Comparative Study of the Underwater Soundscape in Natural and Artificial Environments in the Mediterranean †
Abstract
1. Introduction
2. Materials and Methods
2.1. Selected Environments
2.2. Measurement Setup
2.3. Characteristic Noise Sources in the Area
2.4. Soundscape Analysis
3. Acoustic Analysis of Monitored Underwater Soundscapes
3.1. General Structure of Natural Soundscapes
3.2. Seasonality Analysis of the Underwater Soundscape
3.3. Soundscape Comparison According to Time Segmentation
3.4. Effect of Trawling Restrictions on the Soundscape
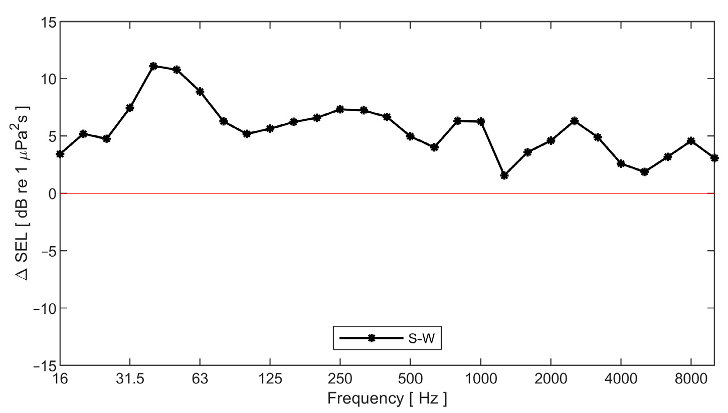
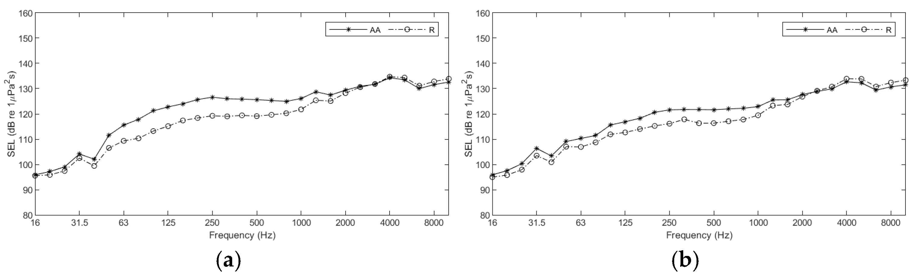
3.5. Differences Between Natural and Artificial Soundscapes
4. Comparison of Ecoacoustic Indices Based on the Environment
5. Discussion
6. Conclusions
Author Contributions
Funding
Data Availability Statement
Conflicts of Interest
References
- Pijanowski, B.C.; Farina, A.; Gage, S.H.; Dumyahn, S.L.; Krause, B.L. What is soundscape ecology? An introduction and overview of an emerging new science. Landsc. Ecol. 2011, 26, 1213–1232. [Google Scholar] [CrossRef]
- Schafer, R.M. The New Soundscape: A Handbook for the Modern Music Teacher; BMI Canada: Boisbriand, QC, Canada, 1969. [Google Scholar]
- Pijanowski, B.C.; Villanueva-Rivera, L.J.; Dumyahn, S.L.; Farina, A.; Krause, B.L.; Napoletano, B.M.; Pieretti, N. Soundscape ecology: The science of sound in the landscape. BioScience 2011, 61, 203–216. [Google Scholar] [CrossRef]
- Au, W.W.L.; Hastings, M.C. Principles of Marine Bioacoustics; Springer: New York, NY, USA, 2008. [Google Scholar] [CrossRef]
- Duarte, C.M.; Chapuis, L.; Collin, S.P.; Costa, D.P.; Devassy, R.P.; Eguiluz, V.M.; Erbe, C. The soundscape of the Anthropocene ocean. Science 2021, 371, eaba4658. [Google Scholar] [CrossRef] [PubMed]
- Hildebrand, J.A. Anthropogenic and natural sources of ambient noise in the ocean. Mar. Ecol. Prog. Ser. 2009, 395, 5–20. [Google Scholar] [CrossRef]
- Popper, A.N.; Hawkins, A.D. An overview of fish bioacoustics and the impacts of anthropogenic sounds on fishes. J. Fish Biol. 2019, 94, 692–713. [Google Scholar] [CrossRef] [PubMed]
- Merchant, N.D.; Fristrup, K.M.; Johnson, M.P.; Tyack, P.L.; Witt, M.J.; Blondel, P.; Godley, B.J. Measuring acoustic habitats. Methods Ecol. Evol. 2015, 6, 257–265. [Google Scholar] [CrossRef]
- McKenna, M.F.; Ross, D.; Wiggins, S.M.; Hildebrand, J.A. Underwater radiated noise from modern commercial ships. J. Acoust. Soc. Am. 2012, 131, 92–103. [Google Scholar] [CrossRef]
- Erbe, C.; Marley, S.A.; Schoeman, R.P.; Smith, J.N.; Trigg, L.E.; Embling, C.B. The effects of ship noise on marine mammals—A review. Front. Mar. Sci. 2016, 3, 277. [Google Scholar] [CrossRef]
- Pieretti, N.; Farina, A.; Morri, D. A new methodology to infer the singing activity of an avian community: The Acoustic Complexity Index (ACI). Ecol. Indic. 2011, 11, 868–873. [Google Scholar] [CrossRef]
- Kasten, E.P.; Gage, S.H.; Fox, J.; Joo, W. The remote environmental assessment laboratory’s acoustic library: An archive for studying soundscape ecology. Ecol. Inform. 2012, 12, 50–67. [Google Scholar] [CrossRef]
