Sign in to use this feature.

Years

Between: -

Subjects

remove_circle_outline
remove_circle_outline
remove_circle_outline
remove_circle_outline
remove_circle_outline
remove_circle_outline
remove_circle_outline

Journals

Article Types

Countries / Regions

Search Results (19)

Search Parameters:
Keywords = active interference cancellation

Order results
Result details
Results per page
Select all
Export citation of selected articles as:
48 pages, 15591 KB  
Review
A Review of Artificial Intelligence-Driven Active Vibration and Noise Control
by Zongkang Jiang, Hongtao Xue, Huiyu Yue, Xiaoyi Bao, Junwei Zhu, Xuan Wang and Liang Zhang
Machines 2025, 13(10), 946; https://doi.org/10.3390/machines13100946 - 13 Oct 2025
Viewed by 3142
Abstract
The core objective of Active Vibration and Noise Control (AVNC) is to enhance system performance by generating real-time counter-phase signals of equal amplitude to cancel out vibration and noise interference from mechanical or structural systems. As the demand for low-noise, low-vibration environments grows [...] Read more.
The core objective of Active Vibration and Noise Control (AVNC) is to enhance system performance by generating real-time counter-phase signals of equal amplitude to cancel out vibration and noise interference from mechanical or structural systems. As the demand for low-noise, low-vibration environments grows in fields such as new energy vehicles (NEVs), aerospace, and high-precision manufacturing, traditional AVNC methods—which rely on precise linear models and have poor adaptability to nonlinear and time-varying conditions—struggle to meet the dynamic requirements of complex engineering scenarios. However, with advancements in artificial intelligence (AI) technology, AI-driven Active Vibration and Noise Control (AI-AVNC) technology has garnered significant attention from both industry and academia. Based on a thorough investigation into the state-of-the-art AI-AVNC methods, this survey has made the following contributions: (1) Introducing the theoretical foundations of AVNC and its historical development; (2) Classifying existing AI-AVNC methods from the perspective of control strategies; (3) Analyzing engineering applications of AI-AVNC; (4) Discussing current technical challenges and future development trends of AI-AVNC. Full article
(This article belongs to the Special Issue New Journeys in Vehicle System Dynamics and Control)
Show Figures

Figure 1

14 pages, 1682 KB  
Article
Recording of Cardiac Excitation Using a Novel Magnetocardiography System with Magnetoresistive Sensors Outside a Magnetic Shielded Room
by Leo Yaga, Miki Amemiya, Yu Natsume, Tomohiko Shibuya and Tetsuo Sasano
Sensors 2025, 25(15), 4642; https://doi.org/10.3390/s25154642 - 26 Jul 2025
Cited by 1 | Viewed by 2459
Abstract
Magnetocardiography (MCG) provides a non-invasive, contactless technique for evaluating the magnetic fields generated by cardiac electrical activity, offering unique spatial insights into cardiac electrophysiology. However, conventional MCG systems depend on superconducting quantum interference devices that require cryogenic cooling and magnetic shielded environments, posing [...] Read more.
Magnetocardiography (MCG) provides a non-invasive, contactless technique for evaluating the magnetic fields generated by cardiac electrical activity, offering unique spatial insights into cardiac electrophysiology. However, conventional MCG systems depend on superconducting quantum interference devices that require cryogenic cooling and magnetic shielded environments, posing considerable impediments to widespread clinical adoption. In this study, we present a novel MCG system utilizing a high-sensitivity, wide-dynamic-range magnetoresistive sensor array operating at room temperature. To mitigate environmental interference, identical sensors were deployed as reference channels, enabling adaptive noise cancellation (ANC) without the need for traditional magnetic shielding. MCG recordings were obtained from 40 healthy participants, with signals processed using ANC, R-peak-synchronized averaging, and Bayesian spatial signal separation. This approach enabled the reliable detection of key cardiac components, including P, QRS, and T waves, from the unshielded MCG recordings. Our findings underscore the feasibility of a cost-effective, portable MCG system suitable for clinical settings, presenting new opportunities for noninvasive cardiac diagnostics and monitoring. Full article
(This article belongs to the Special Issue Novel Optical Sensors for Biomedical Applications—2nd Edition)
Show Figures

