Sign in to use this feature.

Years

Between: -

Subjects

remove_circle_outline
remove_circle_outline
remove_circle_outline
remove_circle_outline
remove_circle_outline
remove_circle_outline
remove_circle_outline
remove_circle_outline
remove_circle_outline

Journals

Article Types

Countries / Regions

Search Results (25)

Search Parameters:
Keywords = US-EPA drinking water standards

Order results
Result details
Results per page
Select all
Export citation of selected articles as:
39 pages, 3868 KB  
Article
Analysis of Trihalomethanes in Drinking Water Distribution Lines and Assessment of Their Carcinogenic Risk Potentials
by Kadir Özdemir and Nizamettin Özdoğan
Sustainability 2025, 17(17), 7618; https://doi.org/10.3390/su17177618 - 23 Aug 2025
Viewed by 2467
Abstract
This study examined the spatial and seasonal variations of trihalomethanes (THMs) and estimated the health risks associated with THM exposure in drinking water through various pathways. Water samples were collected from 14 distribution districts connected to the Ulutan Distribution System (UDS) and the [...] Read more.
This study examined the spatial and seasonal variations of trihalomethanes (THMs) and estimated the health risks associated with THM exposure in drinking water through various pathways. Water samples were collected from 14 distribution districts connected to the Ulutan Distribution System (UDS) and the Süleyman Bey Distribution System (SDS), which supply drinking water to Zonguldak Province, Türkiye. THMs were measured using the USEPA 551 method. The median total trihalomethanes (TTHMs) ranged from 41 μg/L to 71 μg/L, which is below the Turkish drinking water standard of 100 μg/L. Chloroform (TCM) was the most common trihalomethane in all distribution networks in UDS and SDS. On the other hand, pre-ozonation oxidation after chlorination in SDS disinfection caused the contribution of brominated THMs (62%) to THM formation to be higher than that of TCM (38%). The study on cancer risk reveals that ingestion (96%) poses the greatest risk of the investigated pathways, followed by dermal contact (3.95%), while inhalation has been found to have a negligible effect. The highest and lowest median TTHMs occurred during winter and summer. The findings of the study show that the distribution areas of Kozlu, Ömerli, Topçalı, and Uzunçayır, for both genders, exhibit an unacceptable cancer risk level according to the criteria established by the USEPA (>10−4). Bromodichloromethane (BDCM) and chlorodibromomethane (DBCM) are the main contributors to cancer risk for males and females in UDS and SDS. The hazard index (HI) data indicated that the HI value remained below one for both UDS and SDS. Sensitivity analysis of THMs demonstrated that exposure frequency (EF) was the primary parameter contributing to the maximum potential impact on the total cancer risk exposure frequency (EF), followed by body weight (BW) and exposure duration (ED). Further, the results provide valuable information for health departments and water management authorities, enabling the formulation of more specific and efficient policies to minimise THM levels in drinking water distribution networks. Full article
Show Figures

Figure 1

18 pages, 2122 KB  
Article
Operation of a Novel, Gravity-Powered, Small-Scale, Surface Water Treatment Plant and Performance Comparison with a Conventional Mechanized Treatment Plant
by Marcin Sawczuk, Przemysław Kowal and Ruth E. Richardson
Appl. Sci. 2025, 15(12), 6668; https://doi.org/10.3390/app15126668 - 13 Jun 2025
Viewed by 1347
Abstract
This paper presents a novel small-scale system for drinking water treatment from surface waters, designed to rely on gravity as the only source of energy driving the treatment process. The pilot-scale setup, designed for a flow rate of 0.5 L/s, was tested at [...] Read more.
This paper presents a novel small-scale system for drinking water treatment from surface waters, designed to rely on gravity as the only source of energy driving the treatment process. The pilot-scale setup, designed for a flow rate of 0.5 L/s, was tested at the Cornell University Water Filtration Plant (CWFP) for a total period of 5 months of operation. The experiments evaluated the influence of selected process parameters on system performance. The identified best operation practices were used to complete a comparative study against CWFP’s full-scale treatment process and to conduct a performance assessment in the context of various legislative landscapes. The objective of the work was to determine both the advantages and disadvantages of the proposed technology over established solutions. Over the study period, the average turbidity of the produced water was equal to 0.54 NTU. The pilot complied with the United States Environmental Protection Agency (US EPA) turbidity standard of <0.3 NTU 47.1% of the time and <1 NTU for 89.9% of the time, thus falling short of the standard of <0.3 NTU 95% of the time and <1 NTU 100% of the time. For 99.5% of the time, it complied with the World Health Organization turbidity guideline of <5 NTU for chlorination treatment. The benchmark conventional system outperformed the tested prototype, complying with the US EPA standards for the entire duration of the study. The tested process also generated a waste stream, which accounted on average for more than 10% of the total raw water volume. Full article
(This article belongs to the Special Issue New Approaches to Water Treatment: Challenges and Trends)
Show Figures

