Sign in to use this feature.

Years

Between: -

Subjects

remove_circle_outline
remove_circle_outline
remove_circle_outline
remove_circle_outline
remove_circle_outline
remove_circle_outline
remove_circle_outline
remove_circle_outline
remove_circle_outline

Journals

remove_circle_outline
remove_circle_outline
remove_circle_outline
remove_circle_outline
remove_circle_outline

Article Types

Countries / Regions

remove_circle_outline
remove_circle_outline
remove_circle_outline
remove_circle_outline
remove_circle_outline

Search Results (400)

Search Parameters:
Keywords = accretion model

Order results
Result details
Results per page
Select all
Export citation of selected articles as:
19 pages, 2865 KB  
Article
Assessing Historical Shoreline Change and Forecasting Future Trends Along Monrovia’s Coastline, Liberia
by Titus Karderic Williams, Tarik Belrhaba, Abdelahq Aangri, Youssef Fannassi, Zhour Ennouali, John C. L. Mayson, George K. Fahnbulleh, Aıcha Benmohammadi and Ali Masria
Geomatics 2026, 6(1), 6; https://doi.org/10.3390/geomatics6010006 - 21 Jan 2026
Abstract
Coastal settlements worldwide face increasing threats from erosion, and the Monrovia coastline in Liberia is no exception. This study investigates shoreline dynamics along a 20.5 km stretch of Monrovia’s coast, which is characterized by low-lying elevations, gentle slopes, and sandy beaches. Using Landsat [...] Read more.
Coastal settlements worldwide face increasing threats from erosion, and the Monrovia coastline in Liberia is no exception. This study investigates shoreline dynamics along a 20.5 km stretch of Monrovia’s coast, which is characterized by low-lying elevations, gentle slopes, and sandy beaches. Using Landsat satellite imagery (1986–2025), supported by Sentinel-2 MSI and qualitative validation drone data, we analyzed historical shoreline change with remote sensing and GIS techniques. Shorelines were extracted using a band-ratio thresholding method and quantified with the Digital Shoreline Analysis System (DSAS 5.0), applying end-point rate (EPR), linear regression rate (LRR), and net shoreline movement (NSM). Exploratory projections for 2036 and 2046 were generated using a Kalman Filter model integrated into DSAS. Results show maximum historical erosion rates of up to 3.8 m/yr and accretion rates of up to 5.9 m/yr, with shoreline retreat reaching 150 m and advance up to 194 m. Erosion hotspots are projected for Hotel Africa, Westpoint, New Kru Town, and the JFK–ELWA corridor, while areas near the St. Paul and Mesurado estuaries are expected to accrete. These findings confirm historical trends and suggest that Monrovia will continue to face significant shoreline change, with implications for natural habitats, infrastructure, land loss, and population displacement. Full article
Show Figures

