Lithological Inheritance Governs Spontaneous Vegetation Succession on Contaminated Soils and Indirectly Regulates Soil–Plant Uranium Transfer in High-Altitude Mine Wastelands, Southwest China
Abstract
1. Introduction
2. Results
2.1. Edaphic Heterogeneity and Pollution Patterns
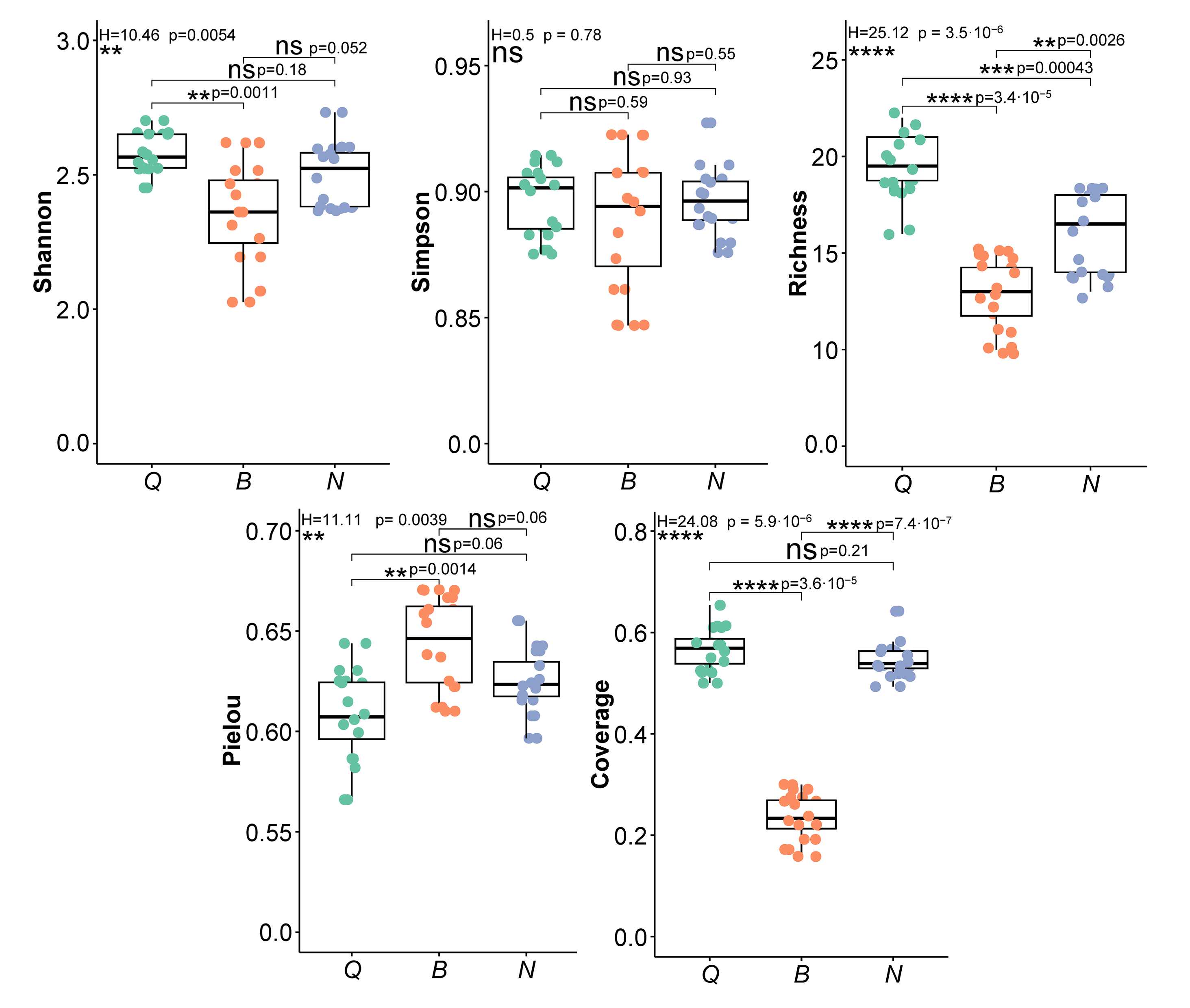
2.2. Analysis of Plant Community Characteristics in the Study Area
2.2.1. Community Composition and Stability
2.2.2. Analysis of Heavy Metal Absorption Capacity of Dominant Plants
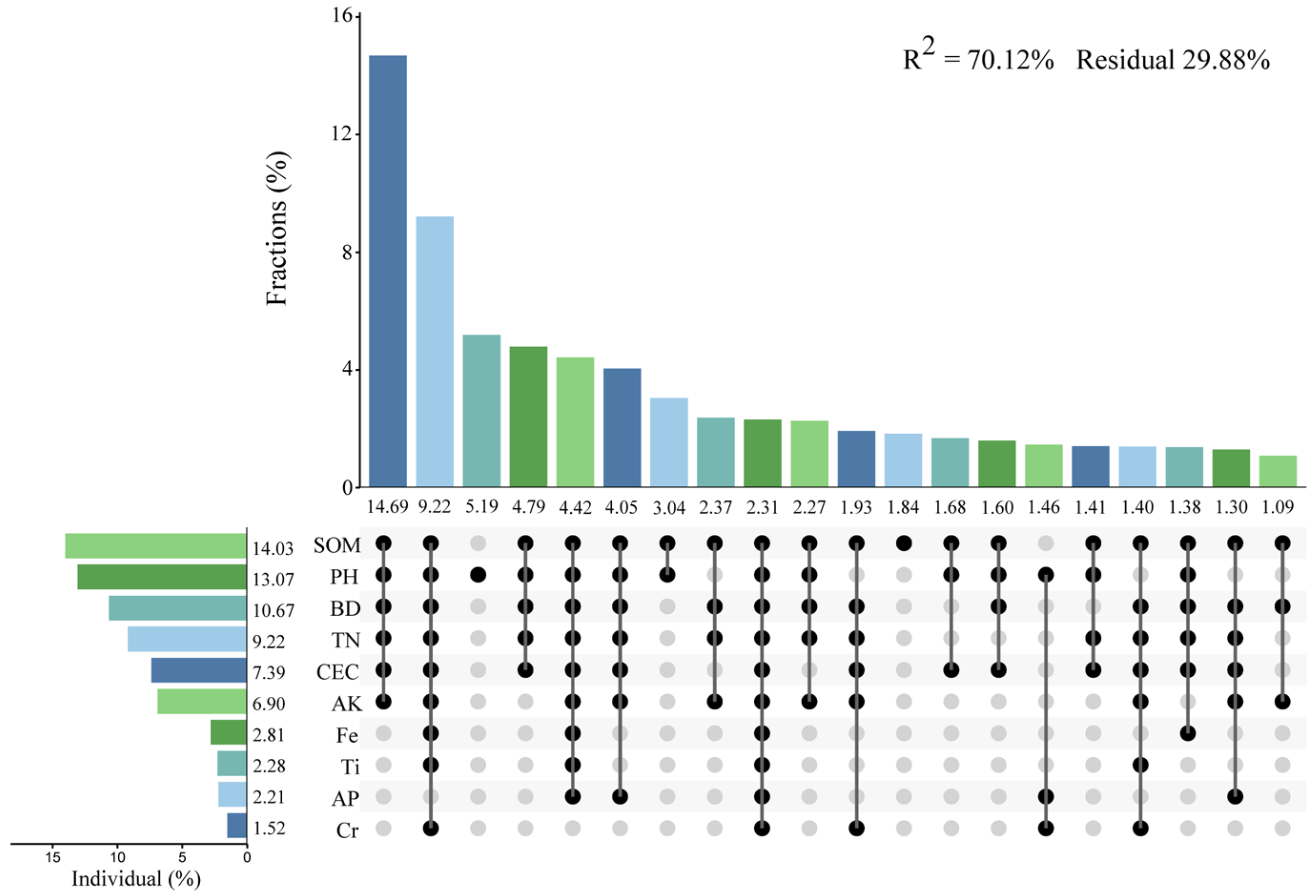
2.3. The Relationship Between Soil Parameters and Species Diversity in the Study Area
3. Discussion
3.1. Effects of Soil Heterogeneity on Plant Communities
3.1.1. Characteristics of Plant Communities in the Study Area
3.1.2. Effects of Soil Heterogeneity on Plant Natural Restoration
3.2. Effects of Soil Characteristics on the Absorption Capacity of Heavy Metals by Dominant Species
3.3. Relationship Between Soil Parameters and Species Diversity
3.4. Future Perspectives
4. Materials and Methods
4.1. Study Area and Quadrat Setting
4.2. Vegetation Investigation
4.3. Soil Sampling and Determination of Physical and Chemical Indexes
4.4. Data Statistical Analysis
4.4.1. Soil Physical and Chemical Property Analysis
4.4.2. Species Diversity
4.4.3. Community Stability Determination Method
4.4.4. Evaluation of Metals
4.4.5. Enrichment Coefficient of Heavy Metals in Plants
4.4.6. Analysis of the Relationship Between Plant and Soil
5. Conclusions
Author Contributions
Funding
Data Availability Statement
Acknowledgments
Conflicts of Interest
Appendix A
| Numb. | Scientific Name | Abb. | Lifestyle | Family | Propylite | Porphyry | Siltstone | |||
|---|---|---|---|---|---|---|---|---|---|---|
| Y/N | IV | Y/N | IV | Y/N | IV | |||||
| 1 | Erigeron annuus | E. annuus | Annual herb | Asteraceae | 1 | 0.98 | 1 | 0.81 | 1 | 0.47 |
| 2 | Galinsoga parviflora | G. parviflora | Annual herb | Asteraceae | 1 | 0.69 | 1 | 0.15 | 1 | 0.72 |
| 3 | Erigeron canadensis | E. canadensis | Annual herb | Asteraceae | 1 | 1.04 | 1 | 0.36 | 1 | 0.34 |
| 4 | Setaria viridis | S. viridis | Annual herb | Poaceae | 1 | 1.10 | 1 | 0.32 | 1 | 0.72 |
| 5 | Deyeuxia scabrescens | D. scabrescens | Annual herb | Poaceae | 1 | 0.36 | 0 | — | 0 | — |
| 6 | Polygonum dichotomum | P. dichotoma | Annual herb | Polygonaceae | 1 | 1.44 | 1 | 0.31 | 1 | 3.14 |
| 7 | Crotalaria yunnanensis | C. yunnanensis | Annual herb | Fabaceae | 1 | 0.4 | 0 | — | 0 | — |
| 8 | Cynoglossum wallichii | C. wallichii | Biennial herb | Boraginaceae | 1 | 5.68 | 1 | 1.94 | 1 | 4.11 |
| 9 | Artemisia scoparia | A. scoparia | Biennial herb | Compositae | 1 | 0.29 | 0 | 0 | 1 | 0.55 |
| 10 | Plantago asiatica | P. asiatica | Biennial herb | Plantaginaceae | 1 | 1.10 | 1 | 0.33 | 1 | 0.52 |
| 11 | Ajuga lobata | A. lobata | Perennial herb | Lamiaceae | 1 | 0.62 | 1 | 0.20 | 1 | 0.60 |
