Operation of a Novel, Gravity-Powered, Small-Scale, Surface Water Treatment Plant and Performance Comparison with a Conventional Mechanized Treatment Plant
Abstract
1. Introduction
1.1. Background
1.2. AguaClara Technology
- Creating a novel off-grid system for flow monitoring and reliable dosing of the chemical agents [36].
- Redesigning the baffled flocculator to generate a more uniform collision potential and allow for shorter hydraulic retention times [37].
- Adapting the sludge blanket process, which conventionally requires vacuum pumps and large valves, for passive operation only driven by gravity [38].
1.3. Research Gap
2. Materials and Methods
2.1. Pilot System
- Inlet and Coagulant Dosing: Raw water mixed with coagulant is sourced from the rapid mix chamber of the benchmark facility, ensuring identical physical–chemical characteristics and water characteristics shared between the two systems. Flow is regulated by a PID loop using a 1.5″ motorized control valve and a SITRANS FM MAG 3100 flow meter from Siemens (Plano, TX, USA). The coagulant used is PCH-180 aluminum chloride hydroxide (PACl), with an active aluminum concentration of 5.6% by mass, sourced from the Holland Company (Adams, MA, USA).
- Flocculation: Post-coagulation, water enters a flocculation unit comprising eight vertical 3″ PVC pipes with internal baffles to ensure uniform head loss. The segments are open at the top and include pipe stubs to accommodate the required height of the water column.
- Sedimentation: Flocculated water flows into a clarifier made from 3′ corrugated PVC pipe. This unit mimics the full-scale AC sludge blanket clarifier with ~1 m sludge layer, a sludge compaction zone, and narrow-spaced settling plates. Water enters through a 3″ PVC manifold with nozzles for uniform distribution. Waste sludge is continuously drained from the sludge compaction zone via a 3/4″ motorized valve, with flow monitored by an SM6001 flow meter from IFM (Malvern, PA, USA).
- Filtration: Clarified water is directed into a stacked rapid sand filter built from 14″ PVC pipe. The enclosed design enables backwashing via hydraulic siphon, while following the same inlet/outlet tank arrangement as in larger AC filters. The filter is 170 cm tall and includes four inlet and three outlet manifolds spaced 20 cm apart, creating six filtration layers with a total of 130 cm of anthracite media. Head loss is monitored using a liquid level sensor in the inlet tank, calibrated for 0–80 cm.
2.2. Test Site
2.3. Experiment Design, Monitoring, and Control
3. Results
3.1. Good Operation Practice: Minimizing Wastestreams
3.1.1. Clarifier Sludge Drain
3.1.2. Filter Backwash Duration
- Post-backwash pressure drop across the filter media.
- Clean bed filtration efficiency, calculated as the negative logarithm of the effluent-to-influent turbidity ratio pC*.
3.2. PF200 Operation and Comparative Tests
4. Discussion
5. Conclusions
Supplementary Materials
Author Contributions
Funding
Institutional Review Board Statement
Informed Consent Statement
Data Availability Statement
Acknowledgments
Conflicts of Interest
References
- Reid, E.; Igou, T.; Zhao, Y.; Crittenden, J.; Huang, C.-H.; Westerhoff, P.; Rittmann, B.; Drewes, J.E.; Chen, Y. The Minus Approach Can Redefine the Standard of Practice of Drinking Water Treatment. Environ. Sci. Technol. 2023, 57, 7150–7161. [Google Scholar] [CrossRef] [PubMed]
- Sedlak, D.L.; Von Gunten, U. The Chlorine Dilemma. Science 2011, 331, 42–43. [Google Scholar] [CrossRef] [PubMed]
- Smeets, P.W.M.H.; Medema, G.J.; Van Dijk, J.C. The Dutch Secret: How to Provide Safe Drinking Water without Chlorine in the Netherlands. Drink. Water Eng. Sci. 2009, 2, 1–14. [Google Scholar] [CrossRef]
- US EPA, O. National Primary Drinking Water Regulations. Available online: https://www.epa.gov/ground-water-and-drinking-water/national-primary-drinking-water-regulations (accessed on 31 August 2021).