Graphical abstract

44 pages, 5917 KB  
Article
Post-Collisional Cu-Au Porphyry and Associated Epithermal Mineralisation in the Eastern Mount Isa Block: A New Exploration Paradigm for NW Queensland
by Kenneth D. Collerson and David Wilson
Geosciences 2026, 16(1), 46; https://doi.org/10.3390/geosciences16010046 - 20 Jan 2026
Abstract
Post-collisional Cu-Au-Ni-Co-Pt-Pd-Sc porphyry [Duck Creek porphyry system (DCPS)] with overlying Au-Te-Bi-W-HRE epithermal mineralisation [Highway epithermal system (HES)] has been discovered in the core of the Mitakoodi anticline, southwest of Cloncurry. Xenotime and monazite geochronology indicate mineralisation occurred between ~1490 and 1530 Ma. Host [...] Read more.
Post-collisional Cu-Au-Ni-Co-Pt-Pd-Sc porphyry [Duck Creek porphyry system (DCPS)] with overlying Au-Te-Bi-W-HRE epithermal mineralisation [Highway epithermal system (HES)] has been discovered in the core of the Mitakoodi anticline, southwest of Cloncurry. Xenotime and monazite geochronology indicate mineralisation occurred between ~1490 and 1530 Ma. Host rock lithologies show widespread potassic and/or propylitic to phyllic alteration. Paragenesis of porphyry sulphides indicates early crystallisation of pyrite, followed by chalcopyrite, with bornite forming by hydrothermal alteration of chalcopyrite. Cu sulphides also show the effect of supergene oxidation alteration with rims of covellite, digenite and chalcocite. Redox conditions deduced from the V/Sc systematics indicate that the DCPS contains both highly oxidised (typical of porphyries) and reduced lithologies, typical of plume-generated tholeiitic and alkaline suites. Ni/Te and Cu/Te systematics plot within the fields defined by epithermal and porphyry deposits. Duck Creek chalcophile and highly siderophile element (Cu, MgO and Pd) systematics resemble data from porphyry mineral systems, at Cadia, Bingham Canyon, Grasberg, Skouries, Kalmakyr, Elaisite, Assarel and Medet. SAM geophysical inversion models suggest the presence of an extensive porphyry system below the HES. A progressive increase in molar Cu/Au ratios with depth from the HES to the DCPS supports this conclusion. Three metal sources contributed to the linked DCPS-HES viz., tholeiitic ferrogabbro, potassic ultramafic to mafic system and an Fe and Ca-rich alkaline system. The latter two imparted non-crustal superchondritic Nb/Ta ratios that are characteristic of many deposits in the eastern Mount Isa Block. The associated tholeiite and alkaline magmatism reflect mantle plume upwelling through a palaeo-slab window that had accreted below the eastern flank of the North Australian craton following west-verging collision by the Numil Terrane. Discovery of this linked mineral system provides a new paradigm for mineral exploration in the region. Full article
(This article belongs to the Section Structural Geology and Tectonics)
18 pages, 1390 KB  
Article
Probing the Dusty Torus of Seyfert Galaxy NGC 4151: A Multi-Band Study
by Arya Sudhakaran, Debbijoy Bhattacharya, Puthiyaveettil Shalima, Gulab Chand Dewangan and Parameshwaran Sreekumar
Galaxies 2026, 14(1), 3; https://doi.org/10.3390/galaxies14010003 - 6 Jan 2026
Viewed by 200
Abstract
Despite several efforts to investigate the accretion disk and torus, near-simultaneous broadband studies of the nuclear regions of radio-quiet AGNs remain lacking. NGC 4151, one of the closest and brightest Seyfert galaxies, provides an excellent laboratory for probing the circum-nuclear regions of AGNs. [...] Read more.
Despite several efforts to investigate the accretion disk and torus, near-simultaneous broadband studies of the nuclear regions of radio-quiet AGNs remain lacking. NGC 4151, one of the closest and brightest Seyfert galaxies, provides an excellent laboratory for probing the circum-nuclear regions of AGNs. A detailed, near-simultaneous broadband spectral study of NGC 4151 is carried out during one of its historic minimum activity states, using archival data from the Ultraviolet (UV) to the Infrared (IR) regions. We used the radiative transfer code SKIRT to model the source and to constrain the properties of the torus. We found that the observed broadband spectral energy distribution is best explained by a two-torus geometry with a polar conical shell structure. Full article
Show Figures

Figure 1

31 pages, 12879 KB  
Article
Development and Evolution of the Rattlesnake Creek Terrane, Klamath Mountains, Northern California
by Diana Urda, Kathryn Metcalf and Jennifer Diaz
Geosciences 2026, 16(1), 30; https://doi.org/10.3390/geosciences16010030 - 5 Jan 2026
Viewed by 357
Abstract
The basement of the Rattlesnake Creek terrane (RCT) in the Klamath Mountains is a mélange of metamorphosed sedimentary and igneous blocks. Recent work shows that the overlying RCT cover sequence has a North American provenance but formed after accretion to the continental margin, [...] Read more.
The basement of the Rattlesnake Creek terrane (RCT) in the Klamath Mountains is a mélange of metamorphosed sedimentary and igneous blocks. Recent work shows that the overlying RCT cover sequence has a North American provenance but formed after accretion to the continental margin, so it is unclear if the basement mélange formed exotic or endemic to North America. This study presents petrography and zircon geochronology from RCT metasedimentary blocks and crosscutting intrusions. The southernmost RCT preserves both Early Jurassic and Middle-Late Jurassic cover sequence deposits and records continental clasts and 33% pre-Mesozoic zircons at ~201 Ma, effectively none at ~191 Ma, and 79–90% from 168 to 163 Ma. During active magmatism 207–193 Ma, the RCT was receiving continental sediment, inconsistent with a distant intraoceanic arc. We interpret that the RCT subduction zone formed proximal to North America in the Late Triassic and that there was a sediment pathway to the RCT at ~201 Ma. During Middle to Late Jurassic rifting and subsequent Nevadan compression, the cover sequences were dismembered and incorporated into the mélange by tectonic and sedimentary processes. The age and provenance of metasedimentary deposits in the RCT is inconsistent with west-dipping subduction models in the Klamath Mountains region. Full article
(This article belongs to the Section Structural Geology and Tectonics)
Show Figures