| 12 | Scutellaria forrestii | S. forrestii | Perennial herb | Lamiaceae | 1 | 0.03 | 0.20 | 0.20 | 0 | — |
| 13 | Elsholtzia densa Benth. | E. densa | Perennial herb | Lamiaceae | 1 | 0.30 | 0 | — | 1 | 0.25 |
| 14 | Dicranopteris dichotoma | D. pedata | Perennial herb | Gleicheniaceae | 1 | 2.35 | 1 | 0.50 | 1 | 1.15 |
| 15 | Taraxacum mongolicum | T. mongolicum | Perennial herb | Compositae | 0 | — | 0 | — | 1 | 0.31 |
| 16 | Kalimeris indica | A. indicus | Perennial herb | Compositae | 1 | 0.80 | 1 | 1.43 | 1 | 1.36 |
| 17 | Anaphalis nepalensis | A. nepalensis | Perennial herb | Compositae | 1 | 0.77 | 1 | 0.57 | 1 | 0.52 |
| 18 | Artemisia argyi | A. argyi | Perennial herb | Compositae | 1 | 0.83 | 1 | 1.19 | 1 | 0.86 |
| 19 | Rumex nepalensis | R. nepalensis | Perennial herb | Polygonaceae | 1 | 0.69 | 1 | 0.47 | 1 | 0.23 |
| 20 | Saussurea yunnanensis | S. yunnanensis | Perennial herb | Compositae | 1 | 0.28 | 0 | — | 1 | 0.45 |
| 21 | Pedicularis gruina | P. gruina | Perennial herb | Scrophulariaceae | 0 | — | 1 | 0.04 | 0 | 0 |
| 22 | Oxyria sinensis Hemsl. | O. sinensis | Perennial herb | Polygonaceae | 0 | — | 0 | — | 1 | 0.23 |
| 23 | Geranium nepalense | G. nepalense | Perennial herb | Geraniaceae | 1 | 0.04 | 0 | — | 0 | — |
| 24 | Trifolium repens | T. repens | Perennial herb | Fabaceae | 0 | — | 1 | 0.14 | 1 | 0.14 |
| 25 | Viola szetschwanensis | V. szetschwanensis | Perennial herb | Violaceae | 1 | 0.23 | 0 | 1 | 1 | 0.28 |
| 26 | Aster senecioides | A. senecioides | Perennial herb | Compositae | 1 | 0.33 | 1 | 0.26 | 1 | 0.87 |
| 27 | Clinopodium chinense | C. chinense | Perennial herb | Labiatae | 1 | 0.32 | 0 | — | 0 | — |
| 28 | Rabdosia pleiophylla | I. pleiophyllus | Perennial herb | Labiatae | 1 | 0.24 | 0 | — | 0 | — |
| 29 | Lolium perenne | L. perenne | Perennial herb | Gramineae | 1 | 0.16 | 1 | 0.31 | 1 | 0.38 |
| 30 | Fragaria moupinensis | F. moupinensis | Perennial herb | Rosaceae | 1 | 3.12 | 1 | 0.49 | 1 | 1.34 |
| 31 | Potentilla supina | P. supina | Perennial herb | Rosaceae | 1 | 2.28 | 1 | 1.63 | 1 | 2.57 |
| 32 | Polygonum viviparum | B. vivipara | Perennial herb | Polygonaceae | 1 | 0.06 | 0 | — | 0 | — |
| 33 | Buddleja davidi | B. davidi | Subshrubs | Scrophulariaceae | 1 | 2.44 | 1 | 0.93 | 1 | 2.11 |
| 34 | Ajania quercifolia | A. quercifolia | Subshrubs | Compositae | 1 | 0.28 | 0 | — | 0 | — |
References
- Li, M.S. Ecological Restoration of Mineland with Particular Reference to the Metalliferous Mine Wasteland in China: A Review of Research and Practice. Sci. Total Environ. 2006, 357, 38–53. [Google Scholar] [CrossRef] [PubMed]
- Cui, Z.; Kang, H.; Wang, W.; Guo, W.; Guo, M.; Chen, Z. Vegetation Restoration Restricts Rill Development on Dump Slopes in Coalfields. Sci. Total Environ. 2022, 820, 153203. [Google Scholar] [CrossRef]