Figure 1

25 pages, 4300 KB  
Review
A Review of the Most Concerning Chemical Contaminants in Drinking Water for Human Health
by Yasemin Jurczynski, Robson Passos and Luiza C. Campos
Sustainability 2024, 16(16), 7107; https://doi.org/10.3390/su16167107 - 19 Aug 2024
Cited by 25 | Viewed by 12928
Abstract
Chemical contaminants in drinking water, including arsenic, nitrate, and fluoride, pose significant health risks, particularly in low-income countries with inadequate water management infrastructure. This study aims to identify the most hazardous chemical contaminants, evaluate global drinking water quality, and assess health impacts based [...] Read more.
Chemical contaminants in drinking water, including arsenic, nitrate, and fluoride, pose significant health risks, particularly in low-income countries with inadequate water management infrastructure. This study aims to identify the most hazardous chemical contaminants, evaluate global drinking water quality, and assess health impacts based on a comprehensive literature review guided by the PRISMA method. The findings revealed that arsenic concentrations in Romania, Pakistan, and India exceed the WHO and USEPA safety thresholds, with maximum levels reaching 130.3 µg/L. Nitrate levels in India and Morocco were found to be as high as 844 mg/L and 270.1 mg/L, respectively, far surpassing safety standards. Fluoride contamination in Pakistan reached 30 mg/L, well above the recommended limits. These contaminants are primarily sourced from industrial effluents, agricultural runoff, and improper waste disposal. The study highlights significant regional disparities, with 67% of reports from low-income countries and 88% of contamination cases linked to groundwater sources. The results underscore the urgent need for improved monitoring, stricter regulations, and effective management strategies to mitigate health risks, particularly in vulnerable populations such as infants and children. Governments and international bodies must prioritise addressing chemical contamination to protect public health. Full article
Show Figures

Figure 1

15 pages, 6408 KB  
Article
Assessment of Radon Concentration and Health Hazards in Natural Spring Water of a Sub-Himalayan District
by Ayesha Sajid, Mavia Anjum, Hannan Younis, Moustafa Salouci, Khurram Mehboob and Abd Haj Ismail
Atmosphere 2024, 15(8), 940; https://doi.org/10.3390/atmos15080940 - 6 Aug 2024
Cited by 5 | Viewed by 3651
Abstract
The objective of this study was to evaluate the extent of radon contamination in twenty-six drinking water samples from natural springs were collected from Dhirkot Azad Kashmir, along with four bottled mineral water samples. Radon gas escapes from the earth’s crust due to [...] Read more.
The objective of this study was to evaluate the extent of radon contamination in twenty-six drinking water samples from natural springs were collected from Dhirkot Azad Kashmir, along with four bottled mineral water samples. Radon gas escapes from the earth’s crust due to uranium ores and diffuses into the atmosphere. This study assessed the levels of radon concentration, the yearly effective radiation dose, and carcinogenic risk from radon exposure in drinking water samples. The radon concentration varied from 0.28 to 30.25 Bq/L. The mean radon concentration of all samples was found to be 7.86 ± 2.3 Bq/L. The radon concentrations in bottled drinking water were found to be lower than those in natural springs. The statistical and GIS analyses included the use of interpolation and Pearson’s correlation matrix. Seven samples had radon concentration that surpassed the standard limit established by the US-EPA, which is 11 Bq/L. The average annual effective dose from inhalation and ingestion was found to be lower than the value (0.1 mSv/y) provided by the WHO, but for some natural spring water samples, it exceeded the risk limit. The cancer risk revealed that 40% of the samples had an elevated lifetime cancer risk from radon exposure. Overall, the majority of the results obtained aligned with the worldwide guidelines established by the US-EPA. However, there were a few instances where the limits were exceeded, and constant monitoring is recommended. This study establishes a baseline for radon concentration in the area and provides a basis for future studies. Full article
(This article belongs to the Special Issue New Insights in the Modeling of Earth and Planetary Atmospheres)
Show Figures

