Mechanical Properties, Acoustic Emission (AE), and Electromagnetic Radiation (EMR) Characteristics of Sandstone with Different Water Contents Under Impact Loading
Abstract
1. Introduction
2. Test Device and Principle
2.1. Specimen Preparation
- Dry specimens: All specimens are placed in a drying oven and subjected to heat drying at 46 °C for 24 h until their mass stabilizes, indicating completion of the drying process. Take 1/3 specimens as dry specimens.
- Natural specimens: take 1/3 of the dried specimens, cool them to room temperature (24 °C and 56% RH) and keep them for 7 days until their weight stabilizes, which indicates that the natural specimen treatment is completed.
- Saturated specimens: After the remaining dried specimens, are naturally cooled, immerse the specimens in water for 7 days until their quality stabilizes, indicating that the saturation treatment is completed. The treatment process of specimens with different water contents is shown in Figure 1.
2.2. Experimental System
2.3. Experimental Principles
3. Test Results and Analysis
3.1. Strength Characteristics
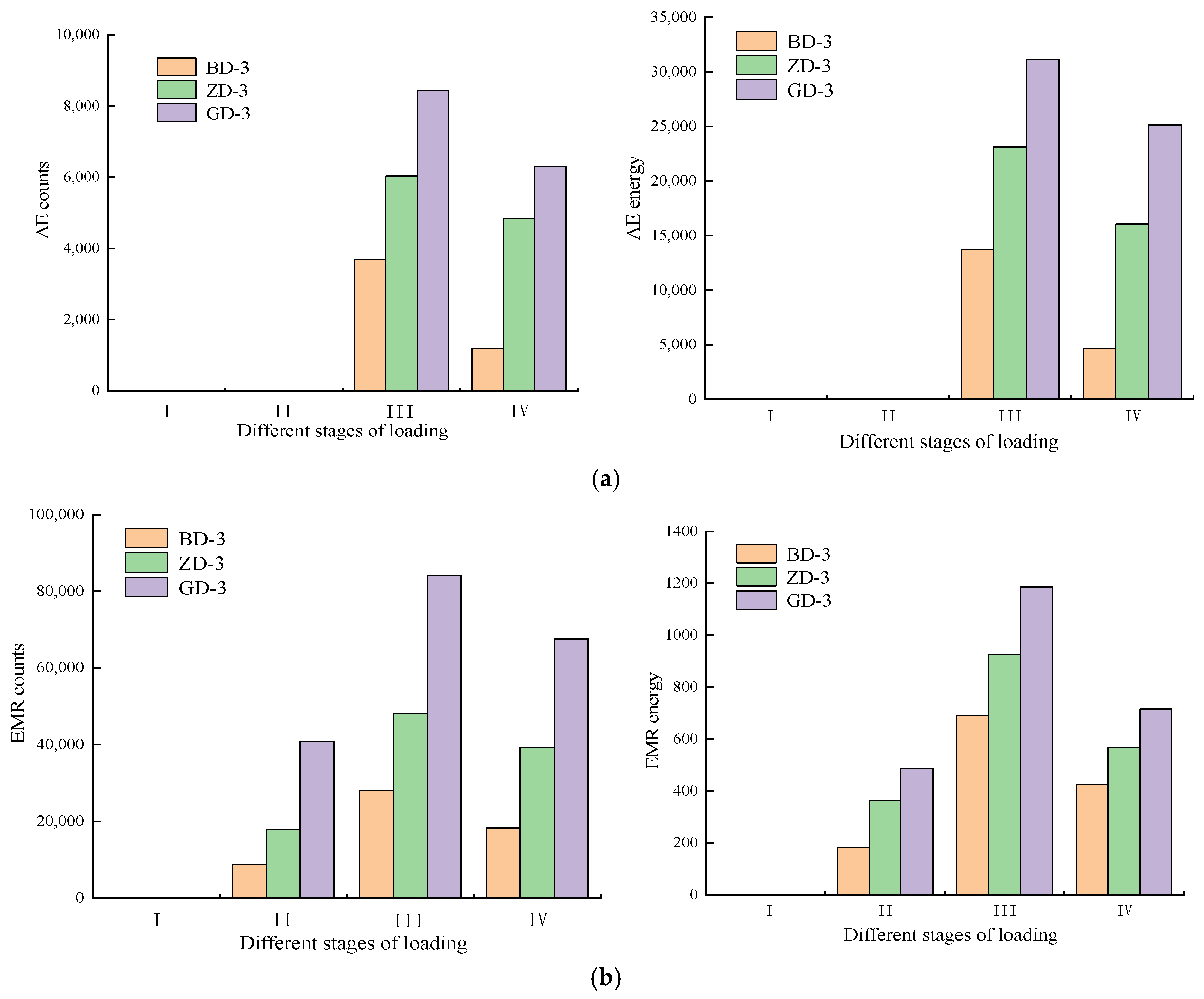
3.2. Acoustic Emission Signals Characteristics
3.3. Electromagnetic Radiation Signals Characteristics
4. Discussion
4.1. The Impact of Water on Specimen Failure
4.2. Effects of Water on AE and EMR Signals Under Impact Loading
4.3. Employing AE and EMR to Assess Damage in Specimens with Different Water Contents
5. Conclusions
- The presence of water reduces the dynamic compressive strength and elastic modulus of sandstone. This effect was quantified using softening coefficients, revealing that the softening effect intensifies with increasing water content. After water infiltrates into the rock, the specimen failure mode transitions from tensile failure to tensile-shear failure, with an increase in small-sized fragments after failure, and this transition is particularly pronounced at higher strain rates.
- AE and EMR signals can effectively characterize the complete deformation process of specimens with different water contents under impact loading. Neither AE nor EMR signals were observed during the compaction stage across specimens with different water contents, which is attributed to the excessively rapid impact velocity. Owing to their distinct generation mechanisms, only EMR signals emerged during the elastic stage. Upon entering the yield stage, AE and EMR signals reached their peak values, demonstrating that both possess effective early warning capabilities.
- Water inhibits both the propagation and energy of AE and EMR signals. EMR signals can serve as better precursors for crack generation in specimens, while AE signals show better response to rock failure.
