error_outline You can access the new MDPI.com website here. Explore and share your feedback with us.
 
 
Sign in to use this feature.

Years

Between: -

Subjects

remove_circle_outline
remove_circle_outline
remove_circle_outline
remove_circle_outline
remove_circle_outline
remove_circle_outline
remove_circle_outline
remove_circle_outline
remove_circle_outline

Journals

remove_circle_outline
remove_circle_outline
remove_circle_outline
remove_circle_outline
remove_circle_outline
remove_circle_outline
remove_circle_outline

Article Types

Countries / Regions

remove_circle_outline
remove_circle_outline
remove_circle_outline
remove_circle_outline
remove_circle_outline

Search Results (1,187)

Search Parameters:
Keywords = adaptive fuzzy controller

Order results
Result details
Results per page
Select all
Export citation of selected articles as:
22 pages, 6418 KB  
Article
Large Signal Stability Analysis of Grid-Connected VSC Based on Hybrid Synchronization Control
by Kai Gong, Huangqing Xiao, Ying Huang and Ping Yang
Electronics 2026, 15(2), 269; https://doi.org/10.3390/electronics15020269 - 7 Jan 2026
Abstract
Hybrid synchronization control (HSC) has recently attracted considerable attention owing to its superior transient stability and adaptability to varying grid strengths. However, existing studies on HSC employ diverse control strategies for the Phase-Locked Loop (PLL) and the voltage control loop (VCL). Since both [...] Read more.
Hybrid synchronization control (HSC) has recently attracted considerable attention owing to its superior transient stability and adaptability to varying grid strengths. However, existing studies on HSC employ diverse control strategies for the Phase-Locked Loop (PLL) and the voltage control loop (VCL). Since both the PLL and VCL are associated with the q-axis component of the point of common coupling (PCC) voltage, the coupling effect between these two control loops and the impact of different controller configurations on system transient stability remain to be further explored. To address this gap, this study first analyzes the transient characteristics of the system under different PLL-VCL control combinations using the power-angle curve method. Subsequently, a Lyapunov stability criterion is established based on the Takagi–Sugeno (T-S) fuzzy model, enabling the estimation of the region of asymptotic stability (RAS). By comparing the RAS of different control combinations, the influence of the proportional coefficient in HSC on transient stability is quantitatively investigated. Finally, PSCAD electromagnetic transient simulations are carried out to verify the validity and accuracy of the theoretical analysis results. Full article
(This article belongs to the Section Power Electronics)
Show Figures

Figure 1

22 pages, 1377 KB  
Article
Energy Management Revolution in Unmanned Aerial Vehicles Using Deep Learning Approach
by Sunisa Kunarak
Appl. Sci. 2026, 16(1), 503; https://doi.org/10.3390/app16010503 - 4 Jan 2026
Viewed by 74
Abstract
Unmanned aerial vehicles (UAVs) are playing increasingly important roles in military operations, disaster relief, agriculture, and communications. However, their performance is limited by energy management problems, especially in hybrid systems such as those combining fuel cells with a lithium battery. The potential of [...] Read more.
Unmanned aerial vehicles (UAVs) are playing increasingly important roles in military operations, disaster relief, agriculture, and communications. However, their performance is limited by energy management problems, especially in hybrid systems such as those combining fuel cells with a lithium battery. The potential of deep learning to significantly improve UAV power management is investigated in this work through adaptive forecasting and real-time optimization. We develop smart algorithms that automatically balance energy efficiency and communication performance for heterogeneous wireless networks. The simulation results demonstrate energy consumption savings, optimized flight altitudes, and spectral efficiency improvements compared to Fixed Weight and Fuzzy Logic Weight schemes. At saturated user densities, the model enables up to 42% lower energy consumption and 54% higher throughput. Moreover, predictive models based on recurrent and transformer-based deep networks allow UAVs to predict energy requirements over a variety of mission and environmental contexts, shifting from reactive approaches to proactive control. The adoption of these methods in UAV-aided beyond-5G (B5G) and future 6G network scenarios can potentially prolong endurance times and enhance mission connectivity and reliability in challenging environments. This work lays the foundation for an all-aspect framework to control and manage UAV energy in the 5G era, which takes advantage of not only deep learning but also edge computing and hybrid power systems. Deep learning is confirmed to be a keystone of sustainable, autonomous, and energy-aware UAVs operation for next-generation networks. Full article
Show Figures