Figure 1

23 pages, 2098 KB  
Article
Innovative Control Techniques for Enhancing Signal Quality in Power Applications: Mitigating Electromagnetic Interference
by N. Manoj Kumar, Yousef Farhaoui, R. Vimala, M. Anandan, M. Aiswarya and A. Radhika
Algorithms 2025, 18(5), 288; https://doi.org/10.3390/a18050288 - 18 May 2025
Viewed by 1015
Abstract
Electromagnetic interference (EMI) remains a difficult task in the design and operation of contemporary power electronic systems, especially in those applications where signal quality has a direct impact on the overall performance and efficiency. Conventional control schemes that have evolved to counteract the [...] Read more.
Electromagnetic interference (EMI) remains a difficult task in the design and operation of contemporary power electronic systems, especially in those applications where signal quality has a direct impact on the overall performance and efficiency. Conventional control schemes that have evolved to counteract the effects of EMI generally tend to have greater design complexity, greater error rates, poor control accuracy, and large amounts of harmonic distortion. In order to overcome these constraints, this paper introduces an intelligent and advanced control approach founded on the signal randomization principle. The suggested approach controls the switching activity of a DC–DC converter by dynamically tuned parameters like duty cycle, switching frequency, and signal modulation. A boost interleaved topology is utilized to maximize the current distribution and minimize ripple, and an innovative space vector-dithered sigma delta modulation (SV-DiSDM) scheme is proposed for cancelling harmonics via a digitalized control action. The used modulation scheme can effectively distribute the harmonic energy across a larger range of frequencies to largely eliminate EMI and boost the stability of the system. High-performance analysis is conducted by employing significant measures like total harmonic distortion (THD), switching frequency deviation, switching loss, and distortion product. Verification against conventional control models confirms the increased efficiency, less EMI, and greater signal integrity of the proposed method, and hence, it can be a viable alternative for EMI-aware power electronics applications. Full article
(This article belongs to the Special Issue Emerging Trends in Distributed AI for Smart Environments)
Show Figures

Figure 1

11 pages, 4168 KB  
Article
Digital Active EMI Filter for Smart Electronic Power Converters
by Michele Darisi, Tommaso Caldognetto, Davide Biadene and Marco Stellini
Electronics 2024, 13(19), 3889; https://doi.org/10.3390/electronics13193889 - 30 Sep 2024
Cited by 3 | Viewed by 3770
Abstract
Electronic power converters are widespread and crucial components in modern energy scenarios. Beyond mere electrical energy conversion, their electronic structure allows several functionalities to be naturally embedded in them, including energy management, diagnosis, communication, etc. The operation of the converter itself, or the [...] Read more.
Electronic power converters are widespread and crucial components in modern energy scenarios. Beyond mere electrical energy conversion, their electronic structure allows several functionalities to be naturally embedded in them, including energy management, diagnosis, communication, etc. The operation of the converter itself, or the system interfaced by the same, commonly produces undesired electromagnetic interferences (EMIs) that should comply with prescribed limits. This paper presents a digital active EMI filter designed to mitigate such disturbances. The proposed hardware implementation can acquire and analyze the common-mode (CM) noise affecting the circuit and inject a compensation signal to attenuate the measured interference. A novel adaptive algorithm is introduced to compute the necessary signals for effective noise cancellation. The implementation is integrated within a single printed circuit board interfaced with a field-programmable gate array (FPGA) running the control algorithm. The digital filter’s efficacy in EMI reduction is demonstrated using a synchronous buck converter with gallium nitride (GaN) power devices, achieving significant noise reduction. Additionally, potential functionalities are envisioned to fully exploit the capabilities of the proposal beyond EMI filtering, like fault detection, predictive maintenance, smart converter optimization, and communication. Full article
Show Figures