Figure 1

16 pages, 1612 KB  
Opinion
Arsenic Contamination Needs Serious Attention: An Opinion and Global Scenario
by Abhijnan Bhat, Kamna Ravi, Furong Tian and Baljit Singh
Pollutants 2024, 4(2), 196-211; https://doi.org/10.3390/pollutants4020013 - 8 Apr 2024
Cited by 43 | Viewed by 11318
Abstract
Arsenic (As) contamination is a serious global concern, polluting our natural resources, including water and soil, and posing a danger to the environment and public health. Arsenic is present in the groundwater of several countries and this contaminated water is used for irrigation, [...] Read more.
Arsenic (As) contamination is a serious global concern, polluting our natural resources, including water and soil, and posing a danger to the environment and public health. Arsenic is present in the groundwater of several countries and this contaminated water is used for irrigation, drinking, and food preparation, which poses the greatest threat to public health. Nearly 106 countries are affected by groundwater arsenic contamination and an estimated 230 million individuals worldwide are exposed to its adverse health effects, including increased cancer risks, associated cardiovascular disease and diabetes, skin lesions, neurological effects, kidney damage, and foetal or cognitive-development-related complications. Arsenic is highly toxic and ranked first in the priority list of ATSDR (Agency for Toxic Substances and Disease Registry, 2022) and among the 10 chemicals of major public health concern on the World Health Organization (WHO) list. The maximum permissible level of arsenic in drinking water has been established at 10 µg/L by WHO, as well as by the Environmental Protection Agency (EPA) and European Union (EU). These regulatory standards underscore the gravity of the problem, and actions to prioritise the development of effective detection, mitigation strategies, and collaborative initiatives are necessary. This opinion article covers (i) arsenic footprints—global scenario and impact, (ii) awareness and education and (iii) mitigation approaches (detection and removal strategies) and future perspectives, which collectively will help in controlling and preventing As contamination of our global water resources. Regulatory and legislative bodies and development agencies are crucial for raising awareness and countering this alarming concern by implementing collaborative actions to protect our environment and public health and to provide safe drinking water for all. Full article
(This article belongs to the Section Water Pollution)
Show Figures

Graphical abstract

30 pages, 8751 KB  
Article
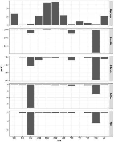
Effective Management Changes to Reduce Halogens, Sulfate, and TDS in the Monongahela River Basin, 2009–2019
by Joseph W. Kingsbury, Rachel Spirnak, Melissa O’Neal and Paul Ziemkiewicz
Water 2023, 15(4), 631; https://doi.org/10.3390/w15040631 - 6 Feb 2023
Viewed by 3620
Abstract
The Monongahela River Basin has an extensive history of fossil fuel development, including coal mining and natural gas extraction. In late summer 2008, total dissolved solids (TDS) concentrations exceeding the United States Environmental Protection Agency′s (EPA) secondary drinking water standards were detected. After [...] Read more.
The Monongahela River Basin has an extensive history of fossil fuel development, including coal mining and natural gas extraction. In late summer 2008, total dissolved solids (TDS) concentrations exceeding the United States Environmental Protection Agency′s (EPA) secondary drinking water standards were detected. After determining the source, a voluntary discharge management plan (VDMP) was developed by the West Virginia Water Research Institute (WVWRI) and implemented by the coal industry (2010). Additional remediation actions included Pennsylvania’s prohibition of produced wastewater in publicly owned treatment facilities (2011) and construction of a reverse osmosis treatment facility (2013). We used a locally weighted polynomial regression in conjunction with a segmented regression to assess the discharge and concentration trends/changepoints for bromide, chloride, sulfate, and total dissolved solids at various locations relative to the three remedial actions. We detected significant (α < 0.05) positive trends for discharge and significant negative trends for bromide, chloride, sulfate, and total dissolved solids. In conjunction, we also detected 1–4 changepoints within each model. Additionally, a linear mixed effects model containing discharge and remedial actions was used to measure the effectiveness of each remediation action in reducing TDS over time. Of the three remedial actions, the VDMP by itself was effective in maintaining river sulfate and TDS levels below the secondary drinking water standards (−0.12, p-value = 0.002). The combination of the VDMP with Pennsylvania’s produced water prohibition (−0.16, p-value < 0.001) and the combination of the VDMP with the reverse osmosis treatment facility (−0.19, p-value < 0.001) were also effective. The use of all three remedial actions produced the strongest effect (−0.37, p-value < 0.001) Since the implementation of these changes, primarily the VDMP which encompasses most of the watershed, TDS in the Monongahela has not exceeded the EPA′s secondary drinking water standards. Future management decisions should include efforts to further expand the VDMP and to monitor changes in land use or severe changes in discharge. Full article
(This article belongs to the Section Water Quality and Contamination)
Show Figures