Figure 1

12 pages, 4669 KB  
Article
Model Predictive Control of Doubly Fed Induction Motors Based on Fuzzy Logic
by Xueyan Wang, Zhijun Ou, Fobao Zhou, Hang Zhao and Yiming Ma
Machines 2026, 14(1), 55; https://doi.org/10.3390/machines14010055 - 1 Jan 2026
Viewed by 123
Abstract
Model predictive control (MPC) has become an attractive solution for doubly fed induction motors (DFIMs) due to its fast dynamic response and multi-variable constraint handling capability. However, the performance of conventional MPC relies on the accuracy of the system model. To further enhance [...] Read more.
Model predictive control (MPC) has become an attractive solution for doubly fed induction motors (DFIMs) due to its fast dynamic response and multi-variable constraint handling capability. However, the performance of conventional MPC relies on the accuracy of the system model. To further enhance the control performance and adaptability, this paper proposes a fuzzy logic-based model predictive control (FL-MPC) strategy. The proposed method continuously monitors the current tracking errors and their rates of change, utilizing a fuzzy inference system to dynamically optimize the weight distribution within the predictive model. This enables the controller to autonomously adjust its behavior for optimal performance across a wide range of operating conditions. Both simulation and experimental results demonstrate that, compared to the conventional MPC, the proposed FL-MPC strategy achieves superior dynamic response. Full article
(This article belongs to the Special Issue Diagnosis of Sensor Failure in Induction Motor Drives)
Show Figures

Figure 1

17 pages, 2441 KB  
Article
Fuzzy Active Disturbance Rejection Control for Electro-Mechanical Actuator Based on Feedback Linearization
by Huanyu Sun, Ju Jiang and Xi Xiao
Actuators 2026, 15(1), 18; https://doi.org/10.3390/act15010018 - 31 Dec 2025
Viewed by 162
Abstract
As an actuation mechanism for achieving precision attitude control in aircraft, the electromechanical actuator (EMA) plays a critical role in ensuring flight safety and stability. However, the EMA is subject to unmeasurable unknown disturbances that act through mismatched channels relative to the system’s [...] Read more.
As an actuation mechanism for achieving precision attitude control in aircraft, the electromechanical actuator (EMA) plays a critical role in ensuring flight safety and stability. However, the EMA is subject to unmeasurable unknown disturbances that act through mismatched channels relative to the system’s control input. To address this, this paper employs feedback linearization to transform the existing model. The transformed model effectively recasts the unknown disturbance into the same channel as the control input, thereby enabling active disturbance rejection via control law design. Furthermore, to overcome the challenge of immeasurable disturbances, an extended state observer (ESO) is designed to estimate the unknown disturbance; the estimated value is then directly utilized in the control law synthesis. Subsequently, a fuzzy logic system (FLS) is developed to perform real-time online adaptation and optimization of the controller parameters. Finally, extensive simulation results are provided to validate the effectiveness of the proposed algorithm. Full article
(This article belongs to the Section Control Systems)
Show Figures

Figure 1

19 pages, 4790 KB  
Article
Hierarchical Fuzzy Adaptive Observer-Based Fault-Tolerant Consensus Tracking for High-Order Nonlinear Multi-Agent Systems Under Actuator and Sensor Faults
by Lei Zhao and Shiming Chen
Sensors 2026, 26(1), 252; https://doi.org/10.3390/s26010252 - 31 Dec 2025
Viewed by 300
Abstract
This paper investigates the consensus tracking problem for a class of high-order nonlinear multi-agent systems subject to actuator faults, sensor faults, unknown disturbances, and model uncertainties. To effectively address this problem, a hierarchical fault-tolerant control framework with fuzzy adaptive mechanisms is proposed. First, [...] Read more.
This paper investigates the consensus tracking problem for a class of high-order nonlinear multi-agent systems subject to actuator faults, sensor faults, unknown disturbances, and model uncertainties. To effectively address this problem, a hierarchical fault-tolerant control framework with fuzzy adaptive mechanisms is proposed. First, a distributed output predictor based on a finite-time differentiator is constructed for each follower to estimate the leader’s output trajectory and to prevent fault propagation across the network. Second, a novel state and actuator-fault observer is designed to reconstruct unmeasured states and detect actuator faults in real time. Third, a sensor-fault compensation strategy is integrated into a backstepping procedure, resulting in a fuzzy adaptive consensus-tracking controller. This controller guarantees the uniform boundedness of all closed-loop signals and ensures that the tracking error converges to a small neighborhood of the origin. Finally, numerical simulations validate the effectiveness and robustness of the proposed method in the presence of multiple simultaneous faults and disturbances. Full article
(This article belongs to the Special Issue Sensor-Based Fault Diagnosis and Prognosis)
Show Figures