- Rittmann, B.E.; Snoeyink, V.L. Achieving Biologically Stable Drinking Water. J. Am. Water Work. Assoc. 1984, 76, 106–114. [Google Scholar] [CrossRef]
- Rittmann, B.E.; Huck, P.M.; Bouwer, E.J. Biological Treatment of Public Water Supplies. Crit. Rev. Environ. Control. 1989, 19, 119–184. [Google Scholar] [CrossRef]
- Van Der Wielen, P.W.J.J.; Brouwer-Hanzens, A.; Italiaander, R.; Hijnen, W.A.M. Initiating Guidance Values for Novel Biological Stability Parameters in Drinking Water to Control Regrowth in the Distribution System. Sci. Total Environ. 2023, 871, 161930. [Google Scholar] [CrossRef]
- Prest, E.I.; Hammes, F.; Van Loosdrecht, M.C.M.; Vrouwenvelder, J.S. Biological Stability of Drinking Water: Controlling Factors, Methods, and Challenges. Front. Microbiol. 2016, 7, 45. [Google Scholar] [CrossRef]
- Arcentales-Ríos, R.; Carrión-Méndez, A.; Cipriani-Ávila, I.; Acosta, S.; Capparelli, M.; Moulatlet, G.M.; Pinos-Vélez, V. Assessment of Metals, Emerging Contaminants, and Physicochemical Characteristics in the Drinking Water and Wastewater of Cuenca, Ecuador. J. Trace Elem. Miner. 2022, 2, 100030. [Google Scholar] [CrossRef]
- Kumar, R.; Patel, M.; Singh, P.; Bundschuh, J.; Pittman, C.U.; Trakal, L.; Mohan, D. Emerging Technologies for Arsenic Removal from Drinking Water in Rural and Peri-Urban Areas: Methods, Experience from, and Options for Latin America. Sci. Total Environ. 2019, 694, 133427. [Google Scholar] [CrossRef]
- Delgado, C.D. Abastecimiento de Agua Potable Para Pequeñas Comunidades Rurales Por Medio de un Sistema de Colección de Lluvia-Planta Potabilizadora; Universidad Autónoma del Estado de México: Toluca, México, 2000; Volume 7. [Google Scholar]
- Rodríguez, C.; García, B.; Pinto, C.; Sánchez, R.; Serrano, J.; Leiva, E. Water Context in Latin America and the Caribbean: Distribution, Regulations and Prospects for Water Reuse and Reclamation. Water 2022, 14, 3589. [Google Scholar] [CrossRef]
- World Health Organization. Guidelines for Drinking-Water Quality: Fourth Edition Incorporating First Addendum, 4th ed. + 1st add; World Health Organization: Geneva, Switzerland, 2017; ISBN 978-92-4-154995-0. [Google Scholar]
- US EPA. Surface Water Treatment Rules. Available online: https://www.epa.gov/dwreginfo/surface-water-treatment-rules (accessed on 31 August 2021).
- Rajagopal, S.; Jenner, H.A.; Venugopalan, V.P. (Eds.) Operational and Environmental Consequences of Large Industrial Cooling Water Systems; Springer: Boston, MA, USA, 2012; ISBN 978-1-4614-1697-5. [Google Scholar]
- Jansz, S. A Study into Rural Water Supply Sustainability in Niassa Province, Mozambique; A WaterAid Report March; WaterAid: London, UK, 2011. [Google Scholar]
- Access to Drinking Water. Available online: https://data.unicef.org/topic/water-and-sanitation/drinking-water/ (accessed on 9 May 2024).
- Water, Sanitation and Hygiene (WASH) Situation and Issues for Urban Poor People and Vulnerable Groups, Cambodia; WaterAid Cambodia: Phnom Penh, Cambodia, 2015.