Graphical abstract

17 pages, 6187 KB  
Article
Ice Accretion Forecast for Power Grids Based on Pangu Model and Machine Learning Correction: A Case Study on Late December 2021 in Xinjiang, China
by Yujie Li, Yang Yang, Meng Li, Mingguan Zhao and Xiaojing Yang
Atmosphere 2026, 17(1), 23; https://doi.org/10.3390/atmos17010023 - 25 Dec 2025
Viewed by 299
Abstract
During late December 2021, an ice accretion disaster occurred in North Xinjiang, especially in the western part. It is found that the meteorological conditions suitable for the occurrence of ice accretion disasters are when the temperature is between −14 °C and −3 °C, [...] Read more.
During late December 2021, an ice accretion disaster occurred in North Xinjiang, especially in the western part. It is found that the meteorological conditions suitable for the occurrence of ice accretion disasters are when the temperature is between −14 °C and −3 °C, the relative humidity is greater than 80%, the wind speed is between 4.5 m s−1 and 7.5 m s−1, and the pressure is between 919 hPa and 928 hPa. The ice accretion disaster is influenced by large-scale circulation, including the two-trough and one-ridge geopotential height structure in the middle troposphere and the spatially moving Ural Mountain blocking high pressure. Furthermore, using the artificial intelligence-based Pangu model and machine learning algorithms within the application of multiple linear regression and the leave-ten-out cross-validation, a skillful forecast correction model for ice accretion thickness in North Xinjiang is constructed. The prediction model has significant prediction skill for ice accretion thickness in North Xinjiang with 24 h, 48 h, and even 72 h in advance. The findings of the study can improve the timeliness of business system in the short-term and immediate forecast of ice accretion thickness, providing more reliable technical support for the ice prevention and disaster reduction of the power grids. Full article
(This article belongs to the Section Meteorology)
Show Figures

Figure 1

26 pages, 1367 KB  
Article
Supermassive Dark Stars and Their Remnants as a Possible Solution to Three Recent Cosmic Dawn Puzzles
by Cosmin Ilie, Jillian Paulin, Andreea Petric and Katherine Freese
Universe 2026, 12(1), 1; https://doi.org/10.3390/universe12010001 - 19 Dec 2025
Viewed by 1158
Abstract
The James Webb Space Telescope (JWST) has begun to revolutionize our view of the Cosmos. The discovery of Blue Monsters (i.e., ultra-compact yet very bright high-z galaxies) and the Little Red Dots (i.e., very compact dustless strong Balmer break cosmic dawn sources) pose [...] Read more.
The James Webb Space Telescope (JWST) has begun to revolutionize our view of the Cosmos. The discovery of Blue Monsters (i.e., ultra-compact yet very bright high-z galaxies) and the Little Red Dots (i.e., very compact dustless strong Balmer break cosmic dawn sources) pose significant challenges to pre-JWST era models of the assembly of first stars and galaxies. In addition, JWST data further strengthen the problem posed by the origin of the supermassive black holes that power the most distant quasars observed. Stars powered by Dark Matter annihilation (i.e., Dark Stars) can form out of primordial gas clouds during the cosmic dawn era and subsequently might grow via accretion and become supermassive. In this paper we argue that Supermassive Dark Stars (SMDSs) offer natural solutions to the three puzzles mentioned above. Full article
(This article belongs to the Special Issue Astrophysics and Cosmology at High Z)
Show Figures