Figure 1

19 pages, 1730 KB  
Article
Optimizing EV Battery Charging Using Fuzzy Logic in the Presence of Uncertainties and Unknown Parameters
by Minhaz Uddin Ahmed, Md Ohirul Qays, Stefan Lachowicz and Parvez Mahmud
Electronics 2026, 15(1), 177; https://doi.org/10.3390/electronics15010177 - 30 Dec 2025
Viewed by 159
Abstract
The growing use of electric vehicles (EVs) creates challenges in designing charging systems that are smart, dependable, and efficient, especially when environmental conditions change. This research proposes a fuzzy-logic-based PID control strategy integrated into a photovoltaic (PV) powered EV charging system to address [...] Read more.
The growing use of electric vehicles (EVs) creates challenges in designing charging systems that are smart, dependable, and efficient, especially when environmental conditions change. This research proposes a fuzzy-logic-based PID control strategy integrated into a photovoltaic (PV) powered EV charging system to address uncertainties such as fluctuating solar irradiance, grid instability, and dynamic load demands. A MATLAB-R2023a/Simulink-R2023a model was developed to simulate the charging process using real-time adaptive control. The fuzzy logic controller (FLC) automatically updates the PID gains by evaluating the error and how quickly the error is changing. This adaptive approach enables efficient voltage regulation and improved system stability. Simulation results demonstrate that the proposed fuzzy–PID controller effectively maintains a steady charging voltage and minimizes power losses by modulating switching frequency. Additionally, the system shows resilience to rapid changes in irradiance and load, improving energy efficiency and extending battery life. This hybrid approach outperforms conventional PID and static control methods, offering enhanced adaptability for renewable-integrated EV infrastructure. The study contributes to sustainable mobility solutions by optimizing the interaction between solar energy and EV charging, paving the way for smarter, grid-friendly, and environmentally responsible charging networks. These findings support the potential for the real-world deployment of intelligent controllers in EV charging systems powered by renewable energy sources This study is purely simulation-based; experimental validation via hardware-in-the-loop (HIL) or prototype development is reserved for future work. Full article
(This article belongs to the Special Issue Data-Related Challenges in Machine Learning: Theory and Application)
Show Figures

Figure 1

23 pages, 5478 KB  
Article
Event-Triggered Control for SNSs with Distributed Time-Varying Delays and Output Dead Zone
by Hongyun Yue, Jiaqi Wang, Yi Zhao, Dongpeng Xue and Yibo Gao
Appl. Sci. 2026, 16(1), 375; https://doi.org/10.3390/app16010375 - 29 Dec 2025
Viewed by 121
Abstract
This paper addresses the tracking control problem for stochastic nonlinear systems (SNSs) subject to distributed time-varying delays and output dead zones. A novel dynamic event-triggered control scheme is proposed by integrating the backstepping technique with a fuzzy logic system (FLS). The FLS is [...] Read more.
This paper addresses the tracking control problem for stochastic nonlinear systems (SNSs) subject to distributed time-varying delays and output dead zones. A novel dynamic event-triggered control scheme is proposed by integrating the backstepping technique with a fuzzy logic system (FLS). The FLS is employed to approximate unknown nonlinear functions, while a Nussbaum-type function is incorporated to mitigate the effects of the output dead zone. The challenges posed by distributed time-varying delays are effectively overcome by constructing novel double-integral Lyapunov–Krasovskii functionals. Furthermore, the introduced dynamic event-triggering mechanism, which features a relative threshold and an adaptive parameter, significantly reduces the network communication burden while maintaining desired system performance. Based on Lyapunov stability theory, it is rigorously proven that all signals in the resulting closed-loop system are semi-globally uniformly ultimately bounded, and the tracking error converges to a small neighborhood of the origin. Simulation results are provided to validate the feasibility and effectiveness of the proposed control approach. Full article
(This article belongs to the Section Robotics and Automation)
Show Figures