- de Moraes, S.; Freitas, D. Los Retos de La Adopción Tecnologíca En El Sector Hídrico de Latinoamérica; Instituto Mexicano de Tecnología del Agua: Jiutepec, México, 2014; ISBN 978-607-9368-01-2. [Google Scholar]
- Sánchez, L.D.; Sánchez, A.; Galvis, G.; Latorre, J. Filtración en Múltiples Etapas; IRC Centro Internacional en Agua y Saneamiento/CINARA: The Hague, The Netherlands, 2007; p. 68. [Google Scholar]
- Clarke, B.A.; Jones, C.J.; Evans, H.L.; Crompton, J.L.; Dorea, C.C.; Bertrand, S. Multi-Stage Filtration for Developing World Surface Water Treatment. Proc. Inst. Civ. Eng. Water Manag. 2004, 157, 143–149. [Google Scholar] [CrossRef]
- Arboleda-Valencia, J. A New Approach to Treatment Plant Design and Construction in Latin America. J. AWWA 1986, 78, 92–105. [Google Scholar] [CrossRef]
- García-Ávila, F.; Zhindón-Arévalo, C.; Álvarez- Ochoa, R.; Donoso-Moscoso, S.; Tonon-Ordoñez, M.D.; Flores Del Pino, L. Optimization of Water Use in a Rapid Filtration System: A Case Study. Water-Energy Nexus 2020, 3, 1–10. [Google Scholar] [CrossRef]
- Arboleda Valencia, J.; Buitrago León, I.A.; Jaramillo Gómez, L.A. Teoría y Práctica de la Purificación del Agua Potable. Tomo 1, 4th ed.; Ecoe Ediciones: Bogotá, Colombia, 2023; ISBN 978-958-50-3647-5. [Google Scholar]
- Home, G.P.; Stockley, M.; Shaw, G. The Sirofloc Process at Redmires Water-Treatment Works. Water Environ. J. 1992, 6, 10–18. [Google Scholar] [CrossRef]
- Srivastava, S.; Brighu, U.; Gupta, A.B. Performance Assessment of Pulsating Floc Blanket Clarifiers and Conventional Clariflocculators in Pilot-scale Models. Water Environ. Res. 2021, 93, 887–895. [Google Scholar] [CrossRef]
- Su, Z.Y.; Li, X.; Yang, Y.L.; Zhou, Z.W.; Wu, Y. Ballasted Flocculation of Micro-Sand/Magnetic Powder for Landscape Water Treatment. Adv. Mater. Res. 2013, 777, 56–59. [Google Scholar] [CrossRef]
- Plum, V.; Dahl, C.P.; Bentsen, L.; Petersen, C.R.; Napstjert, L.; Thomsen, N.B. The Actiflo Method. Water Sci. Technol. 1998, 37, 269–275. [Google Scholar] [CrossRef]
- Cui, H.; Huang, X.; Yu, Z.; Chen, P.; Cao, X. Application Progress of Enhanced Coagulation in Water Treatment. RSC Adv. 2020, 10, 20231–20244. [Google Scholar] [CrossRef]
- Mirbagheri, S.A.; Malekmohamadi, S.; Nasrabadi, S.S. A Comparison of Different Pilot Constructed Clarifiers with the Purpose of Achieving the Optimum Condition in Turbidity Removal at Water Treatment Plants in Tehran. Water Pract. Technol. 2017, 12, 576–588. [Google Scholar] [CrossRef]
- Sun, Y.; Zhou, S.; Chiang, P.-C.; Shah, K.J. Evaluation and Optimization of Enhanced Coagulation Process: Water and Energy Nexus. Water-Energy Nexus 2019, 2, 25–36. [Google Scholar] [CrossRef]
- Pramanik, B.K.; Pramanik, S.K.; Suja, F. A Comparative Study of Coagulation, Granular- and Powdered-Activated Carbon for the Removal of Perfluorooctane Sulfonate and Perfluorooctanoate in Drinking Water Treatment. Environ. Technol. 2015, 36, 2610–2617. [Google Scholar] [CrossRef] [PubMed]
- Quevedo, N.; Sanz, J.; Ocen, C.; Lobo, A.; Temprano, J.; Tejero, I. Reverse Osmosis Pretreatment Alternatives: Demonstration Plant in the Seawater Desalination Plant in Carboneras, Spain. Desalination 2011, 265, 229–236. [Google Scholar] [CrossRef]
- González Rivas, M.; Beers, K.; Warner, M.E.; Weber-Shirk, M. Analyzing the Potential of Community Water Systems: The Case of AguaClara. Water Policy 2014, 16, 557–577. [Google Scholar] [CrossRef]
- The AguaClara Drinking Water Treatment Program Delivered in the Republic of Honduras; AguaClara Reach Inc.: Ithaca, NY, USA, 2019.