- Sueur, J.; Pavoine, S.; Hamerlynck, O.; Duvail, S. Rapid acoustic survey for biodiversity appraisal. PLoS ONE 2008, 3, e4065. [Google Scholar] [CrossRef] [PubMed] [PubMed Central]
- Depraetere, M.; Pavoine, S.; Jiguet, F.; Gasc, A.; Duvail, S.; Sueur, J. Monitoring animal diversity using acoustic indices: Implementation in a temperate woodland. Ecol. Indic. 2012, 13, 46–54. [Google Scholar] [CrossRef]
- Boelman, N.T.; Asner, G.P.; Hart, P.J.; Martin, R.E. Multi-trophic invasion resistance in Hawaii: Bioacoustics, field surveys, and airborne remote sensing. Ecol. Appl. 2007, 17, 2137–2144. [Google Scholar] [CrossRef] [PubMed]
- Villanueva-Rivera, L.J.; Pijanowski, B.C.; Doucette, J.; Pekin, P. A primer of acoustic analysis for landscape ecologists. Landsc. Ecol. 2011, 26, 1233–1246. [Google Scholar] [CrossRef]
- McPherson, C.; Martin, B.; MacDonnell, J.; Whitt, C. Examining the value of the acoustic variability index in the characterisation of Australian marine soundscapes. In Proceedings of the 2nd Australas Acoustic Social Conference on Acoustics, Brisbane, Australia, 9–11 November 2016; pp. 1–13. [Google Scholar]
- Minello, M.; Calado, L.; Xavier, F.C. Ecoacoustic indices in marine ecosystems: A review on recent developments, challenges, and future directions. ICES J. Mar. Sci. 2021, 78, 3066–3074. [Google Scholar] [CrossRef]
- Roca, I.T.; Van Opzeeland, I. Using acoustic metrics to characterize underwater acoustic biodiversity in the Southern Ocean. Remote Sens. Ecol. Conserv. 2019, 6, 262–273. [Google Scholar] [CrossRef]
- Mattmüller, R.M.; Thomisch, K.; Hoffman, J.I.; Van Opzeeland, I. Characterizing offshore polar ocean soundscapes using ecoacoustic intensity and diversity metrics. R. Soc. Open Sci. 2024, 11, 231917. [Google Scholar] [CrossRef]
- Williams, B.; Lamont, T.A.C.; Chapuis, L.; Harding, H.R.; May, E.B.; Prasetya, M.E.; Seraphim, M.J.; Jompa, J.; Smith, D.J.; Janetski, N.; et al. Enhancing automated analysis of marine soundscapes using ecoacoustic indices and machine learning. Ecol. Indic. 2022, 140, 108986. [Google Scholar] [CrossRef]
- Guagliumi, G.; Canedoli, C.; Potenza, A.; Zaffaroni-Caorsi, V.; Benocci, R.; Padoa-Schioppa, E.; Zambon, G. Unraveling Soundscape Dynamics: The Interaction Between Vegetation Structure and Acoustic Patterns. Sustainability 2025, 17, 4204. [Google Scholar] [CrossRef]
- Van der Graaf, A.J.; Ainslie, M.A.; André, M.; Brensing, K.; Dalen, J.; Dekeling, R.P.A.; Robinson, S.P. European Marine Strategy Framework Directive–Good Environmental Status (MSFD GES): Report of the Technical Subgroup on Underwater Noise and Other Forms of Energy; European Commission: Brussels, Belgium, 2012. [Google Scholar]
- De Juan, C.; Cibecchini, F.; Matamoros, C.; Moya, J.A.; Molina, J. Jornada «El pecio Bou Ferrer de Villajoyosa: Un yacimiento romano extraordinario». Boletín del Museo Arqueológico Nacional 34/2016. 2016, pp. 457–474. Available online: https://www.man.es/dam/jcr:366f62bc-4646-48d2-bbef-c3ceb37675a7/man-bol-2016-34-de-juan.pdf (accessed on 10 November 2025).