Figure 1

37 pages, 8037 KB  
Article
Research on a Lane Changing Obstacle Avoidance Control Strategy for Hub Motor-Driven Vehicles
by Jiaqi Wan, Tianqi Yang, Zitai Xiao, Jijie Wang, Shuiyan Yang, Tong Niu and Fuwu Yan
Mathematics 2026, 14(1), 139; https://doi.org/10.3390/math14010139 - 29 Dec 2025
Viewed by 126
Abstract
Hub motor-driven vehicles can control vehicle attitude by regulating the speed and torque of four wheels, supporting safe and stable lane changing and obstacle avoidance. However, under high-speed scenarios, these vehicles often suffer from poor stability, limited comfort, and inadequate trajectory tracking accuracy [...] Read more.
Hub motor-driven vehicles can control vehicle attitude by regulating the speed and torque of four wheels, supporting safe and stable lane changing and obstacle avoidance. However, under high-speed scenarios, these vehicles often suffer from poor stability, limited comfort, and inadequate trajectory tracking accuracy during lane changing and obstacle avoidance operations. To address these challenges, this study proposes a lane changing obstacle avoidance control strategy for hub motor-driven vehicles based on collision risk prediction. A fuzzy controller featuring a variable weight objective function is designed to balance lane changing efficiency and ride comfort, thereby generating an optimal lane changing and obstacle avoidance trajectory. Furthermore, a linear time-varying model predictive controller (LTV-MPC) is developed, which adaptively adjusts both the weighting coefficient of lateral displacement error in the objective function and the prediction horizon of the controller, enabling dynamic tuning of vehicle trajectory tracking accuracy. A dSPACE hardware-in-the-loop (HIL) platform was established to conduct simulations under typical obstacle avoidance scenarios. The simulation results show that under two easily destabilized conditions—high-adhesion, high-speed, large-curvature, and low-adhesion, medium-speed, large-curvature maneuvers—the proposed optimized control strategy limits the maximum lateral trajectory tracking error to 0.116 m and 0.143 m, representing reductions of 58.6% and 79.6% compared with the baseline control strategy. These results demonstrate that the proposed method enhances trajectory tracking accuracy and stability during lane changing and obstacle avoidance maneuvers. Full article
Show Figures

Figure 1

25 pages, 8685 KB  
Article
Research on Maize Precision Seeding Control Based on RIME-BP-PID
by Yitian Sun, Haiyang Liu, Yongjia Sun, Xianying Feng and Peng Zhang
Machines 2026, 14(1), 47; https://doi.org/10.3390/machines14010047 - 29 Dec 2025
Viewed by 202
Abstract
This paper addresses the insufficient speed control accuracy observed in traditional seeding systems. This paper proposes an electric drive seeding control method that incorporates a composite control strategy combining the Rime optimization algorithm (RIME) with a backpropagation neural network (BPNN). Firstly, the architecture [...] Read more.
This paper addresses the insufficient speed control accuracy observed in traditional seeding systems. This paper proposes an electric drive seeding control method that incorporates a composite control strategy combining the Rime optimization algorithm (RIME) with a backpropagation neural network (BPNN). Firstly, the architecture including radar/proximity switch dual-mode speed measurement, STM32F103 main control, and asymmetric half-bridge drive was constructed. Based on the kinematic model, a motor speed-plant spacing mapping relationship was derived to complete the selection of a brushless DC motor. Secondly, this study addresses the issues of large overshoot in traditional PID control, response lag in fuzzy PID, and local optima in BP-PID. To overcome these challenges, the RIME algorithm is employed to optimize the weight-updating mechanism of the backpropagation neural network (BPNN). The soft RIME search facilitates multi-directional exploration, while the hard RIME puncture enhances global optimization capability, significantly improving the adaptive accuracy of the parameters. The simulation results showed that the adjustment time of the proposed RIME-BP-PID in the step response is 73.8% shorter than the BP-PID, and the overshoot is reduced to 0.23%. The square wave tracking error is 27.8% of the traditional PID. The bench test was carried out at 6–12 km/h speed and 200–300 mm. The results showed that, compared with BP-PID, the qualified index of RIME-BP-PID increased by 1.67–1.94 percentage points, the missed seeding index decreased by 1.25–1.80 percentage points, and the coefficient of variation decreased by 4.90–5.82 percentage points. The algorithm effectively solves the problem of the strong nonlinear time-varying control of a seeding system and provides theoretical support for the research and development of precision agricultural equipment. Full article
(This article belongs to the Section Automation and Control Systems)
Show Figures

