Sign in to use this feature.

Years

Between: -

Subjects

remove_circle_outline
remove_circle_outline
remove_circle_outline
remove_circle_outline
remove_circle_outline
remove_circle_outline
remove_circle_outline
remove_circle_outline
remove_circle_outline

Journals

remove_circle_outline
remove_circle_outline
remove_circle_outline
remove_circle_outline
remove_circle_outline
remove_circle_outline
remove_circle_outline
remove_circle_outline
remove_circle_outline
remove_circle_outline
remove_circle_outline
remove_circle_outline
remove_circle_outline
remove_circle_outline
remove_circle_outline
remove_circle_outline

Article Types

Countries / Regions

remove_circle_outline
remove_circle_outline
remove_circle_outline
remove_circle_outline
remove_circle_outline

Search Results (1,031)

Search Parameters:
Keywords = TiO2-ZnO

Order results
Result details
Results per page
Select all
Export citation of selected articles as:
23 pages, 3012 KB  
Article
UV–Photocatalytic Degradation of Polyethylene and Polystyrene Microplastics in Water: Rapid Spectroscopic and Thermal Metrics for Early Oxidation
by M. Curcic, I. Stajcic, D. B. Stojanovic, B. Hadzic, P. Mitric, A. Bozic, Z. Lazarevic and P. Kolarz
Microplastics 2026, 5(2), 63; https://doi.org/10.3390/microplastics5020063 - 2 Apr 2026
Viewed by 179
Abstract
Heterogeneous photocatalysis increasingly requires rapid polymer degradation tests relevant to aqueous conditions. In this study, a multi-technique approach was developed to monitor the early-stage photo-oxidation of polyethylene (PE) and polystyrene (PS) microplastics in an aqueous ZnO–TiO2 suspension under combined ultraviolet A and [...] Read more.
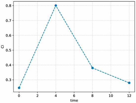
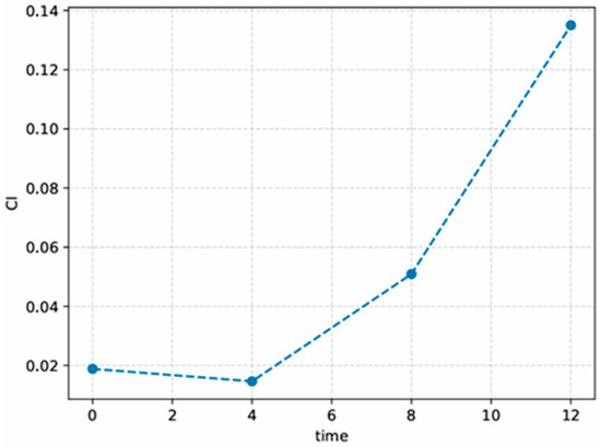
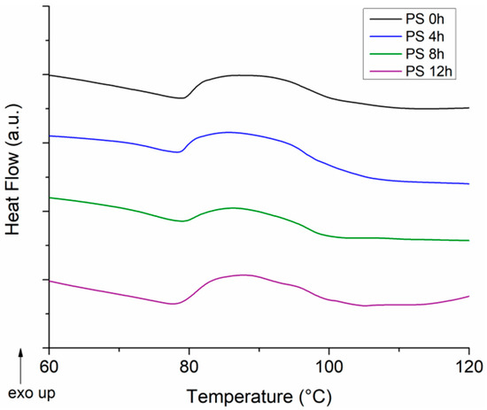
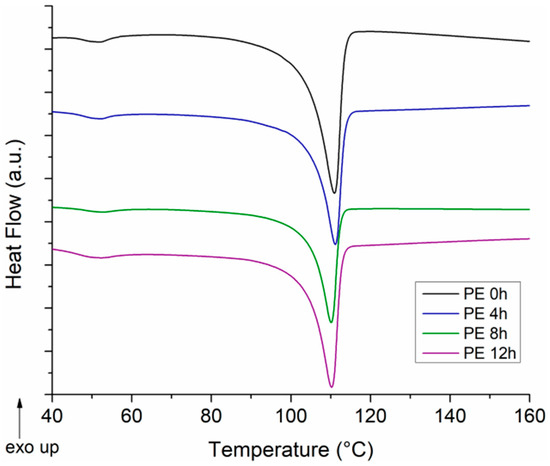
Heterogeneous photocatalysis increasingly requires rapid polymer degradation tests relevant to aqueous conditions. In this study, a multi-technique approach was developed to monitor the early-stage photo-oxidation of polyethylene (PE) and polystyrene (PS) microplastics in an aqueous ZnO–TiO2 suspension under combined ultraviolet A and ultraviolet B (UV-A/B) irradiation. The changes were analyzed by ATR-FTIR and Raman spectroscopy, DSC, and gravimetric measurements. For PE, the carbonyl index increased from 0.0189 to 0.1350 after 12 h, mass loss reached 16.98%, and crystallinity decreased from 32.05% to 25.36% after 8 h. The Raman spectra of PE showed band broadening and intensity redistribution, indicating increasing structural disorder. In contrast, PS showed weaker Raman changes, while FTIR revealed a non-monotonic carbonyl-index response, and DSC showed a 2.2 °C increase in Tg after 12 h. Gravimetric analysis also showed measurable mass loss in PS, reaching 18.62% after 12 h. The results demonstrate that the combined use of ATR-FTIR, Raman, DSC, and gravimetry enables reliable distinction between early oxidation, surface modification, and material erosion in photocatalytically treated microplastics. Full article
Show Figures

