Next Article in Journal / Special Issue
Occurrence, Characteristics, and Risk Implications of Microplastics in Coastal Sediments and Shallow Groundwater: Evidence from Cox’s Bazar, Bangladesh
Previous Article in Journal
Assessment of the Suitability and Accuracy of Different Methods to Determine the Degree of Photodegradation of High- and Low-Density Polyethylene, Polypropylene, Polyvinyl Chloride, Nylon and Polystyrene Microplastics
Previous Article in Special Issue
Impact of Synthetic Microfibers on Cellular and Biochemical Biomarkers in Mussel Mytilus galloprovincialis
 
 
Font Type:
Arial Georgia Verdana
Font Size:
Aa Aa Aa
Line Spacing:
Column Width:
Background:
Article

UV–Photocatalytic Degradation of Polyethylene and Polystyrene Microplastics in Water: Rapid Spectroscopic and Thermal Metrics for Early Oxidation

1
Institute of Physics, University of Belgrade, Pregrevica 118, 11080 Belgrade, Serbia
2
Institute Vinca, University of Belgrade, 11001 Belgrade, Serbia
3
Faculty of Technology and Metallurgy, University of Belgrade, 11000 Belgrade, Serbia
*
Authors to whom correspondence should be addressed.
Microplastics 2026, 5(2), 63; https://doi.org/10.3390/microplastics5020063
Submission received: 29 January 2026 / Revised: 18 March 2026 / Accepted: 23 March 2026 / Published: 2 April 2026

Abstract

Heterogeneous photocatalysis increasingly requires rapid polymer degradation tests relevant to aqueous conditions. In this study, a multi-technique approach was developed to monitor the early-stage photo-oxidation of polyethylene (PE) and polystyrene (PS) microplastics in an aqueous ZnO–TiO2 suspension under combined ultraviolet A and ultraviolet B (UV-A/B) irradiation. The changes were analyzed by ATR-FTIR and Raman spectroscopy, DSC, and gravimetric measurements. For PE, the carbonyl index increased from 0.0189 to 0.1350 after 12 h, mass loss reached 16.98%, and crystallinity decreased from 32.05% to 25.36% after 8 h. The Raman spectra of PE showed band broadening and intensity redistribution, indicating increasing structural disorder. In contrast, PS showed weaker Raman changes, while FTIR revealed a non-monotonic carbonyl-index response, and DSC showed a 2.2 °C increase in Tg after 12 h. Gravimetric analysis also showed measurable mass loss in PS, reaching 18.62% after 12 h. The results demonstrate that the combined use of ATR-FTIR, Raman, DSC, and gravimetry enables reliable distinction between early oxidation, surface modification, and material erosion in photocatalytically treated microplastics.

1. Introduction

Among the most abundant and environmentally relevant polymers are polyethylene (PE) and polystyrene (PS), which are widely used in packaging, films, disposable products, expanded foams, and various consumer items. Their large-scale production and use, together with fragmentation during use and after disposal, directly contribute to the substantial environmental burden of secondary microplastics. At the same time, PE and PS differ significantly in chemical structure and therefore in degradation behavior: PE is an aliphatic polyolefin dominated by methylene sequences, whereas PS contains an aromatic backbone with phenyl groups, which can influence radical stabilization, oxidation pathways, and spectroscopic response. This distinction is important because studies of microplastic aging under both natural and accelerated conditions increasingly show that polymer composition strongly affects oxidation rate, surface chemistry, and the analytical signatures used to track degradation [1]. For this reason, comparative studies of chemically distinct polymers are essential if one aims to move beyond general statements about “microplastic degradation” and toward polymer-specific understanding.
Abiotic degradation of commercial polymers in natural environments is typically initiated by solar UV radiation, oxygen, and mechanical or thermal stress. However, in many systems, such photo-oxidation remains relatively slow, shallow, and surface-confined, especially over short exposure times. This limitation has driven growing interest in photocatalytic approaches based on semiconductor oxides such as TiO2 and ZnO, which under UV or visible irradiation generate reactive oxygen species (ROS) capable of initiating oxidation, chain scission, oxygen incorporation, and, at longer exposure times, fragmentation and progressive mineralization [2,3,4,5]. Recent review papers emphasize that photocatalytic treatment of microplastics is a rapidly expanding field, with increasing focus on degradation mechanisms, reaction kinetics, catalyst modification, and reactor design [6]. At the same time, these reviews clearly show that the field still faces important limitations, including incomplete mechanistic resolution, strong dependence on irradiation conditions, and the need to connect apparent degradation efficiency with chemically meaningful indicators of polymer transformation [1].
In this context, TiO2–ZnO systems are often considered promising photocatalytic platforms. Their significance lies in the possibility that the interface between the two semiconductors may improve electron–hole separation and reduce recombination losses, thereby enhancing oxidative activity under irradiation. Accordingly, mechanistic concepts such as n–n junctions and Z-/S-scheme charge-transfer models are widely used to explain the behavior of mixed oxide systems [4,7,8,9]. Nevertheless, the photocatalytic degradation literature also shows that activity cannot be interpreted solely in terms of catalyst architecture. The way oxidation develops and how degradation should be evaluated also depend on polymer composition, particle morphology, irradiation wavelength, aqueous chemistry, and mass-transfer conditions [4,6]. This is particularly important for microplastics, where the boundary between surface oxidation, bulk material modification, fragmentation, and apparent removal is often blurred.
For the analytical tracking of early polymer transformations, ATR-FTIR and Raman spectroscopy remain among the most important diagnostic tools. FTIR spectroscopy is widely used to detect the development of oxygen-containing groups, particularly carbonyl absorption in the ~1710–1730 cm−1 region, which is often expressed through the carbonyl index (CI). However, the recent literature emphasizes that CI values are highly sensitive to the way the baseline, integration region, and normalization bands are defined, making methodological transparency essential when comparing results across different studies [2,10]. Raman spectroscopy provides complementary information on polymer chain order, local packing, and characteristic vibrational modes, including aromatic ring modes in PS and skeletal/methylene modes in PE. Together with thermal analysis, these methods are increasingly recognized as important tools for evaluating microplastic aging and photocatalytic degradation, since they can reveal chemical and structural changes before complete fragmentation occurs [11,12]. At the same time, comparative analytical studies have shown that different techniques do not provide interchangeable information; rather, they probe different aspects of polymer transformation and therefore need to be interpreted together within a coordinated framework [12].
Experimental work in this field has already demonstrated the potential of photocatalytic systems to accelerate degradation-related changes in polymers, while also highlighting important limitations of the existing literature. ZnO and modified ZnO systems, including plasmonic Pt/ZnO and related photocatalysts, have been shown to accelerate the chemical aging of polyethylene and other polymers under UV or visible irradiation, as reflected in increased CI, deterioration of material properties, and progressive surface erosion [5,13]. Similarly, more complex photocatalytic architectures, such as TiO2-coated ZnO tetrapods, have been shown to induce intensive degradation or even complete mass loss of certain microplastics under prolonged UV exposure, underscoring the importance of catalyst design and reactor optimization [14]. More recent studies also show that photocatalytic degradation depends strongly on polymer type. For example, different microplastics exposed to TiO2-coated ZnO tetrapods under UV illumination exhibited polymer-dependent degradation behavior, confirming that chemically distinct polymers cannot be expected to respond identically even under the same irradiation conditions and in the presence of the same catalyst [15]. In parallel, kinetic studies such as the work of Aragón et al. on TiO2-mediated degradation of polyethylene microplastics under UV light have provided important insight into the temporal evolution of degradation in single-polymer systems [11,16,17]. Taken together, these studies clearly show that the field is advancing rapidly, but also that many reports remain focused on catalyst performance, overall degradation efficiency, long exposure times, or only a single polymer material.
An additional issue is that the literature often emphasizes end-point outcomes such as total mass loss, mineralization, or visible fragmentation, whereas the early oxidation stage remains much less systematically explored. Yet this early stage is scientifically very important, because it is the period in which oxidation-sensitive chemical markers first appear, chain packing begins to change, and it is still possible to distinguish surface modification from bulk degradation. Moreover, although polymer-specific and catalyst-specific studies exist, direct comparative investigations of PE and PS under the same short-term UV-A/B photocatalytic conditions in aqueous suspension remain relatively limited, especially when analyzed through a truly integrated approach combining ATR-FTIR, Raman spectroscopy, DSC, and gravimetry [11,15,16,17]. This gap is important because PE and PS represent not only two highly prevalent environmental polymers, but also two chemically distinct degradation models: one aliphatic and more prone to oxidation, the other aromatically stabilized and therefore expected to respond differently under identical photocatalytic treatment conditions.
For these reasons, the present work is not conceived as a claim of novelty for photocatalytic polymer degradation in general, but rather as a contribution to a more specific and still insufficiently developed area: the integrated diagnosis of the early oxidation stage of chemically distinct microplastics under controlled short-term photocatalytic conditions. The experimental design was therefore directed toward a controlled aqueous model system for comparing the initial oxidation response of PE and PS under ZnO–TiO2-assisted UV-A/B irradiation, rather than toward fully reproducing the chemical and morphological complexity of natural aquatic environments. By combining ATR-FTIR, Raman spectroscopy, DSC analysis, and gravimetric measurements, the aim of this work is to clarify how two common polymers differ in their early oxidation behavior under identical treatment conditions and to identify a practical multi-technique framework for evaluating photocatalytically assisted aging before extensive fragmentation becomes dominant [11,15,16,17].

2. Materials and Methods

2.1. Polymers

Polystyrene (PS) is an amorphous thermoplastic with an aromatic phenyl ring (Figure 1); it exhibits strong UV absorption (~260 nm) and characteristic FTIR/Raman bands (~1601, 1493, 1001 cm−1).
Polyethylene (PE, low density) is a semicrystalline polyolefin (Figure 2); in FTIR, CH2 vibrations dominate at ~2920/2850 cm−1 (νas/νs), 1472/1462 cm−1 (δCH2), and 720 cm−1 (ρCH2). Crystallinity influences the rate of photo-oxidation and the intensity of spectroscopic markers.
Both polymers are of commercial origin (Sigma-Aldrich, Merck, KGaA, Darmstadt, Germany) and were used without further treatment apart from standard cleaning. Accordingly, the PE–PS comparison presented here should be interpreted as a comparison of two commercial model polymers under identical treatment conditions, with the understanding that possible differences in additive content cannot be fully excluded. Samples were prepared as granules/pellets ~2.5 mm (manually cut for uniformity), then washed with ethanol and distilled water, dried at 50 °C for 1 h, and conditioned at room temperature (overnight).
The PE and PS particles used in this study were prepared as simplified laboratory model microplastics intended to provide controlled composition, reproducible dimensions, and a consistent basis for comparative analysis, rather than to fully reproduce the morphological and chemical complexity of environmentally weathered microplastics.