- Soler, E.; Bras, M.; Martínez, B. Estudio de Impacto Ambiental del Proyecto de “Ampliación de Producción de la Granja Marina nº12 de Engorde de Dorada, Lubina, Corvina y Seriola en Jaulas Flotantes en Aguas del Mediterráneo, Villajoyosa (Alicante)”. 2020. Available online: https://agroambient.gva.es/auto/Proyectos_Acuicultura/ALICANTE/VILLAJOYOSA/ANIA%2003-0026/EIA%20AMPLIAC%20PRODUCCI%C3%93N%20ANIA26.pdf (accessed on 10 November 2025).
- Mihailov, M.E. Characterization and Automated Classification of Underwater Acoustic Environments in the Western Black Sea Using Machine Learning Techniques. J. Mar. Sci. Eng. 2025, 13, 1352. [Google Scholar] [CrossRef]
- La Manna, G.; Guala, I.; Pansini, A.; Stipcich, P.; Arrostuto, N.; Ceccherelli, G. Soundscape analysis can be an effective tool in assessing seagrass restoration early success. Sci Rep. 2024, 14, 20910. [Google Scholar] [CrossRef] [PubMed] [PubMed Central]
- Prawirasasra, M.S.; Mustonen, M.; Klauson, A. The Underwater Soundscape at Gulf of Riga Marine-Protected Areas. J. Mar. Sci. Eng. 2021, 9, 915. [Google Scholar] [CrossRef]
- Ainslie, M.A.; Miksis-Olds, J.L.; Martin, B.; Heaney, K.; de Jong, C.A.F.; von Benda- Beckmann, A.M.; Lyons, A.P. ADEON Underwater Soundscape and Modeling Metadata Standard. Version 1.0. Technical Report by JASCO Applied Sciences for ADEON Prime Contract No. M16PC00003. 2018. Available online: https://adeon.unh.edu/standards (accessed on 15 October 2025).
- Robinson, S.P.; Lepper, P.A.; Hazelwood, R.A. Good practice guide for underwater noise measurement. NPL Good Practic Guide No. 133. National Measurement Office, Marine Scotland, The Crown Estate. 2014. Available online: https://github.com/ljvillanueva/soundecology (accessed on 15 October 2025).
- IQOE (International Quiet Ocean Experiment). IQOE Workshop Report: Guidelines for Observation of Ocean Sound. 2019. Available online: https://iqoe.org/products (accessed on 1 February 2024).
- Van Geel, N.; Risch, D.; Wittich, A. A brief overview of current approaches for underwater sound analysis and reporting. Mar. Pollut. Bull. 2022, 178, 113610. [Google Scholar] [CrossRef] [PubMed]
- Villanueva-Rivera, L.J.; Pijanowski, B.C. Soundecology: Soundscape Ecology, R Package Version 1.3.2. 2016. Available online: http://ljvillanueva.r-universe.dev/soundecology (accessed on 1 June 2025).
