Next Article in Journal
Fluid-Rock Interaction Signature in Palomares Fault Zone—New Mineralogical and Geochemical Insights into the Tectono-Magmatic Águilas Arc Geothermal System (SE Spain)
Previous Article in Journal
Quantifying Readability in Chatbot-Generated Medical Texts Using Classical Linguistic Indices: A Review
Previous Article in Special Issue
Analysis of the Impact of Typical Sand and Dust Weather in Southern Xinjiang on the Aerodynamic Performance of Aircraft Airfoils
 
 
Font Type:
Arial Georgia Verdana
Font Size:
Aa Aa Aa
Line Spacing:
Column Width:
Background:
Article

Effects of Momentum-FluxRatio on POD and SPOD Modes in High-Speed Crossflow Jets

Computational Turbulence and Visualization Laboratory, Department of Mechanical Engineering, University of Texas at San Antonio, San Antonio, TX 78249, USA
*
Author to whom correspondence should be addressed.
Appl. Sci. 2026, 16(3), 1424; https://doi.org/10.3390/app16031424
Submission received: 12 January 2026 / Revised: 24 January 2026 / Accepted: 28 January 2026 / Published: 30 January 2026

Abstract

High-speed jet-in-crossflow (JICF) configurations are central to several aerospace applications, including turbine-blade film cooling, thrust vectoring, and fuel or hydrogen injection in combusting or reacting flows. This study employs high-fidelity direct numerical simulations (DNS) to investigate the dynamics of a supersonic jet (Mach 3.73) interacting with a subsonic crossflow (Mach 0.8) at low Reynolds numbers. Three momentum-flux ratios (J = 2.8, 5.6, and 10.2) are considered, capturing a broad range of jet–crossflow interaction regimes. Turbulent inflow conditions are generated using the Dynamic Multiscale Approach (DMA), ensuring physically consistent boundary-layer turbulence and accurate representation of jet–crossflow interactions. Modal decomposition via proper orthogonal decomposition (POD) and spectral POD (SPOD) is used to identify the dominant spatial and spectral features of the flow. Across the three configurations, near-wall mean shear enhances small-scale turbulence, while increasing J intensifies jet penetration and vortex dynamics, producing broadband spectral gains. Downstream of the jet injection, the spectra broadly preserve the expected standard pressure and velocity scaling across the frequency range, except at high frequencies. POD reveals coherent vortical structures associated with shear-layer roll-up, jet flapping, and counter-rotating vortex pair (CVP) formation, with increasing spatial organization at higher momentum ratios. Further, POD reveals a shift in dominant structures: shear-layer roll-up governs the leading mode at high J, whereas CVP and jet–wall interactions dominate at lower J. Spectral POD identifies global plume oscillations whose Strouhal number rises with J, reflecting a transition from slow, wall-controlled flapping to faster, jet-dominated dynamics. Overall, the results demonstrate that the momentum-flux ratio (J) regulates not only jet penetration and mixing but also the hierarchy and characteristic frequencies of coherent vortical, thermal, and pressure and acoustic structures. The predominance of shear-layer roll-up over counter-rotating vortex pair (CVP) dynamics at high J, the systematic upward shift of plume-oscillation frequencies, and the strong analogy with low-frequency shock–boundary-layer interaction (SBLI) dynamics collectively provide new mechanistic insight into the unsteady behavior of supersonic jet-in-crossflow flows.

1. Introduction

Jets injected into a crossflow form a canonical fluid-mechanics configuration with applications spanning propulsion, aerothermal management, and high-speed reacting systems. Their relevance extends to fuel or hydrogen injection in scramjets, turbine-blade film cooling, thrust vectoring, supersonic combustion, and mixing augmentation in high-speed engines. In these applications, an externally imposed crossflow interacts with a transverse or angled jet, producing a complex, three-dimensional flow field governed by strong shear-layer instabilities, shock–vortex interactions, and large-scale coherent structures [1,2,3,4,5,6]. These challenges are further amplified in supersonic jet injection into a subsonic crossflow, where compressibility, shock formation, and jet overexpansion induce additional nonlinear coupling mechanisms that fundamentally alter penetration, mixing, and unsteady dynamics. A supersonic, overexpanded jet issuing into a subsonic crossflow produces a very rich, three-dimensional shock–vortex–shear-layer system, including barrel or oblique shocks, Mach disks, expansion fans, and bow shocks, accompanied by the canonical vortex system (i.e., counter-rotating vortex pair (CVP), shear-layer vortices, horseshoe and wake vortices), unsteady jet flapping, and more importantly, upstream and downstream flow separation. Seminal experimental studies—such as the those byAli and Alvi [7], Pizzaia et al. [8], and Beresh et al. [9]—have shown that these features depend sensitively on parameters including the momentum-flux ratio (J) jet Mach number, and jet pressure ratio (JPR), which controls overexpansion and the strength of shock-cell structures. Overexpanded supersonic jets are especially prone to shock-induced separation, baroclinic torque generation, and low-frequency oscillations that are not present in subsonic or ideally expanded injection cases [9,10]. Despite extensive work, high-speed JICF remains one of the most difficult turbulent flows to model and predict, particularly when dense shock–vortex interactions, pronounced compressibility, and highly anisotropic turbulence are present. Experimental approaches—including particle image velocimetry (PIV), schlieren imaging, and Rayleigh scattering—have provided important insights but are limited by optical constraints, spatial resolution, and challenges inherent in resolving near-field vortical dynamics in supersonic flows [9,11].
Computationally speaking, large-eddy simulation (LES) and Reynolds-averaged Navier–Stokes equations (RANS) modeling have advanced the understanding of high-speed jets, yet they retain reliance on turbulence closures that often struggle in regions with strong compressibility, shear-layer roll-up, and shock unsteadiness [12,13,14]. For example, Fiorina and Lele [15] demonstrated that LES can capture gross JICF structures but tends to underpredict shear-layer growth and CVP strength under strong compressibility. RANS models, as shown by Saha and Yaragani [16], typically perform poorly in predicting transverse jet penetration and do not recover the correct unsteady dynamics. Direct numerical simulation (DNS) eliminates turbulence-modeling approximations and is uniquely capable of resolving all scales in compressible, shock-dominated environments. DNS studies of JICF remain sparse due to their computational expense, especially for supersonic jets with realistic boundary-layer inflow turbulence. Recent advances—including high-order schemes, GPU-accelerated solvers, highly parallelized CPU implementations, and advanced inflow-generation techniques—have enabled DNS at moderate Reynolds numbers, allowing rigorous evaluation of fundamental mechanisms, coherent structures, and spectral dynamics [17,18,19]. The present work employs the Dynamic Multiscale Approach (DMA) of Araya et al. [20], which generates physically accurate turbulent boundary layers and reproduces realistic crossflow inflow turbulence, enabling reliable investigation of jet–crossflow coupling.
A critical remaining gap concerns the role of the momentum-flux ratio (J) in the spatial and temporal organization of coherent structures in high-speed JICF. While several studies have documented how J affects penetration height, CVP strength, jet deflection, and mean shock topology [7,9,15], far fewer have characterized its influence on coherent-mode energetics, frequency-dependent structures, and spectral proper orthogonal decomposition (SPOD) behavior. Modal decomposition provides a systematic pathway for interpreting large-scale turbulence organization:
  • Proper orthogonal decomposition (POD) extracts energy-dominant spatial structures—such as shear-layer roll-up, Kelvin–Helmholtz vortices, near-field shock-associated structures, flapping modes, and CVP evolution [21,22,23,24].
  • Spectral POD (SPOD), as formalized by Towne, Schmidt, and Colonius [25], identifies frequency-resolved modes that directly correspond to stationary coherent structures, making it particularly valuable for analyzing compressible and shock-containing flows.
Several studies have applied POD or SPOD to subsonic or transonic JICF configurations [22,23,24], but supersonic jet injection into a subsonic crossflow, especially in the overexpanded regime, has received very limited modal analysis. Most existing work focuses on either experimental qualitative visualization or time-averaged statistics without resolving the detailed spectral structure of energetic modes. Moreover, the connection between Reynolds-number effects—particularly reduced spectral broadening and delayed vortex breakdown in low-Reynolds-number DNS compared with high-Reynolds-number experiments—remains insufficiently quantified. Beresh et al. [9] identified a pronounced Reynolds-number sensitivity in the flapping dynamics of high-speed JICF; however, to date, no DNS investigation has conducted a systematic, qualitative comparison of the dominant low-Reynolds-number modal structures with those observed in corresponding high-Reynolds-number experimental measurements. The present work addresses these knowledge gaps by performing DNS of a Mach 3.73 overexpanded jet injected normally into a Mach 0.8 subsonic crossflow at three momentum-flux ratios: J = 2.8, 5.6, 10.2. POD and SPOD analyses reveal how increasing momentum-flux ratio organizes vortex dynamics, strengthens near-field coherent structures, and modifies spectral energy distributions. Qualitative comparison with the higher Reynolds-number experiments of Beresh et al. [9] indicates that while key modal features persist across Reynolds numbers, low-Reynolds-number DNS exhibits reduced spectral broadening, delayed vortex breakdown, and enhanced low-frequency content due to viscous effects. These differences highlight the impact of Reynolds number on jet dynamics and modal behavior. This study thus provides:
  • A high-fidelity characterization of coherent structures in overexpanded supersonic JICF.
  • A systematic analysis of momentum-flux ratio effects using POD and SPOD.
  • A DNS dataset suitable for validation of turbulence models and flow-control strategies in high-speed injectors.

Numerical Simulations of Crossflow Jet Problems

The principal challenge in high-fidelity numerical investigations of unsteady, spatially developing turbulent boundary layers (SDTBLs) lies in the accurate specification of physically consistent turbulent inflow conditions. In the present study, a turbulence precursor simulation over an adiabatic subsonic flat plate was executed asynchronously. Flow-field data, including the instantaneous velocities (three components), pressure, and temperature, were extracted at a downstream plane, archived, and subsequently reimposed at the inlet of the composite computational domain containing the crossflow–jet configuration. For the turbulence precursor, we adopted an advanced variant of the rescaling–recycling methodology [20,26,27,28] called the Dynamic Multiscale Approach (DMA), representing a substantive enhancement over the canonical approach of Lund et al. [29]. This refined framework overcomes several intrinsic limitations of the baseline algorithm and provides superior robustness in generating realistic inflow turbulence. Fundamentally, the rescaling–recycling procedure entails the extraction of instantaneous velocity fields—including both mean and fluctuating components—at a downstream plane, herein designated as the Recycle station. These velocity profiles are subsequently transformed via dynamically computed scaling functions and reimposed at the upstream (Inlet) boundary. A salient feature of this approach is the maintenance of a fixed inlet boundary-layer thickness according to the inlet Reynolds number to be simulated, with the corresponding friction velocity, u τ , not prescribed through empirical correlations as in [29], but instead obtained through a dynamically adaptive scaling law. Specifically, u τ is determined as a power-law function of the local momentum thickness, θ , with the exponent evaluated in situ from the evolving flow field between the Recycle and Test planes, as seen in Figure 1. This obviates the reliance on a priori assumptions or empirically fitted correlations that are common in conventional recycling strategies. Recent extensions of this dynamically rescaled method have demonstrated applicability to compressible SDTBL regimes, enabling accurate prescription of turbulent inflow for subsonic, supersonic, and hypersonic flows [30,31,32].
Figure 1 depicts the computational domain employed for simulating the turbulence precursor under zero-pressure-gradient (ZPG) conditions, encompassing the Inlet, Recycle, and Test planes. Iso-surfaces of instantaneous static temperature (depicted in red) were extracted at a threshold corresponding to 75% of the freestream temperature. In addition, contours of instantaneous temperature are presented on the extracted YZ planes (Inlet, Test, and Recycle), as well as on the longitudinal XY plane. More detailed implementation procedures are available in [20,30,31,33]. Table 1 summarizes the dimensions of the computational domain normalized by the inlet boundary-layer thickness, δ inl , where L x , L y , and L z represent the streamwise, wall-normal, and spanwise extents, respectively. The corresponding grid resolution is quantified in viscous wall units, namely Δ x + , Δ y + min / Δ y + max , and Δ z + , evaluated using the local inlet friction velocity. For all configurations, a structured, body-fitted mesh consisting exclusively of hexahedral elements is employed, with a uniform discretization of 440 × 60 × 80 grid points in the streamwise, wall-normal, and spanwise directions, respectively.
Boundary Conditions: Periodic boundary conditions are enforced in the lateral directions. No-slip and adiabatic wall conditions are imposed on the flat-plate surface. The working fluid is modeled as a calorically perfect, non-reacting gas. At the upper boundary, a slip (streamline) condition is applied by enforcing a zero normal velocity component, while freestream values are prescribed for the pressure and temperature fields. The jet is injected through a circular orifice of radius R by imposing a prescribed wall-normal velocity distribution at the boundary. In the present study, the jet diameter, D, is selected to be approximately twice the thickness of the incoming boundary layer. The momentum-flux ratio, J, is defined as
J = ρ j U j 2 ρ U 2 ,
where ρ j and U j denote the density and velocity of the jet flow, respectively, and ρ and U represent the freestream conditions. We examine three distinct momentum-flux ratios: J = 2.8, 5.6, and 10.2, consistent with the experimental configuration outlined in [34], albeit at significantly lower Reynolds numbers. Specifically, the reference friction Reynolds number, δ r e f + , in [34] was approximately 9300, whereas in our direct numerical simulation (DNS) approach, it is reduced to around 250. Nonetheless, the Reynolds-number ratios between the crossflow and the jet are maintained at comparable levels. To quantify this, we compare the characteristic Reynolds number of the crossflow, [ R e D ] c r o s s f l o w = U D / ν , to that of the jet, [ R e D ] j e t = U j D / ν j . For the three momentum-flux ratios, the corresponding experimental ratios of jet to crossflow Reynolds numbers are: [ R e D ] j e t / [ R e D ] c r o s s f l o w = 11.5 at J = 10.2 , 6.36 at J = 5.6 , and 3.16 at J = 2.8 . In our DNS simulations, the corresponding ratios are [ R e D ] j e t / [ R e D ] c r o s s f l o w = 11.6 at J = 10.2 , 6 at J = 5.6 , and 2.96 at J = 2.8 , ensuring a similar level of jet-induced perturbation in the incoming turbulent boundary layers. Additionally, we have maintained the freestream Mach number ( M = 0.8 ) and jet Mach number ( M j = 3.73 ) to be consistent with the values used in [34]. Since the jet flow is turbulent across all examined momentum-flux ratios ( [ R e D ] j e t = 17 , 900 at J = 10.2 , 9270 at J = 5.6 , and 4570 at J = 2.8 ), the imposition of a thin shear layer at the jet exit requires velocity statistics from the DNS of turbulent pipe flow by [35]. These statistics were utilized to prescribe the turbulent time-averaged wall-normal velocity distribution at the jet exit.
The Flow Solver: The execution of DNS at this level of fidelity necessitates a computational fluid dynamics (CFD) solver capable of high-order numerical accuracy, computational efficiency, and strong parallel scalability on modern high-performance computing (HPC) architectures. To this end, we employ PHASTA (Parallel Hierarchic Adaptive Stabilized Transient Analysis), an open-source, parallel solver accommodating both compressible [36] and incompressible [37,38] formulations. PHASTA implements a hierarchic finite-element framework supporting variable-order spatial discretizations from second- to fifth-order, coupled with stabilization schemes tailored for transient, complex flows. The solver leverages minimal-dissipation numerical schemes in conjunction with adaptive unstructured meshing strategies [39], rendering it particularly suitable for DNS and large-eddy simulations (LES) of turbulent flows. PHASTA has been rigorously validated against canonical turbulence benchmarks, including fully developed channel flow and isotropic turbulence decay [40], and has been extensively applied to both incompressible [41,42] and compressible boundary-layer flows [31,43], as well as hypersonic regimes [30,32]. Its architecture supports integrated experimental–computational campaigns [41,43] and allows implicit time integration across disparate temporal and spatial scales, accommodating URANS, DDES, LES, and DNS frameworks [38]. PHASTA exhibits excellent parallel scalability [42,44] on contemporary HPC systems, including GPU and Intel Xeon Phi platforms, providing a rare combination of performance portability and high-fidelity capability, essential for simulating high-Reynolds-number flows of practical relevance.

