Sign in to use this feature.

Years

Between: -

Subjects

remove_circle_outline
remove_circle_outline
remove_circle_outline
remove_circle_outline
remove_circle_outline
remove_circle_outline
remove_circle_outline
remove_circle_outline
remove_circle_outline

Journals

remove_circle_outline
remove_circle_outline
remove_circle_outline
remove_circle_outline
remove_circle_outline
remove_circle_outline
remove_circle_outline
remove_circle_outline
remove_circle_outline
remove_circle_outline
remove_circle_outline
remove_circle_outline
remove_circle_outline
remove_circle_outline
remove_circle_outline

Article Types

Countries / Regions

remove_circle_outline
remove_circle_outline
remove_circle_outline
remove_circle_outline
remove_circle_outline

Search Results (2,583)

Search Parameters:
Keywords = acoustical characteristics

Order results
Result details
Results per page
Select all
Export citation of selected articles as:
16 pages, 2368 KB  
Article
Mechanical Properties, Acoustic Emission (AE), and Electromagnetic Radiation (EMR) Characteristics of Sandstone with Different Water Contents Under Impact Loading
by Yonghong Liu, Fujun Zhao, Qiuhong Wu and Zhouyuan Ye
Water 2026, 18(3), 410; https://doi.org/10.3390/w18030410 - 4 Feb 2026
Abstract
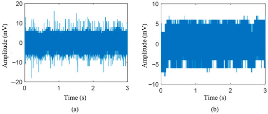
To analyze the characteristics of acoustic emission (AE) and electromagnetic radiation (EMR) signals in specimens with different water contents during impact loading, impact tests were conducted on sandstone under dry, natural, and saturated conditions using the split Hopkinson pressure bar (SHPB) system. The [...] Read more.
To analyze the characteristics of acoustic emission (AE) and electromagnetic radiation (EMR) signals in specimens with different water contents during impact loading, impact tests were conducted on sandstone under dry, natural, and saturated conditions using the split Hopkinson pressure bar (SHPB) system. The results show that water reduces the dynamic compressive strength and elastic modulus of sandstone, changes the failure mode from tensile failure to tensile-shear failure, and increases the amount of small-sized fragments after failure. AE and EMR signals effectively reflect the entire deformation process of specimens with different water contents under impact loading. In the elastic stage, only EMR signals appear, indicating that EMR is more sensitive to crack generation. In the yield stage, the AE signal count and energy increase sharply, indicating that the response to specimen failure is better. By comparing AE and EMR signals at different stages, it was found that water inhibits both the propagation and energy of AE and EMR signals. The damage factor D, quantified by AE and EMR counts, accurately represents the damage suffered by specimens with different water contents during impact loading. This study significantly advances the understanding of failure mechanisms in specimens with varying water contents and contributes to practical engineering monitoring of water-bearing rock mass stability. Full article
Show Figures

Figure 1

15 pages, 978 KB  
Article
SpectTrans: Joint Spectral–Temporal Modeling for Polyphonic Piano Transcription via Spectral Gating Networks
by Rui Cao, Yan Liang, Lei Feng and Yuanzi Li
Electronics 2026, 15(3), 665; https://doi.org/10.3390/electronics15030665 - 3 Feb 2026
Abstract
Automatic Music Transcription (AMT) plays a fundamental role in Music Information Retrieval (MIR) by converting raw audio signals into symbolic representations such as MIDI or musical scores. Despite advances in deep learning, accurately transcribing piano performances remains challenging due to dense polyphony, wide [...] Read more.
Automatic Music Transcription (AMT) plays a fundamental role in Music Information Retrieval (MIR) by converting raw audio signals into symbolic representations such as MIDI or musical scores. Despite advances in deep learning, accurately transcribing piano performances remains challenging due to dense polyphony, wide dynamic range, sustain pedal effects, and harmonic interactions between simultaneous notes. Existing approaches using convolutional and recurrent architectures, or autoregressive models, often fail to capture long-range temporal dependencies and global harmonic structures, while conventional Vision Transformers overlook the anisotropic characteristics of audio spectrograms, leading to harmonic neglect. In this work, we propose SpectTrans, a novel piano transcription framework that integrates a Spectral Gating Network with a multi-head self-attention Transformer to jointly model spectral and temporal dependencies. Latent CNN features are projected into the frequency domain via a Real Fast Fourier Transform, enabling adaptive filtering of overlapping harmonics and suppression of non-stationary noise, while deeper layers capture long-term melodic and chordal relationships. Experimental evaluation on polyphonic piano datasets demonstrates that this architecture produces acoustically coherent representations, improving the robustness and precision of transcription under complex performance conditions. These results suggest that combining frequency-domain refinement with global temporal modeling provides an effective strategy for high-fidelity AMT. Full article
Show Figures