Figure 1

39 pages, 4635 KB  
Article
Rice Husk Ash Geopolymers Modified with Fe3O4 or ZnTiO3/TiO2 Nanoparticles for the Adsorption and Photodegradation of Organic Dyes
by Ximena Jaramillo-Fierro, Juan-Pablo Cueva, John Ramón and Eduardo Valarezo
Nanomaterials 2026, 16(7), 413; https://doi.org/10.3390/nano16070413 - 29 Mar 2026
Viewed by 385
Abstract
Hybrid nanomaterials integrating magnetic and semiconductor phases offer promising multifunctional platforms for wastewater remediation; however, their stabilization and recovery remain challenging. In this study, Fe3O4 and ZnTiO3/TiO2 nanoparticles were incorporated into a rice husk ash-based geopolymer matrix [...] Read more.
Hybrid nanomaterials integrating magnetic and semiconductor phases offer promising multifunctional platforms for wastewater remediation; however, their stabilization and recovery remain challenging. In this study, Fe3O4 and ZnTiO3/TiO2 nanoparticles were incorporated into a rice husk ash-based geopolymer matrix to develop hybrid nanocomposites for synergistic adsorption–photodegradation of methylene blue (MB) and methyl orange (MO). The materials were synthesized via alkaline activation followed by nanoparticle incorporation, and characterized by XRD, XRF, FTIR, SEM, EDX, BET surface area analysis, and pHPZC determination. XRD confirmed the presence of nanocrystalline Fe3O4 and ZnTiO3/TiO2 phases while preserving the amorphous aluminosilicate framework. Modified powders exhibited higher specific surface areas (up to 198 m2 g−1) compared to the unmodified geopolymer. Adsorption followed the Langmuir isotherm and pseudo-second-order kinetics, with spontaneous and exothermic behavior. Under UV irradiation, the ZnTiO3/TiO2-modified composite achieved photodegradation efficiencies up to 94% for MB and 92% for MO, whereas the Fe3O4-modified material combined adsorption capacity with magnetic recoverability. These results demonstrate that nanoparticle incorporation enables multifunctional performance while maintaining structural integrity of the geopolymeric matrix. Full article
(This article belongs to the Section Nanocomposite Materials)
Show Figures

Figure 1

22 pages, 3006 KB  
Article
Development of Chitosan Nanocomposite Films Reinforced with Metal Oxides and Lignin Derivatives for Sustainable Food Packaging
by Ioanna Koumentakou, Petroula Altantsidou, Sofia Stefanidou, Katerina Nikola, Pavlos Efthymiopoulos, Ioannis Tsamesidis, Eleana Kontonasaki and George Z. Kyzas
Polymers 2026, 18(7), 800; https://doi.org/10.3390/polym18070800 - 26 Mar 2026
Viewed by 469
Abstract
The development of sustainable packaging materials with advanced functional properties is a key priority for the food industry. In this study, chitosan (CS)-based nanocomposite films incorporating titanium dioxide (TiO2), zinc oxide (ZnO), hybrid ZnO_TiO2 nanoparticles, lignin (LG), and nanolignin (nLG) [...] Read more.
The development of sustainable packaging materials with advanced functional properties is a key priority for the food industry. In this study, chitosan (CS)-based nanocomposite films incorporating titanium dioxide (TiO2), zinc oxide (ZnO), hybrid ZnO_TiO2 nanoparticles, lignin (LG), and nanolignin (nLG) were synthesized and comprehensively characterized. Structural analyses (FTIR, XRD, SEM) confirmed strong intermolecular interactions and homogeneous nanoparticle dispersion, particularly for TiO2 and low ZnO concentrations. Mechanical testing showed that TiO2 and ZnO significantly enhanced tensile strength (up to fourfold) and elongation at break. Among the prepared nanocomposite films, CS-TiO2 films at 2 wt% exhibited the best balance of mechanical performance and antioxidant activity. Subsequent incorporation of LG and especially nLG into the CS-TiO2 matrix further enhanced flexibility and toughness, antioxidant efficiency, and radical-scavenging activity above 90%, and improved UV-shielding capacity by reducing light transmittance. Moreover, antibacterial testing against Escherichia coli demonstrated that CS/TiO2/nLG films achieved the highest reduction (~46%), attributed to synergistic electrostatic, oxidative, and phenolic mechanisms. Overall, CS/TiO2/nLG nanocomposites emerge as multifunctional, biodegradable films with significant potential for next-generation active food packaging applications. Full article
(This article belongs to the Section Circular and Green Sustainable Polymer Science)
Show Figures