- Song, B.M.; Liu, J.; Zhang, Y.H.; Wang, R.Q. Characteristics of soil and vegetation during natural restoration process in abandoned quarry. J. Shandong Univ. (Nat. Sci.) 2022, 57, 8–19. [Google Scholar] [CrossRef]
- Zhang, J.D.; Xi, F.R. Study on Ecological Restoration of Abandoned Mines in China. Acta Ecol. Sin. 2020, 40, 7921–7930. [Google Scholar] [CrossRef]
- Bauman, J.M.; Cochran, C.; Chapman, J.; Gilland, K. Plant Community Development Following Restoration Treatments on a Legacy Reclaimed Mine Site. Ecol. Eng. 2015, 83, 521–528. [Google Scholar] [CrossRef]
- Li, S.; Liber, K. Influence of Different Revegetation Choices on Plant Community and Soil Development Nine Years after Initial Planting on a Reclaimed Coal Gob Pile in the Shanxi Mining Area, China. Sci. Total Environ. 2018, 618, 1314–1323. [Google Scholar] [CrossRef]
- Holl, K.D. Long-Term Vegetation Recovery on Reclaimed Coal Surface Mines in the Eastern USA. J. Appl. Ecol. 2002, 39, 960–970. [Google Scholar] [CrossRef]
- Hamman, S.T.; Hawkes, C.V. Biogeochemical and Microbial Legacies of Non-Native Grasses Can Affect Restoration Success. Restor. Ecol. 2013, 21, 58–66. [Google Scholar] [CrossRef]
- Swab, R.M.; Lorenz, N.; Byrd, S.; Dick, R. Native Vegetation in Reclamation: Improving Habitat and Ecosystem Function through Using Prairie Species in Mine Land Reclamation. Ecol. Eng. 2017, 108, 525–536. [Google Scholar] [CrossRef]
- Wu, B.; Peng, H.; Sheng, M.; Luo, H.; Wang, X.; Zhang, R.; Xu, F.; Xu, H. Evaluation of Phytoremediation Potential of Native Dominant Plants and Spatial Distribution of Heavy Metals in Abandoned Mining Area in Southwest China. Ecotoxicol. Environ. Saf. 2021, 220, 112368. [Google Scholar] [CrossRef]
- Xu, X.; Zhang, D. Comparing the Long-Term Effects of Artificial and Natural Vegetation Restoration Strategies: A Case-Study of Wuqi and Its Adjacent Counties in Northern China. Land Degrad. Dev. 2021, 32, 3930–3945. [Google Scholar] [CrossRef]
- Lei, K.; Pan, H.; Lin, C. A Landscape Approach towards Ecological Restoration and Sustainable Development of Mining Areas. Ecol. Eng. 2016, 90, 320–325. [Google Scholar] [CrossRef]
- Mi, J.; Liu, R.; Zhang, S.; Hou, H.; Yang, Y.; Chen, F.; Zhang, L. Vegetation Patterns on a Landslide after Five Years of Natural Restoration in the Loess Plateau Mining Area in China. Ecol. Eng. 2019, 136, 46–54. [Google Scholar] [CrossRef]
- Prach, K.; Hobbs, R.J. Spontaneous Succession versus Technical Reclamation in the Restoration of Disturbed Sites. Restor. Ecol. 2008, 16, 363–366. [Google Scholar] [CrossRef]
- Zhenqi, H.; Peijun, W.; Jing, L. Ecological Restoration of Abandoned Mine Land in China. J. Resour. Ecol. 2012, 3, 289–296. [Google Scholar] [CrossRef]
- Wang, J.; Luo, X.; Zhang, Y.; Huang, Y.; Rajendran, M.; Xue, S. Plant Species Diversity for Vegetation Restoration in Manganese Tailing Wasteland. Environ. Sci. Pollut. Res. 2018, 25, 24101–24110. [Google Scholar] [CrossRef]
