Sign in to use this feature.

Years

Between: -

Subjects

remove_circle_outline
remove_circle_outline
remove_circle_outline
remove_circle_outline
remove_circle_outline
remove_circle_outline
remove_circle_outline
remove_circle_outline
remove_circle_outline

Journals

remove_circle_outline
remove_circle_outline
remove_circle_outline
remove_circle_outline
remove_circle_outline
remove_circle_outline

Article Types

Countries / Regions

remove_circle_outline
remove_circle_outline
remove_circle_outline
remove_circle_outline
remove_circle_outline

Search Results (707)

Search Parameters:
Keywords = SoilGrids

Order results
Result details
Results per page
Select all
Export citation of selected articles as:
21 pages, 7320 KB  
Article
Climate-Smart Framework for Olive Yield Estimation: Integrating Soil Properties, Thermal Time, and Remote Sensing NDVI Time Series
by Rosa Gutiérrez-Cabrera, Javier Borondo and Ana Maria Tarquis
Agronomy 2026, 16(7), 722; https://doi.org/10.3390/agronomy16070722 - 30 Mar 2026
Abstract
Olive groves in Mediterranean regions are being increasingly exposed to drought and heat extremes, intensifying the interannual yield variability. This study presents an integrated smart-farming framework that links soil context, climate forcing and satellite-observed canopy dynamics to enhance the interpretability and transferability of [...] Read more.
Olive groves in Mediterranean regions are being increasingly exposed to drought and heat extremes, intensifying the interannual yield variability. This study presents an integrated smart-farming framework that links soil context, climate forcing and satellite-observed canopy dynamics to enhance the interpretability and transferability of yield indicators at the parcel scale in southern Spain. Using SoilGrids root-zone properties and the Sentinel-2 time series of the normalized difference vegetation index (NDVI), we first classified parcels into three edaphic clusters. The canopy development was then expressed in thermal time using growing degree days (GDD), enabling phenology-aligned comparisons across campaigns. Two robust patterns emerged: (i) the cumulative NDVI up to 520 GDD showed a consistent negative association with both the biomass and the oil yield, suggesting an early-season vegetation trade-off and carry-over effects typical of perennial systems, and (ii) the rainfall accumulated during a thermally defined window (120–480 GDD) strongly estimated the yield in the subsequent year (R2=0.83–0.97 across soil clusters). By anchoring both vegetation and precipitation indicators to physiologically meaningful thermal milestones, the proposed framework avoids arbitrary calendar windows and enhances the interpretability, cross-year comparability, and scalability. Under projected increases in drought frequency and heat extremes, such hydro-thermal scaling approaches offer a robust basis for early yield forecasting, cooperative-level production planning, and adaptive management in Mediterranean olive systems. Full article
(This article belongs to the Special Issue Smart Farming: Advancing Techniques for High-Value Crops)
22 pages, 2407 KB  
Article
Optimizing Data Preprocessing and Hyperparameter Tuning for Soil Organic Carbon Content Prediction Using Large Language Models: A Case Study of the Black Soil and Windblown Sandy Soil Regions in Northeast China
by Hao Cui, Xianmin Chang and Shuang Gang
Appl. Sci. 2026, 16(7), 3349; https://doi.org/10.3390/app16073349 - 30 Mar 2026
Abstract
To address the current issues in soil organic carbon (SOC) content prediction where data preprocessing relies on expert experience to formulate fixed rules, resulting in a lack of uniform standards and insufficient consideration of regional soil heterogeneity; while hyperparameter tuning faces problems of [...] Read more.
To address the current issues in soil organic carbon (SOC) content prediction where data preprocessing relies on expert experience to formulate fixed rules, resulting in a lack of uniform standards and insufficient consideration of regional soil heterogeneity; while hyperparameter tuning faces problems of high computational costs and excessively long runtimes, this study proposes an intelligent modeling workflow driven by Large Language Models (LLM). This workflow focuses on optimizing two key aspects of SOC Random Forest modeling: data preprocessing and hyperparameter tuning. Results: The LLM-defined rules achieved sample retention rates of 55.33% and 61.90% in the two regions, respectively, showing more significant differences compared to traditional hard-coded rules (56.2% and 59.3%), and the mean soil organic carbon content deviations (30.27% and 20.05%) were both lower than those of traditional hard-coding. At the same time, the mean soil organic carbon content values in both regions closely matched the effectiveness of other methods, indicating that the large language model has effectively captured regional soil differences. With only a single evaluation of hyperparameter optimization, the adaptive model achieved test set R2 values of 0.394 and 0.694 in the black soil region and the aeolian sandy soil region, respectively, with root mean square error values of 8.76 g/kg and 6.07 g/kg—its performance is comparable to that of Grid Search and Random Search, while computational efficiency improved by over 95%. Performance comparisons with eXtreme Gradient Boosting (XGBoost) and Partial Least Squares Regression (PLSR) show that the LLM-optimized Random Forest achieved R2 = 0.394 and RMSE = 8.76 g/kg in the black soil region, and R2 = 0.694 and RMSE = 6.07 g/kg in the windblown sandy soil region, demonstrating practical application value. Full article
(This article belongs to the Section Environmental Sciences)
21 pages, 2277 KB  
Article
Stray Currents Beyond the Fundamental in the Swedish BT Railway Power System
by Tommy Hjertberg and Sarah Karolina Rönnberg
Energies 2026, 19(7), 1670; https://doi.org/10.3390/en19071670 - 28 Mar 2026
Abstract
Sweden has a very high and variable soil resistivity, making it difficult to ensure a consistently good connection to earth along the track. Booster Transformers (BTs) have been used to ensure that the current returns through the intended path and that stray currents [...] Read more.
Sweden has a very high and variable soil resistivity, making it difficult to ensure a consistently good connection to earth along the track. Booster Transformers (BTs) have been used to ensure that the current returns through the intended path and that stray currents are limited. The ability of BTs to control return currents is limited by their series impedance and by imperfect coupling. In this article, we make a detailed model of the BT system between two feed-in points and evaluate how well the BT system can contain stray currents at harmonic frequencies. The main contribution is that we demonstrate that harmonic currents are significantly less well contained by the BT system, and that the practice of allowing local grid connections to the railway earth system risks creating significant stray currents in the local grid, particularly at harmonic frequencies, but also that electrical safety may be compromised by the transmission of touch voltages to locations with a different soil resistivity than the rail bed. Full article
(This article belongs to the Section F1: Electrical Power System)
Show Figures