Graphical abstract

27 pages, 3955 KB  
Article
Design, Synthesis, and Investigation of the Photoelectric Properties of Glaucine Derivatives in Sensitized Solar Cells
by Anatolii S. Burlov, Anastasia A. Shiryaeva, Valery G. Vlasenko, Yurii V. Koshchienko, Alexander A. Zubenko, Oleg P. Demidov, Bogdan V. Chaltsev, Alexandra A. Polyanskaya, Alexey N. Gusev, Elena V. Braga and Wolfgang Linert
Inorganics 2026, 14(4), 91; https://doi.org/10.3390/inorganics14040091 - 25 Mar 2026
Viewed by 358
Abstract
Two Zn(II) coordination compounds based on glaucine-derived Schiff bases were synthesized and investigated as potential materials for dye-sensitized solar cells (DSSCs). The structures of all compounds were established by X-ray diffraction analysis and quantum chemical modeling (DFT/TD-DFT). Their photophysical properties (absorption and luminescence [...] Read more.
Two Zn(II) coordination compounds based on glaucine-derived Schiff bases were synthesized and investigated as potential materials for dye-sensitized solar cells (DSSCs). The structures of all compounds were established by X-ray diffraction analysis and quantum chemical modeling (DFT/TD-DFT). Their photophysical properties (absorption and luminescence spectra in solution and the solid state), electrochemical characteristics, and photovoltaic parameters in DSSC devices were studied. The highest power conversion efficiency (PCE ~5.18%) was demonstrated by the free ligands, which is attributed to their favorable absorption spectrum and optimal alignment of energy levels relative to the conduction band of TiO2 and the redox couple of the electrolyte. The Zn(II) coordination compounds exhibited significantly lower efficiency (~2.1%). Impedance spectroscopy results indicated more efficient charge transfer at the TiO2/dye/electrolyte interface for the organic derivatives. Full article
(This article belongs to the Section Coordination Chemistry)
Show Figures

Figure 1

17 pages, 4059 KB  
Article
Facile Elaboration of TiO2-ZnO-Based Low-Cost H2 Gas Sensors
by Ali Faddouli, Youssef Nouri, Bouchaib Hartiti, Youssef Doubi, Mehmet Ertugrul, Ömer Çoban and Hicham Labrim
Coatings 2026, 16(3), 375; https://doi.org/10.3390/coatings16030375 - 17 Mar 2026
Viewed by 382
Abstract
This study presents the development of a low-cost H2 gas sensor made from a titanium dioxide–zinc oxide composite by means of a simple, cost-effective screen-printing method. The sensing material was created by mixing titanium dioxide and zinc oxide nanoparticles with an organic [...] Read more.
This study presents the development of a low-cost H2 gas sensor made from a titanium dioxide–zinc oxide composite by means of a simple, cost-effective screen-printing method. The sensing material was created by mixing titanium dioxide and zinc oxide nanoparticles with an organic binder, which was screen-printed onto a glass substrate containing silver electrodes. These samples were then characterized using X-ray diffraction (XRD) and field-emission scanning electron microscopy (FESEM). The XRD results confirmed that the films boasted well-defined crystallinity, with predominant anatase and hexagonal ZnO phases, as well as uniformity of grains. Sensor performance was evaluated in a custom-built chamber at hydrogen concentrations of 100 to 1000 ppm and at operating temperatures of 100 °C, 200 °C, and 300 °C. The results indicate improved sensor performance as the operating temperature increased to 300 °C, with the best sensitivity values of 0.99, 1.17, and 1.31 at hydrogen concentrations of 100, 500, and 1000 ppm, respectively. The sensor showed stable and reproducible response characteristics, and its responses were retimed after a few hundred seconds. Low-cost fabrication, ease of processing, and reliable sensor performance make titanium oxide–zinc oxide composites promising candidates for hydrogen detection. Full article
Show Figures