Figure 1

23 pages, 5007 KB  
Article
Influence of Surface Treatment of Wood-Based Acoustic Panels on Their Fire Performance
by Miroslav Gašparík, Tomáš Kytka and Monika Bezděková
Fire 2026, 9(2), 67; https://doi.org/10.3390/fire9020067 - 2 Feb 2026
Viewed by 37
Abstract
This work deals with the impact of surface acoustic treatment (holes and grooves) and primary material (plywood, MDF, solid wood panel) of acoustic panels on their fire characteristics. Fire characteristics were determined based on the cone calorimeter method, single-flame source test, and smoke [...] Read more.
This work deals with the impact of surface acoustic treatment (holes and grooves) and primary material (plywood, MDF, solid wood panel) of acoustic panels on their fire characteristics. Fire characteristics were determined based on the cone calorimeter method, single-flame source test, and smoke generation assessment. In general, birch plywood demonstrated the highest values for heat release rate (HRR), maximum average rate of heat emission (MARHE), and effective heat of combustion (EHC), indicating its higher flammability compared to the other tested materials. MDF generally exhibited the lowest values for heat release rate (HRR) and maximum average rate of heat emission (MARHE); yet, under certain perforated configurations, it generated the highest amount of smoke. Solid wood panels exhibited the lowest heat release rate (HRR) but developed the largest charred areas during the single-flame source test. Among the surface treatments, the 16/8 mm treatment resulted in the highest values of effective heat of combustion (EHC) and maximum average rate of heat emission (MARHE), while the 8/1.5–15T treatment exhibited the most rapid increase in heat release rate (HRR), attributed to the swift degradation of its thin surface layer and high void fraction. The presence of holes and grooves increased smoke production, which was most evident in MDF and plywood panels. The results demonstrate that acoustic surface geometry significantly modifies the fire behavior of wood-based panels and should be considered alongside material selection when evaluating fire safety in interior applications. Full article
Show Figures

Graphical abstract

20 pages, 4098 KB  
Article
A Finite Element-Inspired Method to Characterize Foreign Object Debris (FOD) in Carbon Fiber Composites
by Sina Hassanpoor, Rachel E. Van Lear, Mahsa Khademi and David A. Jack
Appl. Sci. 2026, 16(3), 1459; https://doi.org/10.3390/app16031459 - 31 Jan 2026
Viewed by 176
Abstract
This study investigates ultrasonic wave propagation in carbon fiber reinforced polymer (CFRP) composites containing foreign object debris (FOD) by introducing a novel method to characterize the depth and size of FOD, from a single captured waveform generated by an out-of-focus spherically focused transducer. [...] Read more.
This study investigates ultrasonic wave propagation in carbon fiber reinforced polymer (CFRP) composites containing foreign object debris (FOD) by introducing a novel method to characterize the depth and size of FOD, from a single captured waveform generated by an out-of-focus spherically focused transducer. Current methods of inspection utilize a raster approach to both detect and quantify FOD, which is limited to identifying FOD smaller than 4 mm. The method introduced in the present paper allows for a single point scan to detect and quantify FOD, as small as 0.5 mm, with the highest error in the depth estimation being less than 8%. This paper presents experimental testing to inform a finite element analysis of a full waveform simulation of an immersion tank inspection environment and compares waveforms between testing and simulation. A transient pressure acoustic model is developed in the COMSOL Multiphysics environment to simulate wave propagations. Simulation results provide waveform reflection and transmission at material interfaces, which will occur when there is an acoustic mismatch between materials. The transmitted ultrasonic wave is partially reflected toward the transducer upon encountering material interfaces between the water, CFRP laminate, and the FOD. Simulation results show that the acoustic profile and pressure of the reflected wave captured by the transducer allows an accurate identification of FOD depth and size within the composite structure, suggesting an alternative method of inspection to quantify FOD characteristics faster than through conventional approaches. Results show an increase in captured signal pressure of over 125% between the 0.5 mm FOD and the 1 mm FOD located on the mid-plane of the laminate, and 500% between the same 0.5 mm FOD and 1 mm FOD placed near the front wall. These results suggest the potential sensitivity limits for physical component. This work demonstrates that small FOD, which are often difficult to resolve and quantify under conventional raster-based inspection, can be reliably identified by intentionally positioning the specimen within the defocused region of a spherically focused transducer. Results are presented to correlate the reflected acoustic pressure amplitude to defect depth, transducer–specimen distance, and FOD size, providing an approach to quantitatively discriminate small defects that would otherwise produce ambiguous signals. Full article
Show Figures