- Bradfer-Lawrence, T.; Duthie, B.; Abrahams, C.; Adam, M.; Barnett, R.J.; Beeston, A.; Darby, J.; Dell, B.; Gardner, N.; Gasc, A.; et al. The acoustic index user’s guide: A practical manual for defining, generating and understanding current and future acoustic indices. Methods Ecol. Evol. 2024, 16, 1040–1050. [Google Scholar] [CrossRef]
- Farina, A.; Morri, D. Source-sink e eco-field: Ipotesi ed evidenze sperimentali. In Atti del X Congresso Nazionale Della SIEP-IALE. Ecologia e Governance del Paesaggio: Esperienze e Prospettive; SIEP: Bari, Italy, 2008; pp. 365–372. [Google Scholar]
- Kasten, E.P.; Gage, S.H.; Fox, J.; Joo, W. The use of acoustic indices to assess marine soundscapes. Ecol. Indic. 2021, 122, 107254. [Google Scholar] [CrossRef]
- Popper, A.N.; Hawkins, A.D. The effects of anthropogenic sources of sound on fishes. J. Fish Biol. 2016, 94, 692–713. [Google Scholar] [CrossRef]
- Bradfe-Lawrence, T.; Desjonquères, C.; Eldridge, A.; Johnston, A.; Metcalf, O. Using acoustic indices in ecology: Guidance on study design, analyses and interpretation. Methods Ecol. Evol. 2023, 14, 2192–2204. [Google Scholar] [CrossRef]
- Urick, R.J. Principles of Underwater Sound, 3rd ed.; McGraw-Hill Book Company: New York, NY, USA, 1983. [Google Scholar]
- Wang, J.Q.; Liu, B.H.; Kan, G.M.; Li, G.B.; Zheng, J.W.; Meng, X.M. Frequency dependence of sound speed and attenuation in fine-grained sediments from 25 to 250 kHz based on a probe method. Ocean Eng. 2018, 160, 45–53. [Google Scholar] [CrossRef]
- Sand, O.; Popper, A.N.; Hawkins, A.D. Evolution of the Understanding of Fish Hearing. In A History of Discoveries on Hearing. Springer Handbook of Auditory Research; Ketten, D.R., Coffin, A.B., Fay, R.R., Popper, A.N., Eds.; Springer: Cham, Switzerland, 2024; p. 77. [Google Scholar] [CrossRef]
- Mooney, T.A.; Kaplan, M.B.; Lammers, M.O. Singing whales generate high levels of particle motion: Implications for acoustic communication and hearing? Biol. Lett. 2016, 12, 20160381. [Google Scholar] [CrossRef]
- Roberts, L.; Laidre, M.E. Finding a home in the noise: Cross-modal impact of antrhopogenic vibration on animal search behaviour. Biol. Open 2019, 8, bio041988. [Google Scholar] [CrossRef]
- Campbell, J.; Sabet, S.S.; Slabbekoorn, H. Particle motion and sound pressure in fish tanks: A behavioural exploration of acoustic sensitivity in the zebrafish. Behav. Process. 2019, 164, 38–47. [Google Scholar] [CrossRef]
- Mauro, M.; Pérez-Arjona, I.; Perez, E.J.B.; Ceraulo, M.; Bou-Cabo, M.; Benson, T.; Espinosa, V.; Beltrame, F.; Mazzola, S.; Vazzana, M.; et al. The effect of low frequency noise on the behavior of juvenile Sparus aurata. J. Acoust. Soc. Am. 2020, 147, 3795. [Google Scholar] [CrossRef] [PubMed]
- Solé, M.; De Vreese, S.; Fortuño, J.M.; van der Schaar, M.; Sánchez, A.M.; André, M. Commercial cuttlefish exposed to noise from offshore windmill construction show short-range acoustic trauma. Environ. Pollut. 2022, 312, 119853. [Google Scholar] [CrossRef]
- Olivier, F.; Gigot, M.; Mathias, D.; Jezequel, Y.; Meziane, T.; L’Her, C.; Chauvaud, L.; Bonnel, J. Assessing the impacts of anthropogenic sounds on early stages of benthic invertebrates: The “Larvosonic system”. Limnol. Oceanogr. Methods 2023, 21, 53–68. [Google Scholar] [CrossRef]
- Tavolga, W.N.; Wodinsky, J. Auditory Capacities in Fishes: Pure Tone Thresholds in Nine Species of Marine Teleosts. Bulletin of the AMNH; American Museum of Natural History: New York, NY, USA, 1963; Volume 126, Available online: https://www.biodiversitylibrary.org/bibliography/89251 (accessed on 25 October 2025).