Figure 1

16 pages, 3615 KB  
Article
Mineralogical and Geochemical Characteristics of Biotite in Granite from the Guanfang Tungsten Deposit, Bozhushan, Southeastern Yunnan, and Their Implications for Petrogenesis and Mineralization
by Dai Zhang, Liurunxuan Chen, Xianchao Chen, Xuelong Liu, Jiehu Zhou, Bode Lu, Ruohan Zuo and Shitao Zhang
Minerals 2026, 16(3), 310; https://doi.org/10.3390/min16030310 - 16 Mar 2026
Viewed by 281
Abstract
The Guanfang tungsten deposit in the Bozhushan ore district, southeastern Yunnan, is genetically linked to Late Yanshanian granitic intrusions. To elucidate the petrogenesis and mineralization potential of the causative granite, this study presents a detailed mineral chemical analysis of biotite from the Guanfang [...] Read more.
The Guanfang tungsten deposit in the Bozhushan ore district, southeastern Yunnan, is genetically linked to Late Yanshanian granitic intrusions. To elucidate the petrogenesis and mineralization potential of the causative granite, this study presents a detailed mineral chemical analysis of biotite from the Guanfang pluton using electron probe microanalysis (EPMA) and laser ablation inductively coupled plasma mass spectrometry (LA-ICP-MS). The biotite crystals exhibit relatively high euhedrality, show no obvious alteration features, and are chemically characterized by reduced Na and Ca contents. These features, along with petrographic observations, confirm its origin as primary magmatic biotite. Crystallization conditions, calculated from biotite chemistry, indicate temperatures of 700–720 °C and pressures of 1.22–1.73 kbar, corresponding to a mesozonal emplacement depth of 4.6–6.5 km. Oxygen fugacity estimates, plotting near the Ni-NiO buffer, reveal an oxidized magmatic environment. Geochemical discrimination diagrams suggest the Guanfang granite exhibits transitional features between S-type and I-type affinities and is classified as a syn-melting (high-temperature) type. The biotite contains relatively low F (0.71–0.97 wt%), but elevated Cl (0.13–0.20 wt%) and Sn (43–56 µg/g) contents. This specific geochemical signature—combined with the medium- to high-temperature crystallization setting—is highly favorable for W-Sn mineralization. Furthermore, the high-Ti, syn-melting character of the granite implies additional potential for Cu-Pb-Zn-Au-Ag polymetallic mineralization. This study employs biotite chemistry to assess the petrogenesis and metallogenic potential of the Guanfang granite. The subsequent discovery of industrial ore bodies corresponding to some of the elements identified as having metallogenic potential confirms the feasibility of this approach. Accordingly, this method provides a new tool for future exploration in the Bozhushan district. Full article
Show Figures

Figure 1

25 pages, 4710 KB  
Article
Oxygen-Vacancy-Induced Electronic Structure Modulation in ZnTiO3 Perovskite: A Combined DFT and SCAPS-1D Study Toward Photovoltaic Applications
by Angel Tenezaca and Ximena Jaramillo-Fierro
Int. J. Mol. Sci. 2026, 27(6), 2668; https://doi.org/10.3390/ijms27062668 - 14 Mar 2026
Viewed by 297
Abstract
Zinc titanate (ZnTiO3) is a chemically stable and non-toxic oxide perovskite whose photovoltaic potential remains largely unexplored due to its wide indirect bandgap. This study evaluates whether oxygen-vacancy (F-center) engineering can tailor its electronic structure and improve its suitability as a [...] Read more.
Zinc titanate (ZnTiO3) is a chemically stable and non-toxic oxide perovskite whose photovoltaic potential remains largely unexplored due to its wide indirect bandgap. This study evaluates whether oxygen-vacancy (F-center) engineering can tailor its electronic structure and improve its suitability as a photovoltaic absorber. Density Functional Theory (DFT) calculations using VASP (PAW − GGA/PBE + U) were performed to evaluate structural stability, electronic properties, and electron affinity, while optical absorption was modeled through a combined Tauc–Gaussian approach. Device performance was assessed via SCAPS-1D simulations in an FTO/ZnO/ZnTiO3/Spiro-OMeTAD architecture. Oxygen vacancies induce bandgap narrowing from ~2.96 eV to ~1.47 eV and generate Ti-3d-dominated donor-like and deep intragap states. The calculated electron affinity is ~3.77 eV. Simulated single-layer devices reach Voc ≈ 1.11 V, Jsc ≈ 8.27 mA·cm−2, FF ≈ 83%, and a maximum efficiency of ~7.65%, primarily limited by moderate absorption strength and defect-assisted recombination. Multilayer configurations indicate that geometric optimization can significantly enhance projected efficiency, approaching 19.25% under idealized conditions. Although vacancy engineering extends visible-light absorption, the intrinsic indirect band-gap character constrains the ultimate photovoltaic performance of ZnTiO3. Full article
Show Figures