Figure 1

29 pages, 1157 KB  
Article
Integrating Solar Radiation Dynamics into Irrigation System Design: An Asymmetric-Sector Approach for Mediterranean Orchards
by João Rolim, Beatriz Vacas, Carolina Silva, Olívio Patrício and Maria do Rosário Cameira
Agriculture 2026, 16(7), 744; https://doi.org/10.3390/agriculture16070744 - 27 Mar 2026
Viewed by 127
Abstract
The adoption of photovoltaic (PV) energy in irrigation is rapidly increasing, supported by a range of available technologies. However, an agronomic perspective that could help overcome inherent limitations of PV systems remains absent. In fact, current irrigation design methods do not explicitly take [...] Read more.
The adoption of photovoltaic (PV) energy in irrigation is rapidly increasing, supported by a range of available technologies. However, an agronomic perspective that could help overcome inherent limitations of PV systems remains absent. In fact, current irrigation design methods do not explicitly take into account the dynamic nature of PV power generation. While irrigation engineering conceptualises soil as a reservoir for plant-available water, it can also function as an energy reservoir, storing solar-derived energy in the form of soil moisture for subsequent crop use. Building on this concept, this study proposes an integrated framework for designing off-grid PV irrigation systems based on asymmetric irrigation sectors. The framework couples hydrological, agronomic, and energy components to synchronise solar energy generation with crop water requirements, thereby eliminating the need for intermediate energy storage. The methodology was applied to two case studies: a hedgerow olive orchard and an almond orchard in southern Portugal, both with drip irrigation. Results demonstrate that the asymmetric-sector design provides a technically feasible and low-complexity solution for integrating photovoltaic energy into irrigation systems. The conventional irrigation system required 1.42 kW of minimum pumping power for olive orchards and 1.32 kW for almond orchards. The dimensions of the main lines ranged from 97.8 mm for olive and 75 mm for almond orchards, while the flow rate of the emitter was 2.3 L h−1 for olive and 3 L h−1 for almond orchards. Although PV-compatible operation required hydraulic adjustments including increases in design flow rate (226–255%), pump power demand (87.5–241%), and pipe diameters (up to 120% in olive and 75% in almond), these adaptations enable irrigation systems to operate under the variability inherent to solar-based energy supply. This hydraulic oversizing leads to higher initial investment costs; however, this can be mitigated to a certain extent by diminished operating costs and complete energy autonomy from the electricity grid. Full article
19 pages, 13983 KB  
Article
The Role of Toposequence and Underground Drainage in Variation of Groundwater and Salinity Levels in Irrigated Areas
by Laercia da Rocha Fernandes Lima, Ceres Duarte Guedes Cabral de Almeida, Gabriel Rivas de Melo, Manassés Mesquita da Silva, Keila Jeronimo Jimenez, Valdiney Bizerra de Amorim, Andrey Thyago Cardoso S. G. da Silva, Magnus Dall Igna Deon, Rebeca Neves Barbosa, José Fernandes Ferreira Júnior, Tarcísio Ferreira de Oliveira and José Amilton Santos Júnior
Hydrology 2026, 13(3), 99; https://doi.org/10.3390/hydrology13030099 - 18 Mar 2026
Viewed by 296
Abstract
In irrigated areas around the world, the recommendation for the use of subsurface drainage is also associated with controlling salinity problems. Due to the high implementation cost, the search for solutions that make this requirement more flexible is necessary. Among the options to [...] Read more.
In irrigated areas around the world, the recommendation for the use of subsurface drainage is also associated with controlling salinity problems. Due to the high implementation cost, the search for solutions that make this requirement more flexible is necessary. Among the options to be investigated is the hypothesis that the height and salinity of the water table in plots located at the highest points of a toposequence are lower and do not compromise plant development, even without underground drainage systems. In this context, the present work was developed to monitor and evaluate the variation in water level or mottling over twelve months, as well as to measure and analyze the electrical conductivity and average pH of the water table during this period and its possible impact on plants. For this purpose, three lots in toposequence were selected in the Senador Nilo Coelho Public Irrigation Project, Petrolina—PE, with previously defined characteristics: soil classification (Plinthic Yellow—Ultisol), crop planted (Mangifera indica L.) and irrigation system used (micro-sprinkler). Precipitation, reference evapotranspiration and volume of water applied via irrigation were monitored by an automatic weather station and hydrometers in each lot. In each plot, nine observation wells were installed, distributed in a grid, with the aim of make monthly measurements of the water table level or mottling. The electrical conductivity and pH of the groundwater were also measured to obtain the average monthly value for each lot. Illustrative 3D maps of the water table level in relation to the ground surface were created using the simple kriging method, in the UTM SIRGAS 2000 24S projection system. The absence and presence of groundwater in the upper and lower hillslope lots, respectively, were favored by the toposequence. The decision to install underground drainage or not can be made on a case-by-case basis; this must take into account, among other aspects, changes in physical characteristics along the soil profile, possible occurrence of mottling, the quality of water for irrigation, the irrigation management adopted and the position of the lot in the toposequence. Full article
(This article belongs to the Section Soil and Hydrology)
Show Figures