Figure 1

16 pages, 2368 KB  
Article
Full-Depth Inversion of the Sound Speed Profile Using Remote Sensing Parameters via a Physics-Informed Neural Network
by Ke Qu, Zhanglong Li, Zixuan Zhang and Guangming Li
Remote Sens. 2026, 18(3), 438; https://doi.org/10.3390/rs18030438 - 30 Jan 2026
Viewed by 82
Abstract
Due to the limited number of deep sound speed profile (SSP) samples, the existing wide-area SSP inversion methods cannot estimate the full-depth SSP. In this paper, the full-depth SSP inversion is achieved by adding physical mechanism constraints to the neural network inversion algorithm. [...] Read more.
Due to the limited number of deep sound speed profile (SSP) samples, the existing wide-area SSP inversion methods cannot estimate the full-depth SSP. In this paper, the full-depth SSP inversion is achieved by adding physical mechanism constraints to the neural network inversion algorithm. A dimensionality reduction approach for SSP perturbation, based on the hydrodynamic mechanism of seawater, is proposed. Constrained by the characteristics of ocean stratification, a self-organizing map is employed to invert the depth of the sound channel axis and reconstruct the SSP from the sea surface to the sound channel axis. The SSP from the sound channel axis to the seabed is reconstructed by integrating the characteristics of the sound channel axis and the sound speed gradient characteristics of the deep sea isothermal layer. The efficacy of the method was validated by the Argo data from the South China Sea. The average root mean square error of the reconstructed full-depth SSP is 2.85 m/s. Additionally, the average error of transmission loss prediction within 50 km is 2.50 dB. The proposed method is capable of furnishing effective full-depth SSP information without the necessity of any in situ measurements, thereby meeting the requirements of certain underwater acoustic applications. Full article
Show Figures