Figure 1

17 pages, 5294 KB  
Article
A Study on the UV Degradation Performance of Rhodamine B by Zn-TiO2 Photocatalysts and Cement Mortar-Based Zn-TiO2 Composites
by Peng Wang, Zihao Jiang, Lanshuo Xing, Jiale Xiao, Ze Wu, Haiyang Chen, Yichen Xu and Hai Wang
Materials 2026, 19(6), 1094; https://doi.org/10.3390/ma19061094 - 12 Mar 2026
Viewed by 220
Abstract
Zn-TiO2 composites were synthesized via a hydrothermal method, and their photocatalytic performance was optimized using an orthogonal design. Among the factors of hydrothermal temperature, reaction time, and Ti/Zn molar ratio, hydrothermal temperature showed the most significant influence on the photocatalytic performance of [...] Read more.
Zn-TiO2 composites were synthesized via a hydrothermal method, and their photocatalytic performance was optimized using an orthogonal design. Among the factors of hydrothermal temperature, reaction time, and Ti/Zn molar ratio, hydrothermal temperature showed the most significant influence on the photocatalytic performance of Zn-TiO2. The Zn-TiO2 obtained under the optimal conditions (120 °C, 10 h, and a Ti/Zn molar ratio of 100:5) exhibited the best photocatalytic performance, with a 26% improvement in the photocatalytic degradation efficiency of Rhodamine B (RB) compared to pure TiO2 under identical conditions. The composition, morphology, and structure of the Zn-TiO2 photocatalysts were characterized by XRD, SEM-EDS, N2 adsorption–desorption, and XPS, thereby enabling analysis of the mechanism for the enhancement of its photocatalytic performance. In this work, air-entrained composite mortar (ACM) with a double-layer structure was designed as a contrast to conventional cement mortar (CM). Novel green building materials with pollutant-degradation capability were developed by loading Zn-TiO2 and TiO2 photocatalysts onto these different mortar surfaces. Photocatalytic tests and cyclic aging experiments demonstrated that the Zn-TiO2/ACM achieved the superior degradation effect on the RB solution and maintained good catalytic stability. These findings suggest broad application prospects in the field of green building materials. Full article
Show Figures

Figure 1

23 pages, 22959 KB  
Article
Lithological Inheritance Governs Spontaneous Vegetation Succession on Contaminated Soils and Indirectly Regulates Soil–Plant Uranium Transfer in High-Altitude Mine Wastelands, Southwest China
by Zhijun Wei, Yinquan Zhao, Linjun He, Guoyan Wang, Xinyu Hong, Kezhemo Ashuo, Sijian Zhou and Maoyuan Li
Plants 2026, 15(6), 854; https://doi.org/10.3390/plants15060854 - 10 Mar 2026
Viewed by 285
Abstract
High-altitude mine wastelands in Southwest China present formidable challenges for ecological rehabilitation due to extreme climatic stressors and multi-element contamination. Ecological restoration is closely related to soil environment. However, the mechanism by which parent material-induced heterogeneity governs spontaneous vegetation succession is still poorly [...] Read more.
High-altitude mine wastelands in Southwest China present formidable challenges for ecological rehabilitation due to extreme climatic stressors and multi-element contamination. Ecological restoration is closely related to soil environment. However, the mechanism by which parent material-induced heterogeneity governs spontaneous vegetation succession is still poorly understood. We established 36 plots (216 quadrats) to investigate the soil physical and chemical properties and vegetation restoration of propylite, porphyry and siltstone in the Xifanping Copper Mine, Sichuan Province. Furthermore, fifteen metal/metalloid elements (Au, Ag, Mo, W, Cu, Pb, Zn, Hg, As, U, Se, Cr, Sn, Ti, Total Fe2O3), soil pollution and vegetation structure were evaluated. The study area exhibited severe composite pollution (mean Nemerow integrated pollution index = 8.09), primarily driven by Au, Ag, Mo, W, and Cu. Vegetation surveys identified 34 vascular plant species from 12 families. Propylite-derived substrates supported significantly higher species richness, Shannon–Wiener diversity, and soil organic matter than porphyry and siltstone. Redundancy analysis (RDA) identified soil organic matter (SOM) and bulk density (BD) as dominant environmental filters, with SOM explaining 14.03% of community variance (p < 0.01). Two native pioneers, Potentilla supina and Cynoglossum wallichii, were identified as specialized uranium (U) accumulators with bioconcentration factors of 13.39 and 4.49, respectively. Lithological inheritance dictates early successional trajectories by influencing edaphic structure and nutrient bioavailability. The identified U-accumulating species provide a valuable genetic resource for implementing Assisted Natural Regeneration (ANR) and developing sustainable phytoremediation strategies in contaminated alpine ecosystems. Full article
(This article belongs to the Section Plant Ecology)
Show Figures