- By comprehensively considering AE counts and EMR counts, the AE and EMR damage factor D was determined. This damage factor can effectively describe the damage degree of specimens with different water contents during the impact process, providing important guidance for field monitoring of water-bearing sandstone stability.
Author Contributions
Funding
Data Availability Statement
Conflicts of Interest
References
- Jiang, Y.; Chen, L.; Wang, D.; Luan, H.; Zhang, G.; Dong, L.; Liang, B. Mechanical properties and acoustic emission characteristics of soft rock with different water contents under dynamic disturbance. Int. J. Coal Sci. Technol. 2024, 11, 36. [Google Scholar] [CrossRef]
- Jiang, Y.; Liang, B.; Wang, D.; Luan, H.; Zhang, G.; Dong, L.; Chen, L. Experimental study on failure mechanical properties and acoustic emission characteristics of soft rock–coal combination under dynamic disturbance. Eng. Fail. Anal. 2024, 158, 108016. [Google Scholar] [CrossRef]
- Wu, D.; Peng, J.; Xia, Z. Water-induced physicochemical and pore changes in limestone for surrounding rock across pressure aquifers. J. Mt. Sci. 2024, 21, 3186–3200. [Google Scholar] [CrossRef]
- Yi, S.; Zhang, Y.; Yi, H.; Li, X.; Wang, X.; Wang, Y.; Chu, T. Study on the Instability Activation Mechanism and Deformation Law of Surrounding Rock Affected by Water Immersion in Goafs. Water 2022, 14, 3250. [Google Scholar] [CrossRef]
- Abbey, A.L.; Randolph-Flagg, N.; Villa, K.D.; Kim, S.L.; Shuster, D.L. Tracing short-lived hydrothermal circulation systems and water–rock interactions around small-scale intrusions. Geochim. Cosmochim. Acta 2024, 366, 113–127. [Google Scholar] [CrossRef]
- Bohnsack, D.; Potten, M.; Freitag, S.; Einsiedl, F.; Zosseder, K. Stress sensitivity of porosity and permeability under varying hydrostatic stress conditions for different carbonate rock types of the geothermal Malm reservoir in Southern Germany. Geotherm. Energy 2021, 9, 15. [Google Scholar] [CrossRef]
- Chen, T.; Yao, Q.-l.; Wei, F.; Chong, Z.-h.; Zhou, J.; Wang, C.-b.; Li, J. Effects of water intrusion and loading rate on mechanical properties of and crack propagation in coal–rock combinations. J. Cent. South Univ. 2017, 24, 423–431. [Google Scholar] [CrossRef]
- Xia, H.; Zhang, H.; Zhang, J. Research on Damage Mechanism and Mechanical Characteristics of Coal Rock under Water Immersion. Sustainability 2023, 15, 13095. [Google Scholar] [CrossRef]
- Liu, Y.; Zhao, F.; Wu, Q.; Fan, B.; Tang, Z. Experimental Research on Energy Evolution of Sandstone with Different Moisture Content under Uniaxial Compression. Sustainability 2024, 16, 4636. [Google Scholar] [CrossRef]
- Shen, R.; Chen, H.; Zhao, E.; Li, T.; Fan, W.; Yuan, Z. Electromagnetic radiation prediction of damage characteristics of water-bearing sandstone under cyclic loading and unloading. Bull. Eng. Geol. Environ. 2022, 81, 183. [Google Scholar] [CrossRef]