2. Methodologies for POD and SPOD Analysis

To extract the dominant coherent structures governing the unsteady dynamics of a supersonic jet injected into a subsonic crossflow, proper orthogonal decomposition (POD) and spectral proper orthogonal decomposition (SPOD) are employed. POD identifies the most energetic spatial structures in a statistical sense, while SPOD extends this framework to the frequency domain, enabling identification of energetically dominant, frequency-resolved coherent motions. Together, these techniques provide complementary insights into the spatial organization and spectral content of the jet–crossflow interaction. The analysis is performed on time-resolved DNS data at selected streamwise stations. Proper orthogonal decomposition (POD), also known as principal component analysis (PCA) or Karhunen–Loève decomposition, is a powerful data-reduction technique used to decompose a complex dataset into a set of orthogonal modes. These modes are ordered by their energy content, with the first few modes capturing the most energetic features of the system. Let q ( x , t ) denote the instantaneous flow state vector containing the fluctuating quantities of interest in the flow (e.g., velocity components u , v , w ). The fluctuations are defined based on the Reynolds decomposition,
q ( x , t ) = q ˜ ( x , t ) q ( x , t ) ¯ ,
where q represents any flow quantity of interest, the prime denotes the time-varying fluctuation ( q ), the tilde indicates the instantaneous quantity ( q ˜ ), and the overline denotes the time-averaged mean ( q ¯ ). POD seeks an orthonormal set of spatial modes ϕ k ( x ) that optimally represent the flow fluctuations in an energy sense:
q ( x , t ) = k = 1 N a k ( t ) ϕ k ( x ) ,
where a k ( t ) are the temporal coefficients and N is the number of snapshots. The modes are obtained by solving the eigenvalue problem of the two-point correlation tensor:
R ( x , x ) ϕ k ( x ) d x = λ k ϕ k ( x ) ,
where λ k is the eigenvalue, or modal energy, associated with the k-th mode. In practice, the snapshot POD method is employed due to the large spatial dimensionality of DNS data. The resulting eigenvalues are normalized to obtain the percentage contribution of each mode to the total turbulent kinetic energy. Low-order POD modes represent large-scale, energetic coherent structures such as shear-layer roll-up, jet flapping, and the initial development of the counter-rotating vortex pair (CVP). In contrast, higher-order modes capture progressively smaller-scale, less energetic turbulent motions associated with broadband mixing and breakdown. POD provides optimal spatial compression but does not explicitly separate dynamics by frequency, motivating the use of spectral proper orthogonal decomposition (SPOD), which is a frequency-domain extension of POD that extracts modes that are both energetically optimal and spectrally coherent. Following Towne, Schmidt, and Colonius [25], the flow is assumed to be statistically stationary, allowing the use of Fourier-based techniques. The fluctuation signal is divided into overlapping time blocks, and a discrete Fourier transform is applied to each block:
q ^ ( x , f ) = F q ( x , t ) ,
where f denotes the frequency and F is the Fourier operator. For each frequency, the cross-spectral density (CSD) matrix is constructed:
S ( f ) = q ^ ( f ) q ^ * ( f ) ,
where ( ) * denotes the complex conjugate and represents ensemble averaging over blocks. The SPOD modes ψ k ( x , f ) are obtained by solving the frequency-dependent eigenvalue problem:
S ( f ) ψ k = λ k ( f ) ψ k .
Here, λ k ( f ) represents the spectral energy of the k-th SPOD mode at frequency f. In the present study, the SPOD analysis is performed using eight blocks of equal temporal length and 50% overlap between consecutive blocks. This configuration achieves a compromise between frequency resolution—favored by longer block lengths—and statistical convergence, which increases with the number of blocks. The 50% overlap increases the effective number of realizations without significantly degrading spectral resolution, reducing variance in the estimated cross-spectral density. The resulting SPOD eigenvalues are normalized such that the integral of spectral energy over frequency recovers the total fluctuation energy, ensuring consistency with POD. The combined POD–SPOD framework therefore provides a comprehensive description of both spatial coherence and spectral organization in the supersonic jet-in-subsonic-crossflow configuration studied here.

3. Outcomes and Discussion

This section presents and discusses the key results from the present proper orthogonal decomposition (POD) and spectral POD (SPOD) analyses. Prior to this, an assessment of the incoming spatially developed turbulent boundary layer (SDTBL) is conducted, along with a convergence study for the POD/SPOD analysis. The convergence is evaluated in terms of both the number of snapshots and the time separation between them.

3.1. Characterization of the Incoming Flow and JICF Statistics

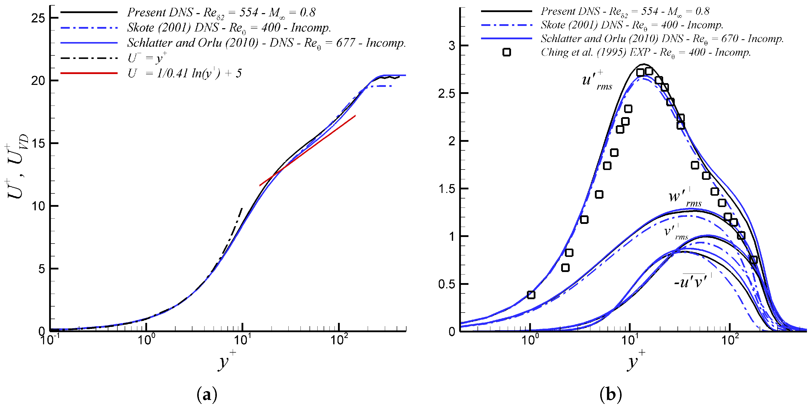
The turbulent boundary layer upstream of the supersonic jet has been rigorously characterized and validated through direct comparison with established DNS datasets at comparable Mach and Reynolds numbers. Table 2 summarizes the key boundary-layer metrics obtained from the present DNS alongside those reported by Wenzel et al. [45], who employed a core inflow methodology consisting of a staged initialization procedure: a laminar mean profile, superposition of synthetic turbulent perturbations, and subsequent maintenance of fully developed turbulence via downstream flow recycling. As evidenced in Table 2, excellent agreement is observed in the local skin friction coefficient [ C f = 2 ( u τ / U ) 2 ( ρ w / ρ )] and shape factor, H, with discrepancies around 0.2% and 4.8%, respectively. The Reynolds numbers, specifically δ + = δ u τ / ν w and R e δ 2 = ρ δ 2 U / μ w , indicate close correspondence between the present and reference simulations by [45]. Here, δ denotes the 99 % boundary-layer thickness; u τ is the friction velocity; ν w is the wall kinematic viscosity; ρ w and ρ are the wall and freestream densities, respectively; δ 2 is the compressible momentum thickness; U is the freestream velocity; and μ w is the wall dynamic viscosity. Figure 2a depicts the time-averaged streamwise velocity profile expressed in inner (wall) units for a canonical zero-pressure-gradient (ZPG) subsonic turbulent boundary layer at a freestream Mach number of M = 0.8 . To account for compressibility-induced density variations, the mean velocity has been transformed using the Van Driest formulation ( U V D ). For validation and comparative assessment, the incompressible DNS datasets reported in [46,47] are also included; these datasets correspond to incompressible SDTBLs at comparable Reynolds numbers. The + subscript denotes inner or wall units. The present compressible DNS results demonstrate excellent agreement with the referenced incompressible datasets across the near-wall region. In the viscous sublayer, the canonical linear scaling U + = y + or, equivalently, U V D + = y + when expressed in Van Driest variables for compressible flows, is recovered up to y + 5 for all cases. This agreement indicates the high numerical fidelity and sufficient spatial resolution of the present simulations in accurately resolving near-wall turbulent motions. The Van Driest transformation effectively collapses the compressible mean velocity profiles onto their incompressible counterparts throughout the buffer layer, up to approximately y + 20 . At larger wall-normal distances, within the logarithmic region, a slight deterioration in the collapse is observed; nevertheless, the profiles remain in reasonably close agreement. In this region, the mean velocity profiles exhibit a slope steeper than that predicted by the classical logarithmic law employing the von Kármán constant κ = 0.41 and additive constant C = 5 , as suggested by White [48] and typically considered more representative of high–Reynolds-number flows. In the outer wake region, Reynolds-number dependence becomes increasingly evident, with deviations most pronounced in the lower-Reynolds-number dataset reported by [46].
The turbulence intensities and Reynolds shear stresses are normalized using inner (wall) scaling, i.e., by the friction velocity u τ and the wall kinematic viscosity ν w , and are shown in Figure 2b at a representative streamwise location within the turbulence precursor, where the Reynolds number based on the momentum thickness is approximately R e δ 2 554 . Note that the vertical axis indicates inner, or wall, units. For validation purposes, the incompressible DNS datasets from [46,47] are also included, exhibiting excellent agreement with the present subsonic DNS results. All second-order statistics display a remarkable collapse across datasets in the near-wall region, with close agreement observed up to y + 10 . In the outer region, particularly for y + > 50 , Reynolds-number effects become increasingly evident, most notably in the high-Reynolds-number DNS of [47] at R e θ = 670 . Relative to the external DNS datasets, the present simulations exhibit a modest overprediction of the peak streamwise turbulence intensity u rms + on the order of approximately 4%. Nevertheless, both the wall-normal location and the magnitude of the u rms + peak are in reasonable agreement with the experimental measurements of Ching et al. [49] obtained at a comparable Reynolds number. It is noteworthy that the location of the inner peak in u rms + , occurring at approximately y + 14 , appears to be essentially independent of the Reynolds number. Furthermore, for the present subsonic conditions at M = 0.8 , compressibility effects on the second-order turbulence statistics are also negligible when compared to the relatively small differences in Reynolds numbers.
With respect to the first- and second-order statistics for the jet-in-crossflow (JICF) configurations at the three momentum-flux ratios considered (i.e., J = 2.8 , 5.6, and 10.2), the statistical database consists of 8000 instantaneous flow-field realizations acquired over a nondimensional sampling interval of 170 D / U . Figure 3a shows the streamwise distribution of the skin-friction coefficient, C f , evaluated along the jet centerline plane. Upstream of the jet injection location, C f exhibits the characteristic monotonic decrease associated with a canonical flat-plate turbulent boundary layer. For reference, the skin-friction data reported by [45] at a freestream Mach number of M = 0.85 are also included at a streamwise location corresponding to a comparable Reynolds number. In the vicinity of the jet, strong adverse pressure-gradient (APG) regions are induced both upstream and downstream of the injection location, leading to local flow deceleration and flow recirculation. These effects become increasingly pronounced with increasing momentum-flux ratio. Over the jet, the incoming spatially developing turbulent boundary layer (SDTBL) undergoes a local flow acceleration associated with a favorable pressure gradient (FPG), resulting in a corresponding modification of the wall-shear-stress distribution. Notably, all C f profiles at the different J values tend to converge toward similar values approximately 20 jet diameters downstream of the injection location. Figure 3b exhibits the streamwise distribution of the compressible momentum-thickness Reynolds number, R e θ . The vertical dash–dot lines indicate the jet location, while the horizontal dashed line denotes the zero value for C f . Upstream of the jet, the initially linear profile exhibits an upward curvature due to flow deceleration induced by the approaching jet. The jet acts as a local blockage in the boundary layer, and to satisfy continuity, the incoming flow accelerates around the jet, generating a localized FPG. While this acceleration tends to thin the boundary layer, the momentum thickness may increase slightly owing to the redistribution of momentum within the near-wall velocity profiles. Immediately downstream of the jet, momentum injection into the crossflow produces a recirculation region. In this zone, the boundary layer is subjected to a strong APG, which results in fuller velocity profiles near the wall and a thickening of the momentum boundary layer. This effect is increasingly pronounced at higher jet-to-crossflow momentum-flux ratios.
Figure 4 depicts the power spectral density (PSD) of pressure fluctuations, expressed in units of [ P a 2 s ], for a jet-to-freestream momentum ratio of J = 5.6 at multiple streamwise locations ( x / D = −21, −1, 1, 3, and 5). The spectra are evaluated within the near-wall region ( y + = 1 ), where the root-mean-square pressure fluctuations p attain large values. The frequency content is nondimensionalized using the Strouhal number, defined as S t = f D / U , where f denotes the frequency, U is the freestream velocity, and D represents the jet diameter. Reference spectral slopes corresponding to canonical pressure-fluctuation scaling laws are superimposed, including the low-frequency, large-scale regime ( S t 1 ), the mid-frequency inertial subrange ( S t 7 / 3 ), and the high-frequency dissipation range ( S t 5 ). In contrast to the classical 5 / 3 inertial-subrange scaling observed in velocity spectra, pressure spectra exhibit steeper decay rates owing to the nonlocal nature of pressure, which reflects integrated contributions from velocity fluctuations across a broad range of scales. Pronounced amplification of high-frequency turbulence ( S t > 0.7 ) is observed in the near-wall region both downstream and upstream of the jet exit. This behavior is indicative of upstream influence associated with flow separation and adverse pressure gradients induced by the jet. Downstream of the nozzle, a broadband enhancement in pressure spectral energy is evident, spanning approximately up to three orders of magnitude relative to the incoming boundary-layer flow, particularly at very high Strouhal numbers, with peak levels occurring within approximately 1–3 jet diameters. Overall, the downstream spectra largely preserve the expected scaling behavior across frequency ranges, with deviations primarily confined to the high-frequency, dissipation-dominated regime.
Figure 5 illustrates the power spectral densities of flow fluctuations, namely P S D ( p ) , P S D ( u ) , and P S D ( v ) , for the three configurations investigated in order to assess the influence of the jet-to-freestream momentum-flux ratio. The spectra are extracted at y + = 1 for the pressure fluctuations p and at y + = 15 for the streamwise and wall-normal velocity fluctuations, u and v , respectively, corresponding to representative locations within the viscous sublayer and buffer region. The principal findings may be summarized as follows: (i) the pronounced mean shear characterizing the near-wall and buffer-layer regions promotes vigorous production and excitation of small-scale turbulent eddies, leading to elevated spectral energy at high frequencies; (ii) as the momentum-flux ratio J increases, enhanced jet penetration into the crossflow, together with intensified vortex roll-up, interaction, and subsequent breakdown, gives rise to a broadband amplification of the p , u , and v spectra, with the most significant gains occurring in the high-frequency range; and (iii) the downstream spectra generally conform to the anticipated frequency-scaling laws for both pressure and velocity, with noticeable deviations occurring primarily at high frequencies.