Figure 1

17 pages, 3142 KB  
Article
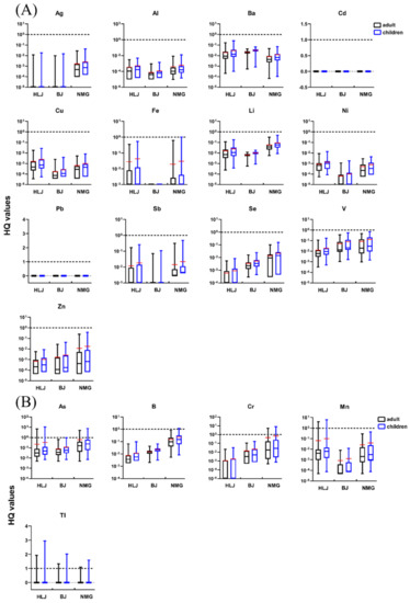
Occurrence and Health Risks of Heavy Metals in Drinking Water of Self-Supplied Wells in Northern China
by Miao Bai, Can Zhang, Yuchao Bai, Tianyi Wang, Shaojuan Qu, Hongjuan Qi, Minglu Zhang, Chaohong Tan and Chuanfu Zhang
Int. J. Environ. Res. Public Health 2022, 19(19), 12517; https://doi.org/10.3390/ijerph191912517 - 30 Sep 2022
Cited by 14 | Viewed by 2739
Abstract
Self-supplied wells, an important water resource in remote and scattered regions, are commonly deteriorated by environmental pollution and human activity. In this study, 156 self-supplied well-water samples were collected from remote and scattered areas of Inner Mongolia (NMG), Heilongjiang (HLJ), and the suburbs [...] Read more.
Self-supplied wells, an important water resource in remote and scattered regions, are commonly deteriorated by environmental pollution and human activity. In this study, 156 self-supplied well-water samples were collected from remote and scattered areas of Inner Mongolia (NMG), Heilongjiang (HLJ), and the suburbs of Beijing (BJ) in Northern China. Twenty-four heavy metals were identified by using the inductively coupled plasma-mass spectrometry (ICP-MS) and inductively coupled plasma-optical emission spectrometry (ICP-OES), and the associated human health risks were assessed by using standards of the US Environmental Protection Agency (US EPA). The concentrations of four heavy metals (As, Fe, Mn, and Tl) in HLJ, one heavy metal (Tl) in BJ, and ten heavy metals (Al, As, B, Cr, Fe, Mn, Mo, Se, Tl, and Zn) in NMG exceeded the limits set by China or the World Health Organization (WHO). The total carcinogenic risk (TCR) and total non-carcinogenic risk (THQ) exceeding set limits mainly occurred in NMG, compared to HLJ and BJ. Moreover, As accounted for 97.87% and 60.06% of the TCR in HLJ and BJ, respectively, while Cr accounted for 70.83% of the TCR in NMG. The TCR caused by Cd in all three areas had a negligible hazard (<10−4). As accounted for 51.11%, 32.96%, and 40.88% of the THQ in HLJ, BJ, and NMG, respectively. According to the results of the principal component analysis, heavy metals in well water from HLJ and NMG mainly originated from mixed natural processes and anthropogenic sources, whereas, in BJ, most heavy metals probably originated from natural sources. In the future, long-term monitoring of heavy metals in water from self-supplied wells should be conducted for an extensive range of well-water sites, and well water with high As contamination should be monitored more and fully assessed before being used as a drinking-water source. Full article
Show Figures