- Liu, D.; Wang, Z.; Zhang, X.; Wang, Y.; Zhang, X.; Li, D. Experimental investigation on the mechanical and acoustic emission characteristics of shale softened by water absorption. J. Nat. Gas Sci. Eng. 2018, 50, 301–308. [Google Scholar] [CrossRef]
- Ju, Y.; Jin, A.; Zhao, Y.; Tang, S. Iron ore grade’s impact on uniaxial compression behavior and acoustic emission characteristics. Mater. Today Commun. 2024, 39, 108856. [Google Scholar] [CrossRef]
- Kong, B.; Wang, E.; Li, Z. The effect of high temperature environment on rock properties—An example of electromagnetic radiation characterization. Environ. Sci. Pollut. Res. 2018, 25, 29104–29114. [Google Scholar] [CrossRef]
- He, X.; Nie, B.; Chen, W.; Wang, E.; Dou, L.; Wang, Y.; Liu, M.; Hani, M. Research progress on electromagnetic radiation in gas-containing coal and rock fracture and its applications. Saf. Sci. 2012, 50, 728–735. [Google Scholar] [CrossRef]
- Li, D.; Wang, E.; Li, Z.; Jia, H.; Wang, D.; Kong, X.; Wang, X.; Wang, X.; Ali, M. A causal mechanism for anomalous electromagnetic radiations from coal and rock failure. Geophysics 2018, 83, E423–E434. [Google Scholar] [CrossRef]
- Kong, X.; Wang, E.; Hu, S.; Shen, R.; Li, X.; Zhan, T. Fractal characteristics and acoustic emission of coal containing methane in triaxial compression failure. J. Appl. Geophys. 2016, 124, 139–147. [Google Scholar] [CrossRef]
- Kiyoo, M. Study of elastic shocks caused by the fracture of heterogeneous materials and its relations to earthquake phenomena. Bull. Earthq. Res. Inst. 1962, 40, 125–173. [Google Scholar]
- Filimonov, Y.; Lavrov, A.; Shkuratnik, V. Acoustic Emission in Rock Salt: Effect of Loading Rate. Strain 2002, 38, 157–159. [Google Scholar] [CrossRef]
- Zhang, S.W.; Shou, K.J.; Xian, X.F.; Zhou, J.P.; Liu, G.J. Fractal characteristics and acoustic emission of anisotropic shale in Brazilian tests. Tunn. Undergr. Space Technol. 2018, 71, 298–308. [Google Scholar] [CrossRef]
- Qiu, L.; Zhu, Y.; Song, D.; He, X.; Wang, W.; Liu, Y.; Xiao, Y.; Wei, M.; Yin, S.; Liu, Q. Study on the Nonlinear Characteristics of EMR and AE during Coal Splitting Tests. Minerals 2022, 12, 108. [Google Scholar] [CrossRef]
- Shen, R.; Li, T.; Li, H.; He, S.; Zhao, E.; Hou, Z.; Chen, T. Study on the effect of water on electromagnetic radiation characteristics of fractured sandstone under load. Environ. Earth Sci. 2021, 80, 87. [Google Scholar] [CrossRef]
- He, L.; Li, Q.; An, B. A Study of the Characteristics of Micro-Seismic (ME) and Electromagnetic Radiation (EMR) Signals under the Static Load Conditions of Rocks. Appl. Sci. 2023, 13, 12910. [Google Scholar] [CrossRef]
- Wei, M.; Song, D.; He, X.; Li, Z.; Qiu, L.; Lou, Q. Effect of Rock Properties on Electromagnetic Radiation Characteristics Generated by Rock Fracture During Uniaxial Compression. Rock Mech. Rock Eng. 2020, 53, 5223–5238. [Google Scholar] [CrossRef]