Figure 1

24 pages, 5574 KB  
Article
Linking Shoreline Change, Environmental Forcings, and Sedimentological Resilience in Nourished Beaches of Cape May and Wildwood, New Jersey, USA: A Multi-Decadal Synthesis
by Divomi Balasuriya and Greg Pope
J. Mar. Sci. Eng. 2025, 13(12), 2408; https://doi.org/10.3390/jmse13122408 - 18 Dec 2025
Viewed by 274
Abstract
Beach nourishment is a widely used strategy to mitigate coastal erosion, yet its long-term geological impacts remain poorly understood. This study provides a multi-decadal synthesis of shoreline change and sedimentological evolution on the nourished beaches of Cape May and Wildwood, New Jersey, USA. [...] Read more.
Beach nourishment is a widely used strategy to mitigate coastal erosion, yet its long-term geological impacts remain poorly understood. This study provides a multi-decadal synthesis of shoreline change and sedimentological evolution on the nourished beaches of Cape May and Wildwood, New Jersey, USA. Using shoreline positions from 1991 to 2024, we identify contrasting trajectories: Wildwood exhibits ‘persistent transition’ with severe northern erosion (EPR: −10.0 m/yr) feeding southwards accretion, while Cape May demonstrates a ‘managed equilibrium’ with widespread accretion (mean EPR: +1.15 m/yr). Wave energy correlations account for less than 15% of shoreline variability, indicating natural drivers have been superseded by human sediment inputs. Direct sediment comparison shows substantial textural transformation, with median grain sizes increasing from 153 to 435 μm to 467–982 μm and sorting degrading from very well to moderately well sorted, reflecting sustained disequilibrium. These findings are synthesized into a conceptual model where nourishment initiates feedback cycles that create human-dependent morphodynamic trajectories. This study concludes that the long-term resilience of developed coasts will depend on a strategic evolution from managing ‘sand as volume’ toward stewarding ‘sediment as a system,’ where textural compatibility is a primary determinant of success. Full article
(This article belongs to the Section Marine Environmental Science)
Show Figures

Figure 1

23 pages, 4022 KB  
Review
On the Counter-Rotating Tori and Counter-Rotating Parts of the Kerr Black Hole Shadows
by Daniela Pugliese and Zdenek Stuchlík
Universe 2025, 11(12), 417; https://doi.org/10.3390/universe11120417 - 17 Dec 2025
Viewed by 346
Abstract
We review some aspects of accretion disks physics, spacetime photon shell and photon orbits, related to retrograde (counter-rotating) motion in Kerr black hole (BH) spacetimes. In this brief review, we examine the counter-rotating components of the Kerr BH shadow boundary, under [...] Read more.
We review some aspects of accretion disks physics, spacetime photon shell and photon orbits, related to retrograde (counter-rotating) motion in Kerr black hole (BH) spacetimes. In this brief review, we examine the counter-rotating components of the Kerr BH shadow boundary, under the influence of counter-rotating accretion tori, accreting flows and proto-jets (open critical funnels of matter, associated with the tori) orbiting around the central BH. We also analyze the redshifted emission arising from counter-rotating structures. Regions of the shadows and photon shell are constrained in their dependence of the BH spin and observational angle. The effects of the counter-rotating structures on these are proven to be typical of the fast-spinning BHs, and accordingly can be observed only in the restricted classes of the Kerr BH spacetimes. This review is intended as a concise guide to the main properties of counter-rotating fluxes and counter-rotating disks in relation to the photon shell and the BH shadow boundary. Our findings may serve as the basis for different theoretical frameworks describing counter-rotating accretion flows with observable imprints manifesting at the BH shadow boundary. The results can eventually enable the distinction of counter-rotating fluxes through their observable imprints, contributing to constraints on both the BH spin and the structure of counter-rotating accretion disks. In particular, photon trajectories and their impact parameters can manifest in the morphology of the BH shadow. Such features, when accessible through high-resolution imaging and spectral or polarization measurements, could provide a direct avenue for testing different theoretical models on accretion disk dynamics and their BH attractors. Full article
(This article belongs to the Collection Open Questions in Black Hole Physics)
Show Figures