- Wang, G.L.; Bai, Z.K. Main limiting factors for revegetation and measures of dumping site in Antaibao opencast mine. Res. Soil Water Conserv. 2002, 99, 38–40. [Google Scholar]
- Ma, X.H.; Jiao, J.Y.; Bai, W.J.; Jiao, F.; Wen, Z.M. Contribution of soil nutrient factors to vegetation restoration in the loess hilly and gully area of abandoned farmland. Acta Bot. Boreali-Occident. Sin. 2005, 25, 328–335. [Google Scholar] [CrossRef]
- Guo, D.G.; Zhao, B.Q.; Shangguan, T.L.; Bai, Z.K.; Shao, H.B. Dynamic Parameters of Plant Communities Partially Reflect the Soil Quality Improvement in Eco-Reclamation Area of an Opencast Coal Mine. CLEAN Soil Air Water 2013, 41, 1018–1026. [Google Scholar] [CrossRef]
- Wang, J.; Wang, H.; Cao, Y.; Bai, Z.; Qin, Q. Effects of Soil and Topographic Factors on Vegetation Restoration in Opencast Coal Mine Dumps Located in a Loess Area. Sci. Rep. 2016, 6, 22058. [Google Scholar] [CrossRef] [PubMed]
- Xiong, J.; Song, J.; Zhao, M.; Lu, X.; Chen, Y.; Feng, W.; Qiao, Y.; Li, W. Synergistic Ecological Remediation of Tailings in High Altitude Ecologically Fragile Areas by Ryegrass (Lolium Perenne L.) and Activated Carbon. Int. J. Phytorem. 2025, 27, 949–957. [Google Scholar] [CrossRef]
- Sun, Y.; Yao, X.; Li, C.; Xie, Y. Physiological Adaptability of Three Gramineae Plants under Various Vegetation Restoration Models in Mining Area of Qinghai-Tibet Plateau. J. Plant Physiol. 2022, 276, 153760. [Google Scholar] [CrossRef]
- Jin, L.; Li, X.; Sun, H.; Wang, J.; Zhang, J.; Zhang, Y. Effects of Restoration Years on Vegetation and Soil Characteristics under Different Artificial Measures in Alpine Mining Areas, West China. Sustainability 2022, 14, 10889. [Google Scholar] [CrossRef]
- Ren, H.; Zhao, Y.; Xiao, W.; Li, J.; Yang, X. Influence of Management on Vegetation Restoration in Coal Waste Dump after Reclamation in Semi-Arid Mining Areas: Examining ShengLi Coalfield in Inner Mongolia, China. Environ. Sci. Pollut. Res. 2021, 28, 68460–68474. [Google Scholar] [CrossRef] [PubMed]
- Pandey, B.; Agrawal, M.; Singh, S. Coal Mining Activities Change Plant Community Structure Due to Air Pollution and Soil Degradation. Ecotoxicology 2014, 23, 1474–1483. [Google Scholar] [CrossRef] [PubMed]
- Li, X.; Ren, H.; Bei, S.K.; He, G.; Rong, T.T.; Su, S.M. Spatial Distribution Characteristics of Plant Communities and Their Relevant Driving Factors in Coal Gangue Hill of Jinhuagong Mine. Soil Bull. 2018, 49, 813–821. [Google Scholar] [CrossRef]
- Temperton, V.M.; Zirr, K. Order of Arrival and Availability of Safe Sites: An Example of Their Importance for Plant Community Assembly in Stressed Ecosystems. In Assembly Rules and Restoration Ecology: Bridging the Gap Between Theory and Practice, 1st ed.; 2004; Volume 5, p. 285. [Google Scholar]