Figure 1

18 pages, 1778 KB  
Article
Geospatial Assessment of Karst Spring Water Quality in Northeast Tennessee, USA
by Lukman Fashina, Ingrid Luffman, T. Andrew Joyner and Arpita Nandi
Geosciences 2022, 12(8), 303; https://doi.org/10.3390/geosciences12080303 - 9 Aug 2022
Cited by 6 | Viewed by 3936
Abstract
Karst springs are an essential source of private water supply for about 10% of households in Tennessee. However, the water quality of these springs is unmonitored and unregulated even though many springs are highly productive yet vulnerable to contamination. This study assesses spatial [...] Read more.
Karst springs are an essential source of private water supply for about 10% of households in Tennessee. However, the water quality of these springs is unmonitored and unregulated even though many springs are highly productive yet vulnerable to contamination. This study assesses spatial patterns in the water quality of roadside springs in northeast Tennessee. Karst spring water samples collected from 50 springs were assessed using EPA Standard methods for pathogens, nutrients, radon, and physicochemical parameters. From statistical and spatial analyses, all but five samples contained E. coli, while all samples contained fecal coliform. High E. coli was spatially clustered (Local Moran’s I = 0.177, pseudo p-value = 0.012) in regions of high agricultural land use, resulting in a fecal contamination hot spot on the border of Washington and Sullivan Counties, Tennessee. Radon concentrations exceeded the 300 pCi/L proposed MCL in 29 (58%) of springs, with one spring in Unicoi County exceeding 1000 pCi/L. A radon hot spot was identified in northern Washington County (Local Moran’s I = 0.160, pseudo p-value = 0.014). Cokriging of E. coli with land use and radon with distance to mapped fault did not improve interpolation models for either parameter. Other parameters, including nitrate, pH, and total dissolved solids, were within recommended ranges for drinking water. This snapshot of spring water quality status identifies areas of poor spring water quality of which spring water users in the region should be aware, and establishes the need for longitudinal sampling of spring water quality in contamination hot spots. Full article
(This article belongs to the Special Issue Karst Unsaturated Zone)
Show Figures

Figure 1

12 pages, 530 KB  
Article
Bottled and Well Water Quality in a Small Central Appalachian Community: Household-Level Analysis of Enteric Pathogens, Inorganic Chemicals, and Health Outcomes in Rural Southwest Virginia
by Alasdair Cohen, Md Rasheduzzaman, Amanda Darling, Leigh-Anne Krometis, Marc Edwards, Teresa Brown, Tahmina Ahmed, Erin Wettstone, Suporn Pholwat, Mami Taniuchi and Elizabeth T. Rogawski McQuade
Int. J. Environ. Res. Public Health 2022, 19(14), 8610; https://doi.org/10.3390/ijerph19148610 - 15 Jul 2022
Cited by 15 | Viewed by 5281
Abstract
Consumption of unsafe drinking water is associated with a substantial burden of disease globally. In the US, ~1.8 million people in rural areas lack reliable access to safe drinking water. Our objective was to characterize and assess household-level water sources, water quality, and [...] Read more.
Consumption of unsafe drinking water is associated with a substantial burden of disease globally. In the US, ~1.8 million people in rural areas lack reliable access to safe drinking water. Our objective was to characterize and assess household-level water sources, water quality, and associated health outcomes in Central Appalachia. We collected survey data and water samples (tap, source, and bottled water) from consenting households in a small rural community without utility-supplied water in southwest Virginia. Water samples were analyzed for physicochemical parameters, total coliforms, E. coli, nitrate, sulfate, metals (e.g., arsenic, cadmium, lead), and 30+ enteric pathogens. Among the 69% (n = 9) of households that participated, all had piped well water, though 67% (n = 6) used bottled water as their primary drinking water source. Total coliforms were detected in water samples from 44.4% (n = 4) of homes, E. coli in one home, and enteric pathogens (Aeromonas, Campylobacter, Enterobacter) in 33% (n = 3) of homes. Tap water samples from 11% (n = 1) of homes exceeded the EPA MCL for nitrate, and 33% (n = 3) exceeded the EPA SMCL for iron. Among the 19 individuals residing in study households, reported diarrhea was 25% more likely in homes with measured E. coli and/or specific pathogens (risk ratio = 1.25, cluster-robust standard error = 1.64, p = 0.865). Although our sample size was small, our findings suggest that a considerable number of lower-income residents without utility-supplied water in rural areas of southwest Virginia may be exposed to microbiological and/or chemical contaminants in their water, and many, if not most, rely on bottled water as their primary source of drinking water. Full article
Show Figures