Figure 1

34 pages, 10581 KB  
Article
Effects of Momentum-FluxRatio on POD and SPOD Modes in High-Speed Crossflow Jets
by Subhajit Roy and Guillermo Araya
Appl. Sci. 2026, 16(3), 1424; https://doi.org/10.3390/app16031424 - 30 Jan 2026
Viewed by 63
Abstract
High-speed jet-in-crossflow (JICF) configurations are central to several aerospace applications, including turbine-blade film cooling, thrust vectoring, and fuel or hydrogen injection in combusting or reacting flows. This study employs high-fidelity direct numerical simulations (DNS) to investigate the dynamics of a supersonic jet (Mach [...] Read more.
High-speed jet-in-crossflow (JICF) configurations are central to several aerospace applications, including turbine-blade film cooling, thrust vectoring, and fuel or hydrogen injection in combusting or reacting flows. This study employs high-fidelity direct numerical simulations (DNS) to investigate the dynamics of a supersonic jet (Mach 3.73) interacting with a subsonic crossflow (Mach 0.8) at low Reynolds numbers. Three momentum-flux ratios (J = 2.8, 5.6, and 10.2) are considered, capturing a broad range of jet–crossflow interaction regimes. Turbulent inflow conditions are generated using the Dynamic Multiscale Approach (DMA), ensuring physically consistent boundary-layer turbulence and accurate representation of jet–crossflow interactions. Modal decomposition via proper orthogonal decomposition (POD) and spectral POD (SPOD) is used to identify the dominant spatial and spectral features of the flow. Across the three configurations, near-wall mean shear enhances small-scale turbulence, while increasing J intensifies jet penetration and vortex dynamics, producing broadband spectral gains. Downstream of the jet injection, the spectra broadly preserve the expected standard pressure and velocity scaling across the frequency range, except at high frequencies. POD reveals coherent vortical structures associated with shear-layer roll-up, jet flapping, and counter-rotating vortex pair (CVP) formation, with increasing spatial organization at higher momentum ratios. Further, POD reveals a shift in dominant structures: shear-layer roll-up governs the leading mode at high J, whereas CVP and jet–wall interactions dominate at lower J. Spectral POD identifies global plume oscillations whose Strouhal number rises with J, reflecting a transition from slow, wall-controlled flapping to faster, jet-dominated dynamics. Overall, the results demonstrate that the momentum-flux ratio (J) regulates not only jet penetration and mixing but also the hierarchy and characteristic frequencies of coherent vortical, thermal, and pressure and acoustic structures. The predominance of shear-layer roll-up over counter-rotating vortex pair (CVP) dynamics at high J, the systematic upward shift of plume-oscillation frequencies, and the strong analogy with low-frequency shock–boundary-layer interaction (SBLI) dynamics collectively provide new mechanistic insight into the unsteady behavior of supersonic jet-in-crossflow flows. Full article
38 pages, 9422 KB  
Review
Underwater Noise in Offshore Wind Farms: Monitoring Technologies, Acoustic Characteristics, and Long-Term Adaptive Management
by Peibin Zhu, Zhenquan Hu, Haoting Li, Meiling Dai, Jiali Chen, Zhuanqiong Hu and Xiaomei Xu
J. Mar. Sci. Eng. 2026, 14(3), 274; https://doi.org/10.3390/jmse14030274 - 29 Jan 2026
Viewed by 158
Abstract
The rapid global expansion of offshore wind energy (OWE) has established it as a critical component of the renewable energy transition; however, this development concurrently introduces significant underwater noise pollution into marine ecosystems. This paper provides a comprehensive review of the acoustic footprint [...] Read more.
The rapid global expansion of offshore wind energy (OWE) has established it as a critical component of the renewable energy transition; however, this development concurrently introduces significant underwater noise pollution into marine ecosystems. This paper provides a comprehensive review of the acoustic footprint of OWE across its entire lifecycle, rigorously distinguishing between the high-intensity, acute impulsive noise generated during pile-driving construction and the chronic, low-frequency continuous noise associated with decades-long turbine operation. We critically evaluate the engineering capabilities and limitations of current underwater acoustic monitoring architectures, including buoy-based real-time monitoring nodes, cabled high-bandwidth systems (e.g., cabled hydrophone arrays with DAQ/DSP and fiber-optic distributed acoustic sensing, DAS), and autonomous seabed archival recorders (PAM deployment). Furthermore, documented biological impacts are synthesized across diverse taxa, ranging from auditory masking and threshold shifts in marine mammals to the often-overlooked sensitivity of invertebrates and fish to particle motion—a key metric frequently missing from standard pressure-based assessments. Our analysis identifies a fundamental gap in current governance paradigms, which disproportionately prioritize the mitigation of short-term acute impacts while neglecting the cumulative ecological risks of long-term operational noise. This review synthesizes recent evidence on chronic operational noise and outlines a conceptual pathway from event-based compliance monitoring toward long-term, adaptive soundscape management. We propose the implementation of integrated, adaptive acoustic monitoring networks capable of quantifying cumulative noise exposure and informing real-time mitigation strategies. Such a paradigm shift is essential for optimizing mitigation technologies and ensuring the sustainable coexistence of marine renewable energy development and marine biodiversity. Full article
(This article belongs to the Section Ocean Engineering)
Show Figures

