Secrecy Coding Analysis of Short-Packet Full-Duplex Transmissions with Joint Iterative Channel Estimation and Decoding Processes
Abstract
:1. Introduction
- We evaluate a combination of self-jamming techniques with a joint iterative blind or semi-blind channel estimation and decoding for a FD short-packet transmissions in the cases of passive and active eavesdroppers, respectively;
- We characterize that the system developed based on the new proposed algorithms have better performance compared to the conventional algorithms without feedback in terms of security metrics;
- We point out that the legitimate receivers are less sensitive to self-interference as well as the jamming power from the eavesdropper in our approach.
- We emphasize that the proposed algorithms provides a higher robustness not only to the security and reliability factors but also to the power consumption by reducing the SNR at the legitimate receiver for decoding the message, which suits short-packet FD IoT transmissions and green communications.
2. Full-Duplex Transceiver with Passive/Active Eavesdropper Transmission System
2.1. General System Model
2.2. Conventional Schemes without Feedback
- In case of a passive eavesdropper, only blind channel estimation is used, where there is no knowledge about the channel state information at all communication users;
- In case of an active eavesdropper, both blind and semi-blind channel estimations, where all transceivers share a few pilot symbols, are mainly implemented;
- User E knows the parity check matrix of user B and performs the SPA decoding mechanism; user E also uses an RLS algorithm in the DSIC process of user A in case of an active eavesdropper;
- Both user A and user E have equal computation capabilities, and the location of user E is close enough to user A to broadcast its jamming signal as well as to be attacked by the self-jamming signal from user A;
- The channel gains at the receiver and the eavesdropper are constant within a code word and change from one to another in fading channels;
- The impact of hardware impairments on the SI cancellation is not considered (which is outside the scope of this study but essential in practice). Moreover, the problem of the synchronization process between the transceivers is also not taken into account. Last but not least, the bit resolution of DAC/ADC is chosen to be high enough to bypass the effect of the quantization noise, i.e., larger than 6 bits for both DAC/ADC process. Alternatively, the oversampling should be applied in the ADC process if the green communication system and IoT applications are considered with low-bit ADC [39].