Figure 1

25 pages, 1182 KB  
Review
Detection of Cryptosporidium spp. and Giardia spp. in Environmental Water Samples: A Journey into the Past and New Perspectives
by Marie-Stéphanie Fradette, Alexander I. Culley and Steve J. Charette
Microorganisms 2022, 10(6), 1175; https://doi.org/10.3390/microorganisms10061175 - 7 Jun 2022
Cited by 30 | Viewed by 10203
Abstract
Among the major issues linked with producing safe water for consumption is the presence of the parasitic protozoa Cryptosporidium spp. and Giardia spp. Since they are both responsible for gastrointestinal illnesses that can be waterborne, their monitoring is crucial, especially in water sources [...] Read more.
Among the major issues linked with producing safe water for consumption is the presence of the parasitic protozoa Cryptosporidium spp. and Giardia spp. Since they are both responsible for gastrointestinal illnesses that can be waterborne, their monitoring is crucial, especially in water sources feeding treatment plants. Although their discovery was made in the early 1900s and even before, it was only in 1999 that the U.S. Environmental Protection Agency (EPA) published a standardized protocol for the detection of these parasites, modified and named today the U.S. EPA 1623.1 Method. It involves the flow-through filtration of a large volume of the water of interest, the elution of the biological material retained on the filter, the purification of the (oo)cysts, and the detection by immunofluorescence of the target parasites. Since the 1990s, several molecular-biology-based techniques were also developed to detect Cryptosporidium and Giardia cells from environmental or clinical samples. The application of U.S. EPA 1623.1 as well as numerous biomolecular methods are reviewed in this article, and their advantages and disadvantages are discussed guiding the readers, such as graduate students, researchers, drinking water managers, epidemiologists, and public health specialists, through the ever-expanding number of techniques available in the literature for the detection of Cryptosporidium spp. and Giardia spp. in water. Full article
(This article belongs to the Special Issue Molecular Epidemiology and Diagnosis of Parasitic Zoonosis)
Show Figures

Figure 1

17 pages, 387 KB  
Review
Per- and Polyfluoroalkyl Substances (PFAS): Significance and Considerations within the Regulatory Framework of the USA
by Blake Langenbach and Mark Wilson
Int. J. Environ. Res. Public Health 2021, 18(21), 11142; https://doi.org/10.3390/ijerph182111142 - 23 Oct 2021
Cited by 73 | Viewed by 11744
Abstract
Per- and polyfluoroalkyl substances (PFAS) are an emerging environmental crisis. Deemed forever chemicals, many congeners bioaccumulate and are incredibly persistent in the environment due to the presence of the strong carbon-fluorine covalent bonds. Notable PFAS compounds include perfluorooctanesulfonic acid (PFOS), perfluorooctanoic acid [...] Read more.
Per- and polyfluoroalkyl substances (PFAS) are an emerging environmental crisis. Deemed forever chemicals, many congeners bioaccumulate and are incredibly persistent in the environment due to the presence of the strong carbon-fluorine covalent bonds. Notable PFAS compounds include perfluorooctanesulfonic acid (PFOS), perfluorooctanoic acid (PFOA), and GenX. Robust toxicological knowledge exists for these substances, but regulatory decisions based on this knowledge has fallen behind. The United States Environmental Protection Agency (EPA) has addressed this issue with the PFAS Action Plan and EPA Council on PFAS, but the regulatory framework is severely lacking. Currently, no federal regulations or standards exist. Many occupational and non-occupational human cohorts exist that can lend knowledge on the environmental implications of PFAS and associated health effects. Occupationally, firefighters face significant exposure risks due to use of PFAS containing aqueous film-forming foams (AFFFs) and personal protective equipment contamination. Non-occupationally, wastewater discharge in North Carolina led to chronic and widespread residential exposure to GenX via drinking water contamination. This public health review seeks to convey the current and future significance of PFAS as an environmental contaminate, to lend considerations on regulatory frameworks within the USA, and to help guide and promote the need for future epidemiological studies in order to tackle this environmental emergency. While the PFAS Action Plan creates a scientific and regulatory foundation, it is important to take these lessons and apply them to future environmental health issues. Full article
28 pages, 1097 KB  
Review
An Overview of Per- and Polyfluoroalkyl Substances (PFAS) in the Environment: Source, Fate, Risk and Regulations
by Ziyad Abunada, Motasem Y. D. Alazaiza and Mohammed J. K. Bashir
Water 2020, 12(12), 3590; https://doi.org/10.3390/w12123590 - 21 Dec 2020
Cited by 276 | Viewed by 47239
Abstract
The current article reviews the state of art of the perfluoroalkyl and polyfluoroalkyl substances (PFASs) compounds and provides an overview of PFASs occurrence in the environment, wildlife, and humans. This study reviews the issues concerning PFASs exposure and potential risks generated with a [...] Read more.
The current article reviews the state of art of the perfluoroalkyl and polyfluoroalkyl substances (PFASs) compounds and provides an overview of PFASs occurrence in the environment, wildlife, and humans. This study reviews the issues concerning PFASs exposure and potential risks generated with a focus on PFAS occurrence and transformation in various media, discusses their physicochemical characterization and treatment technologies, before discussing the potential human exposure routes. The various toxicological impacts to human health are also discussed. The article pays particular attention to the complexity and challenging issue of regulating PFAS compounds due to the arising uncertainty and lack of epidemiological evidence encountered. The variation in PFAS regulatory values across the globe can be easily addressed due to the influence of multiple scientific, technical, and social factors. The varied toxicology and the insufficient definition of PFAS exposure rate are among the main factors contributing to this discrepancy. The lack of proven standard approaches for examining PFAS in surface water, groundwater, wastewater, or solids adds more technical complexity. Although it is agreed that PFASs pose potential health risks in various media, the link between the extent of PFAS exposure and the significance of PFAS risk remain among the evolving research areas. There is a growing need to address the correlation between the frequency and the likelihood of human exposure to PFAS and the possible health risks encountered. Although USEPA (United States Environmental Protection Agency) recommends the 70 ng/L lifetime health advisory in drinking water for both perfluorooctane sulfonate (PFO) perfluorooctanoic acid (PFOA), which is similar to the Australian regulations, the German Ministry of Health proposed a health-based guidance of maximum of 300 ng/L for the combination of PFOA and PFOS. Moreover, there are significant discrepancies among the US states where the water guideline levels for the different states ranged from 13 to 1000 ng L−1 for PFOA and/or PFOS. The current review highlighted the significance of the future research required to fill in the knowledge gap in PFAS toxicology and to better understand this through real field data and long-term monitoring programs. Full article
(This article belongs to the Special Issue Wastewater Treatment: Current and Future Techniques)
Show Figures