- Yuan, Y.; Zhao, Z.; Niu, S.; Li, X.; Wang, Y.; Bai, Z. Reclamation Promotes the Succession of the Soil and Vegetation in Opencast Coal Mine: A Case Study from Robinia Pseudoacacia Reclaimed Forests, Pingshuo Mine, China. Catena 2018, 165, 72–79. [Google Scholar] [CrossRef]
- Campillo-Cora, C.; Rodríguez-Seijo, A.; Pérez-Rodríguez, P.; Fernández-Calviño, D.; Santás-Miguel, V. Effect of Heavy Metal Pollution on Soil Microorganisms: Influence of Soil Physicochemical Properties. A Systematic Review. Eur. J. Soil Biol. 2025, 124, 103706. [Google Scholar] [CrossRef]
- Yang, Z.M.; Hou, Z.Q.; Zhou, L.M.; Zhou, Y.W. Critical elements in porphyry copper deposits of China. Chin. Sci. Bull. 2020, 65, 3653–3664. [Google Scholar] [CrossRef]
- China Environmental Monitoring Station. Background Value of Soil Elements in China; China Environmental Science Press: Beijing, China, 1990; pp. 230–434. [Google Scholar]
- Pennekamp, F.; Pontarp, M.; Tabi, A.; Altermatt, F.; Alther, R.; Choffat, Y.; Fronhofer, E.A.; Ganesanandamoorthy, P.; Garnier, A.; Griffiths, J.I.; et al. Biodiversity Increases and Decreases Ecosystem Stability. Nature 2018, 563, 109–112. [Google Scholar] [CrossRef] [PubMed]
- Liu, K.; Zhang, H.; Liu, Y.; Li, Y.; Yu, F. Investigation of Plant Species and Their Heavy Metal Accumulation in Manganese Mine Tailings in Pingle Mn Mine, China. Environ. Sci. Pollut. Res. 2020, 27, 19933–19945. [Google Scholar] [CrossRef]
- Zhang, L.; Lu, Z.H.; Tang, S.Y.; Zhang, M.; Zhang, R.T.; Huang, Y.K.; Shang, Z. Slope vegetation characteristics and community stability at different restoration years of open-pit coal mine waste dump. Acta Ecol. Sin. 2021, 41, 5764–5774. [Google Scholar] [CrossRef]
- Gao, D.; He, X.H. Advances in biodiversity and ecosystem stability. J. Ecol. 2010, 29, 2507–2513. [Google Scholar] [CrossRef]
- Trabucchi, M.; Comín, F.A.; O’Farrell, P.J. Hierarchical Priority Setting for Restoration in a Watershed in NE Spain, Based on Assessments of Soil Erosion and Ecosystem Services. Reg. Environ. Change 2013, 13, 911–926. [Google Scholar] [CrossRef]
- Kicińska, A.; Pomykała, R.; Izquierdo-Diaz, M. Changes in Soil pH and Mobility of Heavy Metals in Contaminated Soils. Eur. J. Soil Sci. 2022, 73, e13203. [Google Scholar] [CrossRef]
- Shaheb, M.R.; Venkatesh, R.; Shearer, S.A. A Review on the Effect of Soil Compaction and Its Management for Sustainable Crop Production. J. Biosyst. Eng. 2021, 46, 417–439. [Google Scholar] [CrossRef]
- Chafik, Y.; Sena-Velez, M.; Henaut, H.; Missbah El Idrissi, M.; Carpin, S.; Bourgerie, S.; Morabito, D. Synergistic Effects of Compost and Biochar on Soil Health and Heavy Metal Stabilization in Contaminated Mine Soils. Agronomy 2025, 15, 1295. [Google Scholar] [CrossRef]