Figure 1

22 pages, 2751 KB  
Article
Cascaded Thermal Storage for Low-Carbon Heating: An Air-Assisted Ground-Source Heat Pump with Zoned Boreholes in a Cold-Climate Building
by Peiqiang Chen, Zhuozhi Wang and Yuanfang Liu
Processes 2026, 14(6), 958; https://doi.org/10.3390/pr14060958 - 17 Mar 2026
Viewed by 243
Abstract
The pursuit of carbon neutrality demands advanced low-carbon energy processes and their effective integration into building systems. Ground-source heat pumps (GSHPs) offer a key pathway for decarbonizing heating, yet their cold-climate application is compromised by soil thermal imbalance, which degrades their long-term efficiency. [...] Read more.
The pursuit of carbon neutrality demands advanced low-carbon energy processes and their effective integration into building systems. Ground-source heat pumps (GSHPs) offer a key pathway for decarbonizing heating, yet their cold-climate application is compromised by soil thermal imbalance, which degrades their long-term efficiency. This study proposes and evaluates an innovative air-assisted GSHP system that integrates a vegetable greenhouse with a zoned borehole configuration for seasonal thermal storage to achieve carbon neutrality. The system segregates boreholes into core and peripheral zones to establish a controlled soil temperature gradient, enabling cascaded heat storage and thermal optimization. A comprehensive year-long field test was conducted on a residential building in Harbin, China. The results demonstrate that the system reliably maintains comfortable indoor conditions during severe winters, achieving average seasonal COPs of 3.82 for the heat pump unit and 2.85 for the overall system. The zoned operation strategy successfully generated a significant intra-field soil temperature gradient, with a maximum differential of 5.9 °C between the core and peripheral boreholes during charging. The measured heat extraction-to-storage ratio was 0.598, confirming effective cascaded utilization. From an environmental perspective aligned with low-carbon energy technologies, the system achieves annual savings of 8.66 tons of standard coal and a net CO2 reduction of 1.3 tons when accounting for regional grid carbon intensity. This research provides empirical validation and practical design guidance for implementing efficient GSHP systems in severely cold regions, thereby contributing substantively to building sector decarbonization. Full article
Show Figures