2.2. Photocatalysts and Solvent

Commercial zinc oxide (ZnO, nanopowder, <100 nm, 99.9%) and titanium dioxide (TiO2, anatase phase, <25 nm, 99.7%) were obtained from Sigma-Aldrich and used as received. Distilled water was used as the solvent for preparing the photocatalyst suspensions.

2.3. Preparation of the ZnO–TiO2 Photocatalytic Suspension

A hybrid suspension was prepared by dispersing ZnO and TiO2 powders in distilled water at a 1:1 (w/w) mass ratio, using 0.25 g of each oxide in 100 mL of water. The suspension was ultrasonicated for 30 min in a bath sonicator (40 kHz, 100 W) to improve dispersion of the oxide particles before irradiation. ZnO and TiO2 were used as commercial powders as received, without additional calcination or thermal treatment. Under these preparation conditions, the oxide phases were not intentionally modified, since the main objective of this study was not photocatalyst optimisation but the comparative evaluation of polymer degradation diagnostics in a mixed-oxide aqueous slurry.
The suspension was prepared immediately before use and applied under identical conditions in all experiments. During UV exposure, gentle stirring was applied to reduce sedimentation of the oxide particles and to maintain a more uniform catalyst distribution throughout the irradiation period. However, as expected for a slurry-based photocatalytic system, complete elimination of sedimentation and perfectly uniform local catalyst–polymer contact cannot be assumed.
A 1:1 (w/w) ZnO/TiO2 mass ratio was selected as a simple and reproducible mixed-oxide formulation commonly used in comparative photocatalytic studies. This equimass composition was employed here as a representative binary oxide slurry, while the primary focus of the work was placed on structurally resolved diagnostics of early-stage polymer degradation rather than on optimisation of catalyst composition for maximum photocatalytic efficiency.

2.4. Photocatalytic Treatment Procedure

Granules of PS and PE were immersed in the prepared ZnO–TiO2 suspension in separate glass Petri dishes. For each polymer, nine samples were prepared—three samples for UV exposure of 4 h, 8 h, and 12 h, respectively.
The exposure was performed using a UV source placed in a closed chamber to maintain uniform irradiation conditions at room temperature. The irradiation was performed in an ASTM G154-type UV weathering setup equipped with UVA-340 and UVB-313 fluorescent UV lamps (ASTM G154-type). The lamp–sample distance was 25 cm, and the irradiation geometry, sample positioning, and irradiance stability were kept constant throughout each exposure cycle (Figure 2).
After UV treatment, samples were carefully removed from the suspension, rinsed with distilled water to remove loosely bound particles/photocatalyst, and dried at room temperature prior to further analyses. PE and PS granules were exposed in separate glass Petri dishes containing the freshly prepared ZnO–TiO2 suspension under otherwise identical conditions. The suspension volume, vessel geometry, irradiation distance, and exposure times were kept constant for all experiments. Although gentle stirring was applied to reduce settling of the oxide particles, complete elimination of sedimentation and perfectly uniform catalyst–polymer contact cannot be assumed in this slurry-based system. All experiments were performed using the same initial amount of polymer material under otherwise identical irradiation and suspension conditions; therefore, the observed mass loss reflects treatment-induced changes rather than differences in the initial sample loading.
The present experimental design was intended to provide a controlled and comparative laboratory framework for evaluating early photo-oxidative changes in PE and PS under defined UV-A/B/ZnO–TiO2 exposure conditions, while future studies should address larger sample loadings and parameters relevant to scale-up.
Therefore, the present results should be interpreted as outcomes obtained in a controlled photocatalytic aqueous model system, not as a direct quantitative representation of polymer degradation rates or mechanisms in natural waters.
By tracking changes via Raman and ATR-FTIR spectroscopy, as well as differential scanning calorimetry (DSC), the present approach enables early detection of degradation-related changes in PE and PS. This provides a useful basis for comparative evaluation of treatment-induced physicochemical changes under controlled laboratory conditions.

2.5. Instrumental Techniques

Raman spectroscopy. The optical response of the degraded plastics was examined by Raman spectroscopy using a BWT system with a 785 nm laser line and a 20× objective. The laser power at the sample was kept at ≤2 mW to avoid local heating; typical acquisition parameters were 10–20 s per spectrum with 3 accumulations per spot.
ATR-FTIR spectroscopy. The structural analysis of microplastics with Fourier transform infrared spectroscopy (FTIR) was carried out on a Thermo Scientific Nicolet iS35 spectrometer manufactured in Waltham, MA, USA. The analysis was conducted over a range spanning from 4000 to 500 cm−1, employing a resolution of 4 cm−1.
Differential scanning calorimetry (DSC). Thermal characterization of polymers was performed on a DSC Q10 (Q10, TA Instruments, New Castle, DE, USA) calibrated with indium standard under a nitrogen atmosphere at a flow rate of 50 mL/min. Samples of approximately 3 mg were placed in sealed aluminium pans and heated from 30 to 200 °C for both PE and PS at a scanning rate of 10 °C/min.
For each polymer and exposure time, three independently treated samples were prepared. Replicate samples were used to assess experimental variability and to support the comparative interpretation of the spectroscopic, gravimetric, and thermal trends. In the main figures, representative Raman and ATR-FTIR spectra are shown for clarity of presentation.

3. Raman Analysis of Photodegradation in PE and PS

Raman spectroscopy was used to monitor structural changes in polyethylene (PE) and polystyrene (PS) during photocatalytic treatment in ZnO–TiO2 suspension under UV-A/B radiation (0, 4, 8 and 12 h). The spectra provided insight into the early stages of oxidation and changes in the local order of the polymer chains.
The Raman spectra of polyethylene (PE) acquired at 0, 4, 8, and 12 h of UV-A/B exposure in an aqueous ZnO/TiO2 suspension (Figure 3) reveal early, surface-driven photo-oxidation that perturbs local chain ordering. The reference spectrum at 0 h exhibits the expected band pattern at 1063, 1130, 1166, 1295, 1415, 1437, 2848, and 2883 cm−1. The 1063–1166 cm−1 window arises from skeletal C–C and mixed C–C/C–H deformations, the band at 1295 cm−1 is the order-sensitive δ(CH2) associated with lamellar/crystalline segments, and the 1415/1437 cm−1 doublet corresponds to CH2 scissoring with complementary amorphous- and crystalline-biased components. The high-frequency region features the ν(CH) doublet at 2848/2883 cm−1, a well-established reporter of chain packing and crystallinity in PE. These assignments are consistent with contemporary Raman/IR datasets for polyolefins [18,19].
With increasing exposure time, the spectral evolution is characteristic of the onset of disorder. Most notably, the 1295 cm−1 band progressively weakens and broadens from 4 to 12 h, indicating relaxation of ordered segments and incipient chain scission, while the 1130 cm−1 skeletal band remains comparatively stable. As a result, the I1130/I1295 intensity ratio increases monotonically, providing a compact descriptor of the loss of local order. In parallel, the weight of the 1063/1166 cm−1 region becomes more pronounced by 8–12 h—consistent with an expanding amorphous fraction—and the CH-stretch envelope redistributes toward 2883 cm−1, captured by an increase in I2883/I2848. Together with the rise of the 1415 cm−1 scissoring component relative to 1437 cm−1, these changes delineate a coherent spectroscopic picture of reduced chain packing and partial loss of lamellar order under our short-timescale UV-A/B regime.
A transient feature is observed at 4 h: the overall Raman intensity, especially in the CH-stretch region, briefly increases before declining and broadening at longer times. As exposure proceeds, reactive oxygen species generated at the ZnO/TiO2 interface drive oxidation and chain scission, leading to the familiar decrease in band intensity, growth of linewidths (e.g., FWHM at 1295 cm−1), and bias of the CH-stretch profile toward 2883 cm−1. Analogous short-exposure trends in peak ratios and widths have been reported in quantitative Raman studies of accelerated PE weathering [20].
The Raman indicators identified here align with FTIR evidence for early oxidation—namely, the emergence/intensification of the carbonyl envelope in the 1850–1650 cm−1 region, which we quantify by the carbonyl index using a specified-area method suitable for polyolefins [21]. From the standpoint of the specific contribution of this study, three aspects may be highlighted: (i) the Raman marker triad (↑I1130/I1295, ↑FWHM at 1295 cm−1, ↑I2883/I2848) was evaluated under short-term UV-A/B exposure (≤12 h) using granular PE immersed in an aqueous ZnO/TiO2 suspension rather than thin films or strongly oxidative chemical treatments; (ii) a reproducible early-time intensity transient at ~4 h was observed and interpreted as a non-monotonic feature that may influence the direct interpretation of Raman-based degradation indicators if not explicitly considered; and (iii) a streamlined screening workflow is proposed in which the Raman marker triad is combined with FTIR-derived carbonyl index (and, in the following section, DSC data) to connect early chemical changes with evolving structural behaviour. This integrated, non-destructive readout is positioned for rapid, application-oriented assessment of photocatalytic degradation under conditions that mirror realistic daylight exposure.
Figure 4 shows the Raman spectra of polystyrene (PS) acquired after 0, 4, 8, and 12 h of UV-A/B exposure in an aqueous ZnO/TiO2 suspension. The profile remains typical of PS: an intense aromatic ring “breathing” band near ~1001 cm−1, accompanying ring modes at ~1031–1042 and ~1157 cm−1, C–H in-plane bends at ~1183/1201 cm−1, ring C–C stretching around ~1602 cm−1, and the aromatic ν(C–H) envelope at ~3000–3062 cm−1. This assignment and the stable early-time character are well documented in curated Raman spectral databases and plastics reviews for PS [22].
Under the present short-term UV-A/B/ZnO–TiO2 conditions, PS does not show pronounced Raman evidence of substantial bulk structural modification; however, ATR-FTIR reveals mild but detectable signs of early surface oxidation, including weak carbonyl growth near 1744 cm−1 and small changes in the C–O region.
Why is PS “quiet” at an early stage, while PE shows faster changes?
  • Aromatic ring as a “stabiliser”—The benzene ring in PS acts as an energy and radical scavenger/redistributor; it alters the chain photophysics and reduces the likelihood of rapid C–C backbone scission and the formation of carbonyl defects during the first hours of UV-A/B irradiation. The UV-degradation literature on PS highlights the role of the aromatic chromophore and additives (UV absorbers/antioxidants) in slowing photo-oxidation [23].
  • Higher Tg and more limited segmental mobility—Glassy PS (Tg ≈ 100 °C) undergoes less short-term chain reorganisation than polyethylene at room temperature; therefore, Raman metrics sensitive to order/disorder (e.g., band widths and intensity ratios) remain nearly unchanged in the initial hours. This agrees with comparative accelerated-weathering studies where transformation rates differ among polymers, and polyolefins (PE) typically exhibit earlier oxidation markers than PS at similar fluence [24].
  • Photocatalytic environment not “strong enough” for bulk PS changes over 0–12 h—Under UV-A/B, ZnO/TiO2 generate ROS (•OH, O2, 1O2), but the chemical transformation rate depends on surface state, diffusion and photon dose. In aqueous suspensions and without strong additional oxidants, the early stage often yields minimal Raman changes for PS: rather than band shifts, one more commonly observes a slight fluorescent background (baseline offset/tilt) that can mask subtle peak variations. Foundational reviews of UV photocatalysis on TiO2/ZnO support this mechanistic picture [25].
Accordingly, for PS, the band positions, FWHM values, and the I1602/I1001 intensity ratio remain largely unchanged over 0–12 h within the experimental variability of the measurements. This stable Raman signature indicates that the aromatic backbone and bulk segmental structure of PS are not substantially altered under the present UV-A/B/ZnO–TiO2 conditions. Under the same conditions, PE exhibits earlier Raman indicators of oxidation and structural disorder, underscoring the value of the comparative design. At the same time, the absence of pronounced Raman changes in PS does not imply the absence of oxidation. Rather, ATR-FTIR reveals mild but detectable signs of early surface oxidation, including weak carbonyl growth near 1744 cm−1 and small changes in the C–O region, suggesting that the initial modifications in PS are confined to a shallow surface layer.