- Huang, X.; Hong, Y.; Li, Q.; Liu, Z.; Liu, K. Characteristics and Driving Forces of the Soil Microbial Community during 35 Years of Natural Restoration in Abandoned Areas of the Daxin Manganese Mine, China. Environ. Geochem. Health 2024, 46, 413–432. [Google Scholar] [CrossRef]
- Zhou, Z.H.; Zhang, Y.X.; Xu, R.Z.; Wu, C.R.; Huang, Y.L.; Song, B. Enrichment characteristics and application potential of heavy metals in dominant plants around lead-zinc mining area in karst area of Songbo Guangxi. Environ. Sci. 2025, 46, 6621–6629. [Google Scholar] [CrossRef]
- Zhao, M.S.; Zhang, G.L.; Wang, D.C.; Li, D.C.; Pan, X.Z.; Zhao, Y.G. Analysis of spatial variation characteristics and main controlling factors of soil organic matter in Xuhuai-Huangpan Plain. Acta Pedol. Sin. 2013, 50, 1–11. [Google Scholar]
- Yang, Y.L.; Xu, M.; Zhang, J.; Nie, K.; Wen, C.Y.; Zhang, J. Characteristics of Communities and Soil Physicochemical Properties of Different Pinus massontana in Central Guizhou. Res. Soil Water Conserv. 2022, 29, 119–126. [Google Scholar] [CrossRef]
- Matthews, T.J.; Triantis, K.A.; Rigal, F.; Borregaard, M.K.; Guilhaumon, F.; Whittaker, R.J. Island Species–Area Relationships and Species Accumulation Curves Are Not Equivalent: An Analysis of Habitat Island Datasets. Glob. Ecol. Biogeogr. 2016, 25, 607–618. [Google Scholar] [CrossRef]
- Chai, H.; He, N.P. Characteristics of soil bulk density in China and its significance for regional carbon storage estimation. Acta Ecol. Sin. 2016, 36, 3903–3910. [Google Scholar] [CrossRef]
- Du, H.; Peng, W.-X.; Song, T.-Q.; Wang, K.-L.; Zeng, F.-P.; Lu, S.-Y.; Shi, W.-W.; Tang, C.; Tan, Q.-J. Plant Community Characteristics and Its Coupling Relationships with Soil in Depressions between Karst Hills, North Guangxi, China: Plant Community Characteristics and Its Coupling Relationships with Soil in Depressions between Karst Hills, North Guangxi, China. Chin. J. Plant Ecol. 2013, 37, 197–208. [Google Scholar] [CrossRef]
- Minasny, B.; Malone, B.P.; McBratney, A.B.; Angers, D.A.; Arrouays, D.; Chambers, A.; Chaplot, V.; Chen, Z.-S.; Cheng, K.; Das, B.S.; et al. Soil Carbon 4 per Mille. Geoderma 2017, 292, 59–86. [Google Scholar] [CrossRef]
- Gazitúa, M.C.; Morgante, V.; Poupin, M.J.; Ledger, T.; Rodríguez-Valdecantos, G.; Herrera, C.; Del Carmen González-Chávez, M.; Ginocchio, R.; González, B. The Microbial Community from the Early-Plant Colonizer (Baccharis linearis) Is Required for Plant Establishment on Copper Mine Tailings. Sci. Rep. 2021, 11, 10448. [Google Scholar] [CrossRef]
- Gagnon, V.; Rodrigue-Morin, M.; Tremblay, J.; Wasserscheid, J.; Champagne, J.; Bellenger, J.-P.; Greer, C.W.; Roy, S. Vegetation Drives the Structure of Active Microbial Communities on an Acidogenic Mine Tailings Deposit. PeerJ 2020, 8, e10109. [Google Scholar] [CrossRef]
- Vloon, C.C.; Evju, M.; Klanderud, K.; Hagen, D. Alpine Restoration: Planting and Seeding of Native Species Facilitate Vegetation Recovery. Restor. Ecol. 2022, 30, e13479. [Google Scholar] [CrossRef]