3.2. Convergence Test and Validation of the POD Approach

Table 3 summarizes a systematic convergence study performed to assess the robustness of the POD analysis with respect to the number of snapshots used in the decomposition. The λ POD eigenvalues are computed on the y z plane for all momentum-flux ratios considered at x = 1 D downstream of the jet orifice, where the interaction between the overexpanded supersonic jet and the subsonic crossflow is strongest and large-scale coherent structures are most energetic. The convergence characteristics are evaluated by examining the normalized energy content of the fluctuating components of the streamwise velocity ( u ), static temperature ( T ), and static pressure ( p ). Specifically, the analysis focuses on the leading POD modes, which represent the most energetic contributions to each fluctuating field, namely λ 1 ( u ) , λ 1 ( T ) , and λ 1 ( p ) . These modal energies are nondimensionalized by the corresponding total reference measures: the total kinetic energy (TKE) for the velocity fluctuations, the freestream temperature variance ( T 2 ) for the thermal fluctuations, and the freestream dynamic pressure variance ( q 2 ) for the pressure fluctuations. Here, the total kinetic energy is defined as TKE = 1 2 u 2 + v 2 + w 2 , and the freestream dynamic pressure variance is q 2 = 1 2 ρ U 2 2 .
For all momentum-flux ratios, the energy content of the first POD mode exhibits a strong dependence on snapshot count at low sample sizes (1000–2000 snapshots). At 1000 snapshots, the leading mode captures more than 65% of the total energy across all variables, indicating an artificial over-concentration of energy due to insufficient statistical sampling. As the number of snapshots increases, λ 1 decreases rapidly, reflecting improved resolution of higher-order energetic structures and a more accurate representation of the turbulent energy spectrum. Beyond approximately 2500 snapshots, the leading-mode energy stabilizes for all variables and momentum-flux ratios. Increasing the snapshot count from 3000 to 6000 results in negligible changes (less than 0.1–0.2%) in λ 1 , indicating that the POD basis has reached statistical convergence. An important aspect of the convergence study is the consistent behavior observed across velocity, temperature, and pressure fields. For each case, the converged values of λ 1 are nearly identical when using 3000 and 6000 snapshots, demonstrating that the POD approach is insensitive to the specific flow variable once sufficient temporal sampling is achieved. This consistency confirms that the extracted coherent structures are physically meaningful and not artifacts of insufficient sampling. Based on this analysis, a minimum of 3000 snapshots is deemed sufficient for reliable POD analysis in the present supersonic jet–in–subsonic–crossflow configuration. All POD results presented in this study therefore use snapshot counts exceeding this threshold, ensuring statistical convergence and methodological validity.
Table 4 assesses the sensitivity of POD convergence to the temporal spacing of the snapshot ensembles for the representative case J = 5.6, by comparing results obtained using snapshot intervals of 100 and 200 time steps (ts). In all configurations, the temporal resolution expressed in wall units was maintained at approximately Δ t + 0.15. The convergence behavior is quantified using the fraction of total energy captured by the first POD mode for streamwise velocity ( u ), temperature ( T ), and pressure ( p ) fluctuations. For both temporal spacings, the leading-mode energy decreases systematically as the number of snapshots increases, indicating progressive enrichment of the ensemble and improved statistical convergence of the POD basis. In particular, for the 100 ts case, λ 1 stabilizes beyond approximately 2500 snapshots, with nearly identical values obtained using 3000 and 6000 snapshots for all three variables. A similar convergence trend is observed for the 200 ts case, where the first-mode energy plateaus beyond about 1250–1500 snapshots, corresponding to an equivalent total sampling duration. Comparison between the two temporal spacings demonstrates that POD convergence is governed primarily by the total temporal extent of the sampled data rather than the snapshot spacing itself. When the total observation window is comparable, the asymptotic values of λ 1 for u , T , and p are nearly identical for the 100 ts and 200 ts ensembles, differing by less than a fraction of a percent. This indicates that the dominant coherent structures are robust to moderate changes in temporal resolution and that temporal aliasing does not significantly affect the leading POD modes for the present flow. Overall, the results confirm that the chosen snapshot spacing provides adequate temporal decorrelation and that the POD analysis is statistically converged and insensitive to reasonable variations in sampling strategy, thereby validating the reliability of the modal energy distributions reported in this study. The temporal convergence for the other two cases shows a similar pattern and has not been reported here for brevity.