Figure 1

28 pages, 12219 KB  
Article
Exploring the Multiscale Spatiotemporal Dynamics of Ecosystem Service Interactions and Their Driving Factors in the Taihu Lake Basin, China
by Yachao Chang, Zhimin Zhang and Chongchong Yao
Sustainability 2026, 18(6), 2930; https://doi.org/10.3390/su18062930 - 17 Mar 2026
Viewed by 172
Abstract
Understanding the intricate interrelationships among ecosystem services (ESs) is fundamental to advancing sustainable ecological management. This study focuses on the Taihu Basin and examines five representative ESs, including water yield (WY), carbon sequestration (CS), soil retention (SR), habitat quality (HQ), and crop production [...] Read more.
Understanding the intricate interrelationships among ecosystem services (ESs) is fundamental to advancing sustainable ecological management. This study focuses on the Taihu Basin and examines five representative ESs, including water yield (WY), carbon sequestration (CS), soil retention (SR), habitat quality (HQ), and crop production (CP), for the years 2000, 2010, and 2020. Spatial distribution characteristics and spatiotemporal dynamics were quantified through the combined application of the InVEST model, a food production model, and ArcGIS. Spearman correlation analysis and K-means clustering were then applied to characterize trade-offs and synergies among ESs and to delineate ecosystem service bundles at multiple spatial scales, including 1 km × 1 km grids, 10 km × 10 km grids, and the county level, while GeoDetector was used to identify the associated driving mechanisms. The results indicated that (1) between 2000 and 2020, the spatial distribution pattern of the ESs in the Taihu Basin underwent significant changes, with WY and SR increasing by 48.97% and 51.89%, respectively, while HQ, CS, and CP decreased by 17.2%, 15.5%, and 47.6%. (2) From an overall perspective of trade-offs and synergies, the interactions among ESs shifted from trade-offs (r < 0) to synergies (r > 0) as the scale increased. From the perspective of the spatial characteristics of trade-offs and synergies, the intensity of these interactions varied significantly with increasing scale, but the trend remained relatively stable. (3) The Taihu Basin can be categorized into six ES bundles (ESBs). ESB 1, ESB 3, ESB 4, and ESB 5 have relatively stable ES structures, whereas ESBs 2 and 6 display significant variations. (4) The primary factors influencing ESs vary significantly across different spatial scales, with land use/land cover (LULC) and the proportions of arable land, forestland, and buildings exhibiting strong explanatory power. This highlights the critical role of coupled natural and anthropogenic processes in shaping the spatial patterns of ESs. This study considers the spatiotemporal variation and scale dependence of ecosystem services, providing management recommendations tailored to different regions and spatial scales, and offering a scientific basis for regional ecological planning and watershed governance. Full article
Show Figures

Figure 1

36 pages, 9007 KB  
Article
Automated Machine Learning for High-Resolution Daily and Hourly Methane Emission Mapping for Rice Paddies over South Korea: Integrating MODIS, ERA5-Land, and Soil Data
by Jiah Jang, Seung Hee Kim, Menas Kafatos, Jaeil Cho, Gayoung Yoo, Sujong Jeong and Yangwon Lee
Remote Sens. 2026, 18(5), 753; https://doi.org/10.3390/rs18050753 - 2 Mar 2026
Viewed by 337
Abstract
Agriculture is a major global source of methane (CH4), and accurate emission estimates are essential for refining national greenhouse gas inventories and supporting climate-resilient policies. This study develops a high-resolution estimation framework for CH4 emissions from Korean rice paddies by [...] Read more.
Agriculture is a major global source of methane (CH4), and accurate emission estimates are essential for refining national greenhouse gas inventories and supporting climate-resilient policies. This study develops a high-resolution estimation framework for CH4 emissions from Korean rice paddies by integrating multi-source datasets, including Moderate Resolution Imaging Spectroradiometer (MODIS) vegetation indices, European Centre for Medium-Range Weather Forecasts (ECMWF) Reanalysis Version 5 (ERA5)-Land meteorological variables, and Harmonized World Soil Database (HWSD) soil properties. Using CH4 flux observations from four global rice ecosystems (Italy, Japan, South Korea, and USA), we constructed parallel daily and hourly machine learning models using an automated machine learning (AutoML) framework to compare their performance and process-level interpretability. The daily model demonstrated high predictive accuracy with correlation coefficients (CC) of 0.897 in 5-fold cross-validation and 0.819 in Leave-One-Year-Out (LOYO) cross-validation. Shapley Additive Explanations (SHAP) analysis revealed that while soil temperature is the dominant predictor for daily emissions (explaining ~50% of the variance), variable importance shifts significantly at finer resolutions. The hourly model exhibited a more complex multivariate structure. In this high-resolution context, although Normalized Difference Vegetation Index (NDVI) remains constant diurnally, its importance strengthens as a critical regulator of emission sensitivity, interacting with hourly meteorological fluctuations to capture short-term dynamics. The resulting 500 m daily gridded maps provide a robust foundation for national inventory refinement and spatially targeted mitigation planning. Our findings suggest that while the daily model offers optimal computational efficiency for long-term monitoring, the hourly model is superior for mechanistic understanding and detecting episodic emission events. This multi-resolution framework establishes an empirical basis for selecting appropriate temporal scales in operational greenhouse gas monitoring systems. Full article
Show Figures