Figure 1

34 pages, 7032 KB  
Article
Radio Signal Modulation Recognition Method Based on Hybrid Feature and Ensemble Learning: For Radar and Jamming Signals
by Yu Zhou, Ronggang Cao, Anqi Zhang and Ping Li
Sensors 2024, 24(15), 4804; https://doi.org/10.3390/s24154804 - 24 Jul 2024
Cited by 5 | Viewed by 2305
Abstract
The detection performance of radar is significantly impaired by active jamming and mutual interference from other radars. This paper proposes a radio signal modulation recognition method to accurately recognize these signals, which helps in the jamming cancellation decisions. Based on the ensemble learning [...] Read more.
The detection performance of radar is significantly impaired by active jamming and mutual interference from other radars. This paper proposes a radio signal modulation recognition method to accurately recognize these signals, which helps in the jamming cancellation decisions. Based on the ensemble learning stacking algorithm improved by meta-feature enhancement, the proposed method adopts random forests, K-nearest neighbors, and Gaussian naive Bayes as the base-learners, with logistic regression serving as the meta-learner. It takes the multi-domain features of signals as input, which include time-domain features including fuzzy entropy, slope entropy, and Hjorth parameters; frequency-domain features, including spectral entropy; and fractal-domain features, including fractal dimension. The simulation experiment, including seven common signal types of radar and active jamming, was performed for the effectiveness validation and performance evaluation. Results proved the proposed method’s performance superiority to other classification methods, as well as its ability to meet the requirements of low signal-to-noise ratio and few-shot learning. Full article
(This article belongs to the Section Radar Sensors)
Show Figures

Figure 1

20 pages, 698 KB  
Article
Active STARS-Assisted Rate-Splitting Multiple-Access Networks
by Jin Xie, Xinwei Yue, Zhihao Han, Xuliang Liu and Wei Xiang
Electronics 2023, 12(18), 3815; https://doi.org/10.3390/electronics12183815 - 9 Sep 2023
Cited by 8 | Viewed by 2142
Abstract
The active simultaneously transmitting/reflecting surface (ASTARS) is considered a promising technique to achieve full spatial coverage and overcome multiplicative fading caused by cascaded paths. This paper investigates the performance of ASTARS-assisted rate-splitting multiple-access networks (ASTARS-RSMA) with multiple transmission users (TUs) and reflection users [...] Read more.
The active simultaneously transmitting/reflecting surface (ASTARS) is considered a promising technique to achieve full spatial coverage and overcome multiplicative fading caused by cascaded paths. This paper investigates the performance of ASTARS-assisted rate-splitting multiple-access networks (ASTARS-RSMA) with multiple transmission users (TUs) and reflection users (RUs). The energy-splitting configurations of ASTARS and the effects of imperfect/perfect successive interference cancellation (SIC) on ASTARS-RSMA networks are considered in the analysis. We derive new exact and asymptotic expressions of the outage probability with imperfect/perfect SIC for TUs and RUs. On this basis, we further calculate the diversity orders of TUs and RUs. Moreover, the system throughput and energy efficiency (EE) of ASTARS-RSMA are evaluated in the delay-limited mode. The simulation results confirm the accuracy of the theoretical expressions and show that (i) the outage probability and system throughput with imperfect/perfect SIC of ASTARS-RSMA exceed that of passive simultaneously transmitting/reflecting surface (PSTARS)-assisted RSMA when the number of elements is not too large; (ii) although ASTARS increases power consumption compared to PSTARS, it can bring further EE improvements to RSMA networks. Full article
Show Figures