Figure 1

22 pages, 4026 KB  
Article
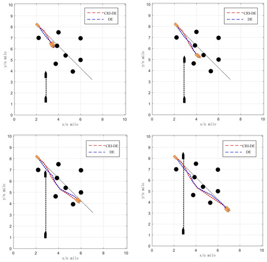
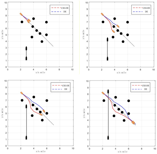
Path Planning and Tracking Control for Unmanned Surface Vehicle Based on Adaptive Differential Evolution Algorithm
by Zhongming Xiao, Jingyi Zhao, Zhengjiang Liu and Guang Yang
Actuators 2026, 15(1), 13; https://doi.org/10.3390/act15010013 - 29 Dec 2025
Viewed by 236
Abstract
With the growing demand for safe obstacle avoidance and precise trajectory tracking in the autonomous navigation of unmanned surface vessels (USVs), this paper investigates an adaptive differential evolution approach for integrated path planning and tracking control. In the path planning stage, an elite [...] Read more.
With the growing demand for safe obstacle avoidance and precise trajectory tracking in the autonomous navigation of unmanned surface vessels (USVs), this paper investigates an adaptive differential evolution approach for integrated path planning and tracking control. In the path planning stage, an elite archive mechanism is first incorporated into the mutation process, and the scaling factor F and crossover rate CR are adaptively adjusted to enhance population diversity and global search capability. Then, the International Regulations for Preventing Collisions at Sea (COLREGs) are embedded into the algorithmic framework to reinforce collision avoidance performance in complex encounter scenarios. A multi-objective fitness function combining six performance criteria is subsequently constructed to evaluate individual path points, thereby identifying high-quality solutions that ensure both safe navigation and route efficiency. In the tracking control stage, the optimally generated reference trajectory is then employed as the input command for the vessel’s motion control subsystem. A fuzzy logic system is introduced to approximate unknown nonlinear dynamics, and an adaptive fuzzy logic controller is designed to guarantee accurate tracking of the planned path. Finally, simulation tests are used to show the algorithm’s efficiency and usefulness. Full article
(This article belongs to the Special Issue Control System of Autonomous Surface Vehicles)
Show Figures

Figure 1

26 pages, 4017 KB  
Article
Major Depressive Disorder Diagnosis Using Time–Frequency Embeddings Based on Deep Metric Learning and Neuro-Fuzzy from EEG Signals
by A-Hyeon Jo and Keun-Chang Kwak
Appl. Sci. 2026, 16(1), 324; https://doi.org/10.3390/app16010324 - 28 Dec 2025
Viewed by 229
Abstract
Major depressive disorder (MDD) is a prevalent mental health condition that requires accurate and objective diagnostic tools. Electroencephalogram (EEG) signals provide valuable insights into brain activity and have been widely studied for mental disorder classification. In this study, we propose a novel DML [...] Read more.
Major depressive disorder (MDD) is a prevalent mental health condition that requires accurate and objective diagnostic tools. Electroencephalogram (EEG) signals provide valuable insights into brain activity and have been widely studied for mental disorder classification. In this study, we propose a novel DML + ANFIS framework that integrates deep metric learning (DML) with an adaptive neuro-fuzzy inference system (ANFIS) for the automated diagnosis of major depressive disorder (MDD) using EEG time series signals. Time–frequency features are first extracted from raw EEG signals using the short-time Fourier transform (STFT) and the continuous wavelet transform (CWT). These features are then embedded into a low-dimensional space using a DML approach, which enhances the inter-class separability between MDD and healthy control (HC) groups in the feature space. The resulting time–frequency feature embeddings are finally classified using an ANFIS, which integrates fuzzy logic-based nonlinear inference with deep metric learning. The proposed DML + ANFIS framework was evaluated on a publicly available EEG dataset comprising MDD patients and healthy control (HC) subjects. Under subject-dependent evaluation, the STFT-based DML + ANFIS and CWT-based models achieved an accuracy of 92.07% and 98.41% and an AUC of 97.28% and 99.50%, respectively. Additional experiments using subject-independent cross-validation demonstrated reduced but consistent performance trends, thus indicating the framework’s ability to generalize to unseen subjects. Comparative experiments showed that the proposed approach generally outperformed conventional deep learning models, including Bi-LSTM, 2D CNN, and DML + NN, under identical experimental conditions. Notably, the DML module compressed 1280-dimensional EEG features into a 10-dimensional embedding, thus achieving substantial dimensionality reduction while preserving discriminative information. These results suggest that the proposed DML + ANFIS framework provides an effective balance between classification performance, generalization capability, and computational efficiency for EEG-based MDD diagnosis. Full article
(This article belongs to the Special Issue AI-Based Biomedical Signal and Image Processing)
Show Figures