- Swetland, K.A.; Weber-Shirk, M.L.; Lion, L.W. Gravity-Powered Chemical Dose Controller for Sustainable, Municipal-Scale Drinking Water Treatment. J. Environ. Eng. 2013, 139, 1023–1034. [Google Scholar] [CrossRef]
- Pennock, W.H.; Lion, L.W.; Weber-Shirk, M.L. Design Algorithm for Vertically-Baffled Flocculators. Environ. Eng. Sci. 2021, 38, 592–606. [Google Scholar] [CrossRef]
- Garland, C.; Weber-Shirk, M.; Lion, L.W. Revisiting Hydraulic Flocculator Design for Use in Water Treatment Systems with Fluidized Floc Beds. Environ. Eng. Sci. 2017, 34, 122–129. [Google Scholar] [CrossRef]
- Adelman, M.J.; Weber-Shirk, M.L.; Cordero, A.N.; Coffey, S.L.; Maher, W.J.; Guelig, D.; Will, J.C.; Stodter, S.C.; Hurst, M.W.; Lion, L.W. Stacked Filters: Novel Approach to Rapid Sand Filtration. J. Environ. Eng. 2012, 138, 999–1008. [Google Scholar] [CrossRef]
- Adelman, M.J.; Weber-Shirk, M.L.; Will, J.C.; Cordero, A.N.; Maher, W.J.; Lion, L.W. Novel Fluidic Control System for Stacked Rapid Sand Filters. J. Environ. Eng. 2013, 139, 939–946. [Google Scholar] [CrossRef]
- The Physics of Water Treatment Design—AguaClara v1.4.37 Documentation. Available online: https://aguaclara.github.io/Textbook/ (accessed on 9 May 2024).
- Brooks, Y.M.; Tenorio-Moncada, E.A.; Gohil, N.; Yu, Y.; Estrada-Mendez, M.R.; Bardales, G.; Richardson, R.E. Performance Evaluation of Gravity-Fed Water Treatment Systems in Rural Honduras: Verifying Robust Reduction of Turbidity and Escherichia Coli during Wet and Dry Weather. Am. J. Trop. Med. Hyg. 2018, 99, 881–888. [Google Scholar] [CrossRef]
- Kus, B.; Kandasamy, J.; Vigneswaran, S.; Shon, H.K.; Moody, G. Household Rainwater Harvesting System—Pilot Scale Gravity Driven Membrane-Based Filtration System. Water Supply 2013, 13, 790–797. [Google Scholar] [CrossRef]
- Mecha, C.A.; Pillay, V.L. Development and Evaluation of Woven Fabric Microfiltration Membranes Impregnated with Silver Nanoparticles for Potable Water Treatment. J. Membr. Sci. 2014, 458, 149–156. [Google Scholar] [CrossRef]
- Drinking Water System Updates and Water Quality Reports|Facilities and Campus Services. Available online: https://fcs.cornell.edu/departments/energy-sustainability/utilities-production-distribution/water/drinking-water-system-updates-water-quality-reports (accessed on 9 May 2024).