Figure 1

31 pages, 6575 KB  
Article
Mineralogical Characteristics of Magnetite in the Duobuza Porphyry Copper (Gold) Deposit and Their Geological Implications
by Xuelian Fu, Changyun Gan, She Li, Qin Wang, Yujie Dong, Hongwei Xia, Qi Zhang, Rongkun Zhang and Xinjuan Liang
Minerals 2026, 16(3), 288; https://doi.org/10.3390/min16030288 - 9 Mar 2026
Viewed by 260
Abstract
Magnetite is extensively developed within various alteration zones of the mining district. Some magnetite is closely associated with copper mineralization, possessing significant research value. The Duobuza Cu (Au) deposit is a typical porphyry-type deposit within the Bangong Co-Nujiang metallogenic belt and was the [...] Read more.
Magnetite is extensively developed within various alteration zones of the mining district. Some magnetite is closely associated with copper mineralization, possessing significant research value. The Duobuza Cu (Au) deposit is a typical porphyry-type deposit within the Bangong Co-Nujiang metallogenic belt and was the first porphyry Cu-Au deposit discovered in the Duolong copper–gold ore district. Currently, this deposit contains copper resources exceeding 3 million tons @0.46%, with associated gold resources exceeding 80 tons @0.19 g/t. This study focuses on magnetite from the Duobuza deposit. Through field geological logging and microscopic identification combined with electron microprobe analysis (EMPA) and in situ LA-ICP-MS testing, mineralogical and mineral chemical research on magnetite is conducted. This research aims to elucidate the genesis of magnetite in the Duobuza deposit and its implications for mineral exploration. Five magnetite types with different occurrences can be distinguished in the Duobuza deposit: Mt1 is magmatic magnetite; Mt2, Mt3, Mt4, and Mt5 are hydrothermal magnetite, with Mt5 being closely associated with copper mineralization. Mt1 is relatively enriched in Ti, V, Al, and Cr but depleted in Mn and Si; Mt2 is relatively enriched in Ti and Al but depleted in Si and Cr; Mt3 is relatively enriched in Al but depleted in Mg; Mt4 is relatively enriched in Ti, Al, V, Zn, and Mn; and Mt5 is relatively enriched in Mg, Si, Ti, Al, Mn, and Zn but depleted in Cr. Based on the Al + Mn vs. Ti + V discrimination diagram, magnetite formed in a medium- to high-temperature environment, with hydrothermal magnetite Mt4 forming at the lowest temperature. Vanadium (V) content can be used to estimate the oxygen fugacity (fO2) during mineralization. Mt1 exhibits the highest V content, indicating relatively low oxygen fugacity, whereas Mt4 shows the lowest V content, suggesting relatively high oxygen fugacity. Mt5 has a higher V content compared to other early-stage hydrothermal magnetites, suggesting that a lower fO2 formation environment favors the precipitation of metal sulfides in the mining district. Trace element analysis of magnetite from the Duobuza, Bolong, and Naruo mining districts reveals that magnetite from all three deposits is enriched in Si and Al and depleted in Ca and Ni. Magmatic magnetite from the Naruo and Duobuza deposits exhibits similar elemental distribution patterns. Hydrothermal magnetite from the Duobuza deposit shows significantly higher Ti and V contents compared to magnetite from the Bolong and Naruo deposits. Full article
Show Figures