Figure 1

34 pages, 773 KB  
Article
On Power-Efficient Low-Complexity Adaptation for D2D Resource Allocation with Interference Cancelation
by Redha M. Radaydeh
Sensors 2023, 23(16), 7138; https://doi.org/10.3390/s23167138 - 12 Aug 2023
Viewed by 1383
Abstract
This paper presents a detailed framework for adaptive low-complexity and power-efficient resource allocation in decentralized device-to-device (D2D) networks. The adopted system model considers that active devices can directly communicate via specified signaling channels. Each D2D receiver attempts to allocate its D2D resources by [...] Read more.
This paper presents a detailed framework for adaptive low-complexity and power-efficient resource allocation in decentralized device-to-device (D2D) networks. The adopted system model considers that active devices can directly communicate via specified signaling channels. Each D2D receiver attempts to allocate its D2D resources by selecting a D2D transmitter and one of its spectral channels that can meet its performance target. The process is performed adaptively over successive packet durations with the objective of limiting the transmit power on D2D links while reducing the processing complexity. The proposed D2D link adaptation scheme is modeled and analyzed under generalized channel conditions. It considers the random impact of potential D2D transmitters as well as the random number of co-channel interference sources on each D2D link. Interference cancelation schemes are also addressed to alleviate co-channel interference, which can ease the D2D resource allocation process. Generalized formulations for the statistics of the resulting signal-to-interference plus noise ratio (SINR) of the proposed adaptation scheme are presented. Moreover, generic analytical results were developed for some important performance measures as well as processing load measures. They facilitate tradeoff studies between the achieved performance and the processing complexity of the proposed scheme. Insightful results for the distributions of SINRs on individual D2D links under specific fading models are shown in this paper. The results herein add enhancements to some previous contributions and can handle various practical constraints. Full article
(This article belongs to the Special Issue Homogeneous and Heterogeneous Clustered Sensor Networks)
Show Figures

Figure 1

17 pages, 4408 KB  
Article
Interference Suppression in EEG Dipole Source Localization through Reduced-Rank Beamforming
by Eduardo Jiménez-Cruz and David Gutiérrez
Appl. Sci. 2023, 13(5), 3241; https://doi.org/10.3390/app13053241 - 3 Mar 2023
Viewed by 2682
Abstract
In this paper, we propose new neural activity indices for the solution of the inverse problem of localizing sources of cortical activity from electroencephalography (EEG) measurements. Such indices are based on reduced-rank beamformers, specifically the generalized sidelobe canceler (GSC), and with the purpose [...] Read more.
In this paper, we propose new neural activity indices for the solution of the inverse problem of localizing sources of cortical activity from electroencephalography (EEG) measurements. Such indices are based on reduced-rank beamformers, specifically the generalized sidelobe canceler (GSC), and with the purpose of suppressing the contribution of interfering sources and noise. Here, the GSC is modified with an adaptive blocking matrix (ABM) to optimally estimate and later suppress unwanted brain sources. With respect to the rank-reduction, this is achieved through the cross-spectral metrics (CSM) as they give a sense of the affinity of the beamformers’ eigenstructure to the orthogonal subspace of noise an interference. Based on that, two different neural indices are proposed for the assessment of brain activation. Our realistic simulations show that a more consistent source localization is achieved through the proposed indices in comparison to the use of the traditional full-rank approach, specifically for brain sources embedded in high background activity that originates at the brain cortex and thalamus. We also prove the applicability of our methods on the localization of sources on the visual cortex produced by steady-state visual-evoked potentials. Full article
Show Figures

Figure 1

18 pages, 5472 KB  
Article
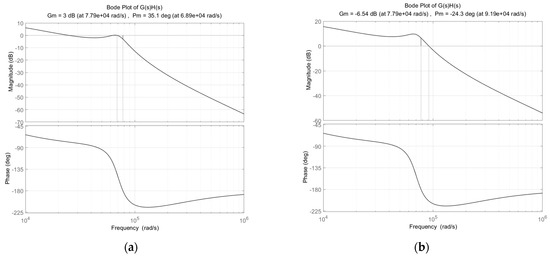
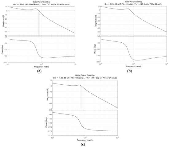
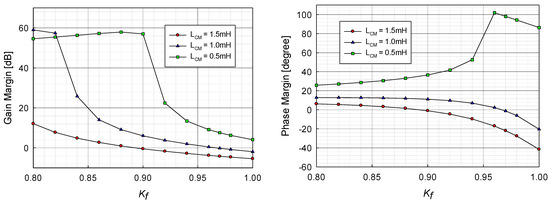
Considerations for Gain Selection of Feedforward Active EMI Filters
by Se-Kyo Chung and Byeong-Geuk Kang
Symmetry 2022, 14(9), 1826; https://doi.org/10.3390/sym14091826 - 2 Sep 2022
Cited by 1 | Viewed by 3171
Abstract
The reduction of the electromagnetic interference (EMI) is an important issue in the design of switching power converters. The passive EMI filter has been widely used for the reduction of the conducted EMI. The active EMI filter (AEF) has recently been considered as [...] Read more.
The reduction of the electromagnetic interference (EMI) is an important issue in the design of switching power converters. The passive EMI filter has been widely used for the reduction of the conducted EMI. The active EMI filter (AEF) has recently been considered as a useful alternate for the small sized implementation. This paper deals with an optimal design of a voltage sensing and voltage cancellation (VSVC) type feedforward AEF. The ideal feedforward AEF is theoretically stable because it does not have any feedback loop. However, some non-ideal factors such as the source and load impedances cause the unstable operation of the AEF for certain AEF gains, which limits the magnitude of the gain and degrades the performance of the AEF. In order to overcome this problem, the method of selecting the optimum AEF gain is studied with considering both the stability and AEF performance using the concept of the symmetry. The characteristics of the cancellation loop for the AEF including the source and load impedances is first investigated in view of the stability. The boundary of the maximum AEF gain to ensure the stable operation is then discussed based on the theoretic analysis and experimental works for the actual AEF. The results can be used for implementing the AEF with the optimum EMI reduction performance. Full article
Show Figures