- Community Science Institute Database. Available online: https://database.communityscience.org/ (accessed on 11 April 2025).
- Gregory, J. Flocculation Fundamentals. In Encyclopedia of Colloid and Interface Science; Tadros, T., Ed.; Springer: Berlin/Heidelberg, Germany, 2013; pp. 459–491. ISBN 978-3-642-20664-1. [Google Scholar]
- Pennock, W.H.; Weber-Shirk, M.L.; Lion, L.W. A Hydrodynamic and Surface Coverage Model Capable of Predicting Settled Effluent Turbidity Subsequent to Hydraulic Flocculation. Environ. Eng. Sci. 2018, 35, 1273–1285. [Google Scholar] [CrossRef]
- Benchmarking for Water and Wastewater Treatment Plants; SEDAC Smart Energy Design Assistance Center at The University of Illinois: Urbana-Champaign, IL, USA, 2022.
- Cornwell, D.A.; Lee, R.G. Waste Stream Recycling: Its Effect on Water Quality. J. AWWA 1994, 86, 50–63. [Google Scholar] [CrossRef]
- Alver, A. Evaluation of Conventional Drinking Water Treatment Plant Efficiency According to Water Quality Index and Health Risk Assessment. Environ. Sci. Pollut. Res. 2019, 26, 27225–27238. [Google Scholar] [CrossRef]
- Rozporządzenie Ministra Zdrowia z Dnia 7 Grudnia 2017 r. w Sprawie Jakości Wody Przeznaczonej Do Spożycia Przez Ludzi. Available online: https://isap.sejm.gov.pl/isap.nsf/DocDetails.xsp?id=WDU20170002294 (accessed on 17 May 2024).
- Resolución 2115–2007|Minvivienda. Available online: https://minvivienda.gov.co/normativa/resolucion-2115-2007 (accessed on 17 May 2024).
- Scheili, A.; Delpla, I.; Sadiq, R.; Rodriguez, M.J. Impact of Raw Water Quality and Climate Factors on the Variability of Drinking Water Quality in Small Systems. Water Resour. Manag. 2016, 30, 2703–2718. [Google Scholar] [CrossRef]
- Wang, D. Raw Water Quality Assessment for the Treatment of Drinking Water. Environ. Earth Sci. 2016, 75, 1327. [Google Scholar] [CrossRef]
- Vorstius, C.; Rowan, J.S.; Brown, I.; Frogbrook, Z.; Palarea-Albaladejo, J. Large-Scale Risk Screening of Raw Water Quality in the Context of Drinking Water Catchments and Integrated Response Strategies. Environ. Sci. Policy 2019, 100, 84–93. [Google Scholar] [CrossRef]
- The Cost of Aging Water Infrastructure and Environmental Racism: The Jackson, Mississippi Water Crisis and Access to Funding. Available online: https://www.liebertpub.com/doi/epdf/10.1089/env.2022.0117 (accessed on 10 June 2024).