4. ATR-FTIR Analysis of Photodegradation in PE and PS

ATR-FTIR spectroscopy is a first-line diagnostic for tracking early chemical transformations in polymers during photodegradation [26,27,28,29,30]. In our dataset, the 0 h PE spectrum is characterized by the following bands (Figure 5a,b): 3748 cm−1 (narrow, weak OH stretch), 2918/2839 cm−1 (ν_as/ν_s(CH2) of the methylene backbone), 2333 cm−1 (weak feature in the CO2 region), 2146 cm−1 (very weak second-order/gas-phase contribution), 1987 cm−1 (combination/second-order band), 1466 cm−1 (δ_sciss(CH2)), and 720 cm−1 (ρ_rock(CH2), crystalline “rocking” band). These positions are compatible with established PE assignments for the CH-stretch/CH2 deformation/rocking manifolds and known weak overtones/combination features in the mid-IR [27,28]. The isolated 3748 cm−1 line is typical of free OH (non-hydrogen-bonded) in surface moisture or trace adsorbates and is known to vanish upon mild drying or upon conversion to H-bonded OH [26,29].
Upon UV-A/B exposure in ZnO/TiO2 suspension (4–12 h), several systematic changes are observed. First, the 3748 cm−1 OH line disappears after 4 h, consistent with early surface “conditioning”: desorption of weakly bound water/organics or conversion into broad, H-bonded OH that merges with the continuum near 3400 cm−1 [26,29]. Second, two new bands at 2363 and 2345 cm−1 appear at 4, 8, and 12 h. This doublet is characteristic of atmospheric/dissolved CO23), frequently seen in transmission spectra when the beam path, aqueous film, or headspace contains CO2; the separation and positions match the canonical CO2 envelope (2360–2340 cm−1) [26]. Its growth with time is consistent with increased gas exchange in the wetted, irradiated system and does not imply carbonyl formation in the polymer matrix per se. Third, weak new absorption becomes visible in the oxygen-containing region during treatment: a band near 1742.9 cm−1 can be assigned to carbonyl-containing oxidation products, while bands at 1073.5 cm−1 (4 h) and 1064.2 cm−1 (8–12 h) fall within the C–O stretching/oxygen-containing region, consistent with early oxidation-related chemical modification of the PE surface. In parallel, the CH2 framework shows subtle redistribution in the 2918/2839 cm−1 envelope (slight broadening) and minor profile changes in δ_sciss(CH2) at 1466 cm−1 and ρ_rock(CH2) at 720 cm−1, in line with early packing disorder during short weathering [27,28,29]. Weak second-order/combination features in the ~2000–2100 cm−1 window (1987 cm−1, 2146 cm−1) persist without a clear trend; 2146 cm−1 can also include trace gas-phase CO contributions in open/semiclosed beam paths and should therefore be interpreted cautiously [26].
Importantly, in this short exposure window, the carbonyl envelope (≈1710–1735 cm−1) may remain weak or near the detection limit; when resolvable, we quantify it with a specified-area carbonyl index (CI) using a local baseline and report CI alongside the qualitative changes in the CH-stretch and rocking regions [26,29,30]. The overall picture is therefore consistent with an early-oxidation regime at the polymer–catalyst–water interface: (i) loss of free OH at 3748 cm−1 and emergence of H-bonded OH; (ii) the CO2 ν3 doublet at 2363/2345 cm−1, attributable to the aqueous/headspace environment rather than to polymer carbonyls; (iii) appearance of weak carbonyl- and C–O-related bands in the 1742.9 cm−1 and 1064–1074 cm−1 regions; and (iv) subtle CH2-manifold broadening and rocking-band asymmetry indexing early chain-packing perturbations [27,28,29,30]. The 2363/2345 cm−1 doublet was interpreted as an atmospheric/dissolved CO2 contribution and was excluded from carbonyl-index evaluation, which was performed only in the 1850–1650 cm−1 region (Table 1).
Although polystyrene (PS) is aromatically stabilized and its fundamental ring modes remain nearly invariant at early times, FTIR still resolves small but systematic oxidative signatures after short UV-A/B exposure in aqueous ZnO/TiO2 (Figure 6). The 0 h spectrum shows: a weak, narrow O–H band at 3350 cm−1 (surface/free OH), aromatic ν(C–H) components at 3079/3027 cm−1, aliphatic backbone ν(CH2) at 2902/2836 cm−1, a CO2 ν3 doublet at 2367/2345 cm−1, a weak feature around 2140 cm−1, second-order/combination bands at 2008 and 1913 cm−1, a carbonyl-region feature near 1744 cm−1, ring ν(C=C) at 1619/1495 cm−1, CH deformation at 1451/1363 cm−1, ring/CH in-plane modes at 1062/1033 cm−1, =C–H (oop) near 908 cm−1, PS fingerprint out-of-plane modes at 747/695 cm−1, and a low-frequency skeletal/prering band at 534 cm−1. These positions and assignments are consistent with curated PS FTIR datasets and reviews [31,32,33].
The pristine PS spectrum is therefore dominated by the expected aromatic and aliphatic vibrations of the polymer backbone, with the principal aromatic bands remaining clearly resolved throughout the experiment. Upon exposure, three main observations emerge. First, the 3350 cm−1 OH band disappears after 4 h, consistent with surface conditioning through desorption of weakly bound species or conversion into broader hydrogen-bonded OH contributions merging into the 3200–3600 cm−1 continuum [31,32]. Second, a time-persistent CO2 doublet (2367/2345 cm−1) remains visible at 4–12 h; this corresponds to the canonical atmospheric/dissolved CO2 ν3 envelope and is therefore treated as an environmental/background contribution rather than as polymer carbonyl absorption [31]. Third, oxidation-related changes become detectable in PS: the band near 1744 cm−1 increases in intensity by 8–12 h, while weak new absorptions emerge in the 1700–1740 cm−1 region, consistent with the formation of carbonyl-containing oxidation products during photo-oxidative treatment.
In parallel, the oxygen-containing region also becomes more pronounced. In addition to the weak shoulders near 1062/1033 cm−1, two bands at 1183.8 cm−1 and 1157.5 cm−1 increase with irradiation time; these bands fall within the C–O stretching region and are consistent with the development of oxygen-containing functionalities such as ether- or ester-like groups [9]. Weak unsaturation markers also appear or become enhanced, including the ν(C=C) shoulder near 1619 cm−1 and the =C–H (oop) band at 908 cm−1. After normalization to 1495 cm−1, the aromatic fundamentals remain effectively stable, supporting the interpretation that the increases in the 1744 cm−1 and C–O regions reflect chemical modification rather than purely geometric or opto-mechanical effects [31,32,33]. The 2902 cm−1 band decreases at 4 h and then recovers at 8–12 h, while the 2140 cm−1 feature becomes more visible at longer exposure times and is interpreted cautiously because it may include gas-phase or second-order contributions [31]. For semiquantitative analysis, we report a PS carbonyl index (CIps) and a corresponding C–O index (COIps), both normalized to the 1495 cm−1 aromatic band [31,32,33,34,35]. Overall, these FTIR results indicate a shallow oxidized surface layer, while the bulk aromatic backbone remains largely preserved (Table 2).