Figure 1

24 pages, 1029 KB  
Article
Secrecy Coding Analysis of Short-Packet Full-Duplex Transmissions with Joint Iterative Channel Estimation and Decoding Processes
by Bao Quoc Vuong, Roland Gautier, Anthony Fiche, Mélanie Marazin and Cristina Despina-Stoian
Sensors 2022, 22(14), 5257; https://doi.org/10.3390/s22145257 - 14 Jul 2022
Cited by 2 | Viewed by 2169
Abstract
This paper studies the secrecy coding analysis achieved by the self-jamming technique in the presence of an eavesdropper by considering a short-packet Full-Duplex (FD) transmission developed based on iterative blind or semi-blind channel estimation and advanced decoding algorithms. Indeed, the legitimate receiver and [...] Read more.
This paper studies the secrecy coding analysis achieved by the self-jamming technique in the presence of an eavesdropper by considering a short-packet Full-Duplex (FD) transmission developed based on iterative blind or semi-blind channel estimation and advanced decoding algorithms. Indeed, the legitimate receiver and eavesdropper can simultaneously receive the intended signal from the transmitter and broadcast a self-jamming or jamming signal to the others. Unlike other conventional techniques without feedback, the blind or semi-blind algorithm applied at the legitimate receiver can simultaneously estimate, firstly, the Self-Interference (SI) channel to cancel the SI component and, secondly, estimate the propagation channel, then decode the intended messages by using 5G Quasi-Cyclic Low-Density Parity Check (QC-LDPC) codes. Taking into account the passive eavesdropper case, the blind channel estimation with a feedback scheme is applied, where the temporary estimation of the intended channel and the decoded message are fed back to improve both the channel estimation and the decoding processes. Only the blind algorithm needs to be implemented in the case of a passive eavesdropper because it achieves sufficient performances and does not require adding pilot symbols as the semi-blind algorithm. In the case of an active eavesdropper, based on its robustness in the low region of the Signal-to-Noise Ratio (SNR), the semi-blind algorithm is considered by trading four pilot symbols and only requiring the feedback for channel estimation processes in order to overcome the increase in noise in the legitimate receiver. The results show that the blind or semi-blind algorithms outperform the conventional algorithm in terms of Mean Square Error (MSE), Bit Error Rate (BER) and security gap (Sg). In addition, it has been shown that the blind or semi-blind algorithms are less sensitive to high SI and self-jamming interference power levels imposed by secured FD transmission than the conventional algorithms without feedback. Full article
(This article belongs to the Special Issue Physical-Layer Security for Wireless Communications)
Show Figures