Figure 1

12 pages, 625 KB  
Article
Physicochemical Characterization of Horizontal Directional Drilling Residuals
by Joshua Daniel, Chad Penn, João Antonangelo and Hailin Zhang
Sustainability 2020, 12(18), 7707; https://doi.org/10.3390/su12187707 - 18 Sep 2020
Cited by 3 | Viewed by 2682
Abstract
Horizontal directional drilling (HDD) is a trenchless technology mainly used for the installation of gas, sewer lines, and fiber optic cables. Spent HDD fluid is a by-product of the boring process. However, little is known of its constituency, although the land application of [...] Read more.
Horizontal directional drilling (HDD) is a trenchless technology mainly used for the installation of gas, sewer lines, and fiber optic cables. Spent HDD fluid is a by-product of the boring process. However, little is known of its constituency, although the land application of spent HDD residuals would be an economical and less time-consuming method of disposal. Physicochemical analysis of spent HDD residuals from broad geographic regions was conducted to determine if the land application would be an environmentally safe option for disposal. Fifty-eight HDD samples were collected from 26 states throughout the United States. After separation of the liquid and solid portion, the materials were assessed for carbon (C), nitrogen (N), plant nutrients, soluble and total trace metals, total dissolved solids, sodium adsorption ratio (SAR), and potential “leachable metals”. All trace metal concentrations in the digested solid portion were well below the limits for biosolids set by the EPA 40 Part 503 rule for land application. Metal concentrations did not exceed the limits of drinking water standards. Besides the total amount of solids, there was nothing chemically limiting HDD residuals from land application. However, if boring through soil with suspected contamination, testing the residual before the application is recommended. Full article
(This article belongs to the Section Sustainable Management)
Show Figures