2.3. Security Gap
3. Case I: Passive Eavesdropper
3.1. Passive Eavesdropper System Model
3.2. Blind Feedback Scheme
3.3. Simulation Specifications
3.4. MSE Performances
3.4.1. MSE at the Legitimate Receiver User A
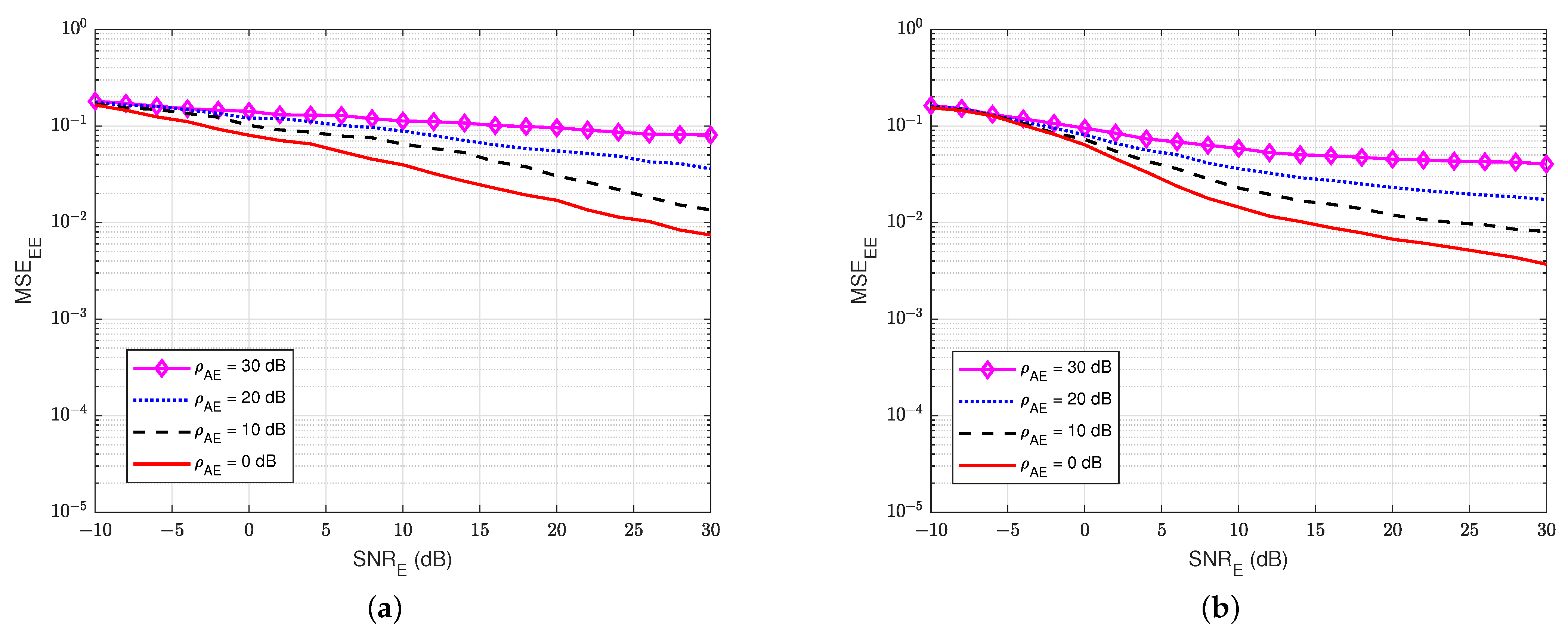
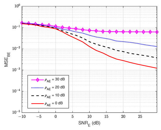
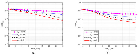
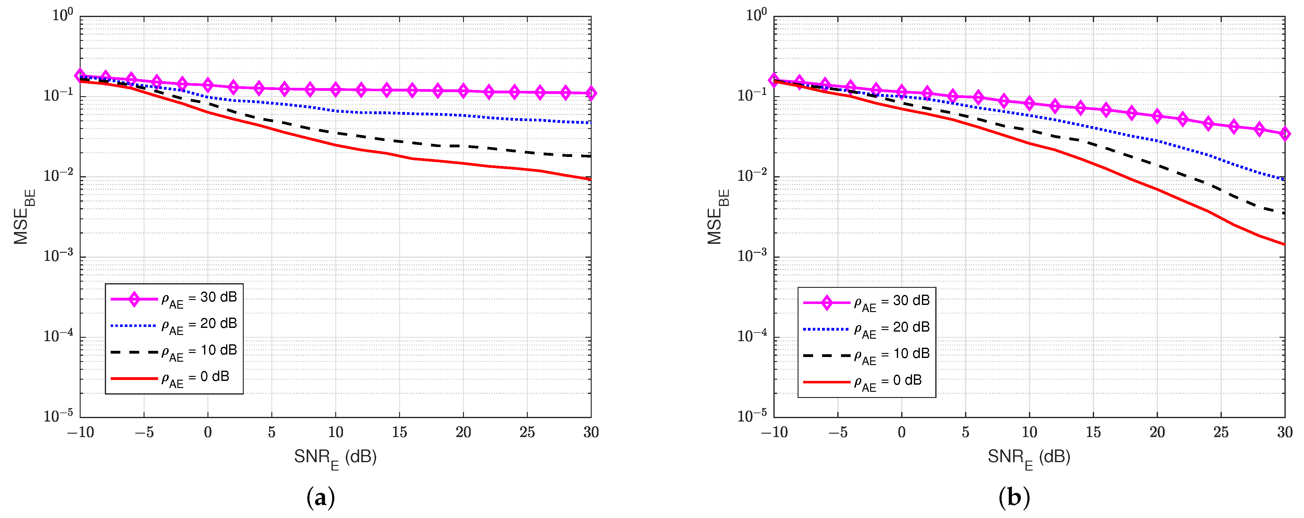
3.4.2. MSE at the Eavesdropper User E
3.5. BER Performances
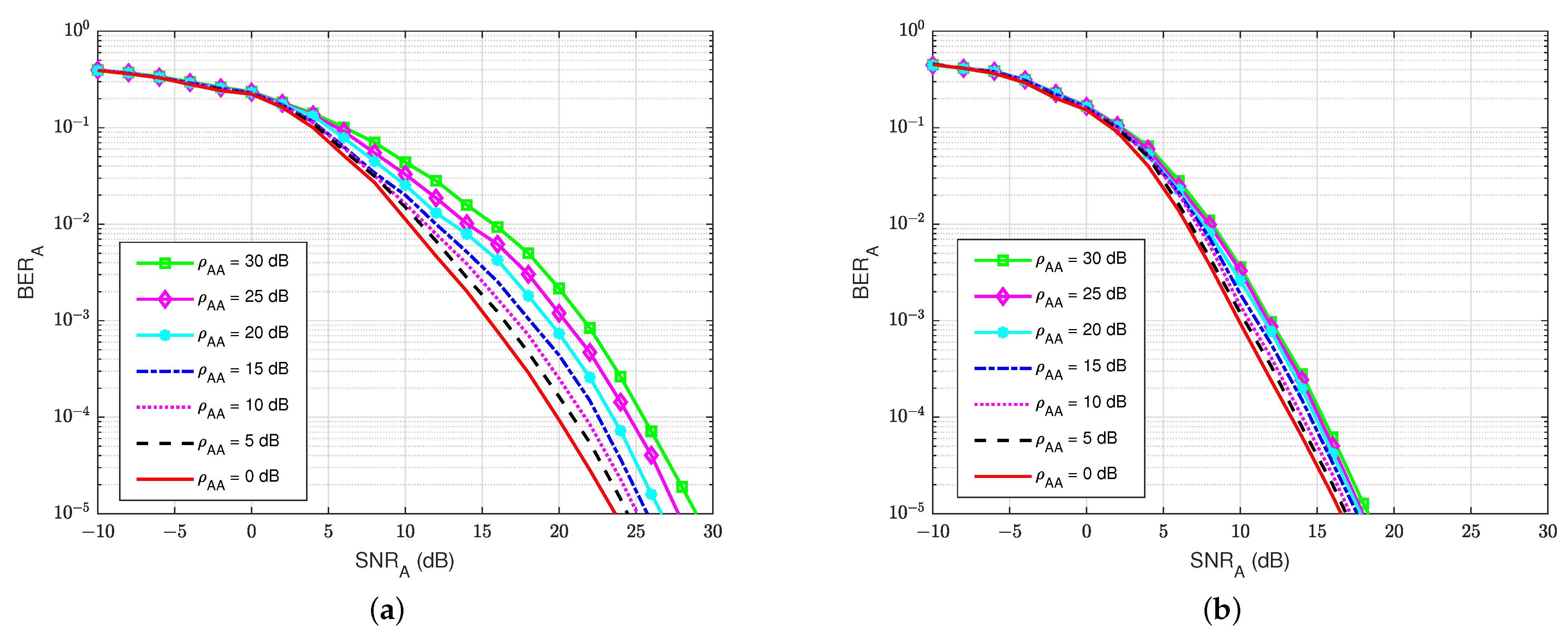
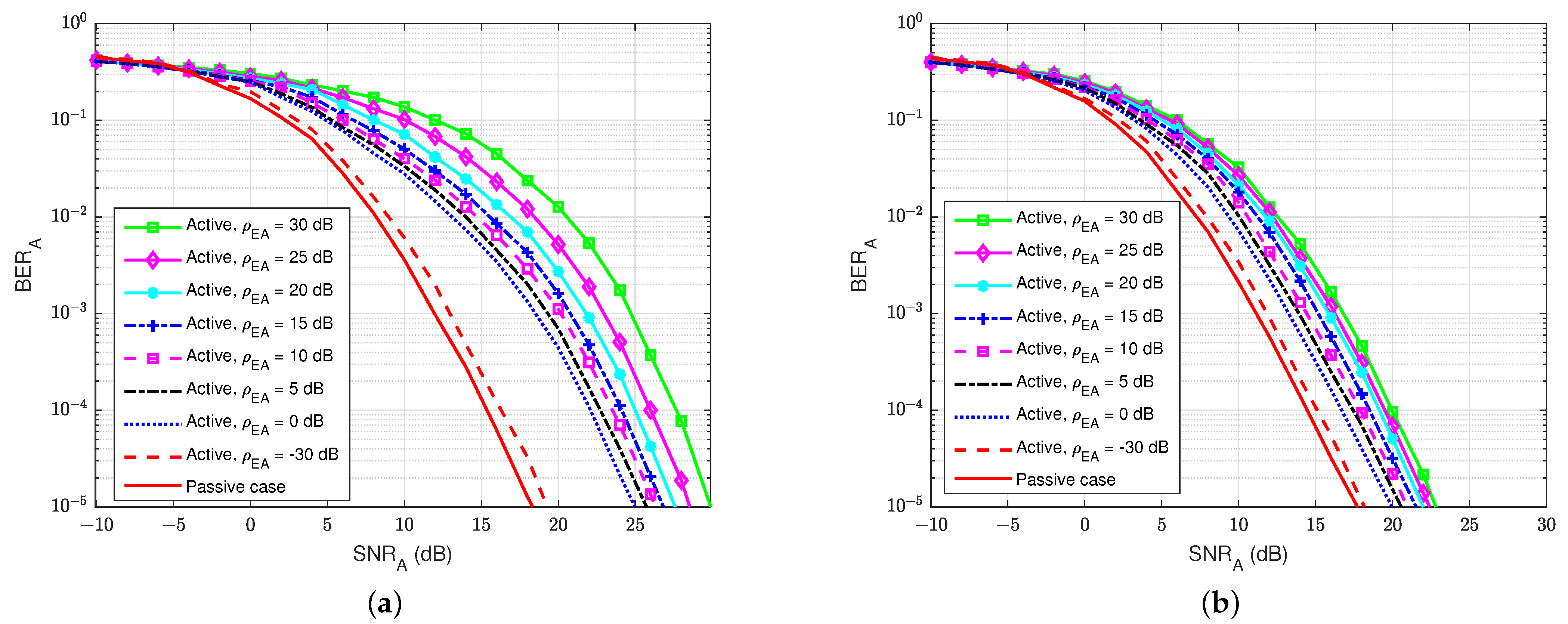
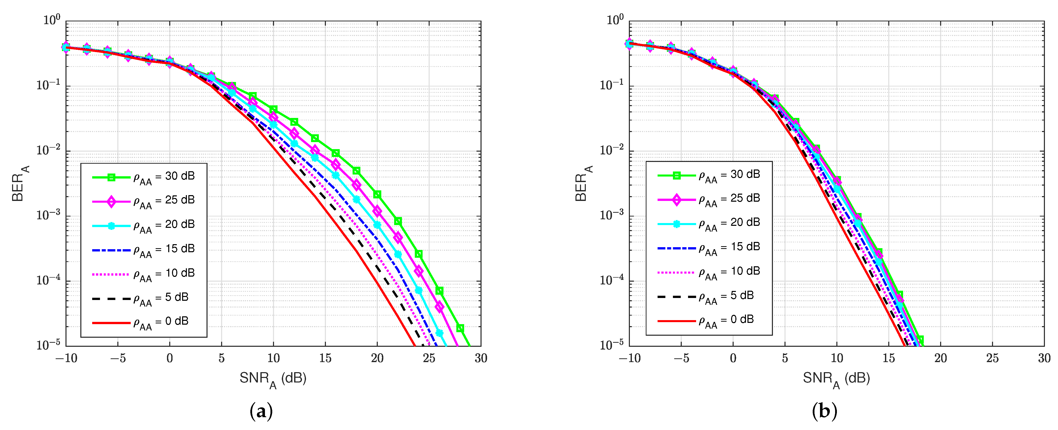
3.5.1. BER at the Legitimate Receiver User A
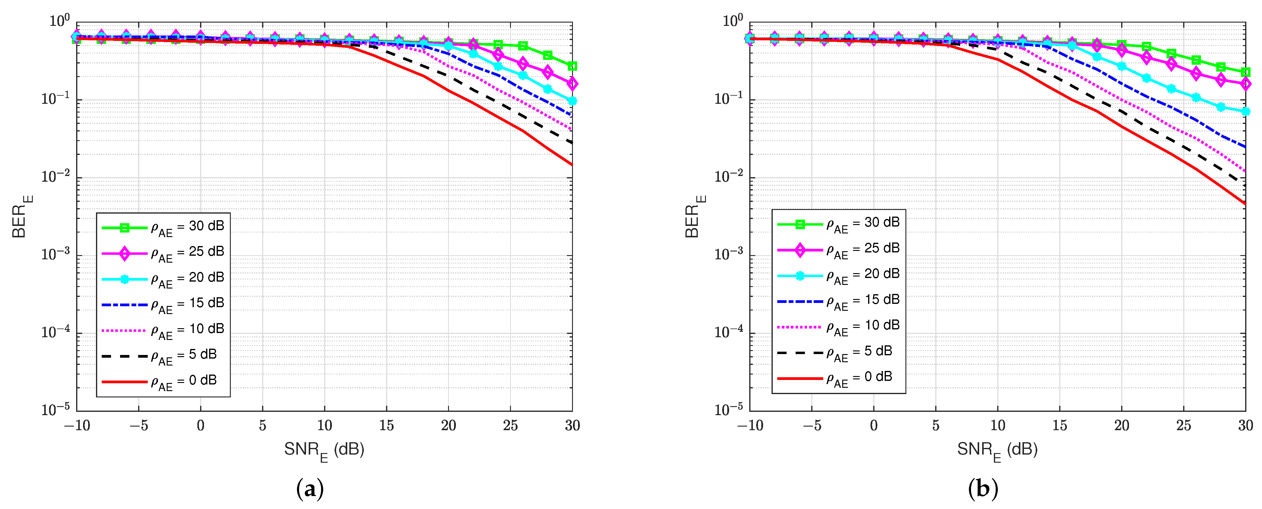
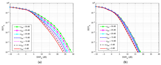
3.5.2. BER at the Eavesdropper User E
3.6. Security Gap Performance
4. Case II: Active Eavesdropper
4.1. Active Eavesdropper System Model
4.2. Semi-Blind Feedback Scheme
4.3. Mean Square Error (MSE) Performance
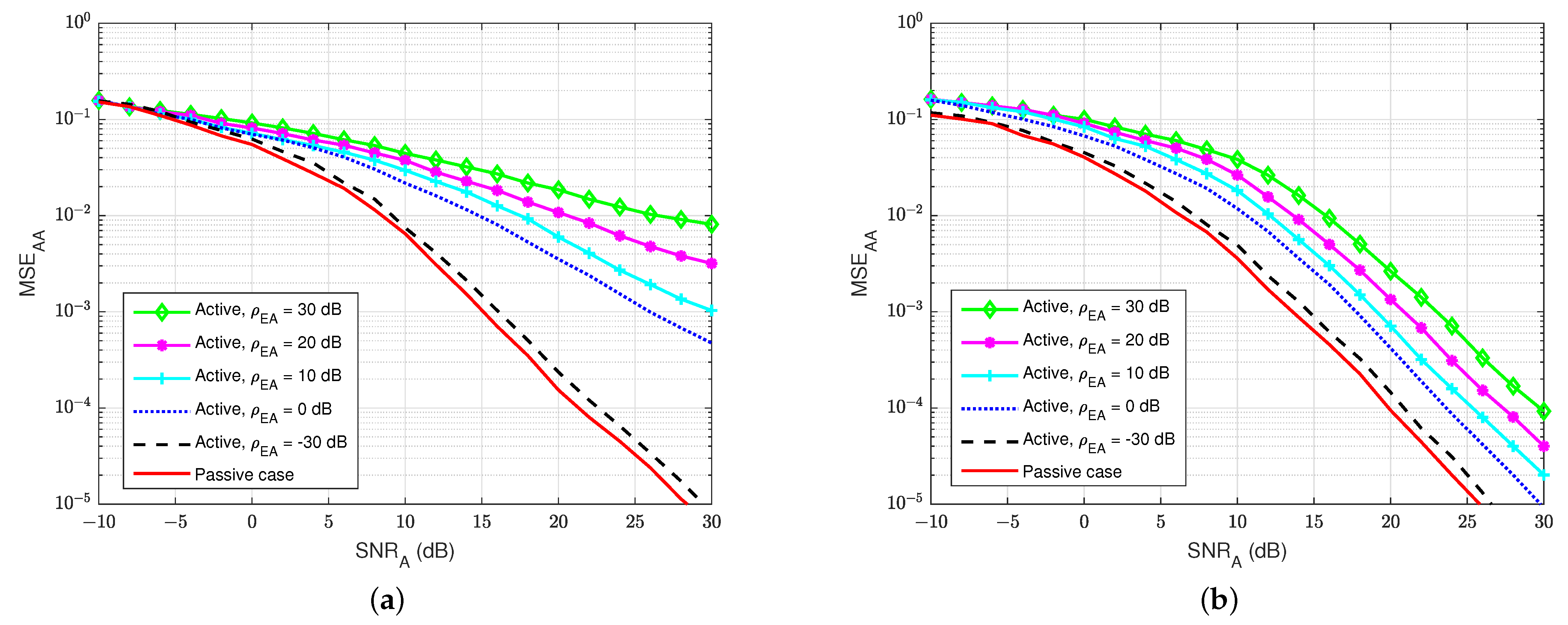
4.3.1. MSE at the Legitimate Receiver User A
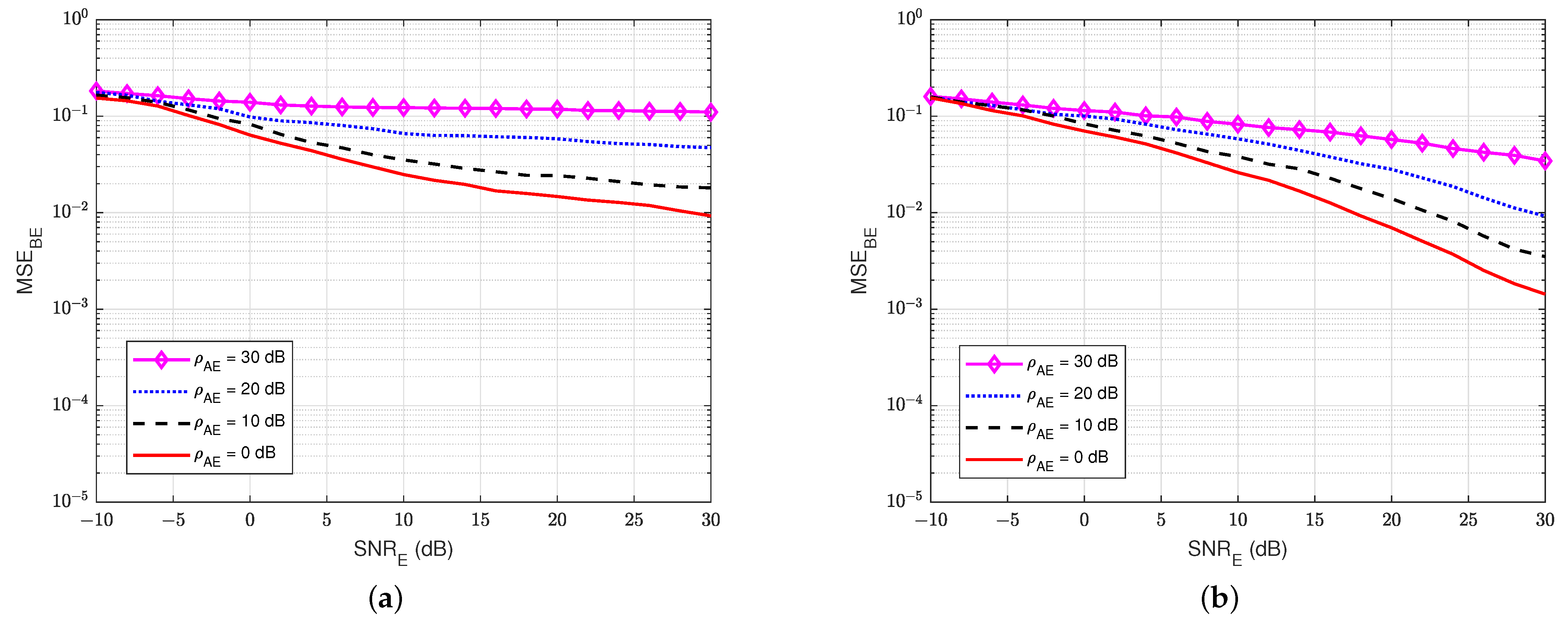
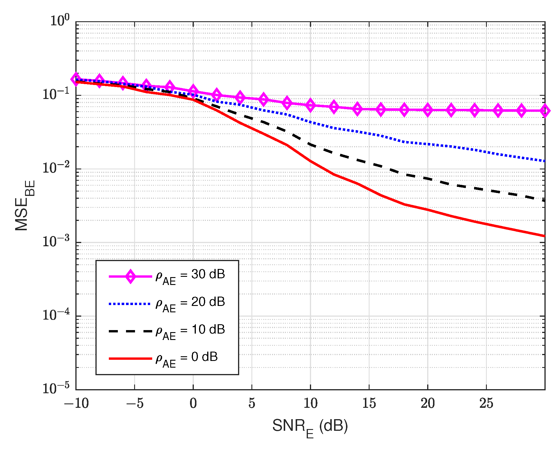
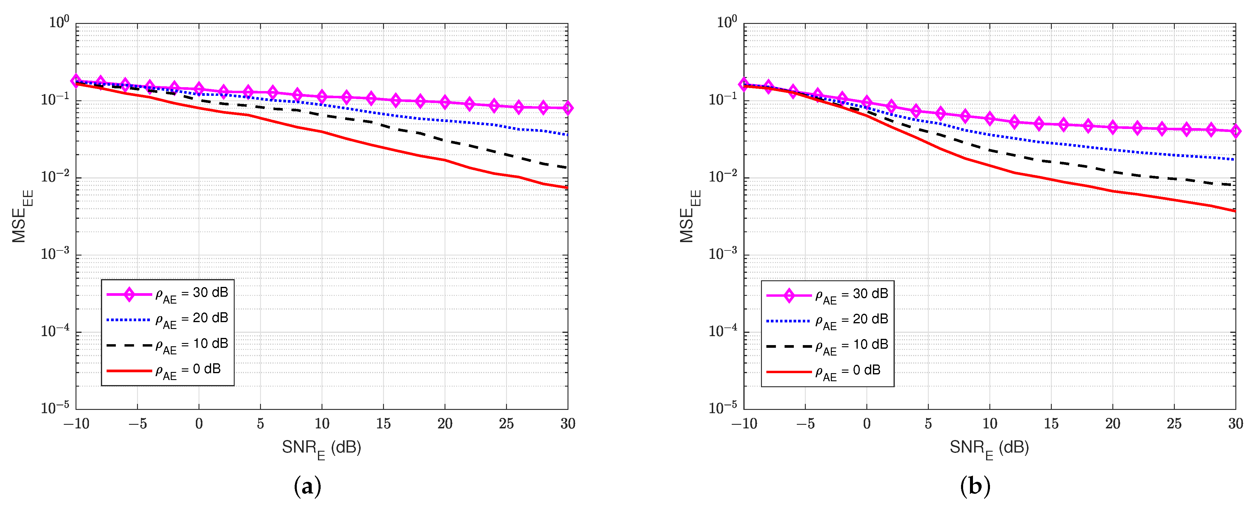
4.3.2. MSE at the Eavesdropper User E
4.4. Bit-Error-Rate (BER) Performance
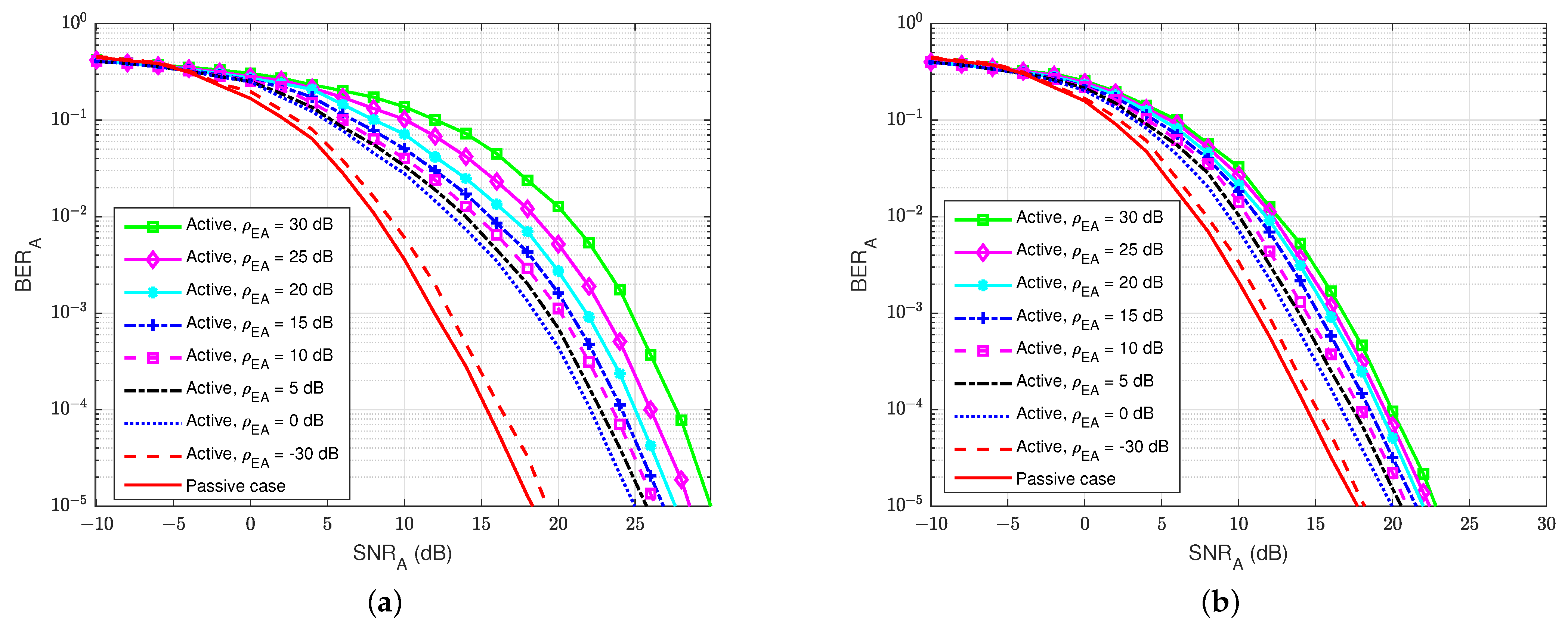
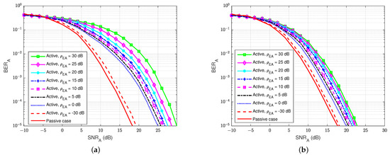
4.4.1. BER at the Legitimate Receiver User A
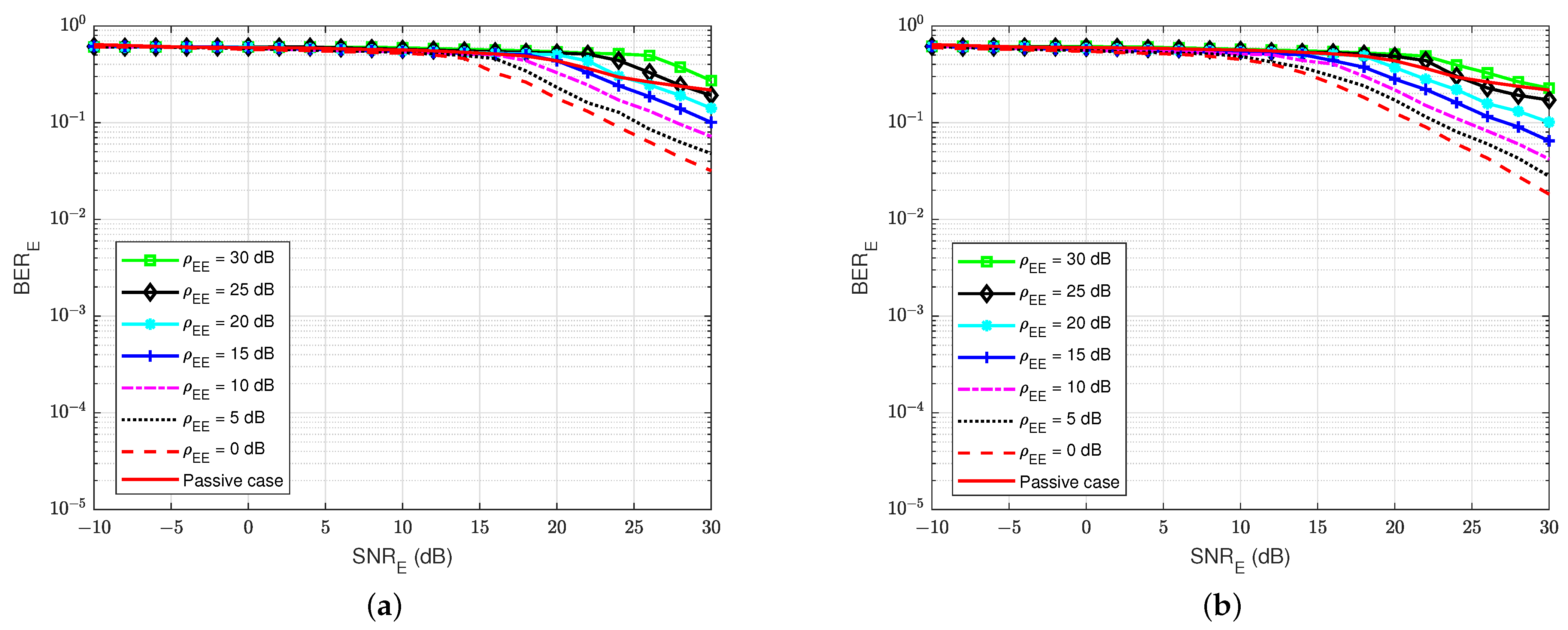
4.4.2. BER at the Eavesdropper User E
4.5. Security Gap Performance
5. Conclusions
6. Future Works
Author Contributions
Funding
Institutional Review Board Statement
Informed Consent Statement
Data Availability Statement
Acknowledgments
Conflicts of Interest
Abbreviations
| 3GPP | The Third-Generation Partnership Project |
| 5G | The Fifth Generation |
| ADC | Analog-to-Digital Converter |
| BER | Bit Error Rate |
| DAC | Digital-to-Analog Converter |
| DSIC | Digital Self-interference Cancellation |
| FD | Full-Duplex |
| IoT | Internet of Things |
| ITU | International Telecommunication Union |
| LLR | Log Likelihood Ratio |
| LoS | Line-of-Sight |
| MSE | Mean Square Error |
| NLoS | Non-Line-of-Sight |
| PLS | Physical Layer Security |