Figure 1

16 pages, 13973 KB  
Article
A Magnetic Field Canceling System Design for Diminishing Electromagnetic Interference to Avoid Environmental Hazard
by Yu-Lin Song, Hung-Yi Lin, Saravanan Manikandan and Luh-Maan Chang
Int. J. Environ. Res. Public Health 2022, 19(6), 3664; https://doi.org/10.3390/ijerph19063664 - 19 Mar 2022
Cited by 9 | Viewed by 3373
Abstract
Electromagnetic interference is a serious and increasing form of environmental pollution, creating many issues in the areas of health care and industrial manufacturing. The performance of high-precision measurement equipment used in health care and the manufacturing industry is sensitive to electromagnetic interference. However, [...] Read more.
Electromagnetic interference is a serious and increasing form of environmental pollution, creating many issues in the areas of health care and industrial manufacturing. The performance of high-precision measurement equipment used in health care and the manufacturing industry is sensitive to electromagnetic interference. However, extremely low-frequency magnetic fields (ELFMF), with a frequency range from 3 to 30 Hz, generated by high-power lines have become the main interference source in high-tech foundries. This paper presents a magnetic cancelling system that works by combining active cancelling technology and passive cancelling technology to reduce the ELFMF around high-precision measurement equipment. The simulation and experimental results show the validity and feasibility of the proposed system. Full article
Show Figures

Figure 1

21 pages, 16196 KB  
Article
Robust L Approximation of an LCL Filter Type Grid-Connected Inverter Using Active Disturbance Rejection Control under Grid Impedance Uncertainty
by Muhammad Saleem, Muhammad Hanif Ahmed Khan Khushik, Hira Tahir and Rae-Young Kim
Energies 2021, 14(17), 5276; https://doi.org/10.3390/en14175276 - 25 Aug 2021
Cited by 4 | Viewed by 4574
Abstract
High-order filters, such as LCL, are more commonly employed in grid-connected inverters (GcIs) as an interference element for the better attenuation of switching harmonics. However, LCL filters may have resonance poles and antiresonance zeros in the frequency response with inverter side current. [...] Read more.
High-order filters, such as LCL, are more commonly employed in grid-connected inverters (GcIs) as an interference element for the better attenuation of switching harmonics. However, LCL filters may have resonance poles and antiresonance zeros in the frequency response with inverter side current. This may affect the stability of the system and limit the control bandwidth with the simple single-loop PI control. This becomes severe with the introduction of grid impedance due to the large distance between renewable energy sources and the power grid. To mitigate this effect, active damping and sensorless damping is preferred with pre-information about grid impedance. In this paper, linear active disturbance rejection control (ADRC) is introduced, first to L filter type GcI and later extended to LCL filter type GcIs with minimum modification. From the frequency analysis, it is shown that the characteristics of the proposed control scheme remain the same even with a change in filter order and grid impedance. The resonance poles and antiresonance zeros in the LCL filter are compensated via the pole–zero cancelation technique. In addition to this, the preserve bandwidth, simple control design, and decoupled current control are also achieved with the proposed method. The robustness of the proposed method is compared with the single-loop PI control under different filter types and grid impedance uncertainty through MATLAB simulation and experimental outcomes. Full article
Show Figures

Figure 1

19 pages, 3309 KB  
Article
Machine Learning-Inspired Hybrid Precoding for mmWave MU-MIMO Systems with Domestic Switch Network
by Xiang Li, Yang Huang, Wei Heng and Jing Wu
Sensors 2021, 21(9), 3019; https://doi.org/10.3390/s21093019 - 25 Apr 2021
Cited by 11 | Viewed by 3759
Abstract
Hybrid precoding is an attractive technique in MU-MIMO systems with significantly reduced hardware costs. However, it still requires a complex analog network to connect the RF chains and antennas. In this paper, we develop a novel hybrid precoding structure for the downlink transmission [...] Read more.
Hybrid precoding is an attractive technique in MU-MIMO systems with significantly reduced hardware costs. However, it still requires a complex analog network to connect the RF chains and antennas. In this paper, we develop a novel hybrid precoding structure for the downlink transmission with a compact RF structure. Specifically, the proposed structure relies on domestic connections instead of global connections to link RF chains and antennas. Fixed-degree phase shifters provide candidate signals, and simple on-off switches are used to route the signal to antennas, thus RF adders are no longer required. Baseband zero forcing and block diagonalization are used to cancel interference for single-antenna and multiple-antenna users, respectively. We formulate how to design the RF precoder by optimizing the probability distribution through cross-entropy minimization which originated in machine learning. To optimize the energy efficiency, we use the fractional programming technique and exploit the Dinkelbach method-based framework to optimize the number of active antennas. Simulation results show that proposed algorithms can yield significant advantages under different configurations. Full article
(This article belongs to the Special Issue Massive MIMO and mm-Wave Communications)
Show Figures