Figure 1

20 pages, 22475 KB  
Article
Architectural Characterization of Meandering River Reservoirs with Dense Well Patterns: Northern Block Zhong-2, Gudao Oilfield
by Hang Yao, Lixin Wang and Liyao Tu
Appl. Sci. 2025, 15(24), 12945; https://doi.org/10.3390/app152412945 - 8 Dec 2025
Viewed by 296
Abstract
The meandering river reservoirs of the Ng3–Ng4 members of the upper Guantao Formation in northern Middle Block 2, Gudao Oilfield, exhibit sand bodies with rapid lateral variation, complex contacts, and strong heterogeneity. Previous characterization using sparse well patterns showed deviations in depicting sand [...] Read more.
The meandering river reservoirs of the Ng3–Ng4 members of the upper Guantao Formation in northern Middle Block 2, Gudao Oilfield, exhibit sand bodies with rapid lateral variation, complex contacts, and strong heterogeneity. Previous characterization using sparse well patterns showed deviations in depicting sand body boundaries and internal architecture with insufficient accuracy for optimizing development plans and tapping remaining oil. Additionally, small-scale lateral accretion mud interlayers within point bars—which are hard to trace between wells—limited fine characterization of point bar architecture. Using the high-resolution data and dense inter-well control of the study area’s dense well pattern, we traced 3–10 cm thick lateral accretion mud interlayers within point bars between wells, overcoming the challenge of characterizing thin interlayers with sparse well patterns, and dissected reservoir architecture. Results indicate the study area is dominated by meandering river deposits, with four architectural units: channels, abandoned channels, overbanks, and flood plains. Meander belts range in width from 450 to 1900 m with an average of 1420 m; point bars measure in length from 310.6 to 1754 m with an average of 1036.2 m and in width from 323.4 to 1586 m with an average of 1000.8 m. Lateral accretion mud interlayers show sub-oblique profiles, with dips of 3–6° and a thickness of 3–10 cm; individual lateral accretion bodies are 1.5–5.7 m thick and 32–255 m wide horizontally. Based on channel-point bar scale relationships, an empirical formula for quantitative characterization was established, enabling the prediction of single sand body scales in sparsely well-patterned areas to support well placement and remaining oil prediction. Combined with contact relationships of sand bodies across architectural hierarchies, the main architectural models of composite meander belts were developed. This study provides a reliable geological basis for dissecting meandering river reservoir architecture and tapping remaining oil under sparse well patterns. Full article
(This article belongs to the Section Earth Sciences)
Show Figures