- Hu, S.; Wang, E.; Li, Z.; Shen, R.; Liu, J. Time-Varying Multifractal Characteristics and Formation Mechanism of Loaded Coal Electromagnetic Radiation. Rock Mech. Rock Eng. 2014, 47, 1821–1838. [Google Scholar] [CrossRef]
- Lacidogna, G.; Carpinteri, A.; Manuello, A.; Durin, G.; Schiavi, A.; Niccolini, G.; Agosto, A.J.S. Acoustic and electromagnetic emissions as precursor phenomena in failure processes. Strain 2011, 47, 144–152. [Google Scholar] [CrossRef]
- Sun, X.M.; Ding, J.X.; He, L.S.; Shi, F.K.; Miao, C.Y.; Zhang, Y.; Zhu, M.Q.; Yang, J.K.; Xie, C. Quantitative characterization of water absorption pore structure evolution in sandstone based on nitrogen adsorption and mercury intrusion. J. Cent. South Univ. 2024, 31, 182–195. [Google Scholar] [CrossRef]
- Han, P.; Zhang, C.; Wang, X.; Wang, L. Study of mechanical characteristics and damage mechanism of sandstone under long-term immersion. Eng. Geol. 2023, 315, 107020. [Google Scholar] [CrossRef]
- Zhou, Z.; Cai, X.; Ma, D.; Cao, W.; Chen, L.; Zhou, J. Effects of water content on fracture and mechanical behavior of sandstone with a low clay mineral content. Eng. Fract. Mech. 2018, 193, 47–65. [Google Scholar] [CrossRef]
- Gu, X.; Liang, X.; Li, X.; Chu, R.; Tong, T.; Yang, F.; Li, H.; Shao, X.; Wang, L.; Zhang, Q. Spallation fracture of cement paste cylinder by SHPB experiment and peri dynamic simulation incorporating asymmetry, strain-rate dependency and damage softening. Int. J. Impact Eng. 2025, 206, 10548. [Google Scholar] [CrossRef]
- Yao, Y.; Zhao, F.; Li, J.; Liu, J.; Liu, Z.; Wang, Y.; Zhuang, R.; Liu, L.; Zhao, Y.; Xu, Z. SHPB Experiment and MPM Simulation on Dynamic Properties of Unsaturated Clay Under Impact Loading. Appl. Sci. 2025, 15, 3132. [Google Scholar] [CrossRef]
- Qin, Z.; Liu, Y.; Zhang, F.; Liu, N.; Cao, B. Weakening behaviors of water saturated Island coal body subjected to SHPB tests. Sci. Rep. 2025, 15, 21334. [Google Scholar] [CrossRef]
- Guangfa, G. Stress wave effects and their mechanisms on stress-strain curves in the elastic phase of SHPB tests. Int. J. Impact Eng. 2024, 193, 105061. [Google Scholar] [CrossRef]
- Stopka, G.; Gieleta, R.; Panowicz, R.; Wałach, D.; Kaczmarczyk, G.P. High Strain Rate Response of Sandstones with Different Porosity under Dynamic Loading Using Split Hopkinson Pressure Bar (SHPB). Appl. Sci. 2024, 14, 5347. [Google Scholar] [CrossRef]
- Shan, J.; Xu, S.; Liu, Y.; Zhou, L.; Wang, P. Dynamic breakage of glass sphere subjected to impact loading. Powder Technol. 2018, 330, 317–329. [Google Scholar] [CrossRef]
- Tan, Y.-Y.; Yu, X.; Elmo, D.; Xu, L.-H.; Song, W.-D. Experimental study on dynamic mechanical property of cemented tailings backfill under SHPB impact loading. Int. J. Miner. Metall. Mater. 2019, 26, 404–416. [Google Scholar] [CrossRef]