3.3. Impact of Momentum-Flux Ratio on the Energy Distribution of POD/SPOD Modes

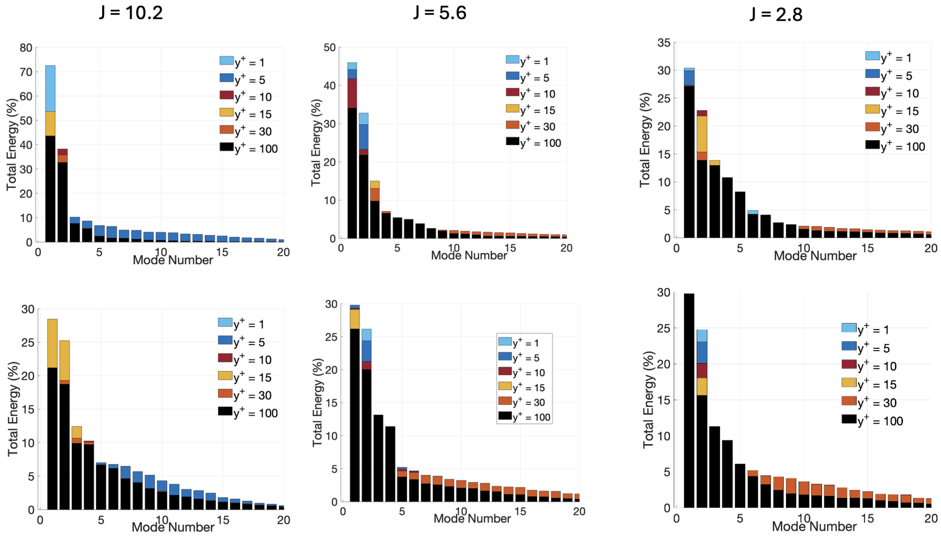
Figure 6 illustrates the proper orthogonal decomposition (POD) energy spectra of the streamwise velocity fluctuations, u , at the three momentum-flux ratios (i.e., J = 10.2, 5.6, and 2.8). The modal energy content is shown for the first 20 POD modes at two streamwise locations, x = 1 D (near-field, top row) and x = 3 D (far-field, bottom row), and for multiple wall-normal sampling locations spanning the viscous sublayer to the outer flow ( y + = 1 100 ). Each bar represents the percentage contribution of an individual POD mode to the total turbulent kinetic energy, thereby quantifying the relative importance of coherent structures at different scales and flow regions.
At the near-field location, the energy spectra exhibit a strong dominance of the lowest-order POD modes for all momentum ratios, indicating that the flow dynamics are governed by a small number of energetic, large-scale coherent structures. This effect is most pronounced for a highest momentum-flux ratio (J = 10.2), where the first mode alone captures a substantial fraction of the total energy. This behavior reflects the presence of highly organized jet-induced structures, such as the initial shear-layer roll-up, shock–shear-layer interactions, and the formation of large-scale vortical motions associated with jet penetration into the crossflow. As the momentum-flux ratio decreases to J = 5.6 and further to 2.8, the energy contained in the leading modes is reduced and distributed over a larger number of modes, suggesting weaker jet dominance, enhanced crossflow influence, and earlier disruption of coherent structures.
The wall-normal dependence of the modal energy content further highlights the multiscale nature of the jet–crossflow interaction. Near-wall regions ( y + = 1 5 ) consistently show higher energy contributions in the first few modes, underscoring the strong coupling between the jet-induced structures and the crossflow boundary layer. These modes are associated with near-wall shear amplification, jet-induced streaks, and large-scale vortices that directly interact with the wall. In contrast, at higher wall-normal distances ( y + = 30 100 ), the energy is more evenly distributed across modes, indicating increased small-scale activity and reduced coherence in the outer flow. Further downstream at x = 3 D , the POD spectra reveal a systematic redistribution of energy from the lowest modes to higher-order modes for all values of J. The dominance of the first few modes diminishes, and the energy decay with mode number becomes more gradual, reflecting the progressive breakdown of large-scale coherent structures and the onset of more fully developed turbulence. This downstream evolution is particularly evident for the lower momentum-ratio cases, where the jet bends more rapidly under the influence of the crossflow, leading to intensified vortex interaction, enhanced entrainment, and increased three-dimensionality. Consequently, the turbulent kinetic energy is spread over a broader range of modes, consistent with reduced spatial and temporal coherence. The energy distribution trend is physically meaningful and reflects how the dominant coherent vortical structures shift in the wall-normal direction as the momentum-flux ratio J changes. The first POD mode captures the most energetic and spatially coherent vortical motion at each condition; therefore, the wall-normal location where Mode 1 energy peaks indicates where the dominant vortical dynamics reside. For a high momentum-flux ratio (J = 10.2), the jet strongly penetrates the subsonic crossflow and lifts away from the wall, forming a well-developed shear layer and a robust counter-rotating vortex pair (CVP) that resides primarily in the outer flow. As a result, the largest fraction of turbulent kinetic energy associated with coherent vortical motion is concentrated at y + = 100 , where large-scale jet-dominated structures persist with minimal viscous damping. Near the wall, strong shear, compressibility effects, and viscous dissipation rapidly break down coherence, reducing the energy captured by the first mode. At a moderate momentum-flux ratio (J = 5.6), the jet penetration is reduced and the interaction between the jet shear layer and the wall boundary layer becomes significantly stronger. In this regime, the dominant coherent vortical structures—such as jet flapping, near-wall shear-layer roll-up, and CVP initiation—occur close to the wall. Consequently, the first POD mode captures the largest fraction of energy at y + = 1 , indicating that near-wall coherent motions dominate the overall vortical energy budget. This behavior reflects enhanced coupling between the jet and the wall boundary layer, which promotes strong, organized near-wall momentum exchange.
For a low momentum-flux ratio (J = 2.8), the jet remains largely attached to the wall and is rapidly bent over by the crossflow. In this case, the dominant vortical structures are neither fully detached into the outer flow nor confined strictly to the viscous sublayer. Instead, they are concentrated by the end of the linear viscous layer around y + 5 , where the balance between mean shear production and viscous dissipation favors the persistence of coherent structures. Very close to the wall ( y + = 1 ), viscous damping suppresses large-scale coherence, while farther from the wall ( y + = 100 ), the weakened jet lacks sufficient momentum to sustain energetic large-scale vortices. Overall, the shift in the wall-normal location of the most energetic first POD mode reflects a progressive downward migration of dominant vortical dynamics with decreasing momentum-flux ratio. High-J flows are controlled by outer-layer jet-driven vortices, moderate-J flows by near-wall coherent structures, and low-J flows by buffer-layer vortices. This behavior highlights the strong coupling between jet penetration, wall proximity, and coherent momentum transport. With increasing mode number, the energy contribution decays rapidly, and higher-order modes show comparatively larger contributions from outer wall-normal locations ( y + > 10 ). This indicates a shift from dominant, organized near-wall structures in the lowest mode to smaller-scale, less coherent wall-normal motions away from the wall.
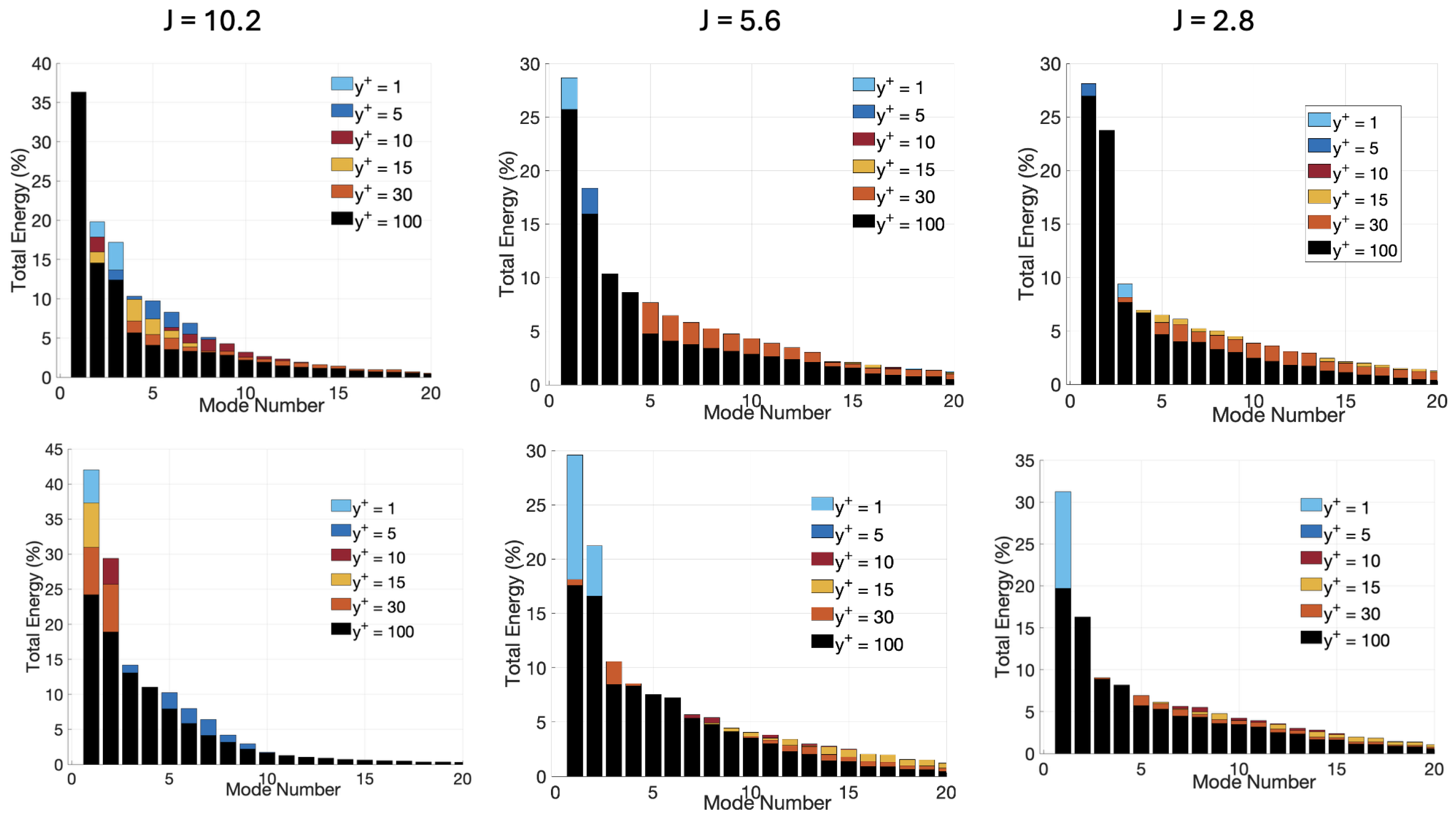
Figure 7 illustrates the POD modal energy distribution of the wall-normal velocity fluctuations ( v ) as a function of mode number at two downstream locations, x = 1 D (top row) and x = 3 D (bottom row), for jet-to-crossflow momentum ratios J = 10.2, 5.6, and 2.8. The bars indicate the percentage contribution of each POD mode to the total turbulent kinetic energy, while the color-coded segments represent the contributions from different wall-normal locations in viscous units ( y + = 1 100 ) . At the near-field location x = 1 D , the largest fraction of wall-normal fluctuation energy is consistently captured by the first POD mode at the near-wall location y + = 1 for all three momentum ratios, confirming that wall-adjacent coherent structures dominate wall-normal transport immediately downstream of the jet injection. Importantly, the magnitude of this near-wall contribution is highest for the strongest jet case (J = 10.2) and decreases progressively as the momentum ratio is reduced to J = 5.6 and 2.8. This trend reflects the increasing ability of a high-momentum jet to penetrate the crossflow, impinge on the boundary layer, and induce strong wall-normal motions through jet-induced upwash, downwash, and near-wall vortical interactions. As J decreases, the jet becomes increasingly confined by the crossflow, leading to weaker near-wall vertical motions and reduced energy content at y + = 1 . Further downstream at x = 3 D , the wall-normal distribution of the leading POD mode for the wall-normal velocity fluctuation exhibits a systematic dependence on the jet-to-crossflow momentum ratio. For the highest momentum ratio (J = 10.2), the first POD mode attains its maximum energy contribution at y + = 15 , whereas for the intermediate case (J = 5.6) the peak shifts closer to the wall at y + = 5 . In contrast, for the lowest momentum ratio (J = 2.8), the dominant energy of the first mode is observed in the outer region at y + = 100 .