| QC-LDPC | Quasi-Cyclic Low-Density Parity Check |
| QPSK | Quadature Phase Shift Keying |
| RF | Radio Frequency |
| RLS | Recursive Least Square |
| SDR | Software-Defined Radio |
| SI | Self-Interference |
| SPA | Sum Product Algorithm |
| uRLLC | Ultra-reliable Low-Latency Communication |
References
- Wu, Y.; Khisti, A.; Xiao, C.; Caire, G.; Wong, K.K.; Gao, X. A Survey of Physical Layer Security Techniques for 5G Wireless Networks and Challenges Ahead. IEEE J. Sel. Areas Commun. 2018, 36, 679–695. [Google Scholar] [CrossRef] [Green Version]
- Dong, L.; Han, Z.; Petropulu, A.P.; Poor, H.V. Improving Wireless Physical Layer Security via Cooperating Relays. IEEE Trans. Signal Process. 2012, 58, 1875–1888. [Google Scholar] [CrossRef]
- Nguyen, B.V.; Jung, H.; Kim, K. Physical Layer Security Schemes for Full-Duplex Cooperative Systems: State of the Art and Beyond. IEEE Commun. Mag. 2018, 56, 131–137. [Google Scholar] [CrossRef] [Green Version]
- Wyner, A.D. The Wire-Tap Channel. Bell Syst. Tech. J. 1975, 54, 1355–1387. [Google Scholar] [CrossRef]
- Ozarow, L.H.; Wyner, A.D. Wire-Tap Channel II. Bell Syst. Tech. J. 1984, 63, 2135–2157. [Google Scholar] [CrossRef]
- Arı, N.; Thomos, N.; Musavian, L. Active Eavesdropping in Short Packet Communication: Average Secrecy Throughput Analysis. In Proceedings of the 2021 IEEE International Conference on Communications Workshops (ICC Workshops), Montreal, QC, Canada, 14–23 June 2021; pp. 1–6. [Google Scholar] [CrossRef]
- Klinc, D.; Ha, J.; McLaughlin, S.W.; Barros, J.; Kwak, B.J. LDPC Codes for the Gaussian Wiretap Channel. IEEE Trans. Inf. Forensics Secur. 2011, 6, 532–540. [Google Scholar] [CrossRef]
- Ahmed, E.; Eltawil, A.M. All-Digital Self-Interference Cancellation Technique for Full-Duplex Systems. IEEE Trans. Wirel. Commun. 2015, 14, 3519–3532. [Google Scholar] [CrossRef] [Green Version]
- Khan, R.; Tsiga, N.; Asif, R. Interference Management with Reflective In-Band Full-Duplex NOMA for Secure 6G Wireless Communication Systems. Sensors 2022, 22, 2508. [Google Scholar] [CrossRef]
- Liu, Y.; Zhu, X.; Lim, E.G.; Jiang, Y.; Huang, Y. Fast Iterative Semi-Blind Receiver for URLLC in Short-Frame Full-Duplex Systems With CFO. IEEE J. Sel. Areas Commun. 2019, 37, 839–853. [Google Scholar] [CrossRef]
