Sign in to use this feature.

Years

Between: -

Subjects

remove_circle_outline
remove_circle_outline
remove_circle_outline
remove_circle_outline
remove_circle_outline
remove_circle_outline
remove_circle_outline
remove_circle_outline
remove_circle_outline

Journals

remove_circle_outline
remove_circle_outline
remove_circle_outline
remove_circle_outline
remove_circle_outline
remove_circle_outline
remove_circle_outline
remove_circle_outline
remove_circle_outline

Article Types

Countries / Regions

remove_circle_outline
remove_circle_outline
remove_circle_outline
remove_circle_outline
remove_circle_outline

Search Results (482)

Search Parameters:
Keywords = Si hydration

Order results
Result details
Results per page
Select all
Export citation of selected articles as:
34 pages, 6071 KB  
Article
The Effect of GBFS on the Mechanical Properties and Hydration Products of Steam-Cured Cement Mortar
by Baoliang Li, Jie Li, Yue Li, Hongrui Shang, Haohang Yu, Binbin Huo and Yuyi Liu
Gels 2026, 12(2), 110; https://doi.org/10.3390/gels12020110 (registering DOI) - 27 Jan 2026
Abstract
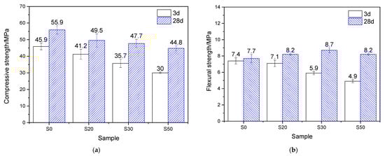
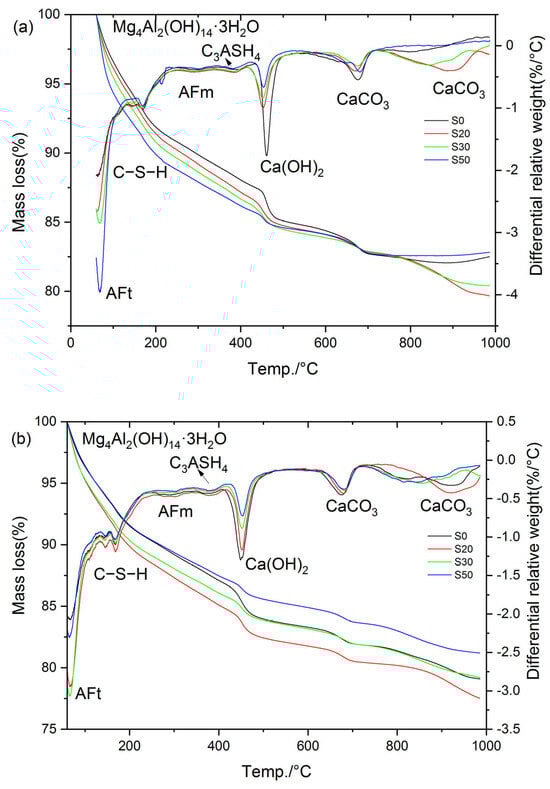
To investigate the mechanism by which ground granulated blast-furnace slag (GBFS) affects the performance of steam-cured cementitious materials, this study systematically analyzes the effect of GBFS on the mechanical strength and hydration products of mortar by adjusting the GBFS content (0%, 20%, 30%, [...] Read more.
To investigate the mechanism by which ground granulated blast-furnace slag (GBFS) affects the performance of steam-cured cementitious materials, this study systematically analyzes the effect of GBFS on the mechanical strength and hydration products of mortar by adjusting the GBFS content (0%, 20%, 30%, 50%), curing temperature (50 °C for 7 h, 80 °C for 7 h), and curing time (3 d, 28 d). The results show that although increasing the steam-curing temperature can improve the strength activity index of GBFS-containing mortar, higher temperatures tend to induce later-age strength retrogression in such mixtures. Steam-curing not only promotes the massive formation of calcium hydroxide with coarse crystals but also increases the initial Ca/Si ratio of calcium silicate hydrate (C–S–H) gels, which is a crucial factor contributing to the high susceptibility of steam-cured concrete to brittle fracture; however, the incorporation of GBFS can effectively mitigate this issue. Furthermore, under the steam-curing condition of 80 °C, the addition of GBFS facilitates the formation of hydrogarnet and delayed ettringite, which is unfavorable for the long-term strength development and durability improvement in concrete. Full article
(This article belongs to the Special Issue Development and Applications of Advanced Geopolymer Gel Materials)
Show Figures

Figure 1

13 pages, 2834 KB  
Article
Synthesis and Structure of Pregelatinized Starch-Modified SiO2 Gels for Strength Enhancement of Portland Cement
by Yuehua Si and Jingjing Li
Buildings 2026, 16(3), 510; https://doi.org/10.3390/buildings16030510 - 27 Jan 2026
Abstract
Here, we introduce novel pregelatinized starch-modified silica gels for Portland cement enhancement. The modified SiO2 gels demonstrate superior mechanical properties compared to pure silica, with optimal starch modification increasing the modulus by 244.8%. Structural characterization reveals that starch alters Si-O bond configurations [...] Read more.
Here, we introduce novel pregelatinized starch-modified silica gels for Portland cement enhancement. The modified SiO2 gels demonstrate superior mechanical properties compared to pure silica, with optimal starch modification increasing the modulus by 244.8%. Structural characterization reveals that starch alters Si-O bond configurations without covalent bond formation. Applied to Portland cement, the modified gels significantly enhance compressive strength through method-dependent mechanisms. Casting applications show measurable strength improvements, while pressing methods achieve a 42.3% compressive strength increase with superior packing efficiency under confined conditions. The enhancement primarily stems from accelerated C3S hydration facilitated by the modified silica gels. These findings establish an innovative approach for high-performance cement materials via organic–inorganic composite modification, providing practical formulation guidance across diverse application scenarios. Full article
Show Figures

Figure 1

16 pages, 1837 KB  
Article
Enhancing Hydration Stability and Proton Transport in Nafion/SiO2 Membranes for Medium- to High-Temperature PEMFCs
by Shuai Quan, Zheng Sun, Cong Feng, Lei Xing and Pingwen Ming
Polymers 2026, 18(3), 329; https://doi.org/10.3390/polym18030329 - 26 Jan 2026
Abstract
Perfluorosulfonic acid (PFSA) membranes suffer from severe conductivity decