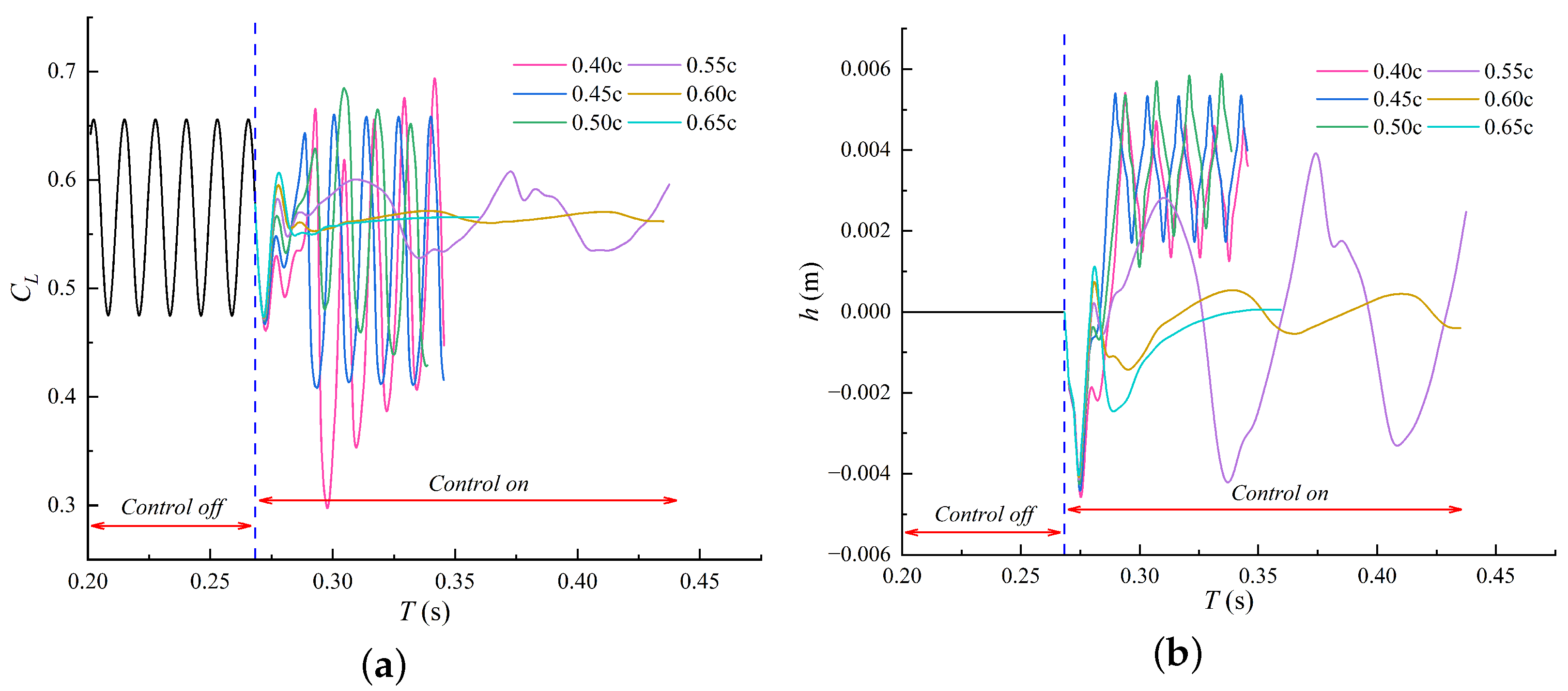
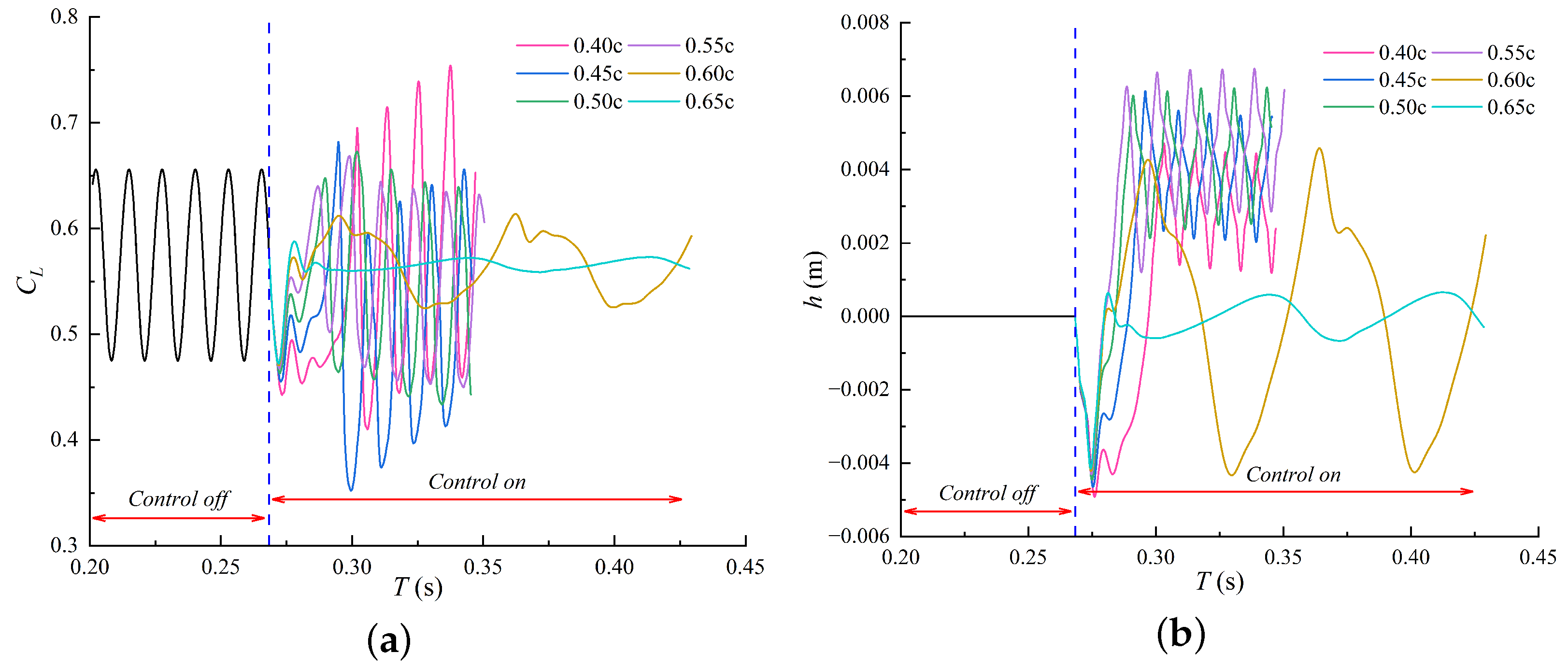
The influence of skin position is first examined by fixing the skin length and systematically varying the chordwise location of maximum height. Figure 4, Figure 5, Figure 6 and Figure 7 present the buffet control results for four different skin lengths ( 0.1 c , 0.2 c , 0.3 c , and 0.4 c ), where each configuration is tested at multiple chordwise positions ranging from 0.40 c to 0.65 c . Here, the notation 0.40 c , 0.45 c , 0.50 c , 0.55 c , 0.60 c , and 0.65 c denotes the chordwise location at which the maximum height of the morphing skin occurs. For each skin length, the lift coefficient ( C L ) and actuator height (h) responses are compared across these different positions to evaluate the control performance, with the vertical dashed line indicating the moment of control activation transitioning from the uncontrolled state (“Control off”) to the controlled state (“Control on”). A quantitative summary of the control performance for all tested configurations, including control success and settling time, is provided in Table 2.
The results demonstrate that both the chordwise position and length of the morphing skin significantly influence the control effectiveness. When the maximum height of the morphing skin is located at chordwise position less than 0.50 c , effective suppression of transonic buffet cannot be achieved regardless of the skin length. Moreover, this deficiency becomes increasingly pronounced with increasing skin length. Among the tested configurations, the 0.1 c skin length exhibits the most favorable overall control performance. Under this skin length configuration, effective transonic buffet control can be achieved for nearly all tested positions except when the skin maximum height is located at 0.4 c and 0.45 c . Conversely, excessive skin lengths prove detrimental to control effectiveness; configurations with skin lengths of 0.3 c and 0.4 c fail to achieve effective buffet suppression across all tested chordwise positions, exhibiting persistent oscillations and unstable control behavior. Notably, the variation in skin position and length exerts minimal influence on the maximum deformation amplitude of the morphing surface.
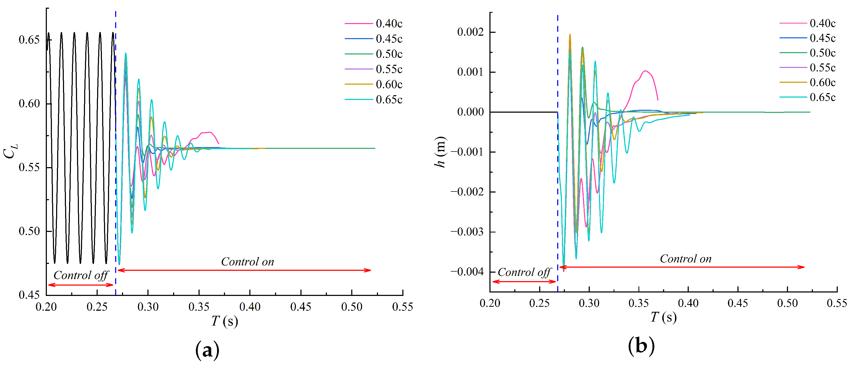
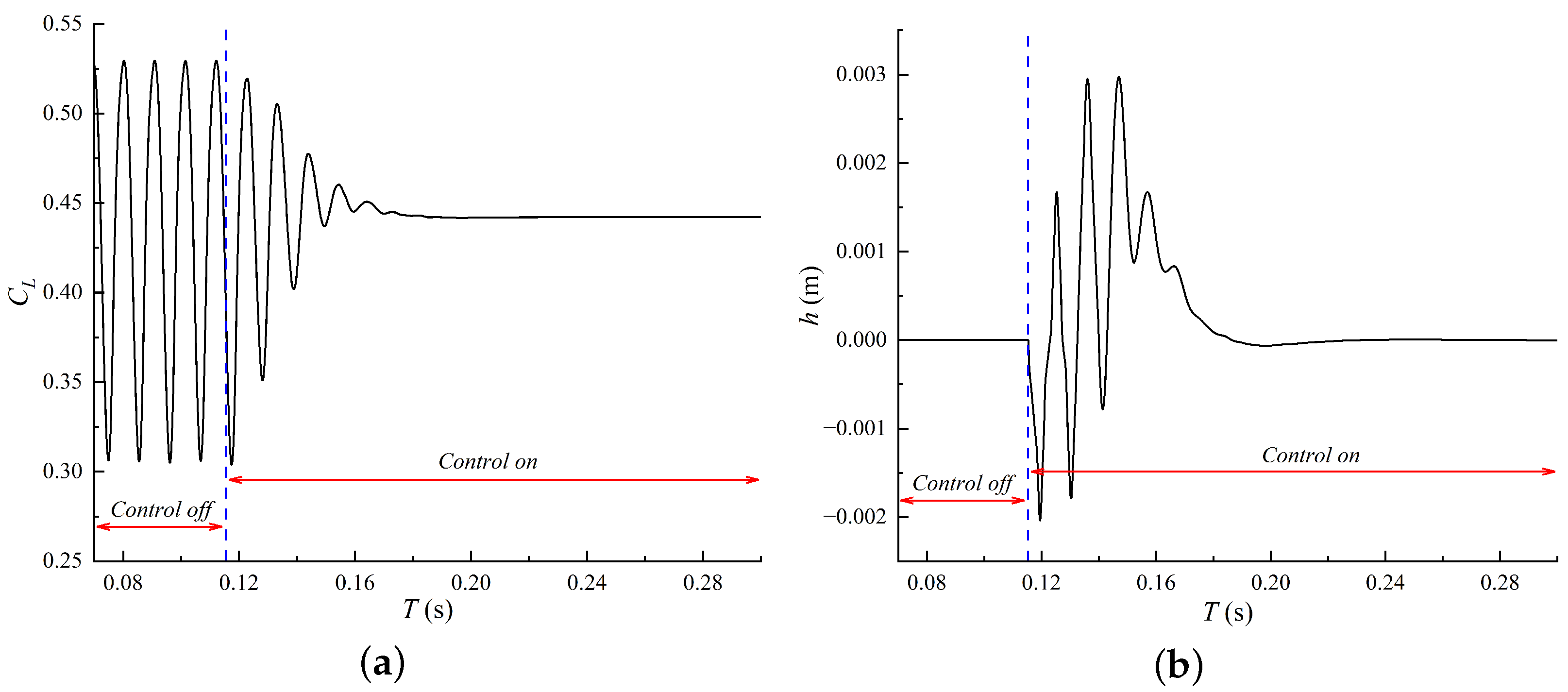
Based on the comprehensive analysis presented above, the optimal actuator configuration featuring a skin length of 0.2 c with maximum deformation height positioned at 0.65 c demonstrated superior control effectiveness for transonic buffet suppression. This configuration achieved effective buffet control with minimal settling time while requiring reduced skin deformation magnitudes. Figure 8 illustrates the complete adaptive control process under this optimal actuator configuration, showing the temporal evolution of lift coefficient response, actuator height response, target lift coefficient, and total error response.
The results reveal several key observations: (a) the lift coefficient exhibits significant oscillations during the uncontrolled phase and rapidly converges to the target value upon activation of the adaptive control system, demonstrating effective buffet suppression; (b) the actuator height response indicates that the control system efficiently modulates skin deformation to suppress the aerodynamic oscillations, with the final deformation height returning to near-zero; (c) the target lift coefficient rapidly stabilizes to a constant value following control initiation, indicating robust reference tracking performance; and (d) the total error response demonstrates rapid convergence to near-zero values upon control activation, confirming the effectiveness of the adaptive control strategy under the optimal actuator configuration in achieving precise buffet suppression.

4.2. Buffet Control Under Different Flow Conditions

To validate the robustness of the proposed adaptive control method for transonic buffet suppression, it is essential to examine its performance under different flow conditions. In realistic flight scenarios, atmospheric turbulence and operational variations lead to changes in freestream conditions, particularly Mach number and angle of attack. These variations alter the dynamic characteristics of the transonic buffet system, affecting parameters such as shock wave oscillation amplitude, mean lift coefficient, and flow field structure. To demonstrate the controller’s capability to maintain effectiveness across different operating points, the adaptive control strategy is applied to two additional flow conditions: M a = 0.75 with A o A = 3.5 , and M a = 0.77 with A o A = 3.0 .
Figure 9 and Figure 10 present the time history responses of the lift coefficient ( C L ) and actuator height (h) for both test cases. In both scenarios, the control system successfully suppresses the large-amplitude oscillations characteristic of transonic buffet. As shown in Figure 9a and Figure 10a, when the control is activated at the marked time instant, the lift coefficient oscillations are rapidly attenuated, with the system converging to a steady state within approximately 0.1 s. The corresponding actuator responses in Figure 9b and Figure 10b demonstrate that the controller adaptively adjusts the actuation magnitude to counteract the buffet-induced aerodynamic oscillation, eventually settling at near-zero values once the flow stabilizes.
The effectiveness of the control strategy is further illustrated through pressure coefficient distributions. Figure 11 displays the pressure coefficient ( C p ) contours around the airfoil after control convergence for both flow conditions. Comparing these results reveals that despite the different Mach numbers and angles of attack, the controller successfully establishes stable shock positions and eliminates the unsteady flow features. The pressure distributions exhibit well-defined shock structures without the diffuse patterns typical of oscillatory buffet conditions.
The buffet suppression capability is most clearly demonstrated in Figure 12 and Figure 13, which compare the root-mean-square (RMS) of pressure coefficient fluctuations with and without control. For the M a = 0.75 , A o A = 3.5 case (Figure 12), the uncontrolled flow exhibits a prominent region of high C p _ r m s values concentrated near the shock location, indicating severe pressure fluctuations. Upon activation of the adaptive control (Figure 12b), this high-intensity fluctuation region is substantially diminished, demonstrating effective suppression of buffet-induced unsteadiness. Similar results are observed for the M a = 0.77 , A o A = 3.0 condition (Figure 13), where the controller again significantly reduces the RMS pressure fluctuation levels throughout the flow field.
These results collectively demonstrate that the proposed adaptive control method exhibits excellent robustness across different transonic flow conditions. The controller effectively suppresses buffet despite variations in Mach number and angle of attack, which fundamentally alter the system’s dynamic characteristics. This validates its potential for practical aerospace applications under different flight conditions.

4.3. Buffet Control Under Time-Varying Flow Conditions

To further validate the adaptability of the proposed control method under realistic flight scenarios, this subsection extends the investigation to time-varying flow conditions. During actual flight operations, aircraft frequently encounter dynamic changes in flow parameters due to maneuvering, atmospheric disturbances such as gusts, or altitude variations. Under these circumstances, both Mach number and angle of attack may vary continuously over time, presenting a considerably more challenging control problem than time-invariant flow conditions where these parameters remain constant.
Three representative scenarios are examined to comprehensively assess the control performance: (1) varying angle of attack with constant Mach number, (2) varying Mach number with constant angle of attack, and (3) simultaneous variation of both parameters. In all cases, the temporal variations are prescribed as linear functions to simulate gradual changes in flight conditions. The control system is activated after an initial period without control, allowing the establishment of baseline uncontrolled buffet characteristics before demonstrating the control effectiveness.
The first scenario investigates the control performance when the angle of attack decreases linearly from 5.5 to 5.25 while maintaining a constant Mach number of 0.7 , as illustrated in Figure 14. This configuration simulates a typical pitch-down maneuver or transition between flight conditions. Figure 15 presents the lift coefficient response comparison between controlled and uncontrolled cases. Without control (black curve), the airfoil exhibits persistent large-amplitude oscillations throughout the simulation period, with the oscillation characteristics evolving as the angle of attack changes. The oscillation amplitude shows a gradual decrease corresponding to the reduction in angle of attack, as the flow moves away from the deep buffet regime. In contrast, when the adaptive control is activated (green curve), the oscillations are rapidly suppressed and the lift coefficient quickly converges to a steady state with minimal residual fluctuations, demonstrating the controller’s ability to maintain aerodynamic stability despite the continuously changing flow conditions. The actuator response during the control phase is shown in Figure 16. Upon activation, the actuator first suppresses the initial buffet oscillations to achieve a stable state, then adaptively adjusts with relatively small amplitude variations to counteract flow disturbances during the angle of attack transition period, ultimately converging to near-zero displacement. The relatively small actuator displacements highlight the efficiency of the control strategy in achieving significant buffet suppression throughout the angle of attack variation process with minimal actuation effort.
The second scenario examines the control effectiveness when the Mach number increases linearly from 0.7 to 0.72 while holding the angle of attack constant at 5 . 25 , as depicted in Figure 17. This case represents conditions where the aircraft accelerates through a range of transonic speeds, potentially encountering changes in shock wave strength and buffet characteristics. Figure 18 demonstrates the lift coefficient response under these conditions. The uncontrolled case (black curve) displays sustained oscillations that gradually decrease in amplitude and increase in frequency as the Mach number rises, reflecting the sensitivity of buffet characteristics to Mach number variations in the transonic regime. Upon control activation (green curve), the oscillations are effectively eliminated, with the lift coefficient stabilizing rapidly. The controlled response exhibits a smooth transition following the Mach number change, with only minor fluctuations that are quickly damped. The corresponding actuator behavior is presented in Figure 19. Similar to the previous case, the actuator initially suppresses the buffet oscillations to achieve a stable state, then performs adaptive adjustments to accommodate the varying Mach number. The actuator successfully adapts to the evolving flow conditions, continuously adjusting its output to maintain effective buffet suppression throughout the Mach number variation.
The third and most challenging scenario involves simultaneous variations of both flow parameters: the angle of attack decreases from 5.5 to 5.25 while the Mach number increases from 0.7 to 0.72 , as shown in Figure 20. This case represents complex flight maneuvers where multiple parameters change concurrently, such as accelerated descents or specific trajectory segments. Figure 21 illustrates the lift coefficient response under these demanding conditions. The uncontrolled case (black curve) exhibits complex oscillatory behavior influenced by the combined effects of changing both angle of attack and Mach number, with oscillation characteristics evolving continuously throughout the transition. Despite this complexity, the adaptive control system (green curve) successfully suppresses the oscillations and achieves stable lift coefficient behavior. The controller demonstrates remarkable adaptability, simultaneously compensating for the effects of both parameter variations and maintaining aerodynamic stability throughout the transition. The actuator response for this combined variation case is shown in Figure 22. The actuator height exhibits behavior similar to the previous two scenarios, ultimately returning to its neutral position (near-zero height) as the flow stabilizes. The actuator displacement pattern also shows clear adaptation to the changing flow field, with varying oscillation characteristics that reflect the controller’s real-time response to the compound parameter variations. Notably, the actuator successfully maintains buffet suppression throughout the entire transition period despite the increased complexity of the flow conditions.
These three test cases collectively demonstrate the robustness and adaptability of the proposed control method under time-varying flow conditions. The control system exhibits consistent effectiveness across all scenarios, rapidly suppressing buffet oscillations regardless of whether angle of attack, Mach number, or both parameters vary. The suppression is achieved within a short time after control activation, typically within a few oscillation cycles.
The actuator responses demonstrate appropriate adaptation to evolving flow conditions. Once the initial buffet state is suppressed, the system maintains effective control with relatively small actuator height variations to accommodate the continuously changing flow field, suggesting favorable energy efficiency and practical feasibility for implementation. Particularly noteworthy is the controller’s capability to handle compound parameter variations without performance degradation, indicating that the adaptive mechanism can effectively accommodate multiple simultaneous disturbances. This characteristic is especially critical for practical applications, where flight conditions rarely involve isolated parameter changes.
Although the linear variation profiles employed in these simulations represent idealized conditions, they provide a systematic framework for assessing controller performance and establish confidence in the method’s applicability to more complex, realistic flight scenarios. The successful suppression of buffet under these time-varying conditions confirms that the proposed adaptive control approach is well-suited for dynamic flight environments and represents a significant advancement toward the practical implementation of active buffet control systems.

5. Conclusions

This study presents a data-driven adaptive control framework for transonic buffet suppression using localized morphing skin actuators. The principal contributions and findings are summarized as follows:
(1)
A neural network-based adaptive control strategy has been developed that eliminates the fundamental limitation of conventional methods requiring prior knowledge of unstable steady-state solutions. By employing a moving average method to dynamically determine the target lift coefficient, the controller achieves effective buffet suppression without explicit system modeling.
(2)
Systematic parametric studies reveal that actuator configuration significantly influences control effectiveness. The morphing skin length and chordwise position must be carefully selected to achieve optimal performance. Notably, positioning the actuator too far forward or employing excessive skin lengths proves detrimental to control performance.
(3)
The proposed control method exhibits excellent robustness across different transonic flow conditions. Numerical validations at multiple operating points confirm that the adaptive controller effectively suppresses buffet-induced oscillations regardless of variations in shock wave strength and flow field structure.
(4)
The most significant contribution of this work lies in demonstrating effective buffet control under time-varying flow conditions. Three representative scenarios have been examined. In all cases, the controller successfully suppresses lift coefficient oscillations within a few oscillation cycles and maintains aerodynamic stability throughout the parameter transitions. The actuator demonstrates favorable energy efficiency by returning to near-zero displacement once the flow stabilizes, indicating practical feasibility for implementation.
Future research directions include extending this methodology to three-dimensional wing configurations and investigating the control performance under more complex flight scenarios involving turbulent atmospheric disturbances. Additionally, experimental validation of the proposed control strategy and exploration of alternative machine learning architectures for enhanced control performance warrant further investigation.

Author Contributions

Conceptualization, Y.Z.; methodology, Y.Z. and L.W.; software, Y.Z., L.W., Y.J.; validation, Y.Z., L.W. and Y.J.; formal analysis, Y.Z.; investigation, Y.Z. and Y.J.; resources, G.Z.; data curation, G.Z.; writing—original draft preparation, Y.Z., H.T., L.W. and Y.J.; writing—review and editing, G.Z.; visualization, Y.Z., L.W. and H.T.; supervision, G.Z. and G.Y.; project administration, G.Z.; funding acquisition, G.Y. and G.Z. All authors have read and agreed to the published version of the manuscript.

Funding

This work is supported by the National Natural Science Foundation of China (Grant No. 12372171).

Institutional Review Board Statement

Not applicable.

Informed Consent Statement

Not applicable.

Data Availability Statement

The original contributions presented in this study are included in the article. Further inquiries can be directed to the corresponding authors.

Acknowledgments

The authors give thanks to all colleagues for their generous help in this work.

Conflicts of Interest

The authors have no conflicts to disclose.