- Popper, A.N. Hearing diversity in 34000 fish species: A personal perspective. J. Acoust. Soc. Am. 2023, 154, 1351–1361. [Google Scholar] [CrossRef]
- Bohnenstiehl, D.R.; Lyon, R.P.; Caretti, O.N.; Ricci, S.W.; Eggleston, D.B. Investigating the utility of ecoacoustic metrics in marine soundscapes. J. Ecoacoustics 2018, 2, 1. [Google Scholar] [CrossRef]
- Staaterman, E.; Ogburn, M.B.; Altieri, A.H.; Brandl, S.J.; Whippo, R.; Seemann, J.; Goodison, M.; Duffy, J.E. Bioacoustic measurements complement visual biodiversity surveys: Preliminary evidence from four shallow marine habitats. Mar. Ecol. Prog. Ser. 2017, 575, 207–215. [Google Scholar] [CrossRef]
- Golubović, D.; Erić, M.; Vukmirović, N.; Orlić, V. High-Resolution Sea Surface Target Detection Using Bi-Frequency High-Frequency Surface Wave Radar. Remote Sens. 2024, 16, 3476. [Google Scholar] [CrossRef]


































| Bou Ferrer (BF) | Mina Cove (MC) | Mazarrón (MZ) |
|---|---|---|
| 10 May 2024–5 July 2024 (59, S) | 20 February 2024–26 February 2024 (36, W) | 7 November 2024–15 November 2024 (9, F) |
| 2 January 2025–17 January 2025 (16, W) | 6 July 2024–21 July 2024 (16, S) | |
| 26 January 2025–25 February 2025 (31, W) | 2 December 2024–16 December 2024 (15, W) | |
| 27 February 2025–29 March 2025 (31, W) | 14 January 2025–10 March 2025 (25, W) | |
| 27 June 2025–11 July 2025 (15, S) |
| ACI: fmin = 20 Hz; fmax = 8000 Hz; nº freq. bands = 30 |
| ADI: fmax = 8000 Hz; dBthreshold = −50; fstep = 200 Hz |
| AEI: fmax = 8000 Hz; dBthreshold = −50; fstep = 200 Hz |
| BI: fmin = 20 Hz; fmax = 8000 Hz; window length = 1024 samples |
| H: window length = 1024 samples; envelope = Hilbert amplitude envelope |
| NDSI: window length = 1024 samples; fmin_anthro = 63 Hz; fmax_anthro = 1000 Hz; fbio_min = 1000 Hz; fbio_max = 8000 |
| Source | Type III Sum of Squares | df | Mean Square | F | Sig. |
|---|---|---|---|---|---|
| ACI | 16,452.254 | 1.336 | 12,316.408 | 270.451 | 0.000 |
| Error (ACI) | 17,458.981 | 383.375 | 45.540 | ||
| ADI | 35.274 | 1.199 | 29.411 | 129.710 | 0.000 |
| Error (ADI) | 78.047 | 344.210 | 0.227 | ||
| AEI | 23.609 | 1.189 | 19.857 | 421.792 | 0.000 |
| Error (AEI) | 16.065 | 341.239 | 0.047 | ||
| BI | 25,088.996 | 1.804 | 13,909.989 | 311.347 | 0.000 |
| Error (BI) | 23,127.037 | 517.653 | 44.677 | ||
| H | 1.037 | 1.440 | 0.720 | 668.904 | 0.000 |
| Error (H) | 0.445 | 413.257 | 0.001 | ||
| NDSI | 381.799 | 1.630 | 234.180 | 2276.673 | 0.000 |
| Error (NDSI) | 48.130 | 467.915 | 0.103 |
| Mean Difference (I–J) | 95% Conf. Interval for Dif. b | ||||||
|---|---|---|---|---|---|---|---|
| Std. Error | Sig. b | Lower Bound | Upper Bound | ||||
| ACI | BF | MC | −9444 * | 0.562 | 0.000 | −10.798 | −8.089 |
| MZ | −0.386 | 0.500 | 1.000 | −1.590 | 0.818 | ||
| MC | BF | 9444 * | 0.562 | 0.000 | 8.089 | 10.798 | |