- Zhang, J.; He, F.; Li, W.; Li, Y.; Wang, Q.; Ge, S.; Xing, J.; Liu, H.; Li, Y.; Meng, J. Self-Interference Cancellation: A Comprehensive Review from Circuits and Fields Perspectives. Electronics 2022, 11, 172. [Google Scholar] [CrossRef]
- Chen, Y.; Ding, C.; Jia, Y.; Liu, Y. Antenna/Propagation Domain Self-Interference Cancellation (SIC) for In-Band Full-Duplex Wireless Communication Systems. Sensors 2022, 22, 1699. [Google Scholar] [CrossRef] [PubMed]
- Wang, H.M.; Wang, C.; Ng, D.W.K. Artificial Noise Assisted Secure Transmission Under Training and Feedback. IEEE Trans. Signal Process. 2015, 63, 6285–6298. [Google Scholar] [CrossRef]
- Silva, A.; Gomes, M.; Vilela, J.; Harrison, W. SDR Proof-of-Concept of Full-Duplex Jamming for Enhanced Physical Layer Security. Sensors 2021, 21, 856. [Google Scholar] [CrossRef] [PubMed]
- Zheng, G.; Krikidis, I.; Li, J.; Petropulu, A.P.; Ottersten, B. Improving Physical Layer Secrecy Using Full-Duplex Jamming Receivers. IEEE Trans. Signal Process. 2013, 61, 4962–4974. [Google Scholar] [CrossRef] [Green Version]
- Li, W.; Ghogho, M.; Chen, B.; Xiong, C. Secure Communication via Sending Artificial Noise by the Receiver: Outage Secrecy Capacity/Region Analysis. IEEE Commun. Lett. 2012, 16, 1628–1631. [Google Scholar] [CrossRef]
- Dryer, Z.; Nickerl, A.; Gomes, M.A.C.; Vilela, J.P.; Harrison, W.K. Full-Duplex Jamming for Enhanced Hidden-Key Secrecy. In Proceedings of the ICC 2019—2019 IEEE International Conference on Communications (ICC), Shanghai, China, 20–24 May 2019; pp. 1–7. [Google Scholar]
- Shang, Z.; Zhang, T.; Cai, Y.; Yang, W.; Wu, H.; Zhang, Y.; Tao, L. Secure Transmission in Cognitive Wiretap Networks with Full-Duplex Receivers. Appl. Sci. 2020, 10, 1840. [Google Scholar] [CrossRef] [Green Version]
- Li, Y.; Zhao, R.; Tan, X.; Nie, Z. Secrecy performance analysis of artificial noise aided precoding in full-duplex relay systems. In Proceedings of the GLOBECOM 2017—2017 IEEE Global Communications Conference, Singapore, 4–8 December 2017; pp. 1–6. [Google Scholar] [CrossRef]
- Yan, S.; Zhou, X.; Yang, N.; Abhayapala, T.D.; Swindlehurst, A.L. Secret Channel Training to Enhance Physical Layer Security With a Full-Duplex Receiver. IEEE Trans. Inf. Forensics Secur. 2018, 13, 2788–2800. [Google Scholar] [CrossRef] [Green Version]