Figure 1

21 pages, 9961 KB  
Article
Geochronology and Geochemistry of Early–Middle Permian Intrusive Rocks in the Southern Greater Xing’an Range, China: Constraints on the Tectonic Evolution of the Paleo-Asian Ocean
by Haihua Zhang, Xiaoping Yang, Xin Huang, Liang Qiu, Gongjian Li, Yujin Zhang, Wei Chen and Haiwei Jiao
Minerals 2025, 15(12), 1288; https://doi.org/10.3390/min15121288 - 8 Dec 2025
Viewed by 467
Abstract
The tectonic evolution of the Paleo-Asian Ocean during the Early to Middle Permian remains a key issue in understanding the geodynamic history of the Central Asian Orogenic Belt. To address this, we conducted petrological, whole-rock geochemical, zircon U–Pb geochronological, and Hf isotopic analyses [...] Read more.
The tectonic evolution of the Paleo-Asian Ocean during the Early to Middle Permian remains a key issue in understanding the geodynamic history of the Central Asian Orogenic Belt. To address this, we conducted petrological, whole-rock geochemical, zircon U–Pb geochronological, and Hf isotopic analyses of Early Permian biotite granodiorite and Middle Permian porphyritic granite from the south-central Great Xing’an Range. Zircon U–Pb dating yields ages of 273.2 ± 1.4 Ma and 264.4 ± 1.5 Ma, indicating that these intrusions emplaced during Early and Middle Permian. Geochemical analyses show that the rocks are characterized by high SiO2 and Al2O3 contents, and low MgO and CaO contents and belong to the metaluminous to weakly peraluminous series, typical of I-type granites. The rocks are enriched in light rare earth elements and large-ion lithophile elements (e.g., Rb, Ba, K), but depleted in heavy rare earth elements and high field strength elements (e.g., Nb, Ta, P, Ti), with weakly negative Eu anomalies. The Early Permian pluton exhibits low-Sr and high-Yb characteristics and thus fall in the plagioclase stability field. In contrast, Middle Permian pluton was derived from magmas generated by partial melting under high-pressure conditions and that, underwent crystal fractionation during ascent to the mid-upper crust, ultimately forming low-Sr and low-Yb type granites. All zircon εHf(t) values are positive (+4.84 to +14.87), with the corresponding two-stage Hf model ages ranging from 345 Ma to 980 Ma, indicating that the magmas were predominantly derived from juvenile crustal materials accreted during the Neoproterozoic to Phanerozoic. Considering these results, we propose that the Paleo-Asian Oceanic plate continued to subduct beneath the Songliao–Xilinhot block to the north during the Early to Middle Permian, with intense subduction and crustal thickening occurring in the Middle Permian. This suggests that the south-central segment of the Great Xing’an Range was situated in an active continental marginal setting during the Early-Middle Permian. Full article
(This article belongs to the Special Issue Selected Papers from the 7th National Youth Geological Congress)
Show Figures

Figure 1

33 pages, 13331 KB  
Article
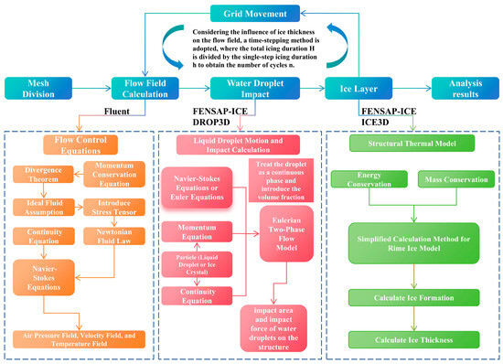
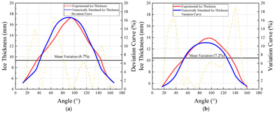
Influence of Wake Flow on the Ice Accretion Morphology and Distribution of Twin-Cylinder Structures
by Lingxin Tang, Xu Bai, Daolei Wu, Yukui Tian, Xuhao Gang and Baolong Lin
J. Mar. Sci. Eng. 2025, 13(12), 2315; https://doi.org/10.3390/jmse13122315 - 6 Dec 2025
Viewed by 288
Abstract
Ice accretion on arctic vessels and offshore platforms poses serious threats to navigation and operational safety. Existing research has primarily focused on isolated structures. This study employs a combined approach of numerical simulation and experimental validation. It systematically investigates the icing characteristics of [...] Read more.
Ice accretion on arctic vessels and offshore platforms poses serious threats to navigation and operational safety. Existing research has primarily focused on isolated structures. This study employs a combined approach of numerical simulation and experimental validation. It systematically investigates the icing characteristics of tandem twin-cylinders in wake flow fields. This configuration is common yet rarely studied in real marine environments. The model employs two identical cylinders arranged in tandem. It examines the effects of wind speed, distance, diameter, and wind direction angle on ice accretion morphology and distribution. Validation was conducted through wind tunnel tests at 5 m/s wind speed and 2.0 g/m3 liquid water content. Results demonstrate a significant shielding effect from the upstream cylinder wake. As wind speed increases, the ice mass difference between upstream and downstream cylinders widens. Ice mass shows a nonlinear relationship with distance. Minimum ice accretion on the downstream cylinder occurs at 350–450 mm distance. This results from wake pattern transition. The shielding effect exhibits strong nonlinear dependence on wind direction angle. A deviation of 8.2° increases total ice mass by 242.5%. Multivariable analysis confirms these nonlinear mechanisms persist under coupled distance–wind speed variations. This study provides the first systematic revelation of twin-cylinder icing mechanisms in wake flow fields. It offers a validated predictive tool for anti-icing design of arctic marine structures. Full article
(This article belongs to the Special Issue Advances in Marine Engineering Hydrodynamics, 2nd Edition)
Show Figures