Figure 1

23 pages, 9884 KB  
Article
Spatial Estimation of Permafrost Thickness in the Greater and Lesser Khingan Mountains, Northeast China
by Yingying Lu, Guangyue Liu, Lin Zhao, Yao Xiao, Defu Zou, Guojie Hu, Erji Du, Xueling Jiao and Jiayi Xie
Remote Sens. 2026, 18(5), 684; https://doi.org/10.3390/rs18050684 - 25 Feb 2026
Viewed by 313
Abstract
Permafrost thickness serves as a critical indicator of hydrogeological conditions in cold regions and significantly influences the safety of engineering infrastructure. Due to the combined effects of climate, ecology, and human activities, the thermal characteristics and spatial distribution of permafrost in the Greater [...] Read more.
Permafrost thickness serves as a critical indicator of hydrogeological conditions in cold regions and significantly influences the safety of engineering infrastructure. Due to the combined effects of climate, ecology, and human activities, the thermal characteristics and spatial distribution of permafrost in the Greater and Lesser Khingan Mountains of Northeast China exhibit high complexity, rendering existing permafrost thickness estimation methods largely inapplicable in this region. We developed an integrated estimation framework that bridges the gap between limited deep ground temperature measurements and regional-scale mapping. To overcome the scarcity of deep borehole (>20m) data, a physical-statistical inversion method was employed to derive permafrost base depths from shallow borehole temperature profiles, thereby expanding the foundational dataset to 104 representative sites. Integrating these ground observations with satellite-derived products (e.g., MODIS NDVI) and auxiliary environmental covariates (e.g., DEM-based topography and gridded climatic data), a Random Forest algorithm (RF) was applied to generate a 1 km-resolution permafrost thickness distribution map across Northeast China with a classification accuracy of 0.74. The results indicate that the average permafrost thickness in the study area is 47.71 ± 10 m, exhibiting a spatial pattern of thicker in the north and west, thinner in the south and east, and greater in mountainous areas than in plains. The top three influencing factors of permafrost thickness are atmospheric precipitation, surface thawing degree days (TDDs), and topographic position index (TPI), revealing that the thickness of discontinuous permafrost in northeastern China is primarily governed by local factors such as soil moisture, represented by the thick permafrost existed under a small patch of ground surface. This study provides a new methodological framework for estimating permafrost thickness in regions with limited ground temperature gradient measurement in deep boreholes. Full article
(This article belongs to the Section Environmental Remote Sensing)
Show Figures

Figure 1

20 pages, 2901 KB  
Article
Transient Lightning Response of a New Substation Grounding Method Using General FEM Software
by Alhassane Sylla, Christophe Volat, Reza Jafari Aminabadi and Guy Simard
Appl. Sci. 2026, 16(5), 2182; https://doi.org/10.3390/app16052182 - 24 Feb 2026
Viewed by 274
Abstract
This paper presents a numerical investigation studying the response of a new grounding system when submitted to different lightning current waveforms. This grounding system features an electrically conductive concrete (ECON) or geopolymer (ECG) square section with a standard steel rebar as an encased [...] Read more.
This paper presents a numerical investigation studying the response of a new grounding system when submitted to different lightning current waveforms. This grounding system features an electrically conductive concrete (ECON) or geopolymer (ECG) square section with a standard steel rebar as an encased electrode (EE) at the center to potentially replace conventional copper or galvanized steel grounding grids in HV substations. Due to the specificity of this new grounding system called ECON/ECG-EE, we decided to perform different transient simulations using the RF module of the general FEM software Comsol Multiphysics 6.2 version. In the first step, both frequency (FD) and temporal domain (TD) analyses were validated using three grounding systems extracted from the literature. Next, several numerical new grounding system simulations were performed and compared with a conventional HV substation copper grid of the same dimensions equipped with vertical rods. We investigated the influence of several parameters, such as ECON/ECG and soil electrical conductivity, the rise-time in current lightning waveform and the frequency dependency of soil parameters. The numerical results obtained demonstrate that ECON/ECG-EE grounding systems submitted to lightning current pulse present a smaller peak impedance than conventional SGSs equipped with vertical rods, particularly in cases with high soil resistivity. Moreover, it was also demonstrated that with faster lightning current pulse, the ECON/ECG system’s peak impedance becomes significantly lower than those obtained for a copper grid with vertical rods. Full article
(This article belongs to the Section Energy Science and Technology)
Show Figures