Figure 1

31 pages, 8738 KB  
Article
Fuzzy Adaptive Impedance Control Method for Underwater Manipulators Based on Bayesian Recursive Least Squares and Displacement Correction
by Baoju Wu, Xinyu Liu, Nanmu Hui, Yan Huo, Jiaxiang Zheng and Changjin Dong
Machines 2026, 14(1), 39; https://doi.org/10.3390/machines14010039 - 28 Dec 2025
Viewed by 155
Abstract
During constant-force operations in complex marine environments, underwater manipulators are affected by hydrodynamic disturbances and unknown, time-varying environment stiffness. Under classical impedance control (IC), this often leads to large transient contact forces and steady-state force errors, making high-precision compliant control difficult to achieve. [...] Read more.
During constant-force operations in complex marine environments, underwater manipulators are affected by hydrodynamic disturbances and unknown, time-varying environment stiffness. Under classical impedance control (IC), this often leads to large transient contact forces and steady-state force errors, making high-precision compliant control difficult to achieve. To address this issue, this study proposes a Bayesian recursive least-squares-based fuzzy adaptive impedance control (BRLS-FAIC) strategy with displacement correction for underwater manipulators. Within a position-based impedance-control framework, a Bayesian Recursive Least Squares (BRLS) stiffness identifier is constructed by incorporating process and measurement noise into a stochastic regression model, enabling online estimation of the environment stiffness and its covariance under noisy, time-varying conditions. The identified stiffness is used in a displacement-correction law derived from the contact model to update the reference position, thereby removing dependence on the unknown environment location and reducing steady-state force bias. On this basis, a three-input/two-output fuzzy adaptive impedance tuner, driven by the force error, its rate of change, and a stiffness-perception index, adjusts the desired damping and stiffness online under amplitude limitation and first-order filtering. Using an underwater manipulator dynamic model that includes buoyancy and hydrodynamic effects, MATLAB simulations are carried out for step, ramp, and sinusoidal stiffness variations and for planar, inclined, and curved contact scenarios. The results show that, compared with classical IC and fuzzy adaptive impedance control (FAIC), the proposed BRLS-FAIC strategy reduces steady-state force errors, shortens force and position settling times, and suppresses peak contact forces in variable-stiffness underwater environments. Full article
(This article belongs to the Section Automation and Control Systems)
Show Figures

Figure 1

22 pages, 5377 KB  
Article
Mitigating Neural Habituation in Insect Bio-Bots: A Dual-Timescale Adaptive Control Approach
by Le Minh Triet and Nguyen Truong Thinh
Biomimetics 2026, 11(1), 13; https://doi.org/10.3390/biomimetics11010013 - 27 Dec 2025
Viewed by 253
Abstract
Bio-cybernetic organisms combine biological locomotion with electronic control but face significant challenges regarding individual variability and stimulus habituation. This study introduces an Adaptive Neuro-Fuzzy Inference System (ANFIS) designed to dynamically calibrate to individual Gromphadorhina portentosa specimens. Using a miniaturized neural controller, we compared [...] Read more.
Bio-cybernetic organisms combine biological locomotion with electronic control but face significant challenges regarding individual variability and stimulus habituation. This study introduces an Adaptive Neuro-Fuzzy Inference System (ANFIS) designed to dynamically calibrate to individual Gromphadorhina portentosa specimens. Using a miniaturized neural controller, we compared ANFIS’s performance against natural behavior and non-adaptive control methods. Results demonstrate ANFIS’s superiority: obstacle navigation efficiency reached 81% (compared to 42% for non-adaptive methods), and effective behavioral modulation was sustained for 47 min (versus 26 min). Furthermore, the system achieved 73% target acquisition in complex terrain and maintained stimulus responsiveness 3.5-fold longer through sophisticated habituation compensation. Biocompatibility assessments confirmed interface functionality over 14-day periods. This research establishes foundational benchmarks for arthropod bio-cybernetics, demonstrating that adaptive neuro-fuzzy architectures significantly outperform conventional methods, enabling robust bio-hybrid platforms suitable for confined-space search-and-rescue operations. Full article
Show Figures