References

  1. Hilton, W.F.; Fowler, R.G. Photographs of Shock Wave Movement; Reports and Memoranda No. 2692; Aeronautical Research Council, His Majesty’s Stationery Office: London, UK, 1947.
  2. Lee, B.H.K. Self-sustained shock oscillations on airfoils at transonic speeds. Prog. Aerosp. Sci. 2001, 37, 147–196. [Google Scholar] [CrossRef]
  3. Crouch, J.D.; Garbaruk, A.; Magidov, D. Predicting the onset of flow unsteadiness based on global instability. J. Comput. Phys. 2007, 224, 924–940. [Google Scholar] [CrossRef]
  4. Jacquin, L.; Molton, P.; Deck, S.; Maury, B.; Soulevant, D. Experimental study of shock oscillation over a transonic supercritical profile. AIAA J. 2009, 47, 1985–1994. [Google Scholar] [CrossRef]
  5. Crouch, J.D.; Garbaruk, A.; Magidov, D.; Travin, A. Origin of transonic buffet on aerofoils. J. Fluid Mech. 2009, 628, 357–369. [Google Scholar] [CrossRef]
  6. Giannelis, N.F.; Levinski, O.; Vio, G.A. Influence of Mach number and angle of attack on the two-dimensional transonic buffet phenomenon. Aerosp. Sci. Technol. 2018, 78, 89–101. [Google Scholar] [CrossRef]
  7. Giannelis, N.F.; Vio, G.A.; Levinski, O. A review of recent developments in the understanding of transonic shock buffet. Prog. Aerosp. Sci. 2017, 92, 39–84. [Google Scholar] [CrossRef]
  8. Lagemann, E.; Brunton, S.L.; Schröder, W.; Lagemann, C. Towards extending the aircraft flight envelope by mitigating transonic airfoil buffet. Nat. Commun. 2024, 15, 5020. [Google Scholar] [CrossRef]
  9. Timme, S.; Sartor, F. Passive control of transonic buffet onset on a half wing-body configuration. In Proceedings of the International Forum on Aeroelasticity and Structural Dynamics, Saint Petersburg, Russia, 28 June–2 July 2015. [Google Scholar]
  10. Bruce, P.J.K.; Colliss, S.P. Review of research into shock control bumps. Shock Waves 2015, 25, 451–471. [Google Scholar] [CrossRef]
  11. Mayer, R.; Lutz, T.; Krämer, E.; Dandois, J. Control of transonic buffet by shock control bumps on wing-body configuration. J. Aircr. 2019, 56, 556–568. [Google Scholar] [CrossRef]
  12. Eastwood, J.P.; Jarrett, J.P. Toward designing with three-dimensional bumps for lift/drag improvement and buffet alleviation. AIAA J. 2012, 50, 2882–2898. [Google Scholar] [CrossRef]
  13. Jones, N.R.; Jarrett, J.P. Designing a shock control bump array for a transonic wing–body model. AIAA J. 2018, 56, 4801–4814. [Google Scholar] [CrossRef]
  14. D’aguanno, A.; Schrijer, F.; van Oudheusden, B. Investigation of three-dimensional shock control bumps for transonic buffet alleviation. AIAA J. 2023, 61, 3419–3431. [Google Scholar] [CrossRef]
  15. Caruana, D.; Mignosi, A.; Corrège, M.; Le Pourhiet, A.; Rodde, A.M. Buffet and buffeting control in transonic flow. Aerosp. Sci. Technol. 2005, 9, 605–616. [Google Scholar] [CrossRef]
  16. Gao, C.; Zhang, W.; Kou, J.; Liu, Y.; Ye, Z. Active control of transonic buffet flow. J. Fluid Mech. 2017, 824, 312–351. [Google Scholar] [CrossRef]
  17. Gao, C.; Zhang, W.; Ye, Z. Numerical study on closed-loop control of transonic buffet suppression by trailing edge flap. Comput. Fluids 2016, 132, 32–45. [Google Scholar] [CrossRef]
  18. Ren, K.; Gao, C.; Xiong, N.; Zhang, W. Adaptive control of transonic buffet and buffeting flow with deep reinforcement learning. Phys. Fluids 2024, 36, 016143. [Google Scholar] [CrossRef]
  19. Ren, K.; Chen, Y.; Gao, C.; Zhang, W. Adaptive control of transonic buffet flows over an airfoil. Phys. Fluids 2020, 32, 096106. [Google Scholar] [CrossRef]
  20. Gao, C.; Ma, R.; Ren, K.; Yuan, H.; Zhang, W. Optimal Position and Angle of Jet Control for Transonic Shock Buffet with Resolvent Analysis. AIAA J. 2025, 63, 1–19. [Google Scholar] [CrossRef]
  21. Thill, C.; Etches, J.; Bond, I.; Potter, K.; Weaver, P. Morphing skins. Aeronaut. J. 2008, 112, 117–139. [Google Scholar] [CrossRef]
  22. Ren, K.; Gao, C.; Zhou, F.; Zhang, W. Transonic Buffet Active Control with Local Smart Skin. Actuators 2022, 11, 155. [Google Scholar] [CrossRef]
  23. Deng, F.; Zhang, S.; Qin, N. Closed-loop control of transonic buffet using active shock control bump. Aerospace 2023, 10, 537. [Google Scholar] [CrossRef]
  24. Ray, E.J.; McKinney, L.W.; Carmichael, J.G. Maneuver and Buffet Characteristics of Fighter Aircraft; NASA Technical Note D-7131; National Aeronautics and Space Administration: Washington, DC, USA, 1973.
  25. Wang, J.; Liu, W.; Xie, H.; Zhang, M. Advancing buffet onset prediction: A deep learning approach with enhanced interpretability for aerodynamic engineering. Complex Intell. Syst. 2025, 11, 3. [Google Scholar] [CrossRef]
  26. Yang, Y.; Li, R.; Zhang, Y.; Chen, H. Fast buffet-onset prediction and optimization method based on pretrained flowfield prediction model. AIAA J. 2024, 62, 2979–2995. [Google Scholar] [CrossRef]
  27. Ma, Q.; Gao, C.; Xiong, N.; Zhang, W. Shock buffet onset prediction with flow feature-informed neural network. Aerosp. Sci. Technol. 2024, 155, 109649. [Google Scholar] [CrossRef]
  28. Zahn, R.; Weiner, A.; Breitsamter, C. Prediction of wing buffet pressure loads using a convolutional and recurrent neural network framework. CEAS Aeronaut. J. 2024, 15, 61–77. [Google Scholar] [CrossRef]
  29. Zahn, R.; Zieher, M.; Breitsamter, C. Deep Learning Framework for Predicting Transonic Wing Buffet Loads Due to Structural Eigenmode-Based Deformations. Aerospace 2025, 12, 415. [Google Scholar] [CrossRef]
  30. Dou, Z.; Gao, C.; Zhang, W.; Tao, Y. Nonlinear aeroelastic prediction in transonic buffeting flow by deep neural network. AIAA J. 2023, 61, 2412–2429. [Google Scholar] [CrossRef]
  31. Chen, H.; Gao, C.; Wu, J.; Ren, K.; Zhang, W. Study on optimization design of airfoil transonic buffet with reinforcement learning method. Aerospace 2023, 10, 486. [Google Scholar] [CrossRef]
  32. Nir, A.; Abramovich, H. Design, analysis and testing of a smart fin. Compos. Struct. 2010, 92, 863–872. [Google Scholar] [CrossRef]
  33. Sinn, T.; Barrett, R. Design, manufacturing and test of a high lift secondary flight control surface with shape memory alloy post-buckled precompressed actuators. Actuators 2015, 4, 156–171. [Google Scholar] [CrossRef]
  34. Tian, Y.; Gao, S.; Liu, P.; Wang, J. Transonic buffet control research with two types of shock control bump based on RAE2822 airfoil. Chin. J. Aeronaut. 2017, 30, 1681–1696. [Google Scholar] [CrossRef]
  35. Wei, L.; Zheng, G.; Nie, X.; Lv, J.; Huang, C.; Lu, W.; Zhang, Y.; Yang, G. Robustness and efficiency of encapsulated selective frequency damping using different operator-splitting schemes: Application to laminar cylinder flow and transonic buffet. J. Comput. Phys. 2025, 532, 113968. [Google Scholar] [CrossRef]
  36. Wei, L. Research on the Stability of the Flows and the Aeroelasctic Problems in Transonic Buffet. Ph.D. Thesis, University of Chinese Academy of Sciences, Beijing, China, 2025. [Google Scholar]
  37. Doerffer, P.; Hirsch, C.; Dussauge, J.P.; Babinsky, H.; Barakos, G.N. Unsteady Effects of Shock Wave Induced Separation; Springer Science & Business Media: Berlin, Germany, 2010. [Google Scholar]