Figure 1

25 pages, 97187 KB  
Article
Trade-Off/Synergy Relationships of Ecosystem Services and Their Driving Mechanisms Based on Land Use Change Analysis
by Keke Sun, Yuhang Li, Weicheng Wu, Changsheng Ye, Wenwei Bao, Mo Chen, Fangyu Shi, Mingyue Liu, Kexin Zheng and Yueting Ren
Land 2026, 15(3), 357; https://doi.org/10.3390/land15030357 - 24 Feb 2026
Viewed by 397
Abstract
Land use transformation directly affects the stability and sustainability of regional ecosystems. Clarification of the trade-off/synergy dynamics among ecosystem services (ESs) provides a theoretical foundation to understand the transition of ES interactions from trade-offs to synergies, thereby facilitating the achievement in ecological sustainability [...] Read more.
Land use transformation directly affects the stability and sustainability of regional ecosystems. Clarification of the trade-off/synergy dynamics among ecosystem services (ESs) provides a theoretical foundation to understand the transition of ES interactions from trade-offs to synergies, thereby facilitating the achievement in ecological sustainability in the ecoregion. This study, taking Jiangxi Province, China, as an example, utilized the InVEST model, Theil–Sen estimator, Mann–Kendall test, bivariate spatial autocorrelation, ecosystem service bundles (ESBs), and Random Forest (RF) models to conduct such an ecosystem-focused integrated analysis. According to land use changes from 1980 to 2020, the time-series spatiotemporal patterns of water yield (WY), soil conservation (SC), habitat quality (HQ), and carbon storage (CS) were analyzed. Differences in ES trade-off/synergy relationships and their underlying motivating factors were examined using a 3 km spatial grid framework. Compared with previous studies that mainly focused on typical subregions and of which driver analyses often remained at the individual ES level, this study introduced an explainable RF-SHAP framework based on the cooperative game theory at the grid scale, to quantitatively characterize the relative contributions of every motivating factor to ES trade-off/synergy relationships. The results indicate that from 1980 to 2020, forests and croplands constituted the predominant land use types, taking up 88% of the studied area. Throughout this period, forests, croplands, and grasslands decreased markedly, while built-up areas expanded notably, with a rise of 2876.65 km2. Over the same time span, WY increased on average by 0.50% whereas SC, HQ, and CS declined by 0.50%, 0.98%, and 1.30%, respectively. Overall, these ESs demonstrated a geographical distribution characterized by low levels in SC, HQ and CS in the central area and high levels towards the provincial boundary. At the grid scale, the four ESs demonstrated predominantly a synergistic relationship while WY&HQ and WY&SC pairs were characterized by trade-offs. The constraint effect analysis revealed U-shaped relationships for SC&HQ, WY&HQ, and WY&SC, and inverted U-shaped relationships for SC&CS and HQ&CS, with clear threshold effects among these ES pairs. Based on self-organizing maps, the study area is partitioned into six ESBs, and the trade-off/synergy linkages of ESs are affected by the interplay of natural and societal forces. Elevation, slope, and rainfall emerge as the primary driving variables accompanied by population density and proximity to urban centers. These results are anticipated to offer reference to governments for their sustainable management in environmental resources to achieve United Nations Sustainable Development Goal (SDG) 15 (Life on Land: Protect, restore and promote sustainable use of terrestrial ecosystems). The methods used in this paper provide a replicable framework for exploring ES interactions and driving mechanisms in other ecologically sensitive regions in the world. Full article
(This article belongs to the Special Issue Land Degradation: Global Challenges and Sustainable Solutions)
Show Figures

Figure 1

46 pages, 13316 KB  
Article
Assessing the Spatial Similarity of Soil Moisture Patterns and Their Environmental and Observational Drivers from Remote Sensing and Earth System Modeling Across Europe
by Thomas Jagdhuber, Lisa Jach, Anke Fluhrer, David Chaparro, Florian M. Hellwig, Gerard Portal, Hans-Stefan Bauer and Harald Kunstmann
Remote Sens. 2026, 18(4), 608; https://doi.org/10.3390/rs18040608 - 15 Feb 2026
Cited by 1 | Viewed by 429
Abstract
Soil moisture is an essential climate variable exhibiting strong spatio-temporal dynamics, especially in the topsoil. Therefore, it is assessed multiple times by sensors within in situ networks, satellites, and by modeling of the Earth system. The resulting soil moisture fields from all methods [...] Read more.
Soil moisture is an essential climate variable exhibiting strong spatio-temporal dynamics, especially in the topsoil. Therefore, it is assessed multiple times by sensors within in situ networks, satellites, and by modeling of the Earth system. The resulting soil moisture fields from all methods are individual and non-congruent due to the imperfection of the methods and retrievals. But their spatial patterns have valuable similarities that call for investigation to foster intercomparison or even fusion of soil moisture products. In this research study, the similarity of spatial soil moisture patterns between passive microwave remote sensing products and Earth system modeling is investigated. We configure and apply spatial similarity metrics to enable a spatial comparison of the operational SMAP Dual Channel Algorithm (DCA) radiometer soil moisture product with the soil moisture output from IFS model runs of the ECMWF. The pattern assessment spans over the whole of Europe and aims to find the drivers behind the spatial soil moisture distributions at scales ranging from single grid cells (minimum) to continental (maximum) spatial scales, and between growing periods of wet (2021) and dry (2022) years. The two specifically configured metrics, total disagreement and mean category distance, showcase the opportunities and challenges when assessing spatial similarity in soil moisture fields across different scales. In addition, the potential drivers of the spatial moisture patterns were screened. Here, soil texture is the most influential single driver of spatial patterns in the IFS soil moisture runs, when analyzed in absolute terms [m3 m−3]. In relative terms of soil moisture [-] (soil wetness index), precipitation and soil temperature explain most of the variability of the IFS soil moisture for Europe. The SMAP retrievals are predominantly driven by the brightness temperatures, mostly influenced by surface temperature, vegetation water content, and soil roughness. These differences in drivers, as well as in methodology, culminate in an inherent discrepancy between the two soil moisture products. However, the assessment of their spatial patterns reveals the underlying similarity from the local to the continental scale. Full article
(This article belongs to the Special Issue Earth Observation Satellites for Soil Moisture Monitoring)
Show Figures