Figure 1

23 pages, 3380 KB  
Article
Innovative Fabrication of Highly Efficient Cu2ZnSnS4-TiO2/TiO2 Nanotube Array Heterostructure for Efficient Organic Degradation in Basic Dye Wastewater: Experimental and RSM Approaches
by Amal Abdulrahman, Zaina Algarni, Nejib Ghazouani, Saad Sh. Sammen, Abdelfattah Amari and Miklas Scholz
Water 2026, 18(5), 632; https://doi.org/10.3390/w18050632 - 7 Mar 2026
Viewed by 415
Abstract
Titanium dioxide (TiO2) nanotube arrays (NTAs) were constructed on Ti foil to immobilize Cu2ZnSnS4-TiO2 (CZTS-T/NTAs) via the sol–gel dip-coating technique. The films were characterized by X-ray diffraction (XRD) patterns, field-emission scanning electron microscope–energy dispersive spectroscopy (FESEM-EDX), [...] Read more.
Titanium dioxide (TiO2) nanotube arrays (NTAs) were constructed on Ti foil to immobilize Cu2ZnSnS4-TiO2 (CZTS-T/NTAs) via the sol–gel dip-coating technique. The films were characterized by X-ray diffraction (XRD) patterns, field-emission scanning electron microscope–energy dispersive spectroscopy (FESEM-EDX), ultraviolet–visible diffuse reflectance spectra (UV–Vis/DRS), and electrochemical impedance spectroscopy (EIS) techniques. The photocatalytic property of CZTS-T/NTAs was evaluated by the photodegradation of Basic Blue 41 under visible light irradiation. We show that CZTS-T/NTAs have an energy band gap of 2.23 eV, which leads to excellent potential trapping or facilitates the transition of charge carriers under visible light. The parameters R0 and C0 of the experimental EIS data, by fitting the proposed electrical circuit, were also discussed. Decreasing R0 led to an increase in cell capacitance, which resulted in increased carrier generation at the interface between the catalyst and solution and thus an increased photodegradation yield. The response surface methodology (RSM) and central composite rotatable design (CCRD) were used to optimize the effects of the experimental parameters in the degradation process by four key variables (pH, dye concentration, irradiation time, and hydrogen peroxide (H2O2) concentration). As a result, the optimized conditions attained a considerable degradation of 95.25%. We also proposed the possible photodegradation mechanism of the photocatalyst. Notably, the proposed catalyst after six consecutive reuse runs retained activity. Full article
(This article belongs to the Section Water Resources Management, Policy and Governance)
Show Figures

Figure 1

29 pages, 23362 KB  
Article
Effects of Solution Treatment and Artificial Aging on the Microstructure and Mechanical Properties of TiB2/7050 Composites
by Zhiwei Wu, Wenfeng Han and Binxian Yuan
Metals 2026, 16(3), 294; https://doi.org/10.3390/met16030294 - 5 Mar 2026
Viewed by 304
Abstract
This study investigates the solution and artificial aging processes of TiB2/7050 composites. Using microscopic and mechanical tests, we systematically evaluate the material’s microstructural evolution and mechanical performance, aiming to optimize heat treatment parameters. The study shows that a solution temperature of [...] Read more.
This study investigates the solution and artificial aging processes of TiB2/7050 composites. Using microscopic and mechanical tests, we systematically evaluate the material’s microstructural evolution and mechanical performance, aiming to optimize heat treatment parameters. The study shows that a solution temperature of 475 °C for 1 h is optimal for fully dissolving the second-phase particles. Regarding artificial aging, peak hardness of 246 HV is achieved at 140 °C for 16 h. Analysis of the phases and microstructure in O and T6-states shows that strengthening occurs through grain boundary hardening and precipitation hardening. The effect of TiB2 particles on the above process was also explored. During solidification, TiB2 particles were pushed by the advancing solid–liquid interface and primarily distributed along grain boundaries. This distribution subsequently slowed the solid solution process by reducing the contact area between the η(MgZn2) phase and the α(Al) matrix. During aging, they enhance grain boundary precipitates (GBPs) in particle-rich regions and inhibit the formation of precipitate-free zones (PFZs), with a concentration of the η’ phase forming around the particles. Beyond a certain distance from the particles, there is a decrease in η’ phase concentration. This study is expected to contribute to advanced lightweight materials research and development, opening up new opportunities for their application in various industries. Full article
Show Figures

Figure 1

25 pages, 1040 KB  
Review
Innovative Nanowire Structures for Sensors: Advanced Synthetic Nanowire Strategies
by Cheng Pu, Yao Zhou, Jianxing Zhao, Ao Wang, Jianhong Zhou and Chonge Wang
Crystals 2026, 16(3), 173; https://doi.org/10.3390/cryst16030173 - 3 Mar 2026
Viewed by 373
Abstract
This systematic review presents a critical analysis of multifunctional nanowire sensors, with explicit selection criteria for included studies: we focus on peer-reviewed research, prioritizing studies on semiconductor (ZnO, TiO2, Si), metal (Ag, Au), and carbon-based (CNT) nanowires that report structural innovations, [...] Read more.
This systematic review presents a critical analysis of multifunctional nanowire sensors, with explicit selection criteria for included studies: we focus on peer-reviewed research, prioritizing studies on semiconductor (ZnO, TiO2, Si), metal (Ag, Au), and carbon-based (CNT) nanowires that report structural innovations, performance breakthroughs, or industrial scalability. We systematically analyze their structural characteristics, advanced fabrication techniques (hydrothermal synthesis, magnetron sputtering, PECVD), and application performance across biosensing, pressure sensing, and gas monitoring. Unlike existing reviews limited to single material classes or application scenarios, this work advances the field by integrating three novel perspectives: it delivers a cross-material comparison of nanowire structure–performance relationships, incorporates an analysis of fabrication strategy scalability for industrial translation, and synthesizes unresolved challenges and future directions. Nanowire sensors exhibit superior sensitivity, rapid response, and broad detection ranges compared to conventional sensors, with significant potential to advance healthcare, environmental monitoring, and flexible electronics. Full article
(This article belongs to the Special Issue Thin Film Materials for Sensors)
Show Figures