This progressive outward shift of the dominant wall-normal location reflects the evolution of jet–crossflow interaction strength and plume development downstream. For J = 10.2, the jet retains sufficient momentum at x = 3 D , to sustain coherent wall-normal motions within the inner and buffer layers. The peak at y + = 15 indicates that energetic vertical motions are primarily associated with near-wall shear-layer structures and the footprint of jet-induced vortices that remain dynamically coupled to the wall. At J = 5.6, the jet momentum is weaker, leading to faster attenuation of plume coherence and reduced vertical penetration. Consequently, the dominant wall-normal fluctuations become confined closer to the wall, with the first mode peaking at y + = 5 . This behavior suggests that near-wall turbulence regeneration and boundary-layer shear increasingly govern the wall-normal velocity dynamics rather than large-scale jet-induced structures. For the lowest momentum-flux ratio J = 2.8, the jet is rapidly bent over by the crossflow and loses coherence within a short downstream distance. As a result, wall-normal fluctuations near the wall are comparatively weak at x = 3 D , and the leading POD mode is dominated by outer-layer motions, peaking at y + = 100 . These outer-region structures are associated with large-scale plume spreading and wake-like dynamics that are largely decoupled from the wall. Overall, the downstream POD results demonstrate that increasing jet momentum sustains coherent wall-normal motions closer to the wall, while lower momentum ratios promote an outward migration of dominant structures, reflecting a transition from wall-coupled jet dynamics to outer-flow–dominated turbulent mixing. The energy distribution for spanwise velocity fluctuation ( w ) shows behavior similar to that of u and is not reported here for the sake of brevity.
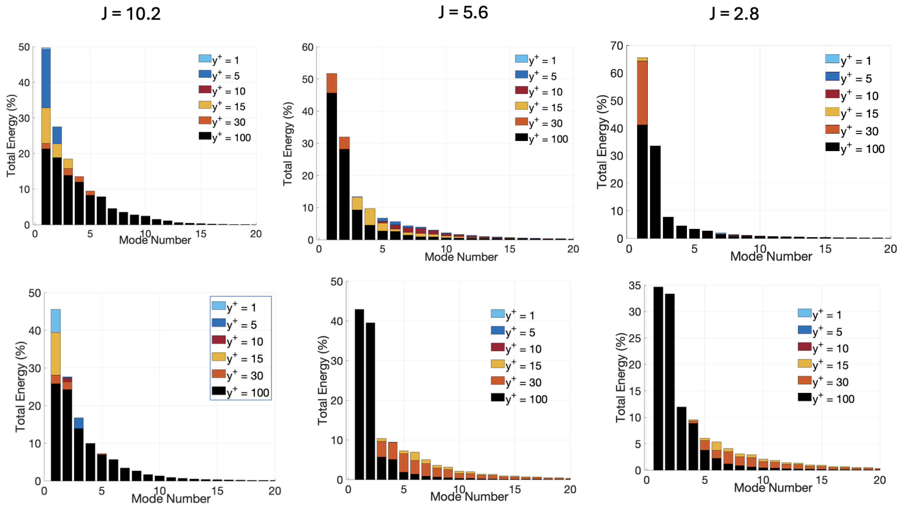
Figure 8 depicts the POD energy distribution of the temperature fluctuations T for three momentum-flux ratios. In the near-field region ( x = 1 D ), the temperature fluctuation energy is strongly concentrated in the lowest POD modes for all momentum-flux ratios, indicating that large-scale coherent structures dominate thermal transport immediately downstream of the jet exit. For the highest momentum ratio, the first mode alone captures a remarkably large fraction of the total thermal energy, particularly at near-wall locations ( y + = 1 ). This behavior reflects the presence of highly organized thermal structures associated with the jet core, shock-induced compression and expansion, and the initial roll-up of the jet shear layer, which imprint strong, spatially coherent temperature variations. As the momentum-flux ratio decreases to J = 5.6 and 2.8, the dominance of the leading mode is reduced, and the energy is distributed across a greater number of modes, signifying weaker jet penetration, stronger crossflow influence, and enhanced thermal mixing at smaller scales. For the high momentum-flux ratio case (J = 10.2), the jet strongly penetrates the crossflow, but the largest temperature gradients—and hence the strongest coherent thermal fluctuations—occur very close to the wall. The energetic first POD mode at y + = 1 indicates that wall-bounded thermal structures dominate the temperature field. This behavior occurs because the high-momentum jet induces intense near-wall cooling and heating through impingement-induced pressure gradients and strong wall-normal transport, producing a spatially coherent thermal footprint on the surface. While thermal structures also exist in the outer flow, they are more fragmented due to enhanced turbulent mixing, reducing their coherence and lowering the energy captured by the first mode away from the wall.
At a moderate momentum-flux ratio (J = 5.6), the thermal field is controlled by the detached jet plume and shear-layer-driven thermal transport rather than direct wall interaction. In this regime, the jet lifts sufficiently from the wall to form a well-organized thermal plume whose core resides in the outer part of the boundary layer. As a result, the most energetic coherent thermal structure is located at y + = 30 , where scalar advection by large-scale vortices dominates over molecular diffusion and wall damping. Near the wall, thermal fluctuations are weaker and less coherent because the reduced jet impingement limits the direct modulation of wall temperature. For the low momentum-flux ratio case (J = 2.8), the jet is rapidly bent over by the crossflow and remains closely attached to the wall. Consequently, thermal transport is dominated by near-wall scalar advection and diffusion, with strong and persistent temperature gradients forming in the viscous sublayer. The dominance of the first POD mode at y + = 1 indicates that temperature fluctuations are organized primarily by coherent near-wall structures rather than by outer-layer plume dynamics. Away from the wall, thermal fluctuations become weaker and more diffused, leading to reduced modal coherence. Further downstream at x = 3 D , a clear redistribution of thermal energy toward higher-order POD modes is observed for all values of J. The sharp dominance of the first mode diminishes, and the spectra become flatter, reflecting the progressive breakdown of large-scale thermal coherence and the enhanced role of turbulent mixing and entrainment. This downstream evolution is most pronounced for the lower momentum-ratio cases, where the jet bends more rapidly under the crossflow, promoting intensified interaction between hot and cold fluid parcels and accelerating the transfer of thermal energy to smaller scales. Consequently, temperature fluctuations become less organized and more broadband in nature.
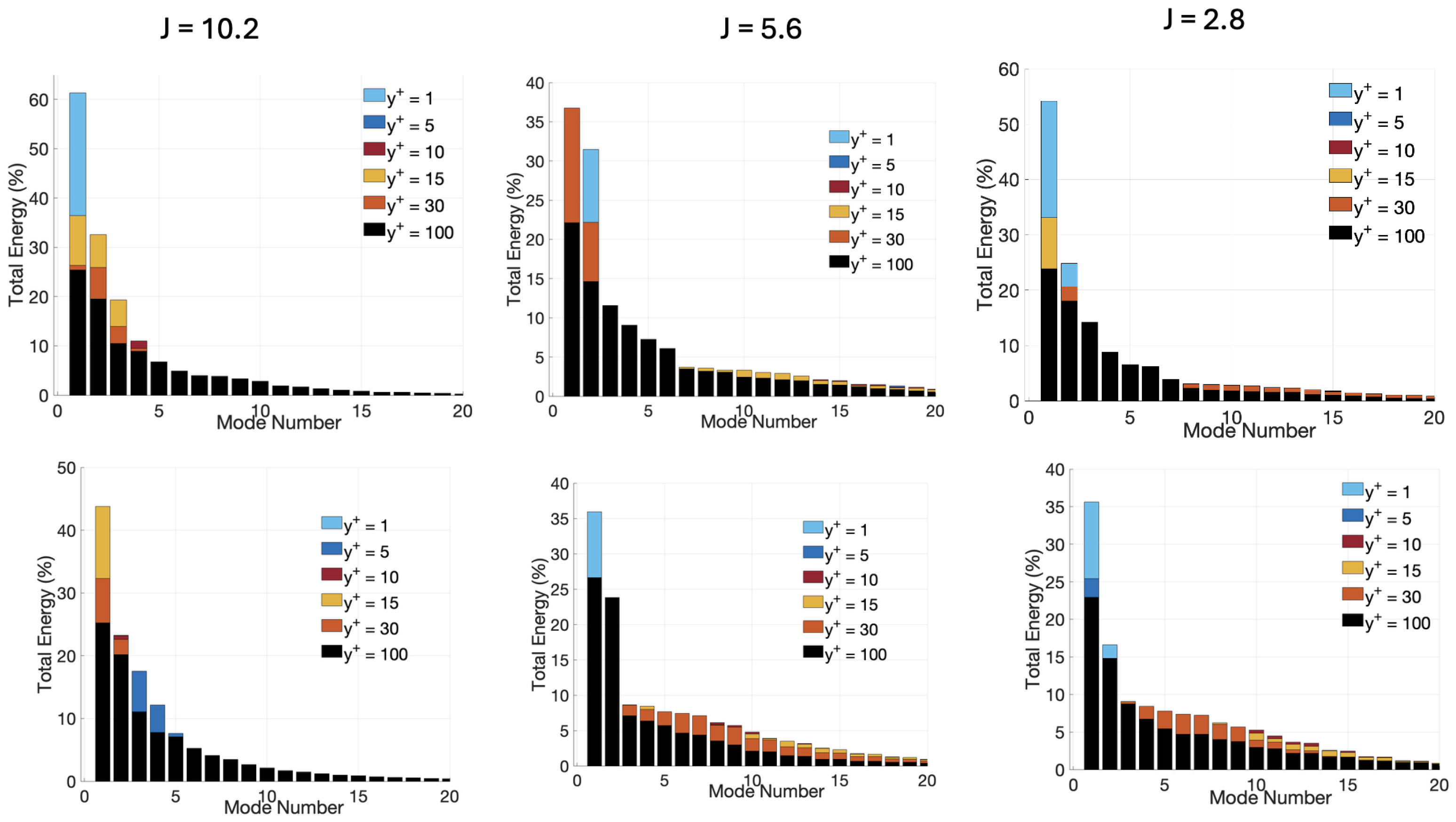
Figure 9 presents the POD energy distribution of the pressure fluctuations p for the jet-in-crossflow configuration at three momentum-flux ratios. At the near-field location x = 1 D , the pressure-fluctuation energy is overwhelmingly dominated by the first POD mode for all momentum-flux ratios, particularly at higher wall-normal locations ( y + 5 30 ). This strong concentration of energy in the leading mode reflects the presence of highly coherent, large-scale pressure structures induced by the jet shock system. For the highest momentum ratio (J = 10.2), the leading mode captures a substantial fraction of the total pressure energy near the wall as well, indicating that shock–boundary-layer interactions play a significant role in organizing pressure fluctuations close to the surface. As the momentum-flux ratio decreases to J = 5.6 and J = 2.8, the dominance of the first mode remains significant, highlighting the increasingly coherent nature of pressure fluctuations as the jet weakens and aligns more rapidly with the crossflow. The wall-normal distribution of POD energy reveals that pressure fluctuations are more spatially coherent away from the wall than velocity or temperature fluctuations. Further downstream at x = 3 D , the energy content of the first mode decreases relative to the near-field, and the pressure energy becomes more distributed among higher-order modes, particularly for J = 10.2 and 5.6. This redistribution indicates the progressive weakening of organized shock structures and the increasing influence of turbulent mixing, vortex–shock interactions, and pressure fluctuations associated with large-scale coherent vortices in the jet wake. Nevertheless, even at this downstream location, the leading modes still capture a significant portion of the total pressure energy, especially for the lowest momentum ratio (J = 2.8), underscoring the persistence of large-scale pressure coherence in the flow. The energy distribution further downstream ( x = 5 D ) for all fluctuating variables is consistent with that at x = 3 D and is not presented here for brevity.