Figure 1

16 pages, 3929 KB  
Article
Investigation of Fracture Process of Q245R During Single Edge Notched Tension Test with Acoustic Emission
by Chao Xu, Yanqi Liu, Le Xing, Siyu Meng and Yuan Meng
Appl. Sci. 2026, 16(3), 1359; https://doi.org/10.3390/app16031359 - 29 Jan 2026
Viewed by 84
Abstract
Acoustic emission (AE) technology, a kind of non-destructive testing method, was used in this study to monitor the fracture process of Q245R steel in the single edge notched tension (SENT) test. The obtained AE signals were first processed by the sensor gauge method [...] Read more.
Acoustic emission (AE) technology, a kind of non-destructive testing method, was used in this study to monitor the fracture process of Q245R steel in the single edge notched tension (SENT) test. The obtained AE signals were first processed by the sensor gauge method to distinguish the noise and signals related to a fracture. Based on the filtered data, it was found that the load-displacement curve and load–Crack Mouth Opening Distance (CMOD) curve of the fracture development were correlated with the characteristics of signals. In addition, an AE crack development index (CDI) was proposed to characterize different stages in the crack propagation process, and the results were verified by unloading compliance experiments. The results showed that the condition of structure can be well characterized by trends of cumulative counts and peak amplitudes of AE signals. In addition, stable cracks were found to occur when the load reached 92% of the ultimate load which produced AE signals with high counts, duration, and more high-amplitude signals. The proposed AE CDI of 40%max(CDI), 50%max(CDI), and 60%max(CDI) reflects the elastic, plastic, and stable crack propagation stages under monotonic tension, respectively, and remains stable even when the tensile loading method changes. Full article
(This article belongs to the Special Issue Advances in Structural Integrity and Failure Analysis)
Show Figures

Figure 1

13 pages, 1734 KB  
Article
Stiffness-Based Grading of Thermally Modified Beech Timber for Structural Applications
by Jarmila Schmidtová, Tomáš Andor, Filip Valko, Barbora Herdová and Rastislav Lagaňa
Forests 2026, 17(2), 174; https://doi.org/10.3390/f17020174 - 28 Jan 2026
Viewed by 124
Abstract
Thermally modified wood is primarily used in exterior applications due to its enhanced resistance to biotic degradation. However, reduced mechanical performance limits its structural use. This study investigates the structural potential of high-temperature-treated European beech timber (Fagus sylvatica, L.) and evaluates [...] Read more.
Thermally modified wood is primarily used in exterior applications due to its enhanced resistance to biotic degradation. However, reduced mechanical performance limits its structural use. This study investigates the structural potential of high-temperature-treated European beech timber (Fagus sylvatica, L.) and evaluates its mechanical properties and grading models for structural design. Timber from 32 beech logs was air-dried and divided into untreated (NoTMW) and thermally modified (TMW) groups. Thermal modification was carried out commercially in an oxidizing atmosphere at 190 °C. All specimens were visually graded according to DIN 4074-5 and assessed using acoustic non-destructive methods before testing in four-point bending following EN 408. Modulus of elasticity (MOE), modulus of rupture (MOR), and density were determined, and characteristic values were calculated according to EN 384. On average, TMW exhibited a 17% reduction in bending strength compared to untreated wood, while both static and dynamic MOE were not significantly affected. The multiple regression model only slightly improved bending strength prediction compared with single linear regression based on global modulus, as the R2-value increased from 17% to 19%. The prediction of stiffness of thermally treated beech timber was greatly improved by combining local and acoustic moduli, explaining 76% of the total variation. Full article
Show Figures