- Sybis, M.; Wesolowski, K.; Jayasinghe, K.; Venkatasubramanian, V.; Vukadinovic, V. Channel Coding for Ultra-Reliable Low-Latency Communication in 5G Systems. In Proceedings of the 2016 IEEE 84th Vehicular Technology Conference (VTC-Fall), Montreal, QC, Canada, 18–21 September 2016; pp. 1–5. [Google Scholar] [CrossRef]
- Merhav, N. Encoding Individual Source Sequences for the Wiretap Channel. Entropy 2021, 23, 1694. [Google Scholar] [CrossRef]
- Macro, B.; Nicola, M.; Giocomo, R.; Franco, C. Security gap analysis of some LDPC coded transmission schemes over the flat and fast fading Gaussian wire-tap channels. EURASIP J. Wirel. Commun. Netw. 2015, 15, 232. [Google Scholar] [CrossRef] [Green Version]
- Yang, Z.; Fan, Y.; Wang, A. Artificial noise and LDPC code aided physical layer security enhancement. In Proceedings of the 2014 International Conference on Information and Communications Technologies (ICT 2014), Nanjing, China, 15–17 May 2014; pp. 1–6. [Google Scholar]
- Du, J. A Partially Coupled LDPC Coded Scheme for the Gaussian Wiretap Channel. IEEE Commun. Lett. 2020, 24, 7–10. [Google Scholar] [CrossRef]
- Li, L.; Xing, Y.; Yao, X.; Luo, Y. McEliece Coding Method based on LDPC Code with Application to Physical Layer Security. In Proceedings of the 2021 7th International Conference on Computer and Communications (ICCC), Chengdu, China, 10–13 December 2021; pp. 2042–2045. [Google Scholar] [CrossRef]
- Vuong, B.Q.; Gautier, R.; Fiche, A.; Marazin, M.; Ta, H.Q.; Nguyen, L.L. Joint Iterative Blind Self-Interference Cancellation, Propagation Channel Estimation and Decoding Processes in Full-Duplex Transmissions. IEEE Access 2022, 10, 22795–22807. [Google Scholar] [CrossRef]
- Vuong, B.Q.; Gautier, R.; Ta, H.Q.; Nguyen, L.L.; Fiche, A.; Marazin, M. Joint Semi-Blind Self-Interference Cancellation and EqualisationProcesses in 5G QC-LDPC-Encoded Short-Packet Full-Duplex Transmissions. Sensors 2022, 22, 2204. [Google Scholar] [CrossRef] [PubMed]
- Bae, J.H.; Abotabl, A.; Lin, H.P.; Song, K.B.; Lee, J. An overview of channel coding for 5G NR cellular communications. Trans. Signal Inf. Process. 2019, 8, e17. [Google Scholar] [CrossRef] [Green Version]
- 3GPP. TS 38.212 NR- Multiplexing and Channel Coding. 2018. Available online: https://www.etsi.org/deliver/etsi_ts/138200_138299/138212/15.02.00_60/ts_138212v150200p.pdf (accessed on 29 June 2018).
- Li, H.; Bai, B.; Mu, X.; Zhang, J.; Xu, H. Algebra-Assisted Construction of Quasi-Cyclic LDPC Codes for 5G New Radio. IEEE Access 2018, 6, 50229–50244. [Google Scholar] [CrossRef]