Figure 1

26 pages, 6588 KB  
Article
Techno-Economic and Environmental Performance Assessment of a 1 MW Grid-Connected Photovoltaic System Under Subtropical Monsoon Conditions
by Muhammad Usman Saleem, Abdul Samad, Saif Ur Rahman and Muhammad Zeeshan Babar
Processes 2026, 14(4), 616; https://doi.org/10.3390/pr14040616 - 10 Feb 2026
Viewed by 385
Abstract
The high expansion rate of industrial-scale photovoltaic (PV) systems in emerging economies requires proper performance prediction models that consider particular climatic variabilities. Although the theoretical potential of solar energy in South Asia is well documented, there still exists a gap in the validation [...] Read more.
The high expansion rate of industrial-scale photovoltaic (PV) systems in emerging economies requires proper performance prediction models that consider particular climatic variabilities. Although the theoretical potential of solar energy in South Asia is well documented, there still exists a gap in the validation of simulation models to operational data over long periods in subtropical monsoon climates. Unlike prior studies, this work combines multi-year operational data with dynamic TRNSYS simulations to quantify both technical and environmental performance of a 1 MW PV system under subtropical monsoon conditions. This paper provides a detailed performance evaluation of a 1 MW grid-connected PV system located in Punjab, Pakistan. The actual performance of the system is compared with a dynamic simulation model that is created in the Transient System Simulation Tool (TRNSYS) using three years of operational data. Four different scenarios are analyzed: (1) Ideal Theoretical Operation, (2) Actual Field Data, (3) Simulated Operation with Maximum Power Point Tracking (MPPT), and (4) Simulated Operation without MPPT. The results reveal that the real system produced an average of 1342 MWh/year, whereas the MPPT-enabled simulation predicted 1664 MWh/year, indicating a performance difference of 19.3%. Statistical validation revealed a strong correlation (R2=0.84) between the model and reality, yet identified a normalized Root Mean Square Error (nRMSE) of 26.8%. This deviation represents a performance gap which is deconvoluted into agricultural soiling losses and grid curtailment. The research work quantifies the technical effect of MPPT where a 27% operational advantage is realized in comparison to fixed-voltage cases, proving its necessity in climates with high diffuse radiation during monsoon seasons. Economic analysis demonstrates a Levelized Cost of Energy (LCOE) of $0.0378/kWh of the existing system, and a Simple Payback Time (SPBT) of 4.74 years at the current industrial tariffs. Sensitivity analysis also indicates that in case of an increase in grid tariffs to 50 PKR/kWh, Internal Rate of Return (IRR) increases to 18.8%. Environmental analysis confirms a carbon emission reduction of 765 tons/year. These results validate the techno-economic feasibility of large-scale PV in the area and provide an important understanding of the critical yield losses in monsoon seasons, which offers an effective robust benchmark for future industrial energy policy in developing economies. Full article
(This article belongs to the Special Issue Advances in Renewable Energy Systems (2nd Edition))
Show Figures