| MZ | 9058 * | 0.259 | 0.000 | 8.433 | 9.682 | ||
| MZ | BF | 0.386 | 0.500 | 1.000 | −0.818 | 1.590 | |
| MC | −9058 * | 0.259 | 0.000 | −9.682 | −8.433 | ||
| ADI | BF | MC | −0.001 | 0.013 | 1.000 | −0.033 | 0.032 |
| MZ | 0.428 * | 0.035 | 0.000 | 0.344 | 0.513 | ||
| MC | BF | 0.001 | 0.013 | 1.000 | −0.032 | 0.033 | |
| MZ | 0.429 * | 0.038 | 0.000 | 0.338 | 0.520 | ||
| MZ | BF | −0.428 * | 0.035 | 0.000 | −0.513 | −0.344 | |
| MC | −0.429 * | 0.038 | 0.000 | −0.520 | −0.338 | ||
| AEI | BF | MC | 0.034 * | 0.006 | 0.000 | 0.020 | 0.048 |
| MZ | −0.333 * | 0.017 | 0.000 | −0.372 | −0.293 | ||
| MC | BF | −0.034 * | 0.006 | 0.000 | −0.048 | −0.020 | |
| MZ | −0.366 * | 0.017 | 0.000 | −0.406 | −0.327 | ||
| MZ | BF | 0.333 * | 0.017 | 0.000 | 0.293 | 0.372 | |
| MC | 0.366 * | 0.017 | 0.000 | 0.327 | 0.406 | ||
| BI | BF | MC | −10,801 * | 0.593 | 0.000 | −12.229 | −9.373 |
| MZ | 1170 * | 0.440 | 0.025 | 0.110 | 2.229 | ||
| MC | BF | 10,801 * | 0.593 | 0.000 | 9.373 | 12.229 | |
| MZ | 11,971 * | 0.542 | 0.000 | 10.665 | 13.277 | ||
| MZ | BF | −1170 * | 0.440 | 0.025 | −2.229 | −0.110 | |
| MC | −11,971 * | 0.542 | 0.000 | −13.277 | −10.665 | ||
| H | BF | MC | 0.045 * | 0.001 | 0.000 | 0.041 | 0.048 |
| MZ | 0.085 * | 0.003 | 0.000 | 0.078 | 0.091 | ||
| MC | BF | −0.045 * | 0.001 | 0.000 | −0.048 | −0.041 | |
| MZ | 0.040 * | 0.003 | 0.000 | 0.034 | 0.046 | ||
| MZ | BF | −0.085 * | 0.003 | 0.000 | −0.091 | −0.078 | |
| MC | −0.040 * | 0.003 | 0.000 | −0.046 | −0.034 | ||
| NDSI | BF | MC | −0.744 * | 0.027 | 0.000 | −0.809 | −0.679 |
| MZ | 0.882 * | 0.027 | 0.000 | 0.818 | 0.946 | ||
| MC | BF | 0.744 * | 0.027 | 0.000 | 0.679 | 0.809 | |
| MZ | 1626 * | 0.017 | 0.000 | 1.584 | 1.668 | ||
| MZ | BF | −0.882 * | 0.027 | 0.000 | −0.946 | −0.818 | |
| MC | −1626 * | 0.017 | 0.000 | −1.668 | −1.584 | ||
| Sorche | Type III Sum of Squares | df | Mean Square | F | Sig. |
|---|---|---|---|---|---|
| ACI | 76.601 | 1.000 | 76.601 | 25.423 | 0.000 |
| Error (ACI) | 864.757 | 287.000 | 3.013 | ||
| ADI | 0.004 | 1.000 | 0.004 | 1.152 | 0.284 |
| Error (ADI) | 1.060 | 287.000 | 0.004 | ||
| AEI | 0.018 | 1.000 | 0.018 | 7.896 | 0.005 |
| Error (AEI) | 0.665 | 287.000 | 0.002 | ||
| BI | 970.046 | 1.000 | 970.046 | 26.568 | 0.000 |
| Error (BI) | 10,479.076 | 287.000 | 36.512 | ||
| H | 0.011 | 1.000 | 0.011 | 51.538 | 0.000 |
| Error (H) | 0.060 | 287.000 | 0.000 | ||
| NDSI | 0.302 | 1.000 | 0.302 | 2.125 | 0.146 |
| Error (NDSI) | 40.829 | 287.000 | 0.142 |
| Sorche | Type III Sum of Squares | df | Mean Square | F | Sig. |
|---|---|---|---|---|---|
| ACI | 1953.002 | 1.000 | 1953.002 | 140.917 | 0.000 |
| Error (ACI) | 3977.587 | 287.000 | 13.859 | ||
| ADI | 0.031 | 1.000 | 0.031 | 0.638 | 0.425 |
| Error (ADI) | 14.075 | 287.000 | 0.049 | ||
| AEI | 0.241 | 1.000 | 0.241 | 36.616 | 0.000 |
| Error (AEI) | 1.892 | 287.000 | 0.007 | ||