3.4. Flow Visualization and SPOD/POD Eigenvector Contours

For visualization of the typical vortical structures in JICF, the iso-surfaces of the Q-criterion were extracted and colored by the instantaneous static temperature field for the J = 5.6 configuration, as shown in Figure 10. This approach by [50] enables identification of coherent flow structures arising from jet–crossflow interaction. Canonical features—including the horseshoe vortex enveloping the upstream stagnation region and the counter-rotating vortex pair (CVP) downstream of the injection point—are clearly observed. These structures, which are definitive signatures of supersonic transverse jet penetration in subsonic crossflow, persist along the jet trajectory and confirm that the numerical framework captures the dominant vortical mechanisms governing the flow evolution. The low-temperature jet fluid (characterized by a thermal ratio of T j / T = 0.264 ) is rapidly transported downstream by the combined action of forced convection, turbulent mixing, and molecular diffusion. This transport process is evidenced by the presence of blue-colored regions aligned with the vortex cores, indicating the preferential entrainment and redistribution of the colder jet fluid within the coherent turbulent structures.
An overexpanded jet is characterized by a static pressure at the nozzle exit that is lower than the ambient freestream static pressure. For the three jet operating conditions considered in this study, the corresponding exit-to-freestream static pressure ratios were 0.13, 0.26, and 0.47 for momentum ratios J = 2.8, 5.6, and 10.2, respectively. In an overexpanded jet in crossflow (JICF), the jet exit shock manifests as an attached compression shock anchored at the injector lip. This shock arises because the supersonic jet must undergo an immediate recompression to accommodate the higher static pressure imposed by the crossflow. The resulting oblique compression shock induces a pronounced jet deflection and a rapid reduction in jet total pressure and momentum from the point of discharge. Consequently, the jet is significantly weakened at inception, leading to strongly asymmetric flow development and substantially altered penetration characteristics. This injector-lip-anchored feature, commonly referred to as the lip shock or exit compression shock, elevates the jet static pressure to match the ambient crossflow pressure immediately downstream of the nozzle exit. Figure 11 show the jet centerline Y X plane with static pressure contours, some streamlines, and iso-surfaces of large pressure-gradient magnitudes for momentum-flux ratios, J, of 2.8, 5.6, and 10.2. In addition, two contour lines are delineated in the central symmetry plane: the sonic contour at Mach = 1, shown as a black line, and the Mach = 3.2 contour, indicated by a green line. Upstream of the jet, the vertical white arrow denotes the characteristic jet diameter length. As the momentum ratio J increases in an overexpanded JICF, the jet exit (lip) compression shock progressively weakens and is displaced downstream from the injector lip, as observed in Figure 11. This behavior reflects an increase in the effective jet exit pressure relative to the crossflow static pressure, corresponding to a reduction in the degree of overexpansion. With increasing J, the magnitude of recompression required across the exit shock diminishes, resulting in a more oblique shock configuration characterized by an increased shock angle relative to the jet axis. Concurrently, the shock strength—quantified by the associated pressure rise (see the intense red spot at J = 2.8) and rapid reduction in Mach number—decreases, and the shock attachment point exhibits a tendency to migrate slightly downstream of the injector lip. As a consequence, the jet retains greater momentum in the near field and penetrates farther into the crossflow before undergoing significant bending, as observed for J = 10.2. The sonic contours (black lines) expand markedly along the jet trajectory with increasing J, indicating an enlarged region of locally sonic flow, particularly for for J = 10.2. Furthermore, the line contours corresponding to a local Mach number of 3.2 (green lines) are observed to move closer to the jet exit at lower values of J, thereby corroborating that lower exit-to-freestream static pressure ratios are associated with stronger jet exit compression shocks.
In summary, Figure 11 corroborates the previously discussed conclusions inferred from the POD mode analyses presented in Figure 6, Figure 7, Figure 8 and Figure 9.
Furthermore, the first POD mode represents the most energetic and spatially coherent structure in the flow. Figure 12 shows the eigenvector contour plot of the ϕ u , ϕ v , and ϕ T components of the first POD mode for all three momentum-flux ratios. At x = 1 D , this mode captures the global jet–crossflow interaction, dominated by jet flapping, counter-rotating vortices, and thermal plume motion, whose spatial extent and wall-normal reach depend strongly on the momentum ratio J. In all plots, red and blue colors indicate regions of opposite phase of the fluctuating quantity (positive and negative amplitudes of the POD eigenfunction). These do not represent instantaneous sign, but rather coherent oscillatory motion of the structure about its mean position. The first POD mode of u ( ϕ u ) exhibits a paired lobe structure about the jet centerline, characteristic of large-scale jet flapping in the crossflow. Red regions represent coherent streamwise acceleration relative to the mean jet, and blue regions represent coherent streamwise deceleration. Together, the red–blue pair indicates an oscillatory lateral and vertical displacement of the jet core, rather than a stationary structure. The mode extends to high wall-normal locations ( y + 200 250 ) for J = 10.2, indicating a deeply penetrating jet with a dominant global flapping mode. The broad spatial footprint reflects strong coupling between the jet and the outer crossflow. For J = 5.6, the structure becomes more compact and shifts downward, showing reduced penetration and increasing confinement of streamwise fluctuations to the shear layer. As the momentum-flux ratio is reduced further, the mode is tightly localized near the wall and jet exit for J = 2.8, indicating that near-wall shear and wake-type unsteadiness dominate over global jet motion.
The first POD mode of v ( ϕ v ) in Figure 12 clearly identifies the counter-rotating vortex pair for J = 5.6 and 2.8, the hallmark structure of jets in crossflow. The antisymmetric red–blue lobe pair corresponds to upwash and downwash motions induced by the CVP legs. This mode represents the vertical breathing motion of the jet, which lifts fluid away from the wall while inducing entrainment on either side. At high momentum ratio (J = 10.2), the jet strongly penetrates the crossflow and rapidly lifts away from the wall. As a result, the dominant coherent motion captured by the first POD mode is no longer the near-wall CVP upwash–downwash, but rather a global jet-core oscillation. For J = 10.2, most of the wall-normal kinetic energy resides in a global flapping or breathing motion of the jet core, which appears as a predominantly single-lobed structure in v , overwhelming the classical CVP antisymmetric pattern. The CVP-induced antisymmetric motion still exists for J = 10.2 but is captured by higher-order POD modes (to be shown later) due to energy redistribution across POD modes, while the first mode extracts the energetically dominant jet-lift and entrainment dynamics. The CVP forms earlier and remains more symmetric and closer to the wall for lower momentum flux due to reduced vertical momentum. The wall-normal velocity fluctuations are dominated by balanced upwash and downwash motions, which leads to the clear antisymmetric red–blue lobe pair in the first POD mode of v for J = 5.6. On the other hand, the CVP is confined close to the wall for J = 2.8, indicating suppressed vortex strength and dominance of near-wall shear-driven motion. As further illustrated in Figure 12, the leading POD mode associated with the temperature fluctuations, denoted ϕ T , encapsulates the dominant coherent thermal structure of the flow. This mode is strongly correlated with the underlying jet dynamics and exhibits a pronounced structural similarity to the corresponding streamwise velocity eigenvector, ϕ u , indicating a high degree of thermo–kinematic coherence. Red regions indicate coherent hot-fluid excursions, and blue regions indicate coherent cool-fluid intrusions from the crossflow. The red–blue layering indicates an oscillatory thermal plume, synchronized with jet flapping and CVP motion. The thermal structure extends far from the wall for J = 10.2, indicating strong convective transport of heat by the lifted jet core. For J = 5.6, the thermal mode is more compact and arch-shaped, reflecting enhanced shear-layer mixing rather than bulk jet lift-off. On the other hand, the thermal structure is confined near the wall for J = 2.8, showing that wall-adjacent heating and conduction-dominated transport become increasingly important.
Figure 13 highlights the first POD mode eigenvectors of u , v , and T at x = 3 D for the three momentum-flux ratios. The flow has evolved beyond the immediate jet exit region, and the dynamics are dominated by large-scale jet meandering, CVP deformation, and thermal plume oscillations, rather than near-wall shear-layer instabilities. The four-lobed red–blue structure of ϕ u for J = 10.2 indicates strong global jet-flapping and lateral-meandering modes. The vertical separation of lobes suggests that the jet core oscillates both laterally and vertically, consistent with a fully lifted jet. The absence of near-wall symmetry implies that the CVP has weakened relative to jet-core dynamics. Here, the first mode of ϕ u represents large-scale jet-core oscillation, driven by strong momentum dominance over the crossflow. A more compact, crescent-shaped red–blue pattern is observed in ϕ u for J = 5.6. This corresponds to a coherent lateral flapping mode of the jet column, still influenced by the CVP but less vertically stretched than at J = 10.2. A mixed mode combining jet flapping and residual CVP-induced entrainment is observed for J = 5.6. At J = 2.8 the structure in ϕ u is confined closer to the wall with asymmetric red–blue patches, indicating weaker jet penetration and stronger interaction with the crossflow boundary layer. The dominant structures of ϕ u at J = 2.8 reflect near-wall shear-layer oscillations and weak jet meandering. The first POD mode eigenvector of wall-normal velocity fluctuations (i.e., ϕ v ) for J = 10.2 shows a tilted red–blue dipole extending vertically that indicates dominant upward and downward motions associated with jet breathing. The lack of clear antisymmetry about the centerline suggests that CVP-induced upwash/downwash is no longer the leading energetic feature. The first POD mode captures global vertical oscillation of the lifted jet plume, not classical CVP motion. A clean antisymmetric red–blue lobe pair appears for J = 5.6. This is a textbook signature of CVP-induced upwash and downwash. The CVP remains dynamically important and energetically dominant at this downstream location. For the case J = 2.8 , a comparatively weaker yet still symmetric dipolar structure is observed in ϕ v , with its centroid displaced closer to the wall. This behavior indicates a reduction in the strength of the counter-rotating vortex pair (CVP) accompanied by enhanced suppression of vertical transport by the crossflow. Under these conditions, the wall-normal velocity field is primarily governed by attenuated CVP legs that remain embedded within the boundary layer, reflecting diminished vortex-induced vertical transport.
The elongated red–blue structure in Figure 13 at higher y + corresponds to oscillatory thermal plume lift-off for the first POD mode of temperature fluctuations, ϕ T , at the highest momentum-flux ratio (i.e., J = 10.2). The dominant thermal mode reflects large-scale thermal plume flapping, consistent with strong jet penetration. On the other hand, a well-defined arch-shaped structure appears for J = 5.6. This corresponds to thermal entrainment by the CVP, with hot fluid lifted and cold fluid entrained downward. The thermal field is strongly coupled to the CVP dynamics. For J = 2.8 , the thermal POD mode remains spatially compact and confined to the near-wall region. The alternating red–blue lobes signify localized heating–cooling oscillations induced by shear-layer mixing processes. In this regime, thermal transport is predominantly controlled by near-wall mixing mechanisms and weak plume oscillations, consistent with the reduced penetration and coherence of the thermal structures.
Figure 14 represents the first three POD spatial modes of the streamwise velocity fluctuation u ( ϕ u ) at x = 1 D for three momentum-flux ratios. The first POD mode for J = 10.2 shows a strong, symmetric pair of near-wall lobes of opposite sign that straddle the jet centerline at y + 40 120 , with a third lobe aloft at y + 180 250 . The near-wall pair are the kidney footprints of jet lift-off due to the CVP. One lobe corresponds to the sweep side; the opposite lobe corresponds to the ejection side. The upper lobe aligns with the upwash core above the jet, where low- and high-speed fluid are vertically redistributed by the CVP. The same paired near-wall pattern is present for J = 5.6 but is broader and less vertically extended; the aloft lobe is weaker. The counter-rotating vortex pair (CVP) remains the dominant coherent structure; however, its vertical extent is significantly diminished, indicating reduced wall-normal penetration of the induced vortical motion. At J = 2.8, the paired footprints for Mode 1 collapse closer to the wall with diminished upper-lobe activity. For weaker jets, the CVP attenuates and remains wall-attached, leading to a dominantly near-wall organization of u . The second POD mode (Mode 2) reveals the persistence of two near-wall lobes for all cases; however, these structures exhibit a lateral phase shift relative to one another. Moreover, the upper lobe in Mode 2 displays a sign inversion with respect to Mode 1, indicating a change in the associated fluctuation phase and underlying modal symmetry. This Mode 2 represents antisymmetric meandering of the jet and shear-layer imbalance, i.e., alternating dominance of the left/right side of the CVP. It corresponds to lateral oscillation of the jet footprint (a common subdominant mode in transverse jets). The meandering pattern of Mode 2 is present but less organized for J = 5.6, with the lobes showing increased spanwise separation and near-wall concentration. Two small lobes appear for J = 2.8 at y + 70 120 in Mode 2, with limited vertical reach. The mode reflects near-wall streak modulation rather than a fully developed jet meander; the jet signature is subdued and the wall turbulence plays a larger role. In contrast, the middle lobes for Mode 2, positioned around the jet-core region ( y + 30 70 ) for J = 2.8, correspond to antisymmetric oscillations of the jet plume about the centerline. These lobes capture the lateral meandering of the jet caused by the imbalance between jet momentum and crossflow forcing, indicating a flapping-type coherent motion rather than a symmetric core pulsation.
Regarding Mode 3, a pronounced upper lobe at y + 200 260 is observed with weaker near-wall counterparts for the J = 10.2 case. This mode highlights shear-layer–Kelvin–Helmholtz-type activity in the upper jet region and its intermittent coupling to the wall footprints. It indicates outer-layer fluctuation energy driven by jet shear dynamics at a high momentum-flux ratio. The background of Mode 3 appears more diffuse with broadened lobes for J = 5.6; near-wall features are visible but less distinct. Mode 3 reflects large-scale outer-layer motions with reduced coherence, consistent with moderate-J jets where the shear-layer rollers are weaker and more intermittent. For the J = 2.8 case, Mode 3 distinctly exhibits near-wall turbulent structures. The corresponding modal topology reflects a damped shear-layer signature, primarily governed by outer-layer eddies convected over the jet, as opposed to coherent rollers generated directly by the jet itself.
Figure 15 shows the frequency-dependent spectral proper orthogonal decomposition (SPOD) energies of the first five modes of the streamwise velocity fluctuations, u , at x = 1 D for three momentum-flux ratios, highlighting how the underlying unsteady flow dynamics vary with jet strength. Each curve corresponds to a SPOD eigenvalue λ n ( S t ) , representing the energy of the n-th most energetic coherent structure at a given Strouhal number. For the highest momentum ratio, J = 10.2, the spectra display several well-defined energy peaks in Mode 1 (highlighted by red circles), indicating that the flow contains highly coherent, frequency-selective structures. These narrow-band peaks are characteristic of organized shear-layer instabilities and Kelvin–Helmholtz roll-up, which arise when the strong transverse jet penetrates deeply into the crossflow. The elevated energy in Mode 1 across the entire low- to mid-frequency range, combined with its substantial separation from Modes 2–5, confirms that a single dominant mechanism—the interaction between the jet’s upper shear layer and the CVP—governs the unsteady dynamics at this location. As the momentum ratio decreases to J = 5.6, the spectra undergo a clear qualitative transition: the sharp Mode-1 peaks disappear, and the modal distribution becomes more broadband, reflecting the weakening of the shear-layer roll-up and reduced vertical penetration of the jet. The smaller spacing between the modal energy levels suggests that no single structure dominates the unsteady field; instead, multiple mechanisms contribute comparable energy as the jet motion becomes more strongly influenced by the surrounding boundary-layer turbulence. At the lowest momentum ratio, J = 2.8 , the modal energy content exhibits an even tighter collapse across all modes. This behavior indicates the absence of pronounced frequency-selective amplification and reflects a largely non-resonant, weakly organized dynamical response. This behavior indicates that the jet produces only weak disturbances that quickly blend into the background turbulence, resulting in unsteady dynamics that are largely dictated by the crossflow rather than jet-driven coherent structures. Overall, the SPOD spectra reveal a progressive shift from strongly coherent, shear-layer-dominated oscillations at high J to turbulence-dominated, weakly organized motions at lower J, fully consistent with the spatial POD mode shapes and with the expected physical response of a jet in crossflow as its momentum diminishes.
Figure 16 presents the first SPOD mode of the streamwise velocity fluctuations u at selected Strouhal numbers (highlighted by the red circle in Figure 15) for all three momentum-flux ratios, revealing how distinct coherent structures dominate the supersonic jet-in-subsonic-crossflow at different temporal scales. Each frequency band corresponds to a physically meaningful mechanism, allowing the flow dynamics to be interpreted in terms of large-scale jet motion, shear-layer instabilities, and small-scale turbulent activity. At the lowest Strouhal numbers ( S t = 0.0008) and J = 10.2, the dominant structure is a global jet-flapping or breathing mode. The SPOD modes show a broad, vertically elongated footprint centered around the jet core, extending both upward and laterally. This structure reflects slow, large-scale oscillations of the jet trajectory driven by global momentum imbalance between the jet and the crossflow. The coherence across a wide wall-normal extent indicates strong coupling between the jet core, the counter-rotating vortex pair (CVP), and the near-wall region. These low-frequency motions are primarily responsible for unsteady jet penetration and large-amplitude lateral wandering. At slightly higher low frequencies ( S t = 0.0024–0.0045) for J = 10.2, the modes become more spatially localized and symmetric about the jet centerline. These structures correspond to CVP oscillation and jet-column wobbling, where the jet core undergoes periodic lateral displacement while maintaining coherence in the near field. The paired positive–negative lobes in the wall-normal direction are characteristic of alternating upwash and downwash induced by the CVP legs. These modes play a critical role in lateral dispersion and near-field mixing. At intermediate frequencies ( S t = 0.015) for J = 10.2, the SPOD modes reveal shear-layer roll-up and Kelvin–Helmholtz-type instabilities along the jet–crossflow interface. The structures are more compact, with strong activity concentrated near the jet boundary rather than the core. The reduced spatial extent and increased complexity indicate the transition from global jet motion to instability-driven dynamics. These modes are responsible for enhanced entrainment and rapid breakdown of coherent jet structures downstream. At higher frequencies ( S t = 0.05) for J = 10.2, the coherent patterns further fragment and become confined closer to the wall and shear layers. These modes represent secondary shear-layer instabilities and breakdown of large vortices into smaller-scale structures. The diminished spatial coherence and reduced wall-normal penetration indicate increased viscous dissipation and turbulence cascade effects. Their contribution is primarily to local mixing rather than large-scale jet deflection. At the highest frequencies shown ( S t = 0.11) for J = 10.2, the SPOD modes are highly localized and irregular, characteristic of small-scale turbulent motions embedded within the jet wake and near-wall region. These structures lack global organization and reflect broadband turbulence rather than coherent jet dynamics. Although individually energetic at local scales, they contribute minimally to global momentum transport or jet penetration.
Another important outcome of Figure 16 is the shift in the Strouhal number at which the arc-shaped plume structure appears for different momentum-flux ratios. It is a direct consequence of how the dominant global time scale of the jet–crossflow interaction changes with the momentum-flux ratio. The arc-shaped plume observed in the SPOD modes represents a large-scale, low-frequency jet-flapping or plume-meandering mode. This structure is associated with the periodic vertical and lateral displacement of the jet core and the counter-rotating vortex pair (CVP), which together form a curved, plume-like envelope in the cross-plane. The characteristic frequency of this motion is governed by the convective time scale of the jet plume, which depends on jet penetration height, jet velocity, and the strength of jet–crossflow coupling. For the high momentum-flux ratio case (J = 10.2), the jet penetrates deeply into the crossflow and forms a tall, well-developed plume that is partially detached from the wall. The increased penetration length and higher jet momentum lead to a shorter effective convective time scale, since the jet core convects faster and the global oscillation is influenced by strong shear-layer dynamics and compressibility effects. As a result, the dominant plume-flapping mode shifts to a higher Strouhal number, appearing at S t 0.0024 . In this regime, the arc-shaped plume is linked to oscillations of the lifted jet column and CVP system rather than slow wall-anchored motions. In contrast, for moderate and low momentum-flux ratios (J = 5.6 and 2.8), the jet is more strongly bent by the subsonic crossflow and remains closer to the wall. The plume is shorter, more laterally spread, and more tightly coupled to the near-wall boundary layer. This configuration introduces a longer global time scale, as plume motion is constrained by wall friction, viscous damping, and reduced jet momentum. Consequently, the dominant arc-shaped plume structure appears at a lower Strouhal number, S t 0.0008 , reflecting the slower, large-amplitude flapping of the wall-attached jet plume.
Importantly, comparisons with higher Reynolds-number experimental data by Beresh et al. [9] and large-eddy simulations by Chai et al. [10] indicate that the same dominant jet–plume flapping mechanism persists across a wide range of Reynolds numbers. In the present simulations, the dominant unsteady mode for J = 10.2 occurs at S t 0.0024 , whereas high–Re experiments and LES report a corresponding peak at S t 0.8 . While the characteristic frequencies differ, the persistence of the same dominant instability mode suggests that the underlying physical mechanism is largely Reynolds-number independent. The observed frequency shift is consistent with increased viscous damping and a reduced turbulence bandwidth at lower Reynolds numbers, which elongate the characteristic time scale of large-scale plume dynamics. Similar Reynolds-number-dependent frequency modulation of transverse jet flapping has been reported in prior studies [9,10]. These results indicate that, although the present study operates at a lower Reynolds number (two orders of magnitude lower than the experiment), the dominant flow physics and instability mechanisms remain representative of high-Re transverse jet behavior. A formal quantitative error analysis against experimental measurements is beyond the scope of the present study due to mismatched operating conditions and limited availability of phase-resolved experimental statistics; however, the observed agreement in dominant instability mechanisms and scaling trends supports the broader applicability of the conclusions.
Beyond the spectral differences, the Reynolds number also influences the spatial organization and breakdown of vortical structures in transverse jet flows. At lower Reynolds numbers, thicker jet and crossflow shear layers and enhanced viscous diffusion promote more coherent, extended vortical structures, with a delayed breakdown of the counter-rotating vortex pair and associated shear-layer vortices (Figure 12, Figure 13 and Figure 14). As a result, large-scale motions remain dynamically dominant over longer distances and modes, leading to a reduced separation between energetic scales and a narrower turbulence spectrum. In contrast, high-Reynolds-number experiments and large-eddy simulations report thinner shear layers, stronger velocity gradients, and earlier transition to small-scale turbulence, which accelerate vortex stretching and breakdown. These effects introduce a wider range of interacting spatial scales and redistribute energy across a broader frequency band. Despite these differences in structural scale and breakdown behavior, the primary instability mechanisms governing plume flapping and jet–crossflow interaction remain qualitatively similar, indicating that the Reynolds number primarily modulates the scale and temporal characteristics of the flow rather than the underlying dynamics.
In essence, increasing J shifts the plume dynamics from a slow, wall-controlled flapping regime to a faster, jet-dominated oscillatory regime. The observed frequency shift of the arc-shaped structure therefore reflects a change in the balance between jet momentum, crossflow forcing, and wall influence. This behavior highlights the strong sensitivity of large-scale coherent dynamics to momentum-flux ratio in supersonic jet-in-crossflow configurations. The figure demonstrates a clear scale separation of coherent structures in the jet-in-crossflow system. Low-frequency SPOD modes are dominated by global jet flapping and CVP-driven motion, intermediate frequencies by shear-layer roll-up and instability dynamics, and high frequencies by small-scale turbulence. This hierarchy confirms that unsteady jet penetration and wall interaction are governed primarily by low- to intermediate-frequency coherent structures, while higher-frequency motions mainly contribute to dissipation and fine-scale mixing. These insights are critical for developing reduced-order models and flow-control strategies targeting specific dynamical mechanisms in high-speed jet–crossflow applications.