Figure 1

26 pages, 13371 KB  
Article
Acoustic Emission Mechanisms and Fracture Mechanisms in Reinforced Concrete Beams Under Cyclic Loading and Unloading
by Aiping Yu, Tianjiao Miao, Tao Liu, Yuhan Yang and Zhehan Chen
Materials 2026, 19(3), 521; https://doi.org/10.3390/ma19030521 - 28 Jan 2026
Viewed by 230
Abstract
This study aims to elucidate the deterministic correlation between the microscopic fracture mechanisms and the multi-domain characteristics of acoustic emission in reinforced concrete beams under cyclic loading. Cyclic incremental tests were designed and conducted, with synchronized application of digital image correlation and AE [...] Read more.
This study aims to elucidate the deterministic correlation between the microscopic fracture mechanisms and the multi-domain characteristics of acoustic emission in reinforced concrete beams under cyclic loading. Cyclic incremental tests were designed and conducted, with synchronized application of digital image correlation and AE techniques to capture the entire damage evolution process and corresponding signal responses throughout. The findings reveal that the damage stage division based on mechanical responses is consistent with that based on AE responses. Damage accumulation and irreversible processes can be clearly characterized by AE activity, and the systematic decrease in the Felicity ratio quantitatively verifies the irreversible accumulation of damage. Under cyclic loading, different microscopic fracture mechanisms generate AE frequency-domain signatures with statistically significant differences. A damage identification model integrating the Felicity ratio and multi-band energy features was developed, achieving an accuracy of 88.89% in identifying macroscopic damage stages. This research quantitatively confirms the effectiveness of AE characteristics as reliable identifiers of microscopic fracture mechanisms, providing a new basis for advancing structural health monitoring technologies grounded in fracture mechanism recognition. Full article
(This article belongs to the Topic Advances in Non-Destructive Testing Methods, 3rd Edition)
Show Figures

Figure 1

15 pages, 1881 KB  
Article
Finite-Range Scalar–Tensor Gravity: Constraints from Cosmology and Galaxy Dynamics
by Elie Almurr and Jean Claude Assaf
Galaxies 2026, 14(1), 7; https://doi.org/10.3390/galaxies14010007 - 27 Jan 2026
Viewed by 236
Abstract
Objective: We examine whether a finite-range scalar–tensor modification of gravity can be simultaneously compatible with cosmological background data, galaxy rotation curves, and local/astrophysical consistency tests, while satisfying the luminal gravitational-wave propagation constraint (cT=1) implied by GW170817 at low [...] Read more.
Objective: We examine whether a finite-range scalar–tensor modification of gravity can be simultaneously compatible with cosmological background data, galaxy rotation curves, and local/astrophysical consistency tests, while satisfying the luminal gravitational-wave propagation constraint (cT=1) implied by GW170817 at low redshifts. Methods: We formulate the model at the level of an explicit covariant action and derive the corresponding field equations; for cosmological inferences, we adopt an effective background closure in which the late-time dark-energy density is modulated by a smooth activation function characterized by a length scale λ and amplitude ϵ. We constrain this background model using Pantheon+, DESI Gaussian Baryon Acoustic Oscillations (BAOs), and a Planck acoustic-scale prior, including an explicit ΛCDM comparison. We then propagate the inferred characteristic length by fixing λ in the weak-field Yukawa kernel used to model 175 SPARC galaxy rotation curves with standard baryonic components and a controlled spherical approximation for the scalar response. Results: The joint background fit yields Ωm=0.293±0.007, λ=7.691.71+1.85Mpc, and H0=72.33±0.50kms1Mpc1. With λ fixed, the baryons + scalar model describes the SPARC sample with a median reduced chi-square of χν2=1.07; for a 14-galaxy subset, this model is moderately preferred over the standard baryons + NFW halo description in the finite-sample information criteria, with a mean ΔAICc outcome in favor of the baryons + scalar model (≈2.8). A Vainshtein-type screening completion with Λ=1.3×108 eV satisfies Cassini, Lunar Laser Ranging, and binary pulsar bounds while keeping the kpc scales effectively unscreened. For linear growth observables, we adopt a conservative General Relativity-like baseline (μ0=0) and show that current fσ8 data are consistent with μ00 for our best-fit background; the model predicts S8=0.791, consistent with representative cosmic-shear constraints. Conclusions: Within the present scope (action-level weak-field dynamics for galaxy modeling plus an explicitly stated effective closure for background inference), the results support a mutually compatible characteristic length at the Mpc scale; however, a full perturbation-level implementation of the covariant theory remains an issue for future work, and the role of cold dark matter beyond galaxy scales is not ruled out. Full article
Show Figures