| BI | 192.519 | 1.000 | 192.519 | 1.958 | 0.163 |
| Error (BI) | 28,214.182 | 287.000 | 98.307 | ||
| H | 0.628 | 1.000 | 0.628 | 6274.098 | 0.000 |
| Error (H) | 0.029 | 287.000 | 0.000 | ||
| NDSI | 6.085 | 1.000 | 6.085 | 66.389 | 0.000 |
| Error (NDSI) | 26.305 | 287.000 | 0.092 |
| Sorche | Type III Sum of Squares | df | Mean Square | F | Sig. |
|---|---|---|---|---|---|
| ACI | 369.086 | 1.000 | 369.086 | 9.969 | 0.002 |
| Error (ACI) | 10,626.090 | 287.000 | 37.025 | ||
| ADI | 0.050 | 1.000 | 0.050 | 2.229 | 0.137 |
| Error (ADI) | 6.375 | 287.000 | 0.022 | ||
| AEI | 0.146 | 1.000 | 0.146 | 21.277 | 0.000 |
| Error (AEI) | 1.971 | 287.000 | 0.007 | ||
| BI | 482.935 | 1.000 | 482.935 | 11.147 | 0.001 |
| Error (BI) | 12,434.187 | 287.000 | 43.325 | ||
| H | 0.039 | 1.000 | 0.039 | 83.527 | 0.000 |
| Error (H) | 0.133 | 287.000 | 0.000 | ||
| NDSI | 11.600 | 1.000 | 11.600 | 89.497 | 0.000 |
| Error (NDSI) | 37.198 | 287.000 | 0.130 |
Disclaimer/Publisher’s Note: The statements, opinions and data contained in all publications are solely those of the individual author(s) and contributor(s) and not of MDPI and/or the editor(s). MDPI and/or the editor(s) disclaim responsibility for any injury to people or property resulting from any ideas, methods, instructions or products referred to in the content. |
© 2026 by the authors. Licensee MDPI, Basel, Switzerland. This article is an open access article distributed under the terms and conditions of the Creative Commons Attribution (CC BY) license.
Share and Cite
Poveda-Martínez, P.; Ullah, N.; Carbajo, J.; Valle, C.; Forcada, A.; Pérez-Arjona, I.; Espinosa, V.; Ramis-Soriano, J. Comparative Study of the Underwater Soundscape in Natural and Artificial Environments in the Mediterranean. J. Mar. Sci. Eng. 2026, 14, 241. https://doi.org/10.3390/jmse14030241
Poveda-Martínez P, Ullah N, Carbajo J, Valle C, Forcada A, Pérez-Arjona I, Espinosa V, Ramis-Soriano J. Comparative Study of the Underwater Soundscape in Natural and Artificial Environments in the Mediterranean. Journal of Marine Science and Engineering. 2026; 14(3):241. https://doi.org/10.3390/jmse14030241
Chicago/Turabian StylePoveda-Martínez, Pedro, Naeem Ullah, Jesús Carbajo, Carlos Valle, Aitor Forcada, Isabel Pérez-Arjona, Víctor Espinosa, and Jaime Ramis-Soriano. 2026. "Comparative Study of the Underwater Soundscape in Natural and Artificial Environments in the Mediterranean" Journal of Marine Science and Engineering 14, no. 3: 241. https://doi.org/10.3390/jmse14030241
APA StylePoveda-Martínez, P., Ullah, N., Carbajo, J., Valle, C., Forcada, A., Pérez-Arjona, I., Espinosa, V., & Ramis-Soriano, J. (2026). Comparative Study of the Underwater Soundscape in Natural and Artificial Environments in the Mediterranean. Journal of Marine Science and Engineering, 14(3), 241. https://doi.org/10.3390/jmse14030241