FTIR Results and Discussion

  • FTIR analysis revealed that even within the short UV-A/B exposure window investigated here (≤12 h), PE exhibits detectable early oxidation-related changes, including subtle modifications in the CH2 spectral region and the emergence of O–H, C–O, and C=O features [26,27,28,29,30].
  • Data-driven band chemistry. The loss of free-OH at 3748 cm−1 (by 4 h) and time-dependent CO2 ν3 doublet at 2363/2345 cm−1 are deconvolved: the former evidences surface reconditioning/H-bonding, the latter is environmental CO2, not polymer carbonyls—preventing common misassignment in wet, irradiated optics [26,27,28,29].
  • Artifact-aware quantification. A specified-area carbonyl index (CI, 1850–1650 cm−1) with explicit baseline anchoring is paired with CO2-control (purge/background archiving), yielding reproducible early-stage oxidation metrics under aqueous photocatalytic conditions [26,29,30].
  • Dual-modal validation. FTIR readouts cohere with independent Raman early markers (↑FWHM1295, ↑I2885/I2848 for PE), establishing a compact screening panel that links chemical signatures to packing/order changes at short exposure times.
  • Comparative Raman response. PS exhibits a comparatively weaker early-stage Raman response over 0–12 h under the same ZnO/TiO2 suspension conditions, providing a useful comparative reference for interpreting the more pronounced Raman changes observed in PE as genuine degradation-related effects rather than simple optical or instrumental variation [22,23,24,25].
  • Ready-to-translate workflow. The FTIR–Raman approach (with planned DSC cross-checks) offers a rapid, non-destructive screening protocol for early polymer weathering under realistic daylight doses—bridging accelerated tests and real-world regimes.
  • Eco-relevant, short-window detection. Despite PS’s aromatic robustness, we resolve statistically significant early oxidation—a clear ν(C=O) gain at 1744 cm−1 with concomitant C–O growth—after only 8–12 h of UV-A/B in aqueous ZnO/TiO2, without strong oxidants or thermal bias [31,32,33,34,35].
  • Artifact-resilient attribution. We disentangle environment-born signals—persistent CO2 ν3 (2367/2345 cm−1) and an increase at 2140 cm−1—from true polymer chemistry via normalization to 1495 cm−1, matched-background controls, and CO2 purging, eliminating common misassignments in wet, irradiated optics [31,32,33].
  • Comparative, dual-modal validation. Comparative, dual-modal validation. The FTIR indices (CIPS/COIPS) capture the onset of surface-confined oxidation in PS, while Raman and DSC confirm that the bulk aromatic backbone remains largely unchanged under the same conditions. Together with the faster PE kinetics, this delivers a comparative early-screening panel that bridges accelerated protocols and environmentally validated doses.
The combination of Raman and FTIR thus reconciles the apparently “quiet” behaviour of PS with the FTIR-detected growth of CIPS and COIPS. Raman, which is dominated by aromatic ring modes and bulk backbone vibrations, indicates that the core of the PS granules remains essentially intact over 0–12 h. In contrast, ATR-FTIR, with its shallower probing depth, is sensitive enough to detect the formation of a thin, surface-confined oxidised layer (ν(C=O) at 1744 cm−1 and C–O growth) that carries relatively little mass but produces a measurable carbonyl signal. This surface–bulk complementarity explains why PS can appear Raman-stable while still developing limited surface oxidation, and confirms that PE undergoes much deeper and structurally disruptive oxidation under the same conditions.

5. Differential Scanning Calorimetry (DSC)

DSC was employed to probe how photocatalytic degradation in the ZnO/TiO2 suspension affects the thermal behaviour of polyethylene (PE) and polystyrene (PS), providing a link between the spectroscopically observed chemical changes and the evolution of crystallinity and chain mobility. Measurements were performed on untreated (0 h) and UV-A/B–exposed samples (4, 8 and 12 h), in order to follow the progressive action of the ZnO/TiO2 photocatalytic system on polymer structure.
The following equation was used to calculate the degree of crystallinity based on the melting peak areas on the PE curves:
X c ( % ) = Δ H m , s a m p l e Δ H 0 P E × 100
The degree of crystallinity of the PE samples (Xc) was calculated by dividing ΔHm (i.e., the sample melting enthalpy) by ΔH0 (i.e., the theoretical value of the melting enthalpy of 100% crystalline PE. The theoretical melting enthalpy of 100% crystalline low-density polyethylene is ΔH0 = 294 J/g [34].
The main DSC parameters—melting temperature (Tm), melting enthalpy (ΔHm) and degree of crystallinity (Xc) for PE, as well as the glass transition temperature (Tg) for PS—are summarised in Table 3 for bare polymers and samples exposed to photocatalytic degradation for different times.
It should be noted that the degree of crystallinity (Xc) was calculated directly from the measured melting enthalpy values (ΔHm/ΔH0), and therefore these two parameters are not independent.
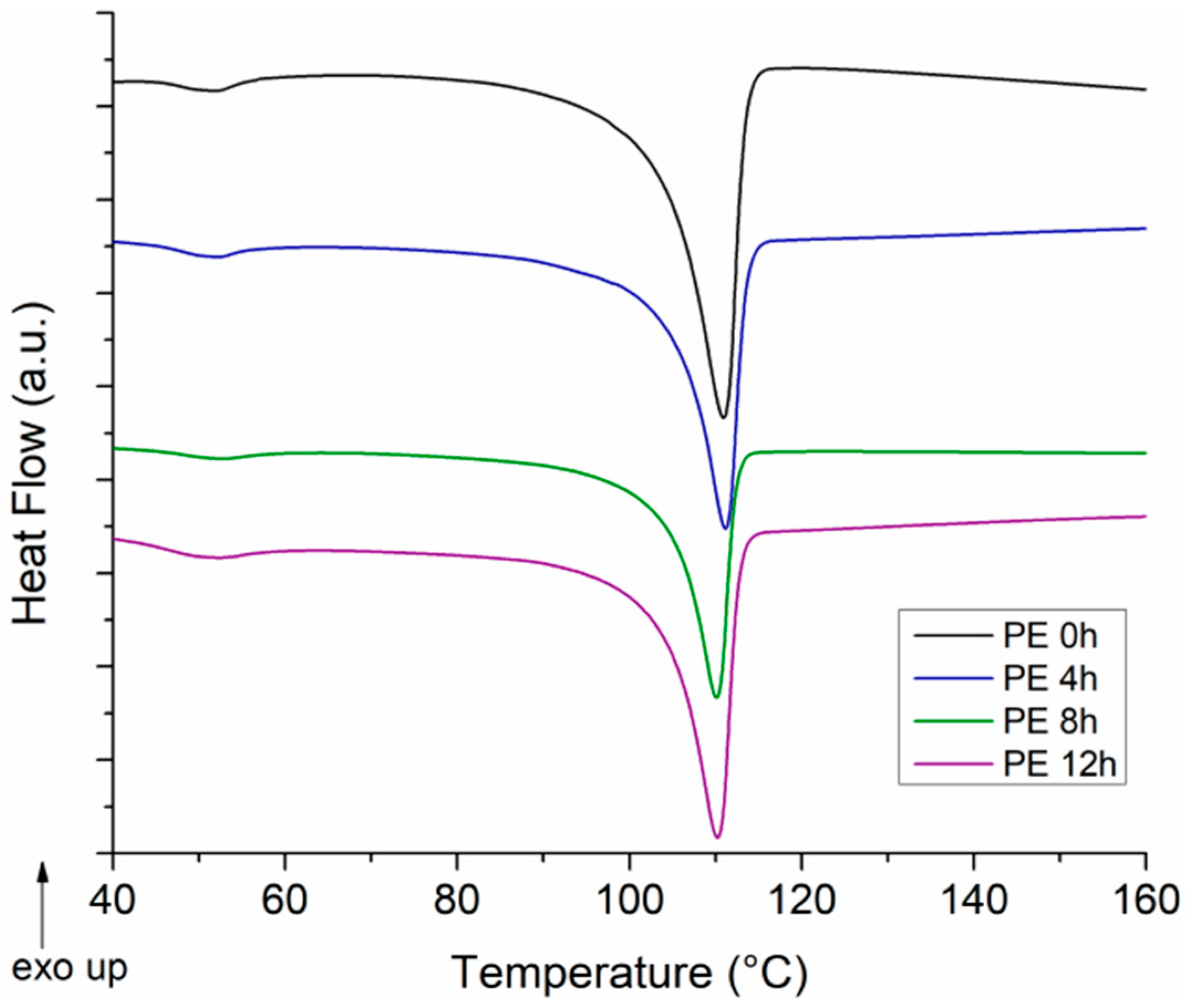
DSC measurements were conducted on bare and treated polyethylene (PE) samples, with the resulting thermograms presented in Figure 7. The DSC analysis of PE indicates modest changes in melting temperature, accompanied by more pronounced changes in melting enthalpy and calculated crystallinity during photocatalytic treatment. It should be noted that the degree of crystallinity (Xc) was calculated directly from the measured melting enthalpy values (ΔHm/ΔH0), and therefore these two parameters are not independent. The increase in crystallinity observed after 12 h relative to 8 h is consistent with partial structural reorganization during oxidation, in which shorter chain segments formed by chain scission can rearrange into more ordered domains. This breakdown is caused by chain scission and oxidation from reactive oxygen species, such as hydroxyl radicals (•OH), generated by catalysts under UV light. The analysis reveals a decrease in crystallinity and an increase in oxygen content, which leads to the formation of carbonyl groups, aligning with the findings from FTIR analysis. The photodegradation process of PE microplastics results in a shift in the melting point to lower temperatures, with a more significant shift observed in samples treated for longer durations. This trend can be attributed to the reorganization of macromolecular chains into structures that exhibit lower melting points. The main endothermic peak shifts from 111.14 °C for bare PE to 110.91 °C, 110.09 °C, and 109.98 °C for the treated samples, respectively. As detailed in the table, the photo-oxidative degradation of PE causes a decrease in the degree of crystallinity, changing from 32% to 25% after 8 h of treatment and then increasing to 30% after 12 h of treatment. This increase in crystallinity after 12 h could occur as shorter chains reorganize into more ordered structures.
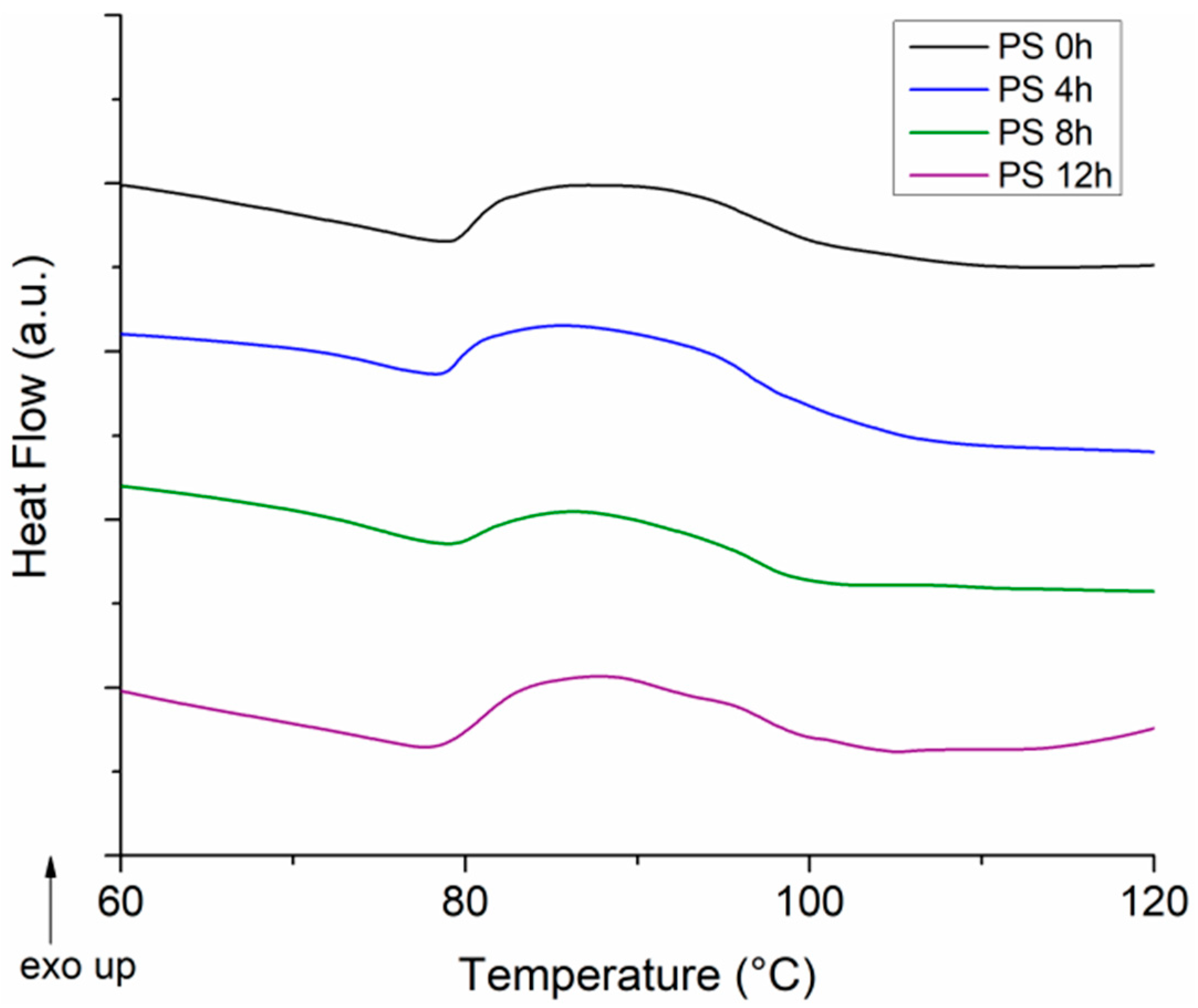
In the study of polystyrene (Figure 8), the glass transition temperature (Tg) was determined from the first heating curve obtained during DSC analysis. By comparing the untreated sample with the samples exposed to photocatalytic degradation, a clear, quantitatively measurable increase in Tg was observed after 12 h of treatment—the total increase is about 2.2 °C. Although numerically relatively small, this increase is consistent and reproducible, indicating that the photocatalytic process affects not only the chemical composition of PS, but also the segmental mobility of the chains in the amorphous phase.
Such an increase in Tg may reflect reduced segmental mobility caused by photo-induced structural changes in the polymer matrix during photocatalytic degradation. Oxidation may also introduce new polar functional groups, such as carbonyl and hydroxyl moieties, which can strengthen intermolecular interactions and contribute to local stiffening of the amorphous phase. Although partial cross-linking cannot be excluded, the DSC data obtained in the present study do not by themselves provide direct evidence for this mechanism.
Accordingly, in combination with the ATR-FTIR evidence for the formation of oxidation products, the observed 2.2 °C increase in Tg after 12 h of photocatalytic treatment should be interpreted more cautiously as an indirect indication of reduced chain mobility and increased rigidity of the amorphous phase.