Figure 1

18 pages, 4726 KB  
Article
Overpressure Generation Mechanism in the Jurassic Formations of the Fukang Sag, Junggar Basin: Its Significance for Deep Petroleum Exploration
by Yukai Qi, Chao Li, Likuan Zhang, Hanwen Hu, Wenjun He, Huixi Lin, Zhongpei Zhang, Changrong Bian and Yida Zhao
Geosciences 2026, 16(2), 56; https://doi.org/10.3390/geosciences16020056 - 26 Jan 2026
Viewed by 244
Abstract
The Jurassic reservoirs in the Fukang Sag of the Junggar Basin exhibit heterogeneous overpressure. As the mechanisms underlying overpressure generation remain poorly constrained, this poses challenges for accurate pre-drilling-pressure prediction and hinders a comprehensive understanding of hydrocarbon accumulation processes. Through integrated analysis of [...] Read more.
The Jurassic reservoirs in the Fukang Sag of the Junggar Basin exhibit heterogeneous overpressure. As the mechanisms underlying overpressure generation remain poorly constrained, this poses challenges for accurate pre-drilling-pressure prediction and hinders a comprehensive understanding of hydrocarbon accumulation processes. Through integrated analysis of measured pressure, mud weight, and well-logging curves, this study delineates distinct overpressure characteristics in sandstones and identifies the well-logging response to overpressure in mudstones. By coupling the loading-unloading response with the analysis of geological conditions conducive to overpressure, we differentiate the overpressure-generating mechanisms between sandstones and mudstones and assess their implications for deep petroleum exploration. The study reveals significant vertical heterogeneity in pressure regimes, with sandstones exhibiting pressure coefficients ranging from 1.2 to 1.8, locally exceeding 2.1. Strong overpressure preferentially develops in isolated sand bodies linked to deep source kitchens via oil-source faults. The logging response of overpressured mudstones shows high acoustic transit time, high neutron, and low resistivity, deviating from the normal compaction trend, yet demonstrates progressive density increases attributable to chemical compaction processes. Overpressure points with pressure coefficients between 1.2 and 1.4 align with the loading curve dominated by disequilibrium compaction. The overpressure with a pressure coefficient exceeding 1.4 correlates with abrupt unloading responses indicative of fault-transferred overpressure in sandstones. Our results highlight that overpressured fluid migration via faults is a critical process in hydrocarbon migration, with large-magnitude overpressured reservoirs being readily formed near oil-source faults. Multi-overpressure mechanisms create a complex pore-pressure distribution in deep layers, challenging conventional pressure-prediction models. These insights advance predictive models for pore pressure and provide a robust framework for optimizing exploration strategies in the Fukang Sag. Full article
(This article belongs to the Topic Recent Advances in Diagenesis and Reservoir 3D Modeling)
Show Figures

Figure 1

26 pages, 3766 KB  
Perspective
Non-Contact Detection Technology of Operation Status for Transmission Line Insulators: Characteristics, Perspectives, and Challenges
by Zhijin Zhang, Dong Zeng, Bo Yang, Minghui Ma, Xingliang Jiang and Yutai Li
Energies 2026, 19(3), 636; https://doi.org/10.3390/en19030636 - 26 Jan 2026
Viewed by 119
Abstract
The operation status of transmission line insulators, such as damage, zero-value, pollution, and deterioration, affect the safe operation of power grids. Non-contact detection technology judges the operating status of transmission line insulators through indirect means such as electrical, thermal, acoustic, and image signals. [...] Read more.
The operation status of transmission line insulators, such as damage, zero-value, pollution, and deterioration, affect the safe operation of power grids. Non-contact detection technology judges the operating status of transmission line insulators through indirect means such as electrical, thermal, acoustic, and image signals. Due to its advantages of rapidity and high efficiency, it has been widely accepted by operation departments. This paper summarizes existing non-contact detection technologies for transmission line insulator conditions, including acoustic wave detection, electric field detection, infrared/ultraviolet imaging detection and spectral detection. It analyzes the principle, characteristics, and application scenarios of each non-contact detection technology. Combined with the rapid development of artificial intelligence technology, the paper looks forward to future new detection methods, such as those integrating deep learning, multi-component comprehensive detection, and multi-source data-driven detection. Finally, the challenges faced by the detection of Ultra-High Voltage (UHV) transmission lines are analyzed. This study provides a reference for the research and development of non-contact detection technology for transmission line insulators. Full article
(This article belongs to the Section F: Electrical Engineering)
Show Figures