Graphical abstract

31 pages, 20786 KB  
Article
Multi-Scale Analysis of Ecosystem Service Trade-Off Intensity and Its Drivers Based on Wavelet Transform: A Case Study of the Plain–Mountain Transition Zone in China
by Congyi Li, Penggen Cheng, Xiaojian Wei, Bei Liu, Yunju Nie and Zhanhui Zhao
Land 2026, 15(2), 278; https://doi.org/10.3390/land15020278 - 7 Feb 2026
Viewed by 377
Abstract
Identifying the multi-scale drivers of ecosystem service (ES) trade-off intensity is essential for promoting regional sustainability. However, the existing multi-scale ES studies typically rely on predefined administrative units or fixed grid sizes due to the absence of scientifically sound scale-partitioning approaches, which limits [...] Read more.
Identifying the multi-scale drivers of ecosystem service (ES) trade-off intensity is essential for promoting regional sustainability. However, the existing multi-scale ES studies typically rely on predefined administrative units or fixed grid sizes due to the absence of scientifically sound scale-partitioning approaches, which limits the identification of characteristic scales and obscures scale-dependent interactions. This study broke new ground by combining continuous wavelet transform (CWT) and optimal parameter geographic detector (OPGD) to automatically identify the characteristic scales of trade-offs between ecosystem services, thus opening up a new avenue in multi-scale studies. Taking China’s plain–mountain transition zone as a case study, we evaluate trade-off intensity among four key ecosystem services—water yield (WY), habitat quality (HQ), soil conservation (SC), and carbon storage (CS). The results show that the following: (1) The identification of 36 characteristic scales (ranging from 5 km to 55 km) indicates that ecosystem service trade-offs operate across a wide range of spatial extents, implying that a single management scale cannot effectively address all ES interactions. (2) From 2000 to 2020, CS-HQ, SC-HQ, and WY-HQ trade-off intensities were jointly driven by both natural conditions and human activities, whereas CS-SC was predominantly influenced by natural and climatic factors. The trade-off intensities between CS-WY and WY-SC were mainly controlled by climatic forces. (3) The explanatory power (q value) of each factor varied distinctly with spatial scale, and the interaction effects between multiple factors were substantially stronger than their individual effects. This indicates that ecosystem service trade-offs are primarily governed by coupled processes rather than isolated drivers. Consequently, management strategies targeting single drivers are unlikely to be effective. Instead, ecosystem management should be designed around combinations of drivers that operate at specific spatial scales and provide a concrete pathway for translating trade-off analyses into spatially differentiated management actions. Full article
Show Figures

Figure 1

30 pages, 18616 KB  
Article
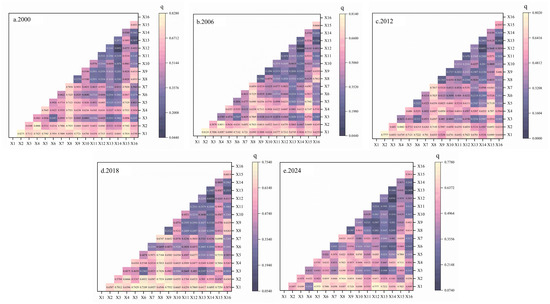
From Improvement to Rebound: Evolution Trajectory, Turning Point, and Dominant Factors of Desertification Sensitivity in Ordos over the Past 25 Years
by Meijuan Zhang, Qin Qiao, Wenting Zhang, Guomei Shao and Yongwei Han
Sustainability 2026, 18(3), 1312; https://doi.org/10.3390/su18031312 - 28 Jan 2026
Viewed by 209
Abstract
The prevention and control of desertification in northern China is currently in a critical stage of transitioning from large-scale governance to precise adaptation. Identifying potential risk areas during the ecological restoration process is a scientific prerequisite for achieving long-term governance. This study focuses [...] Read more.
The prevention and control of desertification in northern China is currently in a critical stage of transitioning from large-scale governance to precise adaptation. Identifying potential risk areas during the ecological restoration process is a scientific prerequisite for achieving long-term governance. This study focuses on the typical ecologically fragile area of Ordos City, where high-resolution grazing pressure grid data and a night-time light index were innovatively integrated into the assessment system to develop a desertification sensitivity evaluation framework that couples climatic, vegetative, soil, and human activity (CVSH) factors. Compared to linear models, the CVSH framework enhances dynamic assessment accuracy by coupling human activity indicators, particularly addressing the policy lag effect inherent in PSR models. The study systematically tracked the temporal and spatial differentiation process of desertification sensitivity from 2000 to 2024, finding that the spatial pattern shows a significant “the west is high while the east is low” concentration, and the time series has experienced a phased turning point of “first suppression then growth”. Mechanism analysis indicates that climate aridification and vegetation degradation are the dominant stress factors, while intense human activities have significantly exacerbated the vulnerability of local ecosystems through nonlinear interactions, leading to the re-expansion of high-sensitivity zones after 2018, with their area proportion increasing sharply from 15.52% to 30.07%. This study reveals the fragility of ecological engineering effectiveness and the complexity of risk evolution under the combined influence of climate fluctuations and human interference, providing a direct scientific picture and decision support for achieving differentiated ecological risk management and sustainable land management in different regions. Full article
(This article belongs to the Section Air, Climate Change and Sustainability)
Show Figures

Figure 1

Back to TopTop