Figure 1

16 pages, 977 KB  
Article
Proposal of New Health Risk Assessment Method for Deficient Essential Elements in Drinking Water—Case Study of the Slovak Republic
by Stanislav Rapant, Veronika Cvečková, Edgar Hiller, Dana Jurkovičová, František Kožíšek and Beáta Stehlíková
Int. J. Environ. Res. Public Health 2020, 17(16), 5915; https://doi.org/10.3390/ijerph17165915 - 14 Aug 2020
Cited by 5 | Viewed by 4348
Abstract
The US EPA health risk assessment method is currently widely used to assess human health risks for many environmental constituents. It is used for risk assessment from the exposure to various contaminants exceeding tolerable or safe reference doses, determined e.g., for drinking water, [...] Read more.
The US EPA health risk assessment method is currently widely used to assess human health risks for many environmental constituents. It is used for risk assessment from the exposure to various contaminants exceeding tolerable or safe reference doses, determined e.g., for drinking water, soil, air and food. It accepts widely that excess contents of non-essential elements (e.g., As, Pb or Sb) in environmental compartments represent a general risk to human health. However, contrary to toxic trace elements, deficient contents of essential (biogenic) elements e.g., F, I, Se, Zn, Fe, Ca or Mg may represent even higher health risk. Therefore, we propose to extend the human health risk assessment by calculating the health risk for deficient content and intake of essential elements, and to introduce the terms Average Daily Missing Dose (ADMD), Average Daily Required Dose (ADRD) and Average Daily Accepted Dose (ADAD). We propose the following equation to calculate the Hazard Quotient (HQ) of health risk from deficient elements: HQd = ADRD/ADAD. At present, there are no reference concentrations or doses of essential elements in each environmental compartment in world databases (Integrated Risk Information System IRIS, The Risk Assessment Information System RAIS). ADRD and ADMD can be derived from different regulatory standards or guidelines (if they exist) or calculated from actual regional data on the state of population health and content of essential elements in the environment, e.g., in groundwater or soil. This methodology was elaborated and tested on inhabitants of the Slovak Republic supplied with soft drinking water with an average Mg content of 5.66 mg·L−1. The calculated ADMD of Mg for these inhabitants is 0.314 mg·kg−1·day−1 and HQd is equal to 2.94, indicating medium risk of chronic diseases. This method extending traditional health risk assessment is the first attempt to quantify deficient content of essential elements in drinking water. It still has some limitations but also has potential to be further developed and refined through its testing in other countries. Full article
(This article belongs to the Section Environmental Health)
Show Figures

Figure 1

14 pages, 1690 KB  
Article
Physicochemical and Bacteriological Quality of Public Swimming Pools in the Tamale Metropolis, Ghana
by Umar Farouk Mustapha, Seth Mensah Abobi and Gerard Quarcoo
J 2020, 3(2), 236-249; https://doi.org/10.3390/j3020018 - 31 May 2020
Cited by 5 | Viewed by 5813
Abstract
The study focused on the physicochemical and bacteriological quality of public swimming pools in the Tamale Metropolis. Physicochemical properties such as pH, temperature, and conductivity, and bacteria counts—including total coliform, faecal coliform, Escherichia coli (E. coli), Staphylococcus aureus, and total heterotrophic [...] Read more.
The study focused on the physicochemical and bacteriological quality of public swimming pools in the Tamale Metropolis. Physicochemical properties such as pH, temperature, and conductivity, and bacteria counts—including total coliform, faecal coliform, Escherichia coli (E. coli), Staphylococcus aureus, and total heterotrophic bacteria—were analyzed for their conformity with required health standards. The results obtained were analyzed using Student t test and compared with World Health Organization (WHO) and Environmental Protection Agency (EPA) standards for safe recreational and drinking water. The highest and the lowest temperatures were recorded in April (32.53 °C) and February (28.16 °C), respectively. The lowest and the highest mean pH values were 4.04 and 6.13, which were below acceptable standards. The conductivity level varied from 469.1563 µS cm−1 to 928.1563 µS cm−1. While the pH did not conform to acceptable standards, temperature and conductivity were within the EPA and/or the WHO acceptable limits. The total coliform (TC) expressed in colony-forming units per 100 mL ranged from 0 to 397 (cfu/100 mL), faecal coliform (FC) 0 to196 cfu/100 mL, E. coli 0 to 52 cfu/100 mL, Staphylococcus aureus (S. aureus) 8 to 27 cfu/100 mL, and Total Heterotrophic Bacteria (THB) 44 to 197 (cfu/mL). TC, FC, E. coli, S. aureus, and THB counts in most of the samples complied with the bacteriological standards. However, the bacterial loads increased and exceeded the WHO and/or EPA standards as the number of bathers increased. Besides, there were positive correlations between physicochemical parameters such as temperature, pH, and bacterial loads. Most parameters studied met the acceptable standards of recreational water stipulated by the WHO and EPA. However, the presence of pathogenic organisms in the recreational waters at any point in time should be treated as a public health concern, and hence a call for routine monitoring and inspection of public swimming pools in the Tamale Metropolis. Full article
Show Figures

Figure 1

Back to TopTop