Figure 1

22 pages, 4807 KB  
Article
Research on the Propagation Path and Characteristics of Wind Turbine Sound Sources in Three-Dimensional Dynamic Wake
by Peng Wang, Zhiying Gao, Rina Su, Yongyan Chen and Jianwen Wang
Appl. Sci. 2026, 16(3), 1185; https://doi.org/10.3390/app16031185 - 23 Jan 2026
Viewed by 118
Abstract
The noise generated by wind turbines is a critical issue that impacts both operational efficiency and public health, necessitating a comprehensive investigation into its sources and propagation. This study investigates the near-wake noise of an S-airfoil horizontal-axis wind turbine using statistically optimized near-field [...] Read more.
The noise generated by wind turbines is a critical issue that impacts both operational efficiency and public health, necessitating a comprehensive investigation into its sources and propagation. This study investigates the near-wake noise of an S-airfoil horizontal-axis wind turbine using statistically optimized near-field acoustic holography (SONAH) with a 60-channel rotating microphone array in an open-jet wind tunnel. The results show that the noise in the wake is predominantly caused by the rotation of the rotor. The position of the highest sound pressure level concentration is at 0.78R of the blade under different operating conditions within the rotor’s rotation plane. The sound pressure level radiates outward in a spiral pattern across eleven identified sections, progressively decreasing with distance. The most significant attenuation occurs between 0.04 m and 0.06 m from the rotating surface. This study provides foundational insights into the near-field acoustic characteristics of wind turbines, serving as a valuable reference for noise reduction strategies and environmental impact assessments in wind energy projects. Full article
Show Figures

Figure 1

34 pages, 20136 KB  
Article
Comparative Study of the Underwater Soundscape in Natural and Artificial Environments in the Mediterranean
by Pedro Poveda-Martínez, Naeem Ullah, Jesús Carbajo, Carlos Valle, Aitor Forcada, Isabel Pérez-Arjona, Víctor Espinosa and Jaime Ramis-Soriano
J. Mar. Sci. Eng. 2026, 14(3), 241; https://doi.org/10.3390/jmse14030241 - 23 Jan 2026
Viewed by 206
Abstract
The recent growth of Blue Economy-related human activities has increased underwater noise pollution. Sound is a key factor in ensuring the well-being of marine animals as it allows them to communicate with each other and extract valuable information from the environment. Although the [...] Read more.
The recent growth of Blue Economy-related human activities has increased underwater noise pollution. Sound is a key factor in ensuring the well-being of marine animals as it allows them to communicate with each other and extract valuable information from the environment. Although the Marine Strategy Framework Directive requires monitoring programs to achieve good environmental status, there remains a significant deficit of information concerning three key domains: the characteristics of the underwater soundscape, its transformation due to anthropogenic activities, and the effects of noise on marine animals. This study aimed to evaluate the impact of anthropogenic activities on marine acoustic environments. Acoustic metrics and ecoacoustic indices were applied to characterise variability and assess daily, weekly, and seasonal patterns, as well as the effects of trawling restrictions. Three underwater soundscapes were compared in this study: two natural environments in the Mediterranean Sea and one artificial environment, a land-based fish farm tank. High anthropogenic noise levels were found, primarily due to fishing vessels near the selected locations. Similarly, the soundscape exhibited notable seasonal variations (annual and weekly), demonstrating a significant dependence on tourist activities. The results highlight the benefits of acoustic parameters as a tool for monitoring environmental conditions over time. Full article
Show Figures

Figure 1

Back to TopTop