4. Conclusions

This study establishes that the unsteady dynamics of a supersonic jet in subsonic crossflow are governed by a dominant large-scale global instability, manifested as coherent plume or jet flapping, which persists across momentum-flux ratios and Reynolds numbers. While the characteristic Strouhal number of this instability is strongly Reynolds-number dependent—shifting to lower values at low Reynolds numbers due to enhanced viscous damping and reduced turbulence bandwidth—the underlying modal structure and instability mechanism remain unchanged. This distinction between mechanism universality and Reynolds-number-dependent time scaling provides a unifying framework for interpreting jet-in-crossflow dynamics across a wide range of flow regimes.
This study employed high-fidelity DNS to investigate the dynamics of a supersonic jet injected into a subsonic crossflow at low Reynolds numbers, with a particular focus on the effects of momentum-flux ratio on coherent structures identified through POD and SPOD analyses. Assessment of the incoming turbulent boundary layer was conducted using external DNS datasets corresponding to closely matched dimensionless flow parameters (i.e., Reynolds and Mach numbers) and comparable boundary conditions. Three representative momentum ratios (J = 10.2, 5.6, and 2.8) were examined to isolate the mechanisms governing jet penetration, unsteady mixing, and wall interaction in overexpanded jet-in-crossflow configurations. Analysis of the pressure-fluctuation power spectral density for J = 5.6 at y + = 1 reveals a marked amplification of high-frequency turbulence ( S t > 0.7 ) in the near-wall region, both upstream and downstream of the jet exit. This response indicates upstream influence driven by jet-induced separation and adverse pressure gradients. Furthermore, the power spectral densities of the pressure and velocity fluctuations across the three configurations demonstrate that strong near-wall mean shear enhances small-scale turbulent production, yielding elevated high-frequency energy. Moreover, increasing the momentum-flux ratio J intensifies jet penetration and vortex dynamics, resulting in broadband spectral amplification, with the largest gains concentrated at high frequencies. Downstream of the jet, spectra largely retain the expected pressure and velocity scaling across frequencies, with departures predominantly restricted to the high-frequency range.
The POD results demonstrate a clear transition in the dominant vortical mechanisms as the momentum-flux ratio increases. For the highest momentum ratio, i.e., J = 10.2, the first POD mode is dominated by a shear-layer roll-up mechanism rather than by the counter-rotating vortex pair (CVP). This indicates that, at low Reynolds numbers, large-scale Kelvin–Helmholtz-type instabilities in the jet shear layer govern the primary momentum exchange and wall-normal transport in the near field, with the CVP emerging as a secondary structure captured in higher-order modes. In contrast, for J = 2.8 and 5.6, the CVP and near-wall jet–crossflow interaction play a comparatively stronger role, reflecting reduced jet penetration and increased coupling with the wall boundary layer. Spectral POD further reveals that the arc-shaped plume or jet-flapping structure occurs at distinct low frequencies depending on the momentum-flux ratio. For J = 10.2, this global plume oscillation appears at S t 0.0024 , whereas for the lower momentum ratios (J = 2.8 and 5.6), it shifts to a significantly lower frequency of S t 0.0008 . This frequency shift reflects a change in the dominant global time scale of the flow: high-J cases exhibit faster, jet-dominated plume oscillations associated with strong shear-layer dynamics and reduced wall constraint, while low-J cases are governed by slower, wall-controlled flapping motions of a bent-over jet.
The observed low-frequency plume dynamics bear strong similarity to low-frequency shock motion and separation bubble breathing observed in shock–boundary-layer interactions (SBLIs). In both systems, a global feedback mechanism links large-scale flow structures, pressure fluctuations, and wall interaction, resulting in organized low-frequency oscillations that are weakly dissipative. In the present low-Reynolds-number DNS, viscous effects suppress higher-frequency content and promote enhanced low-frequency coherence, leading to the emergence of plume oscillations at Strouhal numbers several orders of magnitude lower than those reported at higher Reynolds numbers. Comparison with prior high-Reynolds-number experiments and large-eddy simulations demonstrates that the unsteady behavior identified in this study reflects a robust transverse-jet instability rather than a low-Reynolds-number artifact. Although the dominant flapping motion in the present simulations appears at a lower non-dimensional frequency than reported in the literature for comparable momentum ratios, the organization of energetic modes and the associated plume dynamics remain consistent. This frequency shift is attributed to enhanced viscous attenuation of large-scale motions, which alters the temporal scale of the response without modifying the governing flow physics. Consequently, the present DNS faithfully reproduces the essential modal structure and instability hierarchy of transverse jets, while providing insight into how viscous effects reshape their spectral signatures.
Despite providing detailed physical insights, the present study is subject to several limitations that motivate future work. First, the simulations are conducted at low Reynolds numbers, which, while enabling fully resolved DNS and clean modal interpretation, lead to enhanced viscous damping and a downward shift of dominant frequencies compared to practical high-Reynolds-number configurations. Although comparison with experiments and LES suggests that the underlying instability mechanisms are preserved, extension of the analysis to higher Reynolds numbers is necessary to fully assess Reynolds-number effects on modal hierarchy, spectral broadening, and jet–crossflow coupling. Second, the present investigation is limited to a single jet Mach number, and future studies should explore a wider range of jet Mach numbers and crossflow Mach numbers to establish broader scaling trends. Third, the analysis focuses primarily on POD and SPOD of velocity, temperature, and pressure fields; complementary approaches such as resolvent analysis or input–output modeling could provide deeper insight into amplification mechanisms and causal feedback loops, particularly those linking plume oscillations to wall pressure and heat flux. Finally, the present simulations do not include active or passive flow-control strategies, and future work should leverage the identified low-frequency coherent modes to design targeted control concepts aimed at mitigating unsteady loads, enhancing mixing, or regulating wall heat transfer in high-speed jet-in-crossflow environments.
Future work will extend the present framework to higher Reynolds numbers using large-eddy simulation in order to quantify the Reynolds-number dependence of spectral bandwidth, vortex breakdown processes, and dominant instability scaling. In addition, systematic multi-Mach-number parameter studies, spanning subsonic to transonic regimes, are planned to assess the influence of compressibility on modal organization and frequency selection. Beyond canonical configurations, the approach developed here provides a foundation for investigating flow control strategies, such as steady and unsteady actuation, aimed at modifying jet-flapping dynamics and turbulent mixing. These extensions will enable direct assessment of control effectiveness and scaling laws under conditions more representative of practical high-speed propulsion and mixing applications.
From a methodological perspective, the use of fully resolved DNS combined with POD and SPOD provides a distinct advantage by enabling unambiguous identification of the dominant coherent structures and their characteristic time scales without modeling uncertainty. This approach allows a clear separation between universal instability mechanisms and Reynolds- or parameter-dependent frequency modulation, which is difficult to achieve using lower-fidelity methods alone. The resulting modal decomposition offers a physically interpretable reduced-order description of the flow, directly linking momentum-flux ratio, wall interaction, and plume dynamics to measurable spectral signatures.
From an application perspective, these insights enable targeted optimization strategies for jet-in-crossflow systems. Identification of dominant low-frequency plume flapping modes provides a rational basis for designing flow-control or actuation strategies aimed at suppressing unsteady loading, mitigating wall heat flux, or enhancing mixing efficiency. Likewise, understanding how the momentum-flux ratio governs the hierarchy of coherent structures and spectral amplification offers practical guidance for injector design and operating-condition selection in high-speed propulsion, thermal management, and mixing applications. The present results therefore translate the high-fidelity numerical insights into actionable guidance for optimizing performance and robustness in realistic jet–crossflow configurations.
Overall, the results establish that the momentum-flux ratio governs not only jet penetration and mixing but also the hierarchy of coherent vortical, thermal, and acoustic or pressure structures, as well as their characteristic frequencies. The dominance of shear-layer roll-up over CVP dynamics at high J, the systematic frequency shift of plume oscillations, and the strong analogy with low-frequency SBLI dynamics provide new insight into the unsteady behavior of supersonic jet-in-crossflow systems. The present dataset thus offers a valuable benchmark for validating turbulence models, developing reduced-order representations, and designing flow-control strategies aimed at mitigating unsteady loading and optimizing mixing in high-speed propulsion and thermal management applications.

Author Contributions

Conceptualization, S.R. and G.A.; methodology, S.R. and G.A.; software, S.R. and G.A.; validation, S.R. and G.A.; formal analysis, S.R. and G.A.; investigation, S.R. and G.A.; resources, S.R. and G.A.; data curation, S.R. and G.A.; writing—original draft preparation, S.R.; writing—review and editing, G.A.; visualization, S.R. and G.A.; supervision, G.A.; project administration, G.A.; funding acquisition, G.A. All authors have read and agreed to the published version of the manuscript.

Funding

This research was supported by the National Science Foundation under grant no. 2314303 and by the Air Force Office of Scientific Research (AFOSR) under agreement no. FA9550-23-1-0241. Computational resources were provided in part by the Department of Defense High-Performance-Computing Modernization Program (HPCMP).

Institutional Review Board Statement

Not applicable.

Informed Consent Statement

Not applicable.

Data Availability Statement

The original contributions presented in this study are included in the article. Further inquiries can be directed to the corresponding author or visit https://ceid.utsa.edu/garaya/ accessed on 3 January 2026.

Conflicts of Interest

The authors declare no conflicts of interest.

Abbreviations

The following abbreviations are used in this manuscript:
JICFJet-in-crossflow
DNSDirect numerical simulation
PODProper orthogonal decomposition
SPODSpectral proper orthogonal decomposition