Figure 1

15 pages, 21420 KB  
Article
A Robust Dual-Microphone Generalized Sidelobe Canceller Using a Bone-Conduction Sensor for Speech Enhancement
by Yi Zhou, Haiping Wang, Yijing Chu and Hongqing Liu
Sensors 2021, 21(5), 1878; https://doi.org/10.3390/s21051878 - 8 Mar 2021
Cited by 6 | Viewed by 3659
Abstract
The use of multiple spatially distributed microphones allows performing spatial filtering along with conventional temporal filtering, which can better reject the interference signals, leading to an overall improvement of the speech quality. In this paper, we propose a novel dual-microphone generalized sidelobe canceller [...] Read more.
The use of multiple spatially distributed microphones allows performing spatial filtering along with conventional temporal filtering, which can better reject the interference signals, leading to an overall improvement of the speech quality. In this paper, we propose a novel dual-microphone generalized sidelobe canceller (GSC) algorithm assisted by a bone-conduction (BC) sensor for speech enhancement, which is named BC-assisted GSC (BCA-GSC) algorithm. The BC sensor is relatively insensitive to the ambient noise compared to the conventional air-conduction (AC) microphone. Hence, BC speech can be analyzed to generate very accurate voice activity detection (VAD), even in a high noise environment. The proposed algorithm incorporates the VAD information obtained by the BC speech into the adaptive blocking matrix (ABM) and adaptive noise canceller (ANC) in GSC. By using VAD to control ABM and combining VAD with signal-to-interference ratio (SIR) to control ANC, the proposed method could suppress interferences and improve the overall performance of GSC significantly. It is verified by experiments that the proposed GSC system not only improves speech quality remarkably but also boosts speech intelligibility. Full article
(This article belongs to the Section Sensor Networks)
Show Figures

Figure 1

21 pages, 3617 KB  
Article
Multirate Audio-Integrated Feedback Active Noise Control Systems Using Decimated-Band Adaptive Filters for Reducing Narrowband Noises
by Antonius Siswanto, Cheng-Yuan Chang and Sen M. Kuo
Sensors 2020, 20(22), 6693; https://doi.org/10.3390/s20226693 - 23 Nov 2020
Cited by 5 | Viewed by 4498
Abstract
Audio-integrated feedback active noise control (AFANC) systems deliver wideband audio signals and cancel low frequency narrowband noises simultaneously. The conventional AFANC system uses single-rate processing with fullband adaptive active noise control (ANC) filter for generating anti-noise signal and fullband audio cancelation filter for [...] Read more.
Audio-integrated feedback active noise control (AFANC) systems deliver wideband audio signals and cancel low frequency narrowband noises simultaneously. The conventional AFANC system uses single-rate processing with fullband adaptive active noise control (ANC) filter for generating anti-noise signal and fullband audio cancelation filter for audio-interference cancelation. The conventional system requires a high sampling rate for audio processing. Thus, the fullband adaptive filters require long filter lengths, resulting in high computational complexity and impracticality in real-time system. This paper proposes a multirate AFANC system using decimated-band adaptive filters (DAFs) to decrease the required filter lengths. The decimated-band adaptive ANC filter is updated by the proposed decimated filtered-X least mean square (FXLMS) algorithm, and the decimated-band audio cancelation filter can be obtained by the proposed on-line and off-line decimated secondary-path modeling algorithms. The computational complexity can be decreased significantly in the proposed AFANC system with good enough noise reduction and fast convergence speed, which were verified in the analysis and computer simulations. The proposed AFANC system was implemented for an active headrest system, and the real-time performances were tested in real-time experiments. Full article
(This article belongs to the Special Issue Intelligent Acoustic Sensors and Its Applications)
Show Figures

Figure 1

Back to TopTop