- Liu, S.; Xu, J. Study on dynamic characteristics of marble under impact loading and high temperature. Int. J. Rock Mech. Min. Sci. 2013, 62, 51–58. [Google Scholar] [CrossRef]
- Zhou, X.-P.; Gu, S.-Y. Dynamic mechanical properties and cracking behaviors of persistent fractured granite under impact loading with various loading rates. Theor. Appl. Fract. Mech. 2022, 118, 103281. [Google Scholar] [CrossRef]
- Feng, S.; Zhou, Y.; Wang, Y.; Lei, M. Experimental research on the dynamic mechanical properties and damage characteristics of lightweight foamed concrete under impact loading. Int. J. Impact Eng. 2020, 140, 103558. [Google Scholar] [CrossRef]
- Yanhao, N.; Quanle, Z.; Yansong, N.; Xiaoli, Z.; Bichuan, Z. Combined effect mechanism of linear loading and disturbance with different amplitudes on sandstone. Geomech. Geophys. Geo-Energy Geo-Resour. 2024, 10, 56. [Google Scholar] [CrossRef]
- Zhang, C.; Miao, S.; Su, L. Seismic behavior of granular slope under railway embankment in large-scale shaking table test. Eng. Geol. 2022, 305, 106714. [Google Scholar] [CrossRef]
- Huang, R.; Guan, Z.; Qin, J.; Wen, Y.; Lai, Z. Strain rate effect of concrete based on split Hopkinson pressure bar (SHPB) test. J. Build. Eng. 2024, 86, 108856. [Google Scholar] [CrossRef]
- Gong, C.G.; Wang, W.; Shao, X.W. Effect of water chemical corrosion on mechanical properties and failure modes of pre-fissured sandstone under uniaxial compression. Acta Geotech. Int. J. Geoengin. 2021, 16, 1083–1099. [Google Scholar] [CrossRef]
- Chen, G.; Li, T.; Wang, W.; Zhu, Z.; Chen, Z.; Tang, O. Weakening effects of the presence of water on the brittleness of hard sandstone. Bull. Eng. Geol. Environ. 2019, 78, 1471–1483. [Google Scholar] [CrossRef]
- Aly, N.; Hamed, A.; Abd El-Al, A. The Impact of Hydric Swelling on the Mechanical Behavior of Egyptian Helwan Limestone. Period. Polytech. Civ. Eng. 2020, 64, 589–596. [Google Scholar] [CrossRef]
- Yu, Y.; Wang, J.; Feng, G.-L.; Geng, D.-X.; Guo, H.-S. Damage evolution and acoustic emission characteristics of hydro chemically corroded limestone. Bull. Eng. Geol. Environ. 2023, 82, 112. [Google Scholar] [CrossRef]
- Xin, Y.; Sun, Q.; Jia, H.; Yuan, S.; Ge, Z.; Tang, L. Acoustic emission (AE) characteristics of limestone during heating. J. Therm. Anal. Calorim. 2022, 147, 13725–13736. [Google Scholar] [CrossRef]
- Kong, B.; Wang, E.; Li, Z.; Wang, X.; Liu, X.; Li, N.; Yang, Y. Electromagnetic radiation characteristics and mechanical properties of deformed and fractured sandstone after high temperature treatment. Eng. Geol. 2016, 209, 82–92. [Google Scholar] [CrossRef]
- Kong, B.; Wang, E.; Li, Z.; Wang, X.; Liu, J.; Li, N. Fracture Mechanical Behavior of Sandstone Subjected to High-Temperature Treatment and Its Acoustic Emission Characteristics Under Uniaxial Compression Conditions. Rock Mech. Rock Eng. 2016, 49, 4911–4918. [Google Scholar] [CrossRef]