  38. Wei, L.; Zheng, G.; Lu, W.; Zhang, Y.; Yang, G. On the Lock-In Phenomena near the Transonic Buffet Onset of a Prescribed Pitching Airfoil. Appl. Sci. 2024, 14, 5463. [Google Scholar] [CrossRef]
Figure 1. Schematic diagram of the localized intelligent skin actuator.
Figure 1. Schematic diagram of the localized intelligent skin actuator.
Aerospace 13 00040 g001
Figure 2. Block diagram of neural network adaptive control system.
Figure 2. Block diagram of neural network adaptive control system.
Aerospace 13 00040 g002
Figure 3. Computational grid of the NACA0012 airfoil.
Figure 3. Computational grid of the NACA0012 airfoil.
Aerospace 13 00040 g003
Figure 4. Comparison of transonic buffet suppression performance for different skin positions. (skin length = 0.1 c ) (a) Lift coefficient response. (b) Actuator height response.
Figure 4. Comparison of transonic buffet suppression performance for different skin positions. (skin length = 0.1 c ) (a) Lift coefficient response. (b) Actuator height response.
Aerospace 13 00040 g004
Figure 5. Comparison of transonic buffet suppression performance for different skin positions. (skin length = 0.2 c ) (a) Lift coefficient response. (b) Actuator height response.
Figure 5. Comparison of transonic buffet suppression performance for different skin positions. (skin length = 0.2 c ) (a) Lift coefficient response. (b) Actuator height response.
Aerospace 13 00040 g005
Figure 6. Comparison of transonic buffet suppression performance for different skin positions. (skin length = 0.3 c ) (a) Lift coefficient response. (b) Actuator height response.
Figure 6. Comparison of transonic buffet suppression performance for different skin positions. (skin length = 0.3 c ) (a) Lift coefficient response. (b) Actuator height response.
Aerospace 13 00040 g006
Figure 7. Comparison of transonic buffet suppression performance for different skin positions. (skin length = 0.4 c ) (a) Lift coefficient response. (b) Actuator height response.
Figure 7. Comparison of transonic buffet suppression performance for different skin positions. (skin length = 0.4 c ) (a) Lift coefficient response. (b) Actuator height response.
Aerospace 13 00040 g007
Figure 8. Suppression of transonic buffet using adaptive control. (a) Lift coefficient response. (b) Actuator height response. (c) Target lift coefficient response. (d) Total error response.
Figure 8. Suppression of transonic buffet using adaptive control. (a) Lift coefficient response. (b) Actuator height response. (c) Target lift coefficient response. (d) Total error response.
Aerospace 13 00040 g008
Figure 9. Suppression of transonic buffet using adaptive control ( M a = 0.75 , A o A = 3.5 ). (a) Lift coefficient response. (b) Actuator height response.
Figure 9. Suppression of transonic buffet using adaptive control ( M a = 0.75 , A o A = 3.5 ). (a) Lift coefficient response. (b) Actuator height response.
Aerospace 13 00040 g009
Figure 10. Suppression of transonic buffet using adaptive control ( M a = 0.77 , A o A = 3.0 ). (a) Lift coefficient response. (b) Actuator height response.
Figure 10. Suppression of transonic buffet using adaptive control ( M a = 0.77 , A o A = 3.0 ). (a) Lift coefficient response. (b) Actuator height response.
Aerospace 13 00040 g010
Figure 11. Pressure coefficient contour after control convergence. (a) M a = 0.75 , A o A = 3.5 . (b) M a = 0.77 , A o A = 3.0 .
Figure 11. Pressure coefficient contour after control convergence. (a) M a = 0.75 , A o A = 3.5 . (b) M a = 0.77 , A o A = 3.0 .
Aerospace 13 00040 g011
Figure 12. Pressure coefficient RMS contour ( M a = 0.75 , A o A = 3.5 ). (a) Without control. (b) With control.
Figure 12. Pressure coefficient RMS contour ( M a = 0.75 , A o A = 3.5 ). (a) Without control. (b) With control.
Aerospace 13 00040 g012
Figure 13. Pressure coefficient RMS contour ( M a = 0.77 , A o A = 3.0 ). (a) Without control. (b) With control.
Figure 13. Pressure coefficient RMS contour ( M a = 0.77 , A o A = 3.0 ). (a) Without control. (b) With control.
Aerospace 13 00040 g013
Figure 14. Temporal variation of angle of attack (constant Mach number).
Figure 14. Temporal variation of angle of attack (constant Mach number).
Aerospace 13 00040 g014
Figure 15. Comparison of lift coefficient response with and without control (constant Mach number).
Figure 15. Comparison of lift coefficient response with and without control (constant Mach number).
Aerospace 13 00040 g015
Figure 16. Actuator height response during control (constant Mach number).
Figure 16. Actuator height response during control (constant Mach number).
Aerospace 13 00040 g016
Figure 17. Temporal variation of Mach number (constant angle of attack).
Figure 17. Temporal variation of Mach number (constant angle of attack).
Aerospace 13 00040 g017
Figure 18. Comparison of lift coefficient response with and without control (constant angle of attack).
Figure 18. Comparison of lift coefficient response with and without control (constant angle of attack).
Aerospace 13 00040 g018
Figure 19. Actuator height response during control (constant angle of attack).
Figure 19. Actuator height response during control (constant angle of attack).
Aerospace 13 00040 g019
Figure 20. Temporal variation of Mach number and angle of attack.
Figure 20. Temporal variation of Mach number and angle of attack.
Aerospace 13 00040 g020
Figure 21. Comparison of lift coefficient response with and without control.
Figure 21. Comparison of lift coefficient response with and without control.
Aerospace 13 00040 g021
Figure 22. Actuator height response during control.
Figure 22. Actuator height response during control.
Aerospace 13 00040 g022
Table 1. Grid characteristics and computed transonic buffet results for three mesh refinement levels.
Table 1. Grid characteristics and computed transonic buffet results for three mesh refinement levels.
GridTotal Cells Δ C L C ¯ L f b [Hz]
Grid 172,9600.1780.56780.6
Grid 291,0000.1810.56775.9
Grid 3117,2160.1800.56676.2
Table 2. Summary of the parametric study on morphing skin configuration.
Table 2. Summary of the parametric study on morphing skin configuration.
Skin Length lSkin Start Position x 0 Max Height PositionControl SuccessSettling Time t s (s)
0.1c0.35c0.40cNo
0.40c0.45cNo
0.45c0.50cYes≈0.051
0.50c0.55cYes≈0.080
0.55c0.60cYes≈0.091
0.60c0.65cYes≈0.106
0.2c0.30c0.40cNo
0.35c0.45cNo
0.40c0.50cNo
0.45c0.55cNo
0.50c0.60cYes≈0.062
0.55c0.65cYes≈0.039
0.60c0.70cYes≈0.056
0.65c0.75cYes≈0.085
0.3c0.25c–0.50c0.40c–0.65cNo (all)
0.4c0.20c–0.45c0.40c–0.65cNo (all)
Note: The max height position is computed as x 0 + 0.5 l for the symmetric Hicks–Henne profile.
Disclaimer/Publisher’s Note: The statements, opinions and data contained in all publications are solely those of the individual author(s) and contributor(s) and not of MDPI and/or the editor(s). MDPI and/or the editor(s) disclaim responsibility for any injury to people or property resulting from any ideas, methods, instructions or products referred to in the content.