- Jin, Y.C.; Chen, W.; Mao, G.H.; Chen, S.B.; Luo, H.; Wang, L.H. Evaluation of climate adaptability and planting zoning of Chinese prickly ash in Yanyuan County. Sichuan For. Sci. Technol. 2021, 42, 94–98. [Google Scholar] [CrossRef]
- Lu, R.K. Soil Agrochemical Analysis Methods, 1st ed.; China Agricultural Science and Technology Press: Beijing, China, 2000; pp. 45–56. [Google Scholar]
- Xiong, W. Determination of Trace Mercury in Soil by Hydride Generation Atomic Fluorescence Spectrometry. Spectrosc. Spectr. Anal. 2001, 21, 382–383. [Google Scholar]
- Li, X.Y.; Zhang, M.; Guo, Y.N.; Li, D.D.; Deng, Y.; Lu, Z.H. The relationship between understory plant diversity and soil factors in coal mining subsidence areas. J. Soil Water Conserv. 2022, 36, 268–276. [Google Scholar] [CrossRef]
- Zheng, Y.R. A preliminary study on the research methods of forest community stability. Sci. Silvae Sin. 2000, 36, 28–32. [Google Scholar] [CrossRef]
- Chen, Y.; Ji, H.B.; Zhu, X.F.; Huang, X.X.; Qiao, M.M. Heavy Metal Speciation and Potential Risk Assessment in Soils Around Detiangou and Qifengcha Gold Deposits in Beijing, China. J. Agro-Environ. Sci. 2012, 31, 2142–2151. [Google Scholar]
- He, X.W.; Wang, Y.X.; Fang, Z.Q.; Cui, X.Y.; Zhang, S.Y. Pollution Characteristics and Pollution Risk Evaluation of Heavy Metals in Soil of Lead-zinc Mining Area. J. Environ. Eng. Technol. 2016, 6, 476–483. [Google Scholar] [CrossRef]
- Gu, Y.; Jiang, P.; Tan, L.; Li, M.D.; Tang, Z.Q.; Wu, H.Y.; Liu, Q.F. Enrichment Characteristics of Cadmium by Six Plants in Soil. Chin. Agric. Sci. Bull. 2019, 35, 119–123. [Google Scholar] [CrossRef]










| Index | Max/(mg·kg−1) | Min/(mg·kg−1) | Mean/(mg·kg−1) | CV(%) | Background Value | Si | PI |
|---|---|---|---|---|---|---|---|
| Au | 0.11 | 0.001 | 0.02 | 14.49 | 0.0028 | 7.10 | 8.09 |
| As | 141.27 | 2.55 | 30.28 | 11.85 | 10.40 | 2.91 | |
| Hg | 0.17 | 0.02 | 0.07 | 3.30 | 0.065 | 1.05 | |
| Se | 0.59 | 0.03 | 0.27 | 9.51 | 0.095 | 2.86 | |
| Cu | 284.07 | 36.23 | 171.36 | 4.73 | 31.10 | 5.51 | |
| Total Fe2O3 | 161,900.00 | 41,200.00 | 95,049.72 | 2.31 | 33,000.00 | 2.88 | |
| Ti | 21,093.00 | 3300.00 | 10,861.39 | 3.29 | 5072.00 | 2.14 | |
| Cr | 562.00 | 51.56 | 201.45 | 3.91 | 79.00 | 2.55 | |
| W | 49.80 | 2.49 | 17.54 | 7.05 | 2.42 | 7.25 | |
| Zn | 286.80 | 94.52 | 138.80 | 1.47 | 86.50 | 1.60 | |
| Mo | 35.57 | 1.10 | 8.11 | 7.34 | 1.00 | 8.11 | |
| Pb | 370.28 | 38.50 | 140.17 | 3.64 | 30.90 | 4.54 | |
| U | 8.83 | 3.14 | 5.16 | 1.64 | 3.05 | 1.69 | |
| Ag | 8.70 | 0.16 | 1.24 | 7.81 | 0.109 | 11.39 | |
| Sn | 7.86 | 2.34 | 5.26 | 2.25 | 2.30 | 2.29 |
| Numbering | Plot Type | Curve Type | R2 | p | Intersection Point | Result | |
|---|---|---|---|---|---|---|---|
| X | Y | ||||||