6. Gravimetric Mass Loss

Mass loss was used as a direct gravimetric indicator of material degradation, complementary to the chemical information obtained from FTIR and Raman spectroscopy. In the present study, Δm% was used to track the progression of degradation as a function of irradiation time under UV-A/B exposure in the presence of ZnO/TiO2. After each irradiation time (0, 4, 8, and 12 h), PE granules were rinsed with ultrapure water, dried to constant mass (60 °C, vacuum, ≥12 h), and cooled in a desiccator to room temperature prior to weighing. Measurements were performed on an analytical balance with a readability of 0.1 mg. For each time point, the same tweezers/filter were used for each replicate, and the total handling time per sample was kept below 60 s to minimize moisture adsorption (Table 4).
Under short UV-A/B irradiation in the presence of ZnO/TiO2, PE exhibits a measurable mass loss, increasing from 2.16% after 4 h to 16.98% after 12 h. The more pronounced increase after 8 h is consistent with progressive structural weakening and more advanced material erosion. Thus, gravimetric mass loss provides a simple complementary indicator of degradation progress alongside the FTIR and Raman results.
Polystyrene (PS) is an aromatic thermoplastic whose phenyl backbone leads to a slower onset of photo-oxidation compared with aliphatic polymers; however, in the presence of a photocatalyst (ZnO/TiO2) and UV-A/B irradiation, it can shift into an accelerated degradation regime once initial oxidation spills over into chain scission. To quantify this transition at short, environmentally relevant doses, we track the gravimetric mass loss of PS granules as a function of exposure time. Mass loss is defined as:
Δ m = m 0 m t ,             Δ m % = m 0 m t m 0 × 100 ,
where m0 is the initial dry mass and mt is the dry mass after time t. This indicator is directly material-relevant and complementary to the FTIR/Raman panel: the growth of oxidation signatures (carbonyl/C–O) is expected to coincide with an increase in Δm%, while a change in the slope of Δm%(t) marks the onset of fragmentation. Below, we present the PS results and discuss the mass-loss kinetics under short irradiation and photocatalytic conditions (Table 5).
Under the same UV-A/B/ZnO–TiO2 conditions, PS also shows progressive mass loss, increasing from 4.45% after 4 h to 18.62% after 12 h. This indicates that the oxidation-related changes detected by FTIR are accompanied by measurable material erosion. Compared with PE, PS shows a different early-time mass-loss profile, although both polymers reach a similar order of mass loss after 12 h.

7. Carbonyl Index of PE and PS During Photocatalytic Degradation

The progress of photo-oxidation in polyethylene (PE) and polystyrene (PS) was quantified using the carbonyl index (CI) calculated from FTIR spectra. For both polymers, the carbonyl index (CI) was determined from the integrated area of the carbonyl band in the 1850–1650 cm−1 region, normalized to a reference band commonly used in the literature for CI calculations (the CH2 scissoring band at 1466 cm−1 for PE and the aromatic ring band at 1495 cm−1 for PS). These bands were used as operational normalization bands rather than being assumed to be completely invariant; therefore, any small changes in the reference bands may contribute to uncertainty in the calculated CI values.
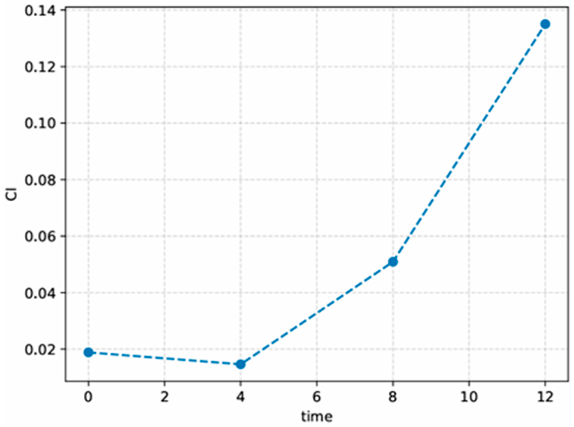
The progress of photo-oxidation in polyethylene was quantified using the carbonyl index (CIPE) calculated from FTIR spectra. For PE, CIPE was obtained from the integrated area of the carbonyl band in the 1850–1650 cm−1 region, normalised to the CH2 scissoring band at 1466 cm−1, which is largely insensitive to early oxidation. This normalisation reduces the influence of sample thickness and contact variations and allows direct comparison of different exposure times. The time-dependent evolution of CIPE is presented in Figure 9.
For PE, CIPE remains low at the beginning of the experiment, with values of 0.0189 (0 h) and 0.0147 (4 h), indicating that oxidation is still at a very early stage and confined to a thin surface layer. After 8 h of irradiation, CIPE increases to 0.0509, and a pronounced rise is observed at 12 h, where CIPE reaches 0.135. Overall, the carbonyl index at 12 h is roughly seven times higher than in the untreated sample, clearly confirming the build-up of carbonyl-containing oxidation products in PE. As shown in Figure 9, CIPE displays an almost flat behaviour up to 4 h, followed by a marked, monotonic increase between 8 and 12 h.
This time-dependent increase in CIPE is consistent with the FTIR observation of a growing carbonyl band in the 1710–1730 cm−1 region, with DSC results that reveal a decrease and partial recovery of crystallinity, and with the measured mass loss at longer exposure times. Taken together, these trends indicate that the ZnO/TiO2-assisted UV-A/B treatment induces progressive photo-oxidative degradation of PE: initial surface oxidation is followed by more extensive chain scission and structural rearrangement, which is captured quantitatively by the rise in CIPE.
For polystyrene, the change in the carbonyl index (CIPS) as a function of irradiation time is shown in Figure 10. The untreated sample already exhibits a noticeable carbonyl index (CIPS = 0.2462), indicating a low level of pre-existing oxidation. After 4 h of photocatalytic treatment, CIPS increases sharply to 0.8008, reflecting the rapid formation of carbonyl oxidation products in the PS matrix during the initial stage of degradation.
At longer exposure times, CIPS decreases to 0.3801 (8 h) and 0.2797 (12 h), but remains slightly higher than the initial value. This non-monotonic behaviour suggests that, after the fast build-up of carbonyl groups at the surface, part of these highly oxidized structures may be consumed or no longer remain in the analyzed material in subsequent steps, consistent with further oxidation, chain scission, loss of low-molecular-weight oxidized species, and erosion of the outermost surface layer. The system thus approaches a more moderately oxidised state in which the overall CIPS is still above the 0 h level, but clearly below the maximum reached after 4 h.
The trend in Figure 10. is consistent with the FTIR spectra, which show an initial growth followed by partial attenuation of the carbonyl band, accompanied by the appearance of C–O vibrations, as well as with the DSC results, where a measurable increase in Tg (by 2.2 °C after 12 h) indicates restricted chain mobility due to oxidative modification and partial cross-linking. Overall, the evolution of CIPS confirms that PS undergoes a rapid early oxidation, followed by secondary transformation and removal of oxidised species during prolonged photocatalytic degradation.