- Clapham, C.; Jordan, N. The Concise Oxford Dictionary of Mathematics; Oxford University Press: Oxford, UK, 2013. [Google Scholar]
- Everett, E.; Sahai, A.; Sabharwal, A. Passive Self-Interference Suppression for Full-Duplex Infrastructure Nodes. IEEE Trans. Wirel. Commun. 2014, 13, 680–694. [Google Scholar] [CrossRef] [Green Version]
- Koohian, A.; Mehrpouyan, H.; Nasir, A.A.; Durrani, S.; Blostein, S.D. Residual self-interference cancellation and data detection in full-duplex communication systems. In Proceedings of the 2017 IEEE International Conference on Communications (ICC), Paris, France, 21–25 May 2017. [Google Scholar]
- Kim, T.; Kyungsik, M.; Park, S. Self-Interference Channel Training for Full-Duplex Massive MIMO Systems. Sensors 2021, 21, 3250. [Google Scholar] [CrossRef]
- Haykin, S. Adaptive Filter Theory; Pearson: London, UK, 1993; Volume 29. [Google Scholar]
- Sharon, E.; Litsyn, S.; Goldberger, J. An efficient message-passing schedule for LDPC decoding. In Proceedings of the 2004 23rd IEEE Convention of Electrical and Electronics Engineers in Israel, Tel-Aviv, Israel, 6–7 September 2004; pp. 223–226. [Google Scholar]
- Zhang, X.; Siegel, P.H. Quantized iterative message passing decoders with low error floor for LDPC codes. IEEE Trans. Commun. 2014, 62, 1–14. [Google Scholar]
- Vuong, B.Q.; Gautier, R.; Fiche, A.; Marazin, M. Full-Duplex Efficient Channel Codes for Residual Self-Interference/Quantization Noise Cancellation. In Proceedings of the IEEE 15th International Conference on Signal Processing and Communication Systems (ICSPCS), Sydney, Australia, 13–15 December 2021. [Google Scholar]
- Despina-Stoian, C.; Digulescu-Popescu, A.; Alexandra, S.; Youssef, R.; Radoi, E. Comparison of Adaptive Filtering Strategies for Self-Interference Cancellation in LTE Communication Systems. In Proceedings of the 13th International Conference on Communications (COMM), Bucharest, Romania, 18–20 June 2020. [Google Scholar]
- Mostari, L.; Taleb ahmed, A. High performance short-block binary regular LDPC codes. AEJ Alex. Eng. J. 2018, 57, 2633–2639. [Google Scholar] [CrossRef]
- Iscan, O.; Lentner, D.; Xu, W. A Comparison of Channel Coding Schemes for 5G Short Message Transmission. In Proceedings of the 2016 IEEE Globecom Workshops (GC Wkshps), Washington, DC, USA, 4–8 December 2016; pp. 1–6. [Google Scholar]