| Q | Propylite | y = 1.719X2 − 0.910X + 34.713 | R2 = 0.931 | <0.001 | 23.33 | 75.43 | Relative stability |
| B | Porphyry | y = 1.874X2 − 0.018X + 16.889 | R2 = 0.978 | <0.001 | 31.82 | 68.76 | Instability |
| N | Siltstone | y = 1.776X2 + 0.014X + 22.422 | R2 = 0.956 | <0.001 | 29.42 | 69.64 | Instability |
| Species | pH | BCF (Mean) |
|---|---|---|
| Cynoglossum wallichii | 5.557 | 0.523 |
| Dicranopteris pedata | 5.593 | 0.160 |
| Buddleja davidi | 5.667 | 0.074 |
| Potentilla supina | 5.310 | 1.397 |
| Si | Pollution Level | PI | Extent of Injury |
|---|---|---|---|
| Si ≤ 1 | Pollution-free | PI ≤ 0.7 | Pollution free |
| 1 < Si ≤ 2 | Slight pollution | 0.7 < PI ≤ 1.0 | Alert level |
| 2 < Si ≤ 3 | Light pollution | 1.0 < PI ≤ 2.0 | Light pollution |
| 3 < Si ≤ 5 | Moderate pollution | 2.0 < PI ≤ 3.0 | Moderate pollution |
| Si > 5 | Heavy pollution | PI > 3.0 | Heavy pollution |
Disclaimer/Publisher’s Note: The statements, opinions and data contained in all publications are solely those of the individual author(s) and contributor(s) and not of MDPI and/or the editor(s). MDPI and/or the editor(s) disclaim responsibility for any injury to people or property resulting from any ideas, methods, instructions or products referred to in the content. |
© 2026 by the authors. Licensee MDPI, Basel, Switzerland. This article is an open access article distributed under the terms and conditions of the Creative Commons Attribution (CC BY) license.
Share and Cite
Wei, Z.; Zhao, Y.; He, L.; Wang, G.; Hong, X.; Ashuo, K.; Zhou, S.; Li, M. Lithological Inheritance Governs Spontaneous Vegetation Succession on Contaminated Soils and Indirectly Regulates Soil–Plant Uranium Transfer in High-Altitude Mine Wastelands, Southwest China. Plants 2026, 15, 854. https://doi.org/10.3390/plants15060854
Wei Z, Zhao Y, He L, Wang G, Hong X, Ashuo K, Zhou S, Li M. Lithological Inheritance Governs Spontaneous Vegetation Succession on Contaminated Soils and Indirectly Regulates Soil–Plant Uranium Transfer in High-Altitude Mine Wastelands, Southwest China. Plants. 2026; 15(6):854. https://doi.org/10.3390/plants15060854
Chicago/Turabian StyleWei, Zhijun, Yinquan Zhao, Linjun He, Guoyan Wang, Xinyu Hong, Kezhemo Ashuo, Sijian Zhou, and Maoyuan Li. 2026. "Lithological Inheritance Governs Spontaneous Vegetation Succession on Contaminated Soils and Indirectly Regulates Soil–Plant Uranium Transfer in High-Altitude Mine Wastelands, Southwest China" Plants 15, no. 6: 854. https://doi.org/10.3390/plants15060854
APA StyleWei, Z., Zhao, Y., He, L., Wang, G., Hong, X., Ashuo, K., Zhou, S., & Li, M. (2026). Lithological Inheritance Governs Spontaneous Vegetation Succession on Contaminated Soils and Indirectly Regulates Soil–Plant Uranium Transfer in High-Altitude Mine Wastelands, Southwest China. Plants, 15(6), 854. https://doi.org/10.3390/plants15060854