8. Environmental Relevance and Limitations

Overall, the observed trends in carbonyl index, Raman response, DSC behaviour, and gravimetric mass change support the conclusion that the ZnO–TiO2 system promotes measurable early oxidation of PE, whereas PS remains comparatively less affected under the same short-term treatment conditions. Any broader implications for environmental risk or ecotoxicological impact remain beyond the scope of the present study and should be addressed in future work using environmentally realistic exposure scenarios and dedicated ecotoxicological assays. At the same time, the results suggest that such treatment may modify the physicochemical properties and environmental behaviour of the resulting polymer fragments, rather than simply eliminating environmental concern.
Under UV-A/B illumination, both ZnO and TiO2 absorb photons with energy equal to or greater than their band gaps, generating electron–hole pairs in the conduction and valence bands, respectively:
ZnO / TiO 2 + h ν e cb + h vb +
The photogenerated holes oxidise surface-bound water or hydroxyl groups to hydroxyl radicals, while electrons reduce dissolved oxygen to superoxide and related species:
h vb + + H 2 O OH · OH + H + e cb + O 2 · O 2 · O 2 + H + · HO 2 2 · HO 2 H 2 O 2 + O 2 H 2 O 2 + e cb · OH + OH
The resulting radical pool (•OH, •O2, HO2•, H2O2) has sufficient redox potential to abstract hydrogen atoms from the polymer backbone, generating macroradicals (P•) and initiating classical auto-oxidation cycles:
P H + · OH P · + H 2 O P · + O 2 POO · POO · + P H POOH + P ·
Hydroperoxides (POOH) can subsequently decompose into alcohols, carbonyl-containing products, and lower-molecular-weight species, often through β-scission pathways. In PE, this process is reflected in the well-known growth of C=O bands and chain-scission-related products. In PS, the aromatic backbone confers greater photostability, although oxidation of side groups and cleavage of aliphatic segments may still occur under sufficiently aggressive conditions. These pathways are consistent with recent reviews on TiO2- and ZnO-based photocatalytic degradation of (micro)plastics [35]. Equations (3)–(5) summarize representative literature-reported ROS pathways commonly discussed for photocatalytic oxidation in ZnO/TiO2-based systems and are included here as mechanistic background rather than as experimentally verified reactions in the present study [15,35,36].
From an environmental perspective, the ZnO–TiO2 protocol used in this study should be regarded as a controlled and simplified laboratory model of accelerated polymer aging rather than a direct simulation of natural aquatic environments. Field and laboratory studies have shown that microplastics in aquatic and terrestrial systems undergo physicochemical aging involving photo-oxidation, mechanical abrasion, biofilm formation, and interactions with inorganic colloids and natural organic matter. These processes can modify surface chemistry, roughness, density, and hydrophobicity. In this respect, the present experiments reproduce selected physicochemical aspects of early-stage oxidative aging under controlled aqueous irradiation conditions.
At the same time, the environmental interpretation of the present results requires caution. The observed changes in oxidation-related spectral features, thermal behaviour, and mass loss indicate that photocatalytic treatment can alter the physicochemical properties of PE more strongly than PS under the investigated short-term conditions. Such modifications may be relevant for the subsequent environmental behaviour of aged plastic particles, including their interfacial properties and interaction potential. However, the present study does not include direct toxicity measurements, exposure assessment, or organism-based testing, and therefore, no direct conclusions regarding ecotoxicity, bioavailability, or biological effects can be drawn. The exposure times considered here are short relative to the residence time of microplastics in natural environments, and the experiments were performed in chemically simplified aqueous matrices. In real aquatic systems, light fluctuations, dissolved organic matter, ionic composition, suspended particulates, hydrodynamic effects, and biofilm development may substantially influence both degradation behaviour and the fate of transformed particles. Accordingly, the results reported here should be interpreted primarily as a comparative physicochemical assessment of early-stage photocatalytic aging in a controlled laboratory model system.
Overall, the observed trends in carbonyl index, Raman-derived structural response, DSC behaviour, and gravimetric mass change support the conclusion that the ZnO–TiO2 system promotes measurable early oxidation of PE, whereas PS remains comparatively less affected under the same investigated conditions. Broader implications for environmental risk or ecotoxicological impact remain beyond the scope of the present study and should be addressed in future work using environmentally realistic exposure scenarios and dedicated ecotoxicological assays.

9. Conclusions

This study demonstrates that ZnO–TiO2-assisted UVA–B irradiation induces clear early-stage oxidation in polyethylene (PE), whereas polystyrene (PS) is markedly more resistant under the same aqueous treatment conditions. Using a combined analytical framework based on ATR-FTIR, Raman spectroscopy, DSC, and gravimetry, we show that PE undergoes a coherent sequence of physicochemical changes during short irradiation times: growth of oxidation-sensitive FTIR bands and carbonyl-related indices, Raman evidence of increasing chain disorder, reduction in crystalline order, and measurable mass loss. In contrast, PS exhibits only limited spectral and thermal changes over the same exposure window, confirming a substantially lower susceptibility to early photocatalytic oxidation.
A key outcome of this work is that the early oxidation regime can be resolved as a distinct and quantifiable stage preceding extensive fragmentation and bulk material removal. This distinction is important because degradation efficiency is often judged only through weight loss or apparent disappearance of particles, whereas our results show that substantial molecular and supramolecular transformation can already occur before advanced fragmentation becomes dominant. In this sense, the combined FTIR (CI/COI)–Raman–DSC–gravimetry approach provides a practical and non-destructive diagnostic panel for detecting and comparing early oxidation in photocatalytically treated polymer systems.
Mechanistically, the results are consistent with photo-oxidation, in which reactive oxygen species generated in the ZnO–TiO2/water system initiate oxidation at or near the polymer surface. Under these conditions, PE shows a much stronger response than PS, consistent with the greater oxidative vulnerability of its aliphatic backbone compared with the more stabilized aromatic structure of PS. Thus, the principal finding of the present work is not simply that polymer mass decreases under photocatalytic treatment, but that PE and PS follow fundamentally different early oxidation pathways and rates under identical catalyst-assisted irradiation conditions.
It should be noted that the investigated particles represent simplified laboratory model microplastics and do not fully capture the irregular morphology, surface oxidation state, additive content, and aging history characteristic of environmentally weathered plastic fragments. Consequently, the present results should be interpreted primarily as a controlled comparative assessment of early-stage oxidation behaviour rather than a direct simulation of environmental degradation pathways. The present work should be regarded as an initial laboratory-scale study, whereas assessment of the system under higher microplastic loadings and conditions relevant to scale-up will require dedicated future investigation.

Author Contributions

Conceptualization, M.C.; methodology, M.C.; Raman spectroscopy, M.C., B.H. and A.B.; FTIR analysis, I.S.; DSC analysis, D.B.S.; carbonyl index calculations, P.M.; resources, A.B.; writing—original draft preparation, M.C.; writing—review and editing, Z.L. and P.K.; visualization, P.K.; supervision, M.C. and I.S.; project administration, P.K.; funding acquisition, P.K. All authors have read and agreed to the published version of the manuscript.

Funding

This research was funded by The Science Fund of the Republic of Serbia, Green program of cooperation between science and industry, grant no. 5661 and supported by the Ministry of Science, Technological Development and Innovation of the Republic of Serbia (Grant No. 451-03-33/2026-03/200017).

Data Availability Statement

The original contributions presented in this study are included in the article. Further inquiries can be directed to the corresponding authors.

Acknowledgments

This work has been supported by The Science Fund of the Republic of Serbia, Green program of cooperation between science and industry, grant no. 5661. Any opinions, findings, conclusions or recommendations expressed are those of the authors and do not necessarily reflect the views of the funder. The authors also gratefully acknowledge the support of the Institute of Physics Belgrade and the Ministry of Science, Technological Development and Innovation of the Republic of Serbia. This work was financially supported by the Ministry of Science, Technological Development and Innovation of the Republic of Serbia (Grant No. 451-03-33/2026-03/200017).

Conflicts of Interest

The authors declare no conflicts of interest. The funders had no role in the design of the study; in the collection, analyses, or interpretation of data; in the writing of the manuscript; or in the decision to publish the results.