- Hajiyat, Z.; Sali, A.; Mokhtar, M.; Hashim, F. Channel Coding Scheme for 5G Mobile Communication System for Short Length Message Transmission. Wirel. Pers. Commun. 2019, 106, 377–400. [Google Scholar] [CrossRef]
- Masmoudi, A.; Le-Ngoc, T. A Maximum-Likelihood Channel Estimator for Self-Interference Cancelation in Full-Duplex Systems. IEEE Trans. Veh. Technol. 2016, 65, 5122–5132. [Google Scholar] [CrossRef]
- ITU. Guidelines for Evaluation of Radio Transmission Technologies for IMT-2000; International Telecommunication Union: Geneva, Switzerland, 1997. [Google Scholar]






















| Notations | Meaning |
|---|---|
| K, N, R | Information length, code word length, and code rate |
| , | Transmitted signal vector and received signal vector at user X |
| Channel gain vector between X and Y | |
| Self-interference channel gain vector at user X | |
| Self-interference signal vector at user X | |
| Receiving signal vector that transmitted from user X to user Y | |
| Estimated signal vector | |
| Residual signal vector | |
| Pilot symbols vector | |
| Signal-to-noise ratio at user Y | |
| Transmitting power of user Y | |
| Noise power at user Y | |
| Background noise at user Y | |
| Self-jamming power-to-noise ratio from user X to user Y | |
| SI power-to-noise ratio at user Y | |
| Forget factor of the RLS algorithm | |
| i | Index of joint iterative iterations |
| j | Index of 5G QC-LDPC decoding iterations |
| k | Index of signal in the binary domain |
| n | Index of signal in the discrete time domain |
| Parameter | Value |
|---|---|
| Number of transmission frames | |
| Number of information bits and code word bits | (128, 256) |
| Code rate R | 1/2 |
| Modulation scheme | QPSK |
| SI channel taps | 3 |
| Self-jamming channel taps | 3 |
| Jamming channel taps | 3 |
| Main channel taps | 4 |
| Wiretap channel taps | 4 |
| Number of pilot symbols in semi-blind scheme | 4 |
| Index of iterations for scheme with feedback | (4,1) |
| Index of iteration for scheme without feedback | 20 |
| Without Feedback at User A | Blind Feedback at User A | ||||
|---|---|---|---|---|---|
| 0 | 4.1 | 23.8 | 19.7 | 16.5 | 12.4 |
| 5 | 5.8 | 24.5 | 18.7 | 16.8 | 10.8 |
| 10 | 8.1 | 25.1 | 17 | 17.2 | 9.1 |
| 15 | 10.3 | 25.6 | 15.3 | 17.6 | 7.3 |
| 20 | 12.4 | 26.7 | 14.3 | 17.9 | 5.5 |