Share and Cite

MDPI and ACS Style

Zhang, Y.; Wei, L.; Jin, Y.; Tang, H.; Zheng, G.; Yang, G. Data-Driven Adaptive Control of Transonic Buffet via Localized Morphing Skin. Aerospace 2026, 13, 40. https://doi.org/10.3390/aerospace13010040

AMA Style

Zhang Y, Wei L, Jin Y, Tang H, Zheng G, Yang G. Data-Driven Adaptive Control of Transonic Buffet via Localized Morphing Skin. Aerospace. 2026; 13(1):40. https://doi.org/10.3390/aerospace13010040

Chicago/Turabian Style

Zhang, Yuchen, Lianyi Wei, Yiqiu Jin, Han Tang, Guannan Zheng, and Guowei Yang. 2026. "Data-Driven Adaptive Control of Transonic Buffet via Localized Morphing Skin" Aerospace 13, no. 1: 40. https://doi.org/10.3390/aerospace13010040

APA Style

Zhang, Y., Wei, L., Jin, Y., Tang, H., Zheng, G., & Yang, G. (2026). Data-Driven Adaptive Control of Transonic Buffet via Localized Morphing Skin. Aerospace, 13(1), 40. https://doi.org/10.3390/aerospace13010040

Note that from the first issue of 2016, this journal uses article numbers instead of page numbers. See further details here.

Article Metrics

Back to TopTop