References

  1. Borrelle, S.B.; Ringma, J.; Law, K.L.; Monnahan, C.C.; Lebreton, L.; McGivern, A.; Murphy, E.; Jambeck, J.; Leonard, G.H.; Hilleary, M.A.; et al. Predicted growth in plastic waste exceeds efforts to mitigate plastic pollution. Science 2020, 369, 1515–1518. [Google Scholar] [CrossRef] [PubMed]
  2. Bandaru, S.; Ravipati, M.; Busi, K.B.; Phukan, P.; Bag, S.; Chandu, B.; Dalapati, G.K.; Biring, S.; Chakrabortty, S. A Review on the Fate of Microplastics: Their Degradation and Advanced Analytical Characterization. J. Polym. Environ. 2024, 32, 2532–2550. [Google Scholar] [CrossRef]
  3. Nabi, I.; Bacha, A.-U.; Ahmad, F.; Zhang, L. Application of titanium dioxide for the photocatalytic degradation of macro- and micro-plastics: A review. J. Environ. Chem. Eng. 2021, 9, 105964. [Google Scholar] [CrossRef]
  4. Nakatani, H.; Kyan, T.; Urakawa, Y. Novel Recycling System of Polystyrene Water Debris with Polymer Photocatalyst and Thermal Treatment. J. Polym. Environ. 2021, 29, 1467–1476. [Google Scholar] [CrossRef]
  5. Tofa, T.S.; Kunjali, K.L.; Paul, S.; Dutta, J. Visible light photocatalytic degradation of microplastic residues with zinc oxide nanorods. Environ. Chem. Lett. 2019, 17, 1341–1346. [Google Scholar] [CrossRef]
  6. Lau, W.W.Y.; Shiran, Y.; Bailey, R.M.; Cook, E.; Stuchtey, M.R.; Koskella, J.; Velis, C.A.; Godfrey, L.; Boucher, J.; Murphy, M.B.; et al. Evaluating scenarios toward zero plastic pollution. Science 2020, 369, 1455–1461. [Google Scholar] [CrossRef] [PubMed]
  7. Rajakumar, K.; Sarasvathy, V.; Chelvan, A.T.; Chitra, R.; Vijayakumar, C.T. Natural Weathering Studies of Polypropylene. J. Polym. Environ. 2009, 17, 191–202. [Google Scholar] [CrossRef]
  8. Panthi, G.; Park, M. Graphitic carbon nitride/zinc oxide-based Z-scheme and S-scheme heterojunction photocatalysts for photodegradation of organic pollutants. Int. J. Mol. Sci. 2023, 24, 15021. [Google Scholar] [CrossRef]
  9. Jiang, Z.; Cheng, B.; Zhang, Y.; Wageh, S.; Al-Ghamdi, A.A.; Yu, J.; Wang, L. S-scheme ZnO/WO3 heterojunction photocatalyst for efficient H2O2 production. J. Mater. Sci. Technol. 2022, 124, 193–201. [Google Scholar] [CrossRef]
  10. Almond, J.; Sugumaar, P.; Wenzel, M.N.; Hill, G.; Wallis, C. Determination of the carbonyl index of polyethylene and polypropylene using specified area-under-band methodology with ATR-FTIR spectroscopy. e-Polymers 2020, 20, 369–381. [Google Scholar] [CrossRef]
  11. Shi, Y.; Shi, L.; Huang, H.; Ye, K.; Yang, L.; Wang, Z.; Sun, Y.; Li, D.; Shi, Y.; Xiao, L.; et al. Analysis of aged microplastics: A review. Environ. Chem. Lett. 2024, 22, 1861–1888. [Google Scholar] [CrossRef]
  12. Yolanda, D.M.; Anggiani, M.; Agung, M.U.K.; Anggraeni, S.R.; Afianti, N.F. Polystyrene Microplastics Degradation by Microbial Consortium From Jakarta Bay. Environ. Qual. Manag. 2024, 33, 79–91. [Google Scholar] [CrossRef]
  13. Tofa, T.S.; Ye, F.; Kunjali, K.L.; Paul, S.; Dutta, J. Enhanced visible light photodegradation of microplastic fragments with plasmonic platinum/zinc oxide nanorod photocatalysts. Catalysts 2019, 9, 819. [Google Scholar] [CrossRef]
  14. Sutkar, P.R.; Gadewar, R.D.; Dhulap, V.P. Recent trends in degradation of microplastics in the environment: A state-of-the-art review. J. Hazard. Mater. Adv. 2023, 11, 100343. [Google Scholar] [CrossRef]
  15. Hamd, W.; Daher, E.A.; Tofa, T.S.; Dutta, J. Recent Advances in Photocatalytic Removal of Microplastics: Mechanisms, Kinetic Degradation, and Reactor Design. Front. Mar. Sci. 2022, 9, 885614. [Google Scholar] [CrossRef]
  16. He, Y.; Rehman, A.U.; Xu, M.; Not, C.A.; Ng, A.M.; Djurišić, A.B. Photocatalytic degradation of different types of microplastics using titania-coated zinc oxide tetrapods under UV illumination. Heliyon 2023, 9, e22562. [Google Scholar] [CrossRef] [PubMed]
  17. Olivatto, G.P.; Ando, R.A.; Fernandes, R.F.; de Moraes, N.G.; Tornisielo, V.L. A critical comparison of the main characterization techniques for microplastics identification in an accelerated aging laboratory experiment. Water Emerg. Contam. Nanoplast. 2024, 3, 7. [Google Scholar] [CrossRef]
  18. Podrascanin, Z.; Mijatovic, Z.; Sremac, A.F.; Nadj, Z.; Gajo, T.; Cirisan, A. Twenty years of UV index measurement in Novi Sad, Serbia. Theor. Appl. Clim. 2025, 156, 244. [Google Scholar] [CrossRef]
  19. Böke, J.S.; Popp, J.; Krafft, C. Optical photothermal infrared spectroscopy with simultaneously acquired Raman spectroscopy for two-dimensional microplastic identification. Sci. Rep. 2022, 12, 18785. [Google Scholar] [CrossRef] [PubMed]
  20. Sato, H.; Shimoyama, M.; Kamiya, T.; Amari, T.; Šašic, S.; Ninomiya, T.; Siesler, H.W.; Ozaki, Y. Raman spectra of high-density, low-density, and linear low-density polyethylene pellets and prediction of their physical properties by multivariate data analysis. J. Appl. Polym. Sci. 2002, 84, 1523–1533. [Google Scholar] [CrossRef]
  21. Zhang, S.; Lin, T.; Zhang, C.; Yang, W.; Zhou, X.; Cable, R.; Choi, J.; Michaelson, E.; Thakre, P.; Serrat, C.; et al. Analysis of accelerated weathering effect on polyethylene with varied parameters using a combination of analytical techniques. ChemistrySelect 2024, 9, e202404334. [Google Scholar] [CrossRef]
  22. Yücetürk, M.; Seydibeyoğlu, M.Ö. Bio-based polyethylene masterbatch preparation and investigation of the effect of process conditions on pigment dispersion. Color. Technol. 2024, 140, 179–190. [Google Scholar] [CrossRef]
  23. Mayorga, C.; Athalye, S.M.; Boodaghidizaji, M.; Sarathy, N.; Hosseini, M.; Ardekani, A.; Verma, M.S. Limit of detection of Raman spectroscopy using polystyrene particles from 25 to 1000 nm in aqueous suspensions. Anal. Chem. 2025, 97, 8908–8914. [Google Scholar] [CrossRef]
  24. Ibrahim, N.; Rahman, A.M.N.A.A.; Shafiq, M.D.; Lockman, Z.; Jaafar, M.; Kameda, Y. Microplastic Pollution: Sources, Degradation Mechanisms, Analytical Advances, and Mitigation Strategies for Environmental Sustainability. Rev. Environ. Contam. Toxicol. 2025, 263, 27. [Google Scholar] [CrossRef]
  25. Jiang, X.; Gallager, S.; Pàmies, R.P.; Ruff, S.E.; Liu, Z. Laboratory-simulated photoirradiation reveals strong resistance of primary macroplastics to weathering. Environ. Sci. Technol. 2024, 58, 14775–14785. [Google Scholar] [CrossRef]
  26. Tang, Y.; Cai, R.; Cao, D.; Kong, X.; Lu, Y. Photocatalytic production of hydroxyl radicals by commercial TiO2 nanoparticles and phototoxic hazard identification. Toxicology 2018, 406–407, 1–8. [Google Scholar] [CrossRef]
  27. Hong, Z.; Chen, X.; Zhu, H.; Zhang, T.; Li, H.; Awais, M.; Paramane, A. Insulation properties enhancement of crosslinked polyethylene by grafting polar groups. J. Appl. Polym. Sci. 2023, 140, e54294. [Google Scholar] [CrossRef]
  28. Boronat, C.; Correcher, V.; Benavente, J.; Bravo-Yagüe, J. Thermoluminescence and ATR-FTIR study of UVC-irradiated low-density polyethylene (LDPE) food packaging. Spectrochim. Acta Part A Mol. Biomol. Spectrosc. 2024, 323, 124882. [Google Scholar] [CrossRef] [PubMed]
  29. Marica, I.; Pînzaru, S.C. A Raman spectral database of naturally aged plastics: A proof-of-concept study for waste plastic sorting. J. Raman Spectrosc. 2022, 54, e6484. [Google Scholar] [CrossRef]
  30. Athulya, P.A.; Chandrasekaran, N. Interactions of natural colloids with microplastics in aquatic environment and its impact on FTIR characterization of polyethylene and polystyrene microplastics. J. Mol. Liq. 2023, 369, 120950. [Google Scholar] [CrossRef]
  31. Celina, M.C. Review of polymer oxidation and its relationship to materials performance and lifetime prediction. Polym. Degrad. Stab. 2013, 98, 2419–2429. [Google Scholar] [CrossRef]
  32. Kilinc, Z.; Yesilay, G.; Cetin, D.; Suludere, Z.; Rashdan, S.; Hazeem, L.; Bououdina, M.; Kyzas, G.Z. Photodegradation of polystyrene microplastics exposed to natural sunlight. J. Photochem. Photobiol. A 2025, 468, 116462. [Google Scholar] [CrossRef]
  33. Pinto, L.F.A.; Goi, B.E.; Schmitt, C.C.; Neumann, M.G. Photodegradation of polystyrene films containing UV-visible sensitizers. J. Res. Updates Polym. Sci. 2013, 2, 39–47. [Google Scholar] [CrossRef]
  34. Navarro-Espinoza, S.; Meza-Figueroa, D.; Grijalva-Noriega, F.; Silva-Campa, E.; Álvarez-Bajo, O.; Sarabía-Sainz, A.; Acosta-Elías, M.; Burgara-Estrella, A.; Bojorquez-Baltierrez, B. Vibrational analysis of polystyrene photodegradation and its implications for microplastic formation in arid zones. Environ. Pollut. 2025, 386, 127274. [Google Scholar] [CrossRef] [PubMed]
  35. Ainali, N.M.; Bikiaris, D.N.; Lambropoulou, D.A. Aging effects on low- and high-density polyethylene, polypropylene and polystyrene under UV irradiation: An insight into decomposition mechanism by Py-GC/MS for microplastic analysis. J. Anal. Appl. Pyrolysis 2021, 158, 105207. [Google Scholar] [CrossRef]
  36. Xiao, Y.; Tian, Y.; Xu, W.; Zhu, J. Photodegradation of Microplastics through Nanomaterials: Insights into Photocatalysts Modification and Detailed Mechanisms. Materials 2024, 17, 2755. [Google Scholar] [CrossRef]
Figure 1. Structural formulas of the repeating units: polystyrene (PS) and polyethylene (PE).
Figure 1. Structural formulas of the repeating units: polystyrene (PS) and polyethylene (PE).
Microplastics 05 00063 g001
Figure 2. Experiment setup.
Figure 2. Experiment setup.
Microplastics 05 00063 g002
Figure 3. Raman spectrum of PE before and after UV-A/B exposure.
Figure 3. Raman spectrum of PE before and after UV-A/B exposure.
Microplastics 05 00063 g003
Figure 4. Raman spectrum of PS before and after UVA–B exposure.
Figure 4. Raman spectrum of PS before and after UVA–B exposure.
Microplastics 05 00063 g004
Figure 5. FTIR spectrum of PE before and after UVA–B exposure (a) and spectrum of the CO group (b).
Figure 5. FTIR spectrum of PE before and after UVA–B exposure (a) and spectrum of the CO group (b).
Microplastics 05 00063 g005
Figure 6. FTIR spectrum of PS before and after UVA–B exposure.
Figure 6. FTIR spectrum of PS before and after UVA–B exposure.
Microplastics 05 00063 g006
Figure 7. Thermograms for bare PE and treated polymer after photocatalytic degradation for several hours.
Figure 7. Thermograms for bare PE and treated polymer after photocatalytic degradation for several hours.
Microplastics 05 00063 g007
Figure 8. Thermograms for bare PS and treated polymer after photocatalytic degradation for several hours.
Figure 8. Thermograms for bare PS and treated polymer after photocatalytic degradation for several hours.
Microplastics 05 00063 g008
Figure 9. Evolution of the carbonyl index (CI) of polyethylene (PE) as a function of UV-A/B exposure time during photocatalytic degradation in ZnO/TiO2 suspension.
Figure 9. Evolution of the carbonyl index (CI) of polyethylene (PE) as a function of UV-A/B exposure time during photocatalytic degradation in ZnO/TiO2 suspension.
Microplastics 05 00063 g009
Figure 10. Evolution of the carbonyl index (CI) of polystyrene (PS) as a function of UV-A/B irradiation time during photocatalytic degradation in ZnO/TiO2 suspension.
Figure 10. Evolution of the carbonyl index (CI) of polystyrene (PS) as a function of UV-A/B irradiation time during photocatalytic degradation in ZnO/TiO2 suspension.
Microplastics 05 00063 g010
Table 1. Band assignments and qualitative evolution (FTIR, PE; this study).
Table 1. Band assignments and qualitative evolution (FTIR, PE; this study).
Wavenumber (cm−1)Typical AssignmentObserved Change (0 → 4/8/12 h)Interpretation
3748ν(OH), weakly bound/free OH-related surface speciesDisappears by 4 hLoss of weakly bound surface OH-containing species and/or conversion into broader H-bonded OH contributions
2918/2839ν_as(CH2)/ν_s(CH2)Slight broadening and mild intensity redistributionEarly perturbation of chain packing during oxidation
2363/2345ν3(CO2) doublet (gas-phase/dissolved CO2)Appears at 4–12 h and persistsEnvironmental/headspace CO2 contribution; excluded from carbonyl-index evaluation
2333CO2 region (shoulder/overlap)Weakly present at 0 hBackground CO2 contribution in the optical path and/or aqueous film
2146Weak second-order band/possible trace gas-phase contributionNo consistent trendInterpreted cautiously; not used as a primary diagnostic marker
1987Combination/overtone bandStable within noise levelWeak higher-order feature; not used as a primary diagnostic marker
1742.9Carbonyl-containing oxidation productsAppears/increases at 8–12 hConsistent with early photo-oxidative formation of oxygen-containing groups
1073.5C–O stretching region/oxygen-containing functionalityAppears at 4 hEarly oxidation-related change in the oxygen-containing region
1064.2C–O stretching region/oxygen-containing functionalityMore evident at 8–12 hProgressive development of oxygen-containing groups during treatment
1466δ_sciss(CH2)Subtle profile changeEarly structural modification of the PE framework
720ρ_rock(CH2), crystalline rockingSlight broadening/asymmetryEarly perturbation of chain packing and local crystalline order
Table 2. Band assignments and qualitative evolution (FTIR, PS; this study).
Table 2. Band assignments and qualitative evolution (FTIR, PS; this study).
Wavenumber (cm−1)Assignment (Typical for PS)Trend (0 → 4/8/12 h)Interpretation/Notes
3350ν(OH), free/narrow OH (surface/adsorbate)Disappears by 4 hSurface conditioning; conversion to H-bonded OH or desorption
3079/3027Aromatic ν(C–H) stretchesStable (post-norm.)Internal stability check for aromatic framework
2902/2836Aliphatic ν_as/ν_s(CH2)2902 ↓ (4 h), ↑ (8–12 h); 2836 ~stableTransient reconditioning then oxidative re-packing; local packing change
2367/2345ν3(CO2) doublet (gas/dissolved CO2)Present at 0 h; persists 4–12 hEnvironmental CO2; not polymer carbonyls; purge/background control
2140Weak gas-phase/second-order (incl. trace CO)Increases at 12 hOpen/semiclosed path artifact; archive matched backgrounds
2008/1913Combination/overtone bandsEssentially stableSecond-order PS features; low diagnostic value alone
1744ν(C=O) (ketones/aldehydes/esters)Increases (8–12 h)Primary oxidation marker; use CI_PS
1619ν(C=C) (aromatic/weak vinyl contrib.)Slight ↑ (weak)Mild unsaturation/condensation; early β-scission signatures
1495Aromatic ν(C=C)Normalization referenceStable anchor for CI_PS/COI_PS
1451/1363CH deformations (ring/CH2)Minor profile driftSecondary structural zone; limited early sensitivity
1062/1033Ring/CH in-plane (C–C/C–H)Small shoulder ↑ near C–O windowAccompanies C–O growth (overlap region)
908=C–H (oop) unsaturationWeak traces (↑)Early unsaturation from chain scission/recombination
747/695Aromatic ring oop modes (PS fingerprint)StableIdentity check; limited oxidation sensitivity
534Low-freq ring/skeletal modeStableBaseline identity band [28]
Table 3. DSC analysis for bare PE, PS and treated polymers after photocatalytic degradation for several hours.
Table 3. DSC analysis for bare PE, PS and treated polymers after photocatalytic degradation for several hours.
SampleMelting Temperature, Tm, °CMelting Enthalpy,
∆Hm, J/g
Degree of Crystallinity, Xc, %Glass Transition Temperature,
Tg, °C
PE 0 h111.1494.2332.05/
PE 4 h110.9187.6729.81/
PE 8 h110.0974.5525.36/
PE 12 h109.9889.2730.36/
PS 0 h///95.82
PS 4 h///96.36
PS 8 h///97.40
PS 12 h///98.01
Table 4. PE mass loss table.
Table 4. PE mass loss table.
Time (h)Mass mt (g)Δm = m0 − mt (g)Δm% = (Δm/m0)*100
00.03240.00.0
40.03170.00072.16
80.03020.00226.79
120.02690.005516.98
Table 5. PS Mass Loss Table.
Table 5. PS Mass Loss Table.
Time (h)Mass mt (g)Δm = m0 − mt (g)Δm = (Δm/m0)*100
00.02470.00.0
40.02360.00114.45
80.02240.00239.31
120.02010.004618.62
Disclaimer/Publisher’s Note: The statements, opinions and data contained in all publications are solely those of the individual author(s) and contributor(s) and not of MDPI and/or the editor(s). MDPI and/or the editor(s) disclaim responsibility for any injury to people or property resulting from any ideas, methods, instructions or products referred to in the content.