Figure 1

19 pages, 2216 KB  
Article
Research on Bi-Level Optimal Scheduling Strategy for Agricultural Park Integrated Energy System Considering External Meteorological Environmental Uncertainty
by Zeyi Wang, Yao Wang, Li Xie, Hongyu Sun, Xueshan Ni and Hua Zheng
Processes 2026, 14(1), 95; https://doi.org/10.3390/pr14010095 - 26 Dec 2025
Viewed by 165
Abstract
The Agricultural Park Integrated Energy System (APIES) is a key platform for integrating distributed renewable energy (DRE) with agricultural production. However, its economic operation and the stability of crop growth environments are severely challenged by bidirectional uncertainties from external meteorology. These include the [...] Read more.
The Agricultural Park Integrated Energy System (APIES) is a key platform for integrating distributed renewable energy (DRE) with agricultural production. However, its economic operation and the stability of crop growth environments are severely challenged by bidirectional uncertainties from external meteorology. These include the inherent variability of wind-solar generation and critical agricultural loads, such as supplementary lighting and temperature control, a challenge that existing models with static environmental parameters fail to address. To solve this, a bi-level optimization scheduling model for APIES considering meteorological uncertainty is proposed. The upper layer minimizes operation costs by quantifying uncertainties via triangular fuzzy chance constraints, with core constraints on DRE output, energy storage charging-discharging, and load shifting, solved by YALMIP-Gurobi linear programming. The lower layer maximizes crop growth environment satisfaction using a dynamic weight adaptive mechanism and NSGA-II multi-objective algorithm. The two layers iterate alternately for coordination. Using a small agricultural park in Xinjiang, China, as a case study, the results indicate that the proposed two-layer optimal scheduling model reduces costs by 10.8% compared to the traditional single-layer optimization model, and improves environmental satisfaction by 4.3% compared to the fixed-weight two-layer optimization model. Full article
Show Figures

Figure 1

25 pages, 2951 KB  
Article
Towards Clinical Trial Readiness: Optimization of a Parallel Robot for Lower Limb Rehabilitation
by Paul Tucan, Oana Maria Vanta, Alin Horsia, Ionut Zima, David Mihai Lupu, Calin Vaida, Daniela Jucan, José Machado and Doina Pisla
Bioengineering 2026, 13(1), 26; https://doi.org/10.3390/bioengineering13010026 - 26 Dec 2025
Viewed by 229
Abstract
This study presents the clinical trial readiness and optimization of a parallel robotic system developed for early-stage lower limb rehabilitation of bedridden patients using feedback from healthy users and clinicians. The system combines a parallel hip–knee mechanism with a Bowden cable-driven ankle module, [...] Read more.
This study presents the clinical trial readiness and optimization of a parallel robotic system developed for early-stage lower limb rehabilitation of bedridden patients using feedback from healthy users and clinicians. The system combines a parallel hip–knee mechanism with a Bowden cable-driven ankle module, both actuated by servomotors and controlled through a PLC platform. Experimental tests were performed in laboratory conditions with twenty healthy participants (aged 25–45) and ten clinicians, focusing on safety, ergonomics, clinical usability, and comfort through structured questionnaires. The responses were quantified and analyzed using a Mamdani-type fuzzy logic model, allowing subjective feedback to be converted into objective redesign priorities. Safety, torque capacity, and adaptability emerged as the key areas that need improvement. Subsequent mechanical and structural refinements resulted in substantial gains in user comfort, perceived safety, and clinician-reported applicability. The optimized robotic system demonstrates enhanced functionality and improved readiness for clinical evaluation, highlighting the benefit of incorporating fuzzy logic-based feedback into the development of rehabilitation robots. Full article
(This article belongs to the Special Issue Advances in Robotic-Assisted Rehabilitation)
Show Figures

Figure 1

Back to TopTop