Figure 1

14 pages, 436 KB  
Article
Jet X-Ray Properties of EXO 1846-031 During Its 2019 Outburst
by Riya Bhowmick, Sujoy Kumar Nath, Dipak Debnath and Hsiang-Kuang Chang
Universe 2025, 11(12), 398; https://doi.org/10.3390/universe11120398 - 4 Dec 2025
Viewed by 255
Abstract
The Galactic X-ray transient EXO 1846-031 was first discovered during an outburst in 1985 by the EXOSAT mission. The source remained in a quiescent state for nearly 34 years after the first outburst. The source started its second outburst on 23 July 2019. [...] Read more.
The Galactic X-ray transient EXO 1846-031 was first discovered during an outburst in 1985 by the EXOSAT mission. The source remained in a quiescent state for nearly 34 years after the first outburst. The source started its second outburst on 23 July 2019. We studied the accretion flow properties using the Two Component Advective Flow (TCAF) paradigm of this 2019 outburst. During the outburst, the source went through all the four spectral states, though, due to data constraints, it was not possible to define the date of the state transitions during the declining intermediate states. During this outburst, the black hole candidate (BHC) exhibited significant jet activity. In the TCAF solution, the model normalization is expected to remain constant for a given source. Therefore, any need for a significantly different normalization to achieve a better spectral fit suggests the presence of additional X-ray contributions from components not accounted for in the current TCAF model fit’s file. By comparing with the expected normalization, we estimate the X-ray contribution originating from jets and outflows. We further analyze the origin of the jet. Our analysis shows that, on some days, up to 92% of the total X-ray flux originates from the base of the jet itself. Full article
(This article belongs to the Special Issue New Progress of Black Hole Accretion Disk)
Show Figures

Figure 1

18 pages, 4358 KB  
Article
Investigation on Bearing Characteristics for Critical Fittings of Transmission Lines Undergoing Coupled Ice–Wind Loads
by Zhiguo Li, Guoliang Ye, Dongjia Liu, Zhiyi Liu, Xiaohui Zhang and Guizao Huang
Infrastructures 2025, 10(12), 328; https://doi.org/10.3390/infrastructures10120328 - 1 Dec 2025
Viewed by 342
Abstract
The safe and stable operation of ultra-high-voltage (UHV) transmission lines is fundamental to ensuring efficient and large-capacity power delivery. Critical fittings, as essential load-bearing components connecting towers, conductors, and insulator strings, are highly susceptible to damage under complex ice–wind conditions, thereby posing significant [...] Read more.
The safe and stable operation of ultra-high-voltage (UHV) transmission lines is fundamental to ensuring efficient and large-capacity power delivery. Critical fittings, as essential load-bearing components connecting towers, conductors, and insulator strings, are highly susceptible to damage under complex ice–wind conditions, thereby posing significant threats to grid security. To address the prevalent issues of jumper spacer breakage and conductor abrasion observed in field maintenance, a systematic finite element analysis model incorporating bundled conductors, jumper structures, and associated fittings was established. This model enabled comprehensive investigation of the effects of non-uniform ice accretion, wind loading, and ice-shedding impacts on the bearing characteristics of critical fittings. Through high-throughput computational simulations, a large-scale dataset capturing the bearing characteristics of jumper spacers was constructed. Based on this dataset, a damage risk assessment model under complex ice–wind conditions was developed using a multi-layer feedforward deep neural network (MLF-DNN). The results indicated that wind loading had a relatively minor influence on jumper spacers, whereas ice accretion and ice-shedding impacts were the dominant factors leading to damage. In particular, non-uniform ice-shedding readily induced unbalanced forces among sub-conductors, significantly increasing stress levels in jumper spacers and resulting in substantial risk. The proposed risk assessment model demonstrated high predictive accuracy and strong generalization capability, providing effective support for rapid evaluation and early warning of damage to fittings in UHV transmission lines under complex ice–wind environments. Full article
(This article belongs to the Special Issue Advanced Technologies for Climate Resilient Infrastructures)
Show Figures