- Grigg, N.S. Aging Water Distribution Systems: What Is Needed? Public Work. Manag. Policy 2017, 22, 18–23. [Google Scholar] [CrossRef]







| Parameter | Unit | Mean | Median | P5 | P95 | Std Dev |
|---|---|---|---|---|---|---|
| pH | - | 7.93 | 7.75 | 7.58 | 8.70 | 0.49 |
| Turbidity | NTU | 21.26 | 6.20 | 2.00 | 68.00 | 64.12 |
| Total suspended solids | mg/L | 23.07 | 6.00 | 0.77 | 115.25 | 61.36 |
| Total dissolved solids | mg/L | 248 | 230 | 216 | 297 | 34 |
| Chemical oxygen demand | mg/L | 9 | 10 | 5 | 11 | 2.5 |
| Alkalinity | mgCaCO3/L | 120 | 118 | 63 | 168 | 30 |
| Total oxidized nitrogen | mgN/L | 1.07 | 1.06 | 0.33 | 1.95 | 0.49 |
| Total Kjeldahl nitrogen | mgN/L | 0.47 | 0.41 | 0.15 | 0.94 | 0.25 |
| Specific conductance | uS/cm | 354 | 359 | 213 | 470 | 83 |
| Soluble reactive phosphorus | µgP/L | 17.0 | 13.2 | 4.8 | 42.1 | 14.5 |
| Cl− | mg/L | 29.2 | 26.8 | 13.3 | 51.9 | 12.8 |
| Total coliform | CFU/100 mL | 13,100 | 8500 | 943 | 39,900 | 14,700 |
| E. coli | CFU/100 mL | 869 | 160 | 20 | 4750 | 2050 |
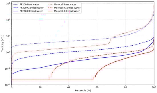
| Treatment Stage | Metric | Moroceli | PF200 |
|---|---|---|---|
| Raw water | Mean (NTU) | 13.86 | 10.14 |
| Median (NTU) | 2.14 | 6.52 | |
| 5th–95th percentile (NTU) | 0.97–49.35 | 2.40–31.17 | |
| Std. Dev (NTU) | 49.79 | 17.28 | |
| Clarified water | Mean (NTU) | 0.58 | 1.62 |
| Median (NTU) | 0.43 | 1.18 | |
| 5th–95th percentile (NTU) | 0.02–1.69 | 0.37–4.55 | |
| Std. Dev (NTU) | 0.68 | 1.54 | |
| Filtered water | Mean (NTU) | 0.21 | 0.54 |
| Median (NTU) | 0.02 | 0.32 | |
| 5th–95th percentile (NTU) | 0.02–0.92 | 0.07–1.88 | |
| Std. Dev (NTU) | 0.32 | 0.93 | |
| Sampling period | 1 year | 5 months | |
Disclaimer/Publisher’s Note: The statements, opinions and data contained in all publications are solely those of the individual author(s) and contributor(s) and not of MDPI and/or the editor(s). MDPI and/or the editor(s) disclaim responsibility for any injury to people or property resulting from any ideas, methods, instructions or products referred to in the content. |
© 2025 by the authors. Licensee MDPI, Basel, Switzerland. This article is an open access article distributed under the terms and conditions of the Creative Commons Attribution (CC BY) license (https://creativecommons.org/licenses/by/4.0/).
Share and Cite
Sawczuk, M.; Kowal, P.; Richardson, R.E. Operation of a Novel, Gravity-Powered, Small-Scale, Surface Water Treatment Plant and Performance Comparison with a Conventional Mechanized Treatment Plant. Appl. Sci. 2025, 15, 6668. https://doi.org/10.3390/app15126668
Sawczuk M, Kowal P, Richardson RE. Operation of a Novel, Gravity-Powered, Small-Scale, Surface Water Treatment Plant and Performance Comparison with a Conventional Mechanized Treatment Plant. Applied Sciences. 2025; 15(12):6668. https://doi.org/10.3390/app15126668
Chicago/Turabian StyleSawczuk, Marcin, Przemysław Kowal, and Ruth E. Richardson. 2025. "Operation of a Novel, Gravity-Powered, Small-Scale, Surface Water Treatment Plant and Performance Comparison with a Conventional Mechanized Treatment Plant" Applied Sciences 15, no. 12: 6668. https://doi.org/10.3390/app15126668
APA StyleSawczuk, M., Kowal, P., & Richardson, R. E. (2025). Operation of a Novel, Gravity-Powered, Small-Scale, Surface Water Treatment Plant and Performance Comparison with a Conventional Mechanized Treatment Plant. Applied Sciences, 15(12), 6668. https://doi.org/10.3390/app15126668