References

  1. Luo, K.; Chen, X.; Wang, Y.; Wang, Q.; Yu, J.; Zhao, W. Experimental Investigation of Transverse Jet Interaction in Low-Density Hypersonic Crossflows. AIAA J. 2025, 63, 1–14. [Google Scholar] [CrossRef]
  2. Maikap, S.; Rajagopal, A.K. Flow physics of supersonic crossflow with transversely injected jets in streamwise tandem configuration. Phys. Fluids 2025, 37, 036113. [Google Scholar] [CrossRef]
  3. Rasheed, I.; Mishra, D.P. Combustion characteristics of a transverse jet in supersonic crossflow with varying inflow conditions. Phys. Fluids 2025, 37, 066106. [Google Scholar] [CrossRef]
  4. Boersma, B.; Lele, S. Large eddy simulation of compressible turbulent jets. Cent. Turbul. Res. Annu. Res. Briefs 1999, 365–377. [Google Scholar]
  5. Sun, M.; Zhang, S.; Zhao, Y.; Zhao, Y.; Liang, J. Experimental investigation on transverse jet penetration into a supersonic turbulent crossflow. Sci. China Technol. Sci. 2013, 56, 1989–1998. [Google Scholar] [CrossRef]
  6. Mahesh, K. The interaction of jets with crossflow. Annu. Rev. Fluid Mech. 2013, 45, 379–407. [Google Scholar] [CrossRef]
  7. Ali, M.Y.; Alvi, F. Jet arrays in supersonic crossflow—An experimental study. Phys. Fluids 2015, 27, 126102. [Google Scholar] [CrossRef]
  8. Pizzaia, A.; Rossmann, T. Effect of boundary layer thickness on transverse sonic jet mixing in a supersonic turbulent crossflow. Phys. Fluids 2018, 30, 115104. [Google Scholar] [CrossRef]
  9. Beresh, S.J.; Henfling, J.F.; Erven, R.J.; Spillers, R.W. Turbulent characteristics of a transverse supersonic jet in a subsonic compressible crossflow. AIAA J. 2005, 43, 2385–2394. [Google Scholar] [CrossRef]
  10. Chai, X.; Iyer, P.S.; Mahesh, K. Numerical study of high speed jets in crossflow. J. Fluid Mech. 2015, 785, 152–188. [Google Scholar] [CrossRef]
  11. Smink, J.S.; Hoeijmakers, H.W.; Venner, C.H. Dual injection in supersonic crossflow: Analysis jet shear layer from schlieren images. AIAA J. 2022, 60, 6277–6288. [Google Scholar] [CrossRef]
  12. Sandham, N.D. Effects of compressibility and shock-wave interactions on turbulent shear flows. Flow, Turbul. Combust. 2016, 97, 1–25. [Google Scholar] [CrossRef]
  13. Li, Z.; Manh, T.D.; Gerdroodbary, M.B.; Nam, N.D.; Moradi, R.; Babazadeh, H. Computational investigation of multi-cavity fuel injection on hydrogen mixing at supersonic combustion chamber. Int. J. Hydrogen Energy 2020, 45, 9077–9087. [Google Scholar] [CrossRef]
  14. Tahani, M.; Hojaji, M.; Mahmoodi Jezeh, S.V. Turbulent jet in crossflow analysis with LES approach. Aircr. Eng. Aerosp. Technol. 2016, 88, 717–728. [Google Scholar] [CrossRef]
  15. Fiorina, B.; Lele, S. Numerical investigation of a transverse jet in a supersonic crossflow using large eddy simulation. In Proceedings of the 36th AIAA Fluid Dynamics Conference and Exhibit, San Francisco, CA, USA, 5–8 June 2006; p. 3712. [Google Scholar]
  16. Saha, A.K.; Yaragani, C.B. Three-dimensional numerical study of jet-in-crossflow characteristics at low Reynolds number. Heat Mass Transf. 2012, 48, 391–411. [Google Scholar] [CrossRef]
  17. Larsson, J.; Lele, S.K. Direct numerical simulation of canonical shock/turbulence interaction. Phys. Fluids 2009, 21, 126101. [Google Scholar] [CrossRef]
  18. Ryu, J.; Lele, S.K. Instability waves in high-speed jets: Near-and far-field DNS/LES data analysis. Int. J. Aeroacoust. 2015, 14, 643–673. [Google Scholar] [CrossRef]
  19. Porter, D.; Woodward, P.; Anderson, S.; Winkler, K.; Hodson, S. Numerical Simulation of Compressible Turbulence. 1997. Available online: http://www.lcse.umn.edu/research/lanlrun (accessed on 2 January 2026).
  20. Araya, G.; Castillo, L.; Meneveau, C.; Jansen, K. A dynamic multi-scale approach for turbulent inflow boundary conditions in spatially evolving flows. J. Fluid Mech. 2011, 670, 518–605. [Google Scholar] [CrossRef]
  21. Sirovich, L. Turbulence and the dynamics of coherent structures. I. Coherent structures. Q. Appl. Math. 1987, 45, 561–571. [Google Scholar] [CrossRef]
  22. H. Bagheri, M.; Esmailpour, K.; Hoseinalipour, S.M.; Mujumdar, A.S. Numerical study and POD snapshot analysis of flow characteristics for pulsating turbulent opposing jets. Int. J. Numer. Methods Heat Fluid Flow 2019, 29, 2009–2031. [Google Scholar] [CrossRef]
  23. Wang, B.; Li, H. POD analysis of flow over a backward-facing step forced by right-angle-shaped plasma actuator. SpringerPlus 2016, 5, 795. [Google Scholar] [CrossRef]
  24. Cavar, D.; Meyer, K.E. LES of turbulent jet in cross flow: Part 2–POD analysis and identification of coherent structures. Int. J. Heat Fluid Flow 2012, 36, 35–46. [Google Scholar] [CrossRef]
  25. Towne, A.; Schmidt, O.T.; Colonius, T. Spectral proper orthogonal decomposition and its relationship to dynamic mode decomposition and resolvent analysis. J. Fluid Mech.s 2018, 847, 821–867. [Google Scholar] [CrossRef]
  26. Araya, G.; Castillo, L. DNS of turbulent thermal boundary layers subjected to adverse pressure gradients. Phys. Fluids 2013, 25, 095107. [Google Scholar] [CrossRef]
  27. Cardillo, J.; Chen, Y.; Araya, G.; Newman, J.; Jansen, K.; Castillo, L. DNS of a turbulent boundary layer with surface roughness. J. Fluid Mech. 2013, 729, 603–637. [Google Scholar] [CrossRef]
  28. Doosttalab, A.; Araya, G.; Newman, J.; Adrian, R.; Jansen, K.; Castillo, L. Effect of small roughness elements on thermal statistics of a turbulent boundary layer at moderate Reynolds number. J. Fluid Mech. 2015, 787, 84–115. [Google Scholar] [CrossRef]
  29. Lund, T.; Wu, X.; Squires, K. Generation of turbulent inflow data for spatially-developing boundary layer simulations. J. Comput. Phys. 1998, 140, 233–258. [Google Scholar] [CrossRef]
  30. Araya, G.; Lagares, C.; Jansen, K. Direct simulation of a Mach-5 turbulent spatially-developing boundary layer. In Proceedings of the 49th AIAA Fluid Dynamics Conference, AIAA AVIATION Forum, (AIAA-2019-3340), Dallas, TX, USA, 17–21 June 2019. [Google Scholar]
  31. Araya, G.; Lagares, C.; Jansen, K. Reynolds number dependency in supersonic spatially-developing turbulent boundary layers. In Proceedings of the 2020 AIAA SciTech Forum (AIAA-2020-0574), Orlando, FL, USA, 6–10 January 2020. [Google Scholar]
  32. Araya, G.; Lagares, C.; Santiago, J.; Jansen, K. Wall temperature effect on hypersonic turbulent boundary layers via DNS. In Proceedings of the AIAA Scitech 2021 Forum (AIAA-2021-1745), Virtual, 11–15 and 19–21 January 2021. [Google Scholar] [CrossRef]
  33. Araya, G.; Lagares, C.J.; Jansen, K. Reynolds Number Dependency in Compressible Crossflow-Jet Problems. In Proceedings of the AIAA SCITECH 2025 Forum, Orlando, FL, USA, 6–10 January 2025. [Google Scholar] [CrossRef]
  34. Beresh, S.J.; Henfling, J.F.; Erven, R.J.; Spillers, R.W. Penetration of a Transverse Supersonic Jet into a Subsonic Compressible Crossflow. AIAA J. 2005, 43, 379–389. [Google Scholar] [CrossRef]
  35. Wu, X.; Moin, P. A direct numerical simulation study on the mean velocity characteristics in turbulent pipe flow. J. Fluid Mech. 2008, 608, 81–112. [Google Scholar] [CrossRef]
  36. Whiting, C.H.; Jansen, K.E.; Dey, S. Hierarchical basis in stabilized finite element methods for compressible flows. Comp. Meth. Appl. Mech. Engng. 2003, 192, 5167–5185. [Google Scholar] [CrossRef]
  37. Jansen, K.E. A stabilized finite element method for computing turbulence. Comp. Meth. Appl. Mech. Engng. 1999, 174, 299–317. [Google Scholar] [CrossRef]
  38. Jansen, K.E.; Whiting, C.H.; Hulbert, G.M. A generalized-α method for integrating the filtered Navier-Stokes equations with a stabilized finite element method. Comp. Meth. Appl. Mech. Engng. 1999, 190, 305–319. [Google Scholar] [CrossRef]
  39. Sahni, O.; Luo, X.; Jansen, K.; Shephard, M. Curved boundary layer meshing for adaptive viscous flow simulation. Finite Elem. Anal. Des. 2020, 46, 132–139. [Google Scholar] [CrossRef]
  40. Tejada-Martinez, A.; Jansen, K. On the interaction between dynamic model dissipation and numerical dissipation due to streamline upwind/Petrov-Galerkin stabilization. Comput. Methods Appl. Mech. Eng. 2005, 194, 1225–1248. [Google Scholar] [CrossRef]
  41. Sahni, O.; Wood, J.; Jansen, K.; Amitay, M. Three-dimensional Interactions between a Finite-Span Synthetic Jet and a Cross Flow. J. Fluid Mech. 2011, 671, 254–287. [Google Scholar] [CrossRef]
  42. Rasquin, M.; Smith, C.; Chitale, K.; Seol, S.; Matthews, B.; Martin, J.; Sahni, O.; Loy, R.; Shephard, M.; Jansen, K. Scalable fully implicit flow solver for realistic wings with flow control. Comput. Sci. Eng. 2009, 21, 133–154. [Google Scholar]
  43. Vaccaro, J.; Elimelech, Y.; Chen, Y.; Sahni, O.; Jansen, K.; Amitay, M. Experimental and Numerical Investigation on Steady Blowing Flow Control within a Compact Inlet Duct. Int. J. Heat Fluid Flow 2015, 54, 143–152. [Google Scholar] [CrossRef]
  44. Sahni, O.; Zhou, M.; Shephard, M.S.; Jansen, K.E. Scalable implicit finite element solver for massively parallel processing with demonstration to 160K cores. In Proceedings of the Conference on High Performance Computing Networking, Storage and Analysis, Portland, OR, USA, 14–20 November 2009; SC ’09. pp. 68:1–68:12. [Google Scholar] [CrossRef]
  45. Wenzel, C.; Selent, B.; Kloker, M.; Rist, U. DNS of compressible turbulent boundary layers and assessment of data/scaling-law quality. J. Fluid Mech. 2018, 842, 428–468. [Google Scholar] [CrossRef]
  46. Skote, M. Studies of Turbulent Boundary Layer Flow Through Direct Numerical Simulation. Ph.D. Thesis, Royal Institute of Technology, Stockholm, Sweden, 2001. [Google Scholar]
  47. Schlatter, P.; Orlu, R. Assessment of direct numerical simulation data of turbulent boundary layers. J. Fluid Mech. 2010, 659, 116–126. [Google Scholar] [CrossRef]
  48. White, F.M. Viscous Fluid Flow; McGraw-Hill Mechanical Engineering: New York, NY, USA, 2006. [Google Scholar]
  49. Ching, C.; Djenidi, L.; Antonia, R. Low-Reynolds-number effects in a turbulent boundary layer. Exp. Fluids 1995, 19, 61–68. [Google Scholar] [CrossRef]
  50. Hunt, J.C.R.; Wray, A.A.; Moin, P. Eddies, streams, and convergence zones in turbulent flows. In Proceedings of the Studying Turbulence Using Numerical Simulation Databases, Stanford, CA, USA, 2 December 1988; pp. 193–208. [Google Scholar]
Figure 1. Schematic of the subsonic (Mach 0.8) spatially developing boundary layer with Inlet, Recycle, and Test planes at low Reynolds numbers. Iso-surfaces of instantaneous static temperature (in red) and contours of instantaneous temperature in extracted planes, showing flow from left to right.
Figure 1. Schematic of the subsonic (Mach 0.8) spatially developing boundary layer with Inlet, Recycle, and Test planes at low Reynolds numbers. Iso-surfaces of instantaneous static temperature (in red) and contours of instantaneous temperature in extracted planes, showing flow from left to right.
Applsci 16 01424 g001
Figure 2. Distribution of (a) mean streamwise velocity profiles (Present and external DNS from [46,47]), (b) turbulence intensities and Reynolds shear stresses in wall units (Present DNS, external DNS from [46,47], and experiments from [49]).
Figure 2. Distribution of (a) mean streamwise velocity profiles (Present and external DNS from [46,47]), (b) turbulence intensities and Reynolds shear stresses in wall units (Present DNS, external DNS from [46,47], and experiments from [49]).
Applsci 16 01424 g002
Figure 3. Streamwise evolution of (a) the skin-friction coefficient (the filled diamond symbol corresponds to DNS from [45]), and (b) the momentum-thickness Reynolds number at the jet centerline for varying momentum-flux ratios.
Figure 3. Streamwise evolution of (a) the skin-friction coefficient (the filled diamond symbol corresponds to DNS from [45]), and (b) the momentum-thickness Reynolds number at the jet centerline for varying momentum-flux ratios.
Applsci 16 01424 g003
Figure 4. Normalized frequency power spectra of pressure fluctuations at y + = 1 for J = 5.6.
Figure 4. Normalized frequency power spectra of pressure fluctuations at y + = 1 for J = 5.6.
Applsci 16 01424 g004
Figure 5. Normalized frequency power spectra at 21 D and 3 D from the jet center of (a) pressure fluctuations at y + = 1, (b) streamwise velocity fluctuations at y + = 15, and (c) wall-normal velocity fluctuations at y + = 15.
Figure 5. Normalized frequency power spectra at 21 D and 3 D from the jet center of (a) pressure fluctuations at y + = 1, (b) streamwise velocity fluctuations at y + = 15, and (c) wall-normal velocity fluctuations at y + = 15.
Applsci 16 01424 g005aApplsci 16 01424 g005b
Figure 6. Total energy distribution of streamwise velocity fluctuation ( u ) as a function of mode number for J = 10.2, 5.6, and 2.8 at x = 1 D (top) and x = 3 D (bottom) downstream locations.
Figure 6. Total energy distribution of streamwise velocity fluctuation ( u ) as a function of mode number for J = 10.2, 5.6, and 2.8 at x = 1 D (top) and x = 3 D (bottom) downstream locations.
Applsci 16 01424 g006
Figure 7. Total energy distribution of wall-normal velocity fluctuation ( v ) as a function of mode number for J = 10.2, 5.6, and 2.8 at x = 1 D (top) and x = 3 D (bottom) downstream locations.
Figure 7. Total energy distribution of wall-normal velocity fluctuation ( v ) as a function of mode number for J = 10.2, 5.6, and 2.8 at x = 1 D (top) and x = 3 D (bottom) downstream locations.
Applsci 16 01424 g007
Figure 8. Total energy distribution of temperature fluctuation ( T ) as a function of mode number for J = 10.2, 5.6, and 2.8 at x = 1 D (top) and x = 3 D (bottom) downstream locations.
Figure 8. Total energy distribution of temperature fluctuation ( T ) as a function of mode number for J = 10.2, 5.6, and 2.8 at x = 1 D (top) and x = 3 D (bottom) downstream locations.
Applsci 16 01424 g008
Figure 9. Total energy distribution of pressure fluctuations ( p ) as a function of mode number for J = 10.2, 5.6, and 2.8 at x = 1 D (top) and x = 3 D (bottom) downstream locations.
Figure 9. Total energy distribution of pressure fluctuations ( p ) as a function of mode number for J = 10.2, 5.6, and 2.8 at x = 1 D (top) and x = 3 D (bottom) downstream locations.
Applsci 16 01424 g009
Figure 10. Iso-surfaces of Q colored by local static temperature for the J = 5.6 case.
Figure 10. Iso-surfaces of Q colored by local static temperature for the J = 5.6 case.
Applsci 16 01424 g010
Figure 11. Jet centerline plane with static pressure contours, some streamlines, and iso-surfaces of large pressure-gradient magnitudes for J: (a) 2.8, (b) 5.6, and (c) 10.2.
Figure 11. Jet centerline plane with static pressure contours, some streamlines, and iso-surfaces of large pressure-gradient magnitudes for J: (a) 2.8, (b) 5.6, and (c) 10.2.
Applsci 16 01424 g011
Figure 12. Contour plot of the ϕ u , ϕ v , and ϕ T components of the first POD mode obtained from 2D y-z decomposition plotted in wall units for J = 10.2, 5.6, and 2.8 at the downstream location x = 1 D .
Figure 12. Contour plot of the ϕ u , ϕ v , and ϕ T components of the first POD mode obtained from 2D y-z decomposition plotted in wall units for J = 10.2, 5.6, and 2.8 at the downstream location x = 1 D .
Applsci 16 01424 g012
Figure 13. Contour plot of the ϕ u , ϕ v , and ϕ T components of the first POD mode obtained from 2D y-z decomposition plotted in wall units for J = 10.2, 5.6, and 2.8 at the downstream location x = 3 D .
Figure 13. Contour plot of the ϕ u , ϕ v , and ϕ T components of the first POD mode obtained from 2D y-z decomposition plotted in wall units for J = 10.2, 5.6, and 2.8 at the downstream location x = 3 D .
Applsci 16 01424 g013
Figure 14. Contour plot of the ϕ u component of the first three POD modes obtained from 2D y-z decomposition plotted in wall units for J = 10.2, 5.6, and 2.8 at the downstream location x = 1 D .
Figure 14. Contour plot of the ϕ u component of the first three POD modes obtained from 2D y-z decomposition plotted in wall units for J = 10.2, 5.6, and 2.8 at the downstream location x = 1 D .
Applsci 16 01424 g014
Figure 15. SPOD mode-energy spectra for the first five modes of the streamwise velocity fluctuations at x = 1 D for momentum-flux ratios J = 10.2, 5.6, and 2.8.
Figure 15. SPOD mode-energy spectra for the first five modes of the streamwise velocity fluctuations at x = 1 D for momentum-flux ratios J = 10.2, 5.6, and 2.8.
Applsci 16 01424 g015
Figure 16. First SPOD mode of the streamwise velocity fluctuations ( u ) at selected Strouhal numbers at x = 1 D for momentum-flux ratios J = 10.2, 5.6, and 2.8.
Figure 16. First SPOD mode of the streamwise velocity fluctuations ( u ) at selected Strouhal numbers at x = 1 D for momentum-flux ratios J = 10.2, 5.6, and 2.8.
Applsci 16 01424 g016
Table 1. Numerical JICF cases.
Table 1. Numerical JICF cases.
Case Re δ 2 RangeJ M M j L x × L y × L z Δ x + , Δ y min + / Δ y max + , Δ z +
1356–1106.72.80.83.73 42.8 δ i n l × 3.3 δ i n l × 4 δ i n l 14, 0.18/13.4, 7.8
2365–1285.765.60.83.73 42.6 δ i n l × 3.2 δ i n l × 3.8 δ i n l 14, 0.18/13.4, 7.8
3364–444310.20.83.73 36.7 δ i n l × 3.2 δ i n l × 3.8 δ i n l 13, 0.18/13.4, 7.3
Table 2. Validation of DNS inflow conditions.
Table 2. Validation of DNS inflow conditions.
ParameterPresent DNS ( M = 0.8)Wenzel et al. [45] ( M = 0.85)
δ + 241.434215
R e δ 2 553.735554
C f 0.00454940.00454
H1.7881.88
Table 3. Evaluation of POD convergence with systematically augmented snapshot sets for Mode 1.
Table 3. Evaluation of POD convergence with systematically augmented snapshot sets for Mode 1.
CaseNumber of Snapshots λ 1 ( u ) / TKE λ 1 ( T ) / T 2 λ 1 ( p ) / q 2
J = 2.810000.68270.64320.6645
15000.50760.46400.4865
20000.31940.30230.3107
25000.27350.26390.2711
30000.27330.26350.2710
60000.27320.26350.2709
J = 5.610000.70430.66920.6902
15000.55110.54190.5465
20000.34140.32910.3307
25000.28750.27090.2823
30000.28720.27050.2820
60000.28720.27040.2820
J = 10.210000.71590.67720.6987
15000.54920.53560.5479
20000.33290.33040.3311
25000.29010.27780.2892
30000.28990.27770.2891
60000.28980.27760.2891
Table 4. Sensitivity of POD convergence to the temporal spacing of snapshot ensembles for Mode 1 at J = 5.6.
Table 4. Sensitivity of POD convergence to the temporal spacing of snapshot ensembles for Mode 1 at J = 5.6.
Temporal SeparationNumber of Snapshots λ 1 ( u ) / TKE λ 1 ( T ) / T 2 λ 1 ( p ) / q 2
100 ts10000.70430.66920.6902
15000.55110.54190.5465
20000.34140.32910.3307
25000.28750.27090.2823
30000.28720.27050.2820
60000.28720.27040.2820
200 ts5000.71680.67530.7045
7500.56020.54870.5503
10000.34910.33170.3342
12500.29070.27280.2856
15000.28790.27090.2822
30000.28750.27050.2821
Disclaimer/Publisher’s Note: The statements, opinions and data contained in all publications are solely those of the individual author(s) and contributor(s) and not of MDPI and/or the editor(s). MDPI and/or the editor(s) disclaim responsibility for any injury to people or property resulting from any ideas, methods, instructions or products referred to in the content.

Share and Cite

MDPI and ACS Style

Roy, S.; Araya, G. Effects of Momentum-FluxRatio on POD and SPOD Modes in High-Speed Crossflow Jets. Appl. Sci. 2026, 16, 1424. https://doi.org/10.3390/app16031424

AMA Style

Roy S, Araya G. Effects of Momentum-FluxRatio on POD and SPOD Modes in High-Speed Crossflow Jets. Applied Sciences. 2026; 16(3):1424. https://doi.org/10.3390/app16031424

Chicago/Turabian Style

Roy, Subhajit, and Guillermo Araya. 2026. "Effects of Momentum-FluxRatio on POD and SPOD Modes in High-Speed Crossflow Jets" Applied Sciences 16, no. 3: 1424. https://doi.org/10.3390/app16031424

APA Style

Roy, S., & Araya, G. (2026). Effects of Momentum-FluxRatio on POD and SPOD Modes in High-Speed Crossflow Jets. Applied Sciences, 16(3), 1424. https://doi.org/10.3390/app16031424

Note that from the first issue of 2016, this journal uses article numbers instead of page numbers. See further details here.

Article Metrics

Back to TopTop