Share and Cite

MDPI and ACS Style

Curcic, M.; Stajcic, I.; Stojanovic, D.B.; Hadzic, B.; Mitric, P.; Bozic, A.; Lazarevic, Z.; Kolarz, P. UV–Photocatalytic Degradation of Polyethylene and Polystyrene Microplastics in Water: Rapid Spectroscopic and Thermal Metrics for Early Oxidation. Microplastics 2026, 5, 63. https://doi.org/10.3390/microplastics5020063

AMA Style

Curcic M, Stajcic I, Stojanovic DB, Hadzic B, Mitric P, Bozic A, Lazarevic Z, Kolarz P. UV–Photocatalytic Degradation of Polyethylene and Polystyrene Microplastics in Water: Rapid Spectroscopic and Thermal Metrics for Early Oxidation. Microplastics. 2026; 5(2):63. https://doi.org/10.3390/microplastics5020063

Chicago/Turabian Style

Curcic, M., I. Stajcic, D. B. Stojanovic, B. Hadzic, P. Mitric, A. Bozic, Z. Lazarevic, and P. Kolarz. 2026. "UV–Photocatalytic Degradation of Polyethylene and Polystyrene Microplastics in Water: Rapid Spectroscopic and Thermal Metrics for Early Oxidation" Microplastics 5, no. 2: 63. https://doi.org/10.3390/microplastics5020063

APA Style

Curcic, M., Stajcic, I., Stojanovic, D. B., Hadzic, B., Mitric, P., Bozic, A., Lazarevic, Z., & Kolarz, P. (2026). UV–Photocatalytic Degradation of Polyethylene and Polystyrene Microplastics in Water: Rapid Spectroscopic and Thermal Metrics for Early Oxidation. Microplastics, 5(2), 63. https://doi.org/10.3390/microplastics5020063

Article Metrics

Back to TopTop