| Quartz | Plagioclase | Potassium Feldspar | Calcite | Dolomite | Illite | Montmorillonite | Hematite |
|---|---|---|---|---|---|---|---|
| 47.0 | 26.8 | 19.6 | 2.1 | 1.7 | 1.2 | 0.9 | 0.7 |
| Specimen Number | L/ mm | D/ mm | Density g/cm3 | Longitudinal Wave (m/s) | Strain Rate /s−1 | Moisture Content | Peak Strength/MPa | Elastic Modulus/GPa | |
|---|---|---|---|---|---|---|---|---|---|
| Moisture Content/% | Average | ||||||||
| BD-1 | 49.82 | 50.20 | 2393.6 | 2620.77 | 42 | 1.71 | 1.70 | 105.5 | 12.0 |
| BD-2 | 49.90 | 50.10 | 2383.5 | 2607.41 | 66 | 1.57 | 124.1 | 15.6 | |
| BD-3 | 49.82 | 50.10 | 2422.8 | 2645.93 | 105 | 1.87 | 145.6 | 24.9 | |
| ZD-1 | 49.80 | 50.20 | 2286.4 | 2773.67 | 42 | 0.92 | 0.84 | 119.6 | 16.6 |
| ZD-2 | 49.92 | 50.06 | 2272.3 | 2764.26 | 66 | 0.81 | 143.4 | 22.3 | |
| ZD-3 | 49.78 | 50.20 | 2237.9 | 2743.29 | 105 | 0.78 | 170.5 | 38.8 | |
| GD-1 | 49.92 | 50.10 | 2187.3 | 2943.72 | 42 | 0 | 0 | 129.0 | 21.6 |
| GD-2 | 49.82 | 50.18 | 2176.9 | 2958.63 | 66 | 0 | 166.2 | 33.4 | |
| GD-3 | 49.82 | 50.10 | 2184.5 | 2953.09 | 105 | 0 | 206.2 | 58.9 | |
Disclaimer/Publisher’s Note: The statements, opinions and data contained in all publications are solely those of the individual author(s) and contributor(s) and not of MDPI and/or the editor(s). MDPI and/or the editor(s) disclaim responsibility for any injury to people or property resulting from any ideas, methods, instructions or products referred to in the content. |
© 2026 by the authors. Licensee MDPI, Basel, Switzerland. This article is an open access article distributed under the terms and conditions of the Creative Commons Attribution (CC BY) license.
Share and Cite
Liu, Y.; Zhao, F.; Wu, Q.; Ye, Z. Mechanical Properties, Acoustic Emission (AE), and Electromagnetic Radiation (EMR) Characteristics of Sandstone with Different Water Contents Under Impact Loading. Water 2026, 18, 410. https://doi.org/10.3390/w18030410
Liu Y, Zhao F, Wu Q, Ye Z. Mechanical Properties, Acoustic Emission (AE), and Electromagnetic Radiation (EMR) Characteristics of Sandstone with Different Water Contents Under Impact Loading. Water. 2026; 18(3):410. https://doi.org/10.3390/w18030410
Chicago/Turabian StyleLiu, Yonghong, Fujun Zhao, Qiuhong Wu, and Zhouyuan Ye. 2026. "Mechanical Properties, Acoustic Emission (AE), and Electromagnetic Radiation (EMR) Characteristics of Sandstone with Different Water Contents Under Impact Loading" Water 18, no. 3: 410. https://doi.org/10.3390/w18030410
APA StyleLiu, Y., Zhao, F., Wu, Q., & Ye, Z. (2026). Mechanical Properties, Acoustic Emission (AE), and Electromagnetic Radiation (EMR) Characteristics of Sandstone with Different Water Contents Under Impact Loading. Water, 18(3), 410. https://doi.org/10.3390/w18030410