Figure 1

19 pages, 1580 KB  
Article
Comparative Evaluation of Anode Materials for Electrochemical Treatment of Anaerobic Digestate: Ammonia, Phosphorus, COD and Turbidity Removal
by Shuotian Li, Sankar Ganesh Palani and Maazuza Z. Othman
Energies 2026, 19(5), 1190; https://doi.org/10.3390/en19051190 - 27 Feb 2026
Viewed by 306
Abstract
This study assessed the performance of five anode materials (Fe, stainless steel (SS), Al, Zn, and Ti/RuO2–IrO2) in terms of the removal of ammonia, phosphorus, and turbidity from anaerobic digestate using a single-cell hybrid electrocoagulation (EC)–electrooxidation (EO) system, which [...] Read more.
This study assessed the performance of five anode materials (Fe, stainless steel (SS), Al, Zn, and Ti/RuO2–IrO2) in terms of the removal of ammonia, phosphorus, and turbidity from anaerobic digestate using a single-cell hybrid electrocoagulation (EC)–electrooxidation (EO) system, which enabled the simultaneous evaluation of EC and EO processes under identical conditions. Experiments were conducted at a current density of 25 mA cm−2 and 0.5–1% NaCl. Al anodes showed the highest phosphorus (92%) and turbidity (85%) removal, through electrocoagulation, while ammonia removal remained limited (24%). In contrast, Ti/RuO2–IrO2 anodes achieved high ammonia removal (up to 86% at 1% NaCl) via EO, but lower phosphorus and turbidity removal (≤61%). SS and Fe anodes provided moderate and comparable nutrient removal (≈52% P, 68% turbidity, and 32–37% ammonia), whereas Zn anodes were less effective, with selective removal (70%) in P in1 h but limited ammonia and turbidity removal. Ti/RuO2–IrO2 demonstrated high durability with minimal weight loss. These results highlight the critical role of anode material on the balance between EC and EO pathways, offering practical guidance for selecting electrode material for efficient electrochemical treatment of nutrient-rich effluents. Full article
Show Figures

Figure 1

19 pages, 2164 KB  
Review
Making the Bridge Between Experiment and Theory in Metal Oxides for Renewable Energy: Based on TiO2, ZnO, and BiVO4
by Habtamu F. Etefa and Francis B. Dejene
Int. J. Mol. Sci. 2026, 27(5), 2087; https://doi.org/10.3390/ijms27052087 - 24 Feb 2026
Viewed by 490
Abstract
Metal oxides such as TiO2, ZnO, and BiVO4 have emerged as pivotal materials for renewable energy technologies owing to their versatile electronic, optical, and catalytic properties. This review highlights the importance of bridging experimental investigations with Density Functional Theory (DFT) [...] Read more.
Metal oxides such as TiO2, ZnO, and BiVO4 have emerged as pivotal materials for renewable energy technologies owing to their versatile electronic, optical, and catalytic properties. This review highlights the importance of bridging experimental investigations with Density Functional Theory (DFT) to deepen the understanding of structure–property relationships in these systems. Experimental approaches provide critical insights into synthesis strategies, performance evaluation, and sustainability, whereas DFT offers predictive power at the atomic scale by elucidating electronic structures, reaction mechanisms, and defect dynamics. The synergy of these methods enables the rational design of advanced materials for photocatalysis, solar cells, and energy storage applications. Looking ahead, research opportunities lie in the development of doped and heterostructured metal oxides, the integration of machine learning for accelerated material discovery, and the implementation of in situ/operando studies that capture time-resolved phenomena. By making the bridge between experiment and theory, significant progress can be achieved toward sustainable and efficient energy solutions. Full article
(This article belongs to the Special Issue Recent Advances in Photocatalysis: An Innovation in Catalysis)
Show Figures

Figure 1

Back to TopTop