| 25 | 14.3 | 27.5 | 13.2 | 18.1 | 3.8 |
| 30 | 16.6 | 29 | 12.4 | 18.3 | 1.7 |
| Blind without Feedback at User E | Blind Feedback at User A | Semi-Blind Feedback at User A | |||
|---|---|---|---|---|---|
| 0 | 10.7 | 24.9 | 14.2 | 19.9 | 9.2 |
| 5 | 12.8 | 25.7 | 12.9 | 20.3 | 7.5 |
| 10 | 15.4 | 26.3 | 10.9 | 21 | 5.6 |
| 15 | 17.5 | 26.8 | 9.3 | 21.5 | 4 |
| 20 | 19.9 | 27.6 | 7.7 | 22 | 2.1 |
| 25 | 22.2 | 28.5 | 6.3 | 22.3 | 0.1 |
| 30 | 25.6 | 29.8 | 4.2 | 22.8 | −2.8 |
| Semi-Blind without Feedback at User E | Blind Feedback at User A | Semi-Blind Feedback at User A | |||
|---|---|---|---|---|---|
| 0 | 6.2 | 24.9 | 18.7 | 19.9 | 13.7 |
| 5 | 8.2 | 25.7 | 17.5 | 20.3 | 12.1 |
| 10 | 10.8 | 26.3 | 15.5 | 21 | 10.2 |
| 15 | 13.4 | 26.8 | 13.4 | 21.5 | 8.1 |
| 20 | 16.1 | 27.6 | 11.5 | 22 | 5.9 |
| 25 | 18.2 | 28.5 | 10.3 | 22.3 | 4.1 |
| 30 | 21.5 | 29.8 | 8.3 | 22.8 | 1.3 |
Publisher’s Note: MDPI stays neutral with regard to jurisdictional claims in published maps and institutional affiliations. |
© 2022 by the authors. Licensee MDPI, Basel, Switzerland. This article is an open access article distributed under the terms and conditions of the Creative Commons Attribution (CC BY) license (https://creativecommons.org/licenses/by/4.0/).
Share and Cite
Vuong, B.Q.; Gautier, R.; Fiche, A.; Marazin, M.; Despina-Stoian, C. Secrecy Coding Analysis of Short-Packet Full-Duplex Transmissions with Joint Iterative Channel Estimation and Decoding Processes. Sensors 2022, 22, 5257. https://doi.org/10.3390/s22145257
Vuong BQ, Gautier R, Fiche A, Marazin M, Despina-Stoian C. Secrecy Coding Analysis of Short-Packet Full-Duplex Transmissions with Joint Iterative Channel Estimation and Decoding Processes. Sensors. 2022; 22(14):5257. https://doi.org/10.3390/s22145257
Chicago/Turabian StyleVuong, Bao Quoc, Roland Gautier, Anthony Fiche, Mélanie Marazin, and Cristina Despina-Stoian. 2022. "Secrecy Coding Analysis of Short-Packet Full-Duplex Transmissions with Joint Iterative Channel Estimation and Decoding Processes" Sensors 22, no. 14: 5257. https://doi.org/10.3390/s22145257
APA StyleVuong, B. Q., Gautier, R., Fiche, A., Marazin, M., & Despina-Stoian, C. (2022). Secrecy Coding Analysis of Short-Packet Full-Duplex Transmissions with Joint Iterative Channel Estimation and Decoding Processes. Sensors, 22(14), 5257. https://doi.org/10.3390/s22145257