Figure 1

23 pages, 11200 KB  
Article
Geochronology and Geochemistry of the Neoarchean Metabasalt in the Southern Liaoning Province, North China Craton: Implications on Regional Crustal Evolution
by Jialin Yang, Fulai Liu, Wei Wang, Pinghua Liu, Fang Wang, Jia Cai and Hong Yang
Minerals 2025, 15(12), 1231; https://doi.org/10.3390/min15121231 - 21 Nov 2025
Viewed by 438
Abstract
The development of the continental crust during the Archean era is one of the key issues of geoscience. Determining the geological nature of the Archean terrane of the southern Liaoning Province (SLP) is fundamental to decipher the tectonic framework of the eastern North [...] Read more.
The development of the continental crust during the Archean era is one of the key issues of geoscience. Determining the geological nature of the Archean terrane of the southern Liaoning Province (SLP) is fundamental to decipher the tectonic framework of the eastern North China Craton (NCC) from the late Neoarchean to Paleoproterozoic. The Archean assemblage of the SLP is composed of metabasalt, deformed diorite, TTG, and granite. Zircon U-Pb and Lu-Hf data constrain that the metabasalt formed at 2.52 Ga and was metamorphosed at 2.49 Ga. Dioritic rocks, TTG (tonalite-trondhjemite-granodiorite) and granite formed between 2.53 and 2.48 Ga. More than 85% of analyzed zircon grains yield εHf(t) values intermediate between coeval CHUR and depleted mantle (DM). Their single-stage (TDM) Hf model ages are dominantly between 2.90 and 2.58 Ga with a peak at 2.76–2.66 Ga, suggesting that the Archean assemblages of the SLP were derived from short-lived crustal sources with limited contributions from older materials. Geochemistry and zircon Lu-Hf systems indicate that these metamafic rocks have N-MORB and island arc-like tholeiitic affinities. Similar basaltic associations were identified from the Wutai greenstone belt. Intra-oceanic subduction and back arc basin extension can be ascribed to the generation of associated MORB-like and arc-related basalt. Along with the closure of the SLP back arc basin, an unknown terrane accreted to the south of the Longgang block at the end of the Neoarchean. Full article
(This article belongs to the Special Issue Selected Papers from the 7th National Youth Geological Congress)
Show Figures

Figure 1

15 pages, 402 KB  
Article
A Model for the Accretion Disk of Hercules X-1 from 35-Day Cycle Lightcurves
by Denis Leahy and Samuel Frost
Universe 2025, 11(12), 381; https://doi.org/10.3390/universe11120381 - 21 Nov 2025
Viewed by 308
Abstract
The binary Hercules X-1 exhibits a 35-day brightness X-ray cycle, including a Main High state and a Short High state which are separated by two Low states. The cycle is due to blockage of the neutron star by a rotating twisted disk. The [...] Read more.
The binary Hercules X-1 exhibits a 35-day brightness X-ray cycle, including a Main High state and a Short High state which are separated by two Low states. The cycle is due to blockage of the neutron star by a rotating twisted disk. The best available 35-day average lightcurves are from Swift/BAT observations in the 15–50 keV band and from MAXI observations in the 2–20 keV band. The current work fits both Swift/BAT and MAXI 35-day X-ray lightcurves using a disk plus corona model. The parameters of the disk and its corona from the two data sets are shown to be consistent with each other. The fit of two different data sets with the same model verifies the reliabilty of the disk plus corona model and its parameter values. We derive the scaling of the model disk radius to physical disk radius and use that to find that the physical corona inner radius is very small ∼100 km, and consistent with the estimate from pulse shape analysis. The system inclination of 85.12±0.24° is consistent with the recent value derived from MAXI observations alone, and much improved compared to earlier estimates (∼82 to 88°). This results in significantly improved binary system parameters, including neutron star mass, companion mass and companion radius. Full article
(This article belongs to the Section Compact Objects)
Show Figures

Figure 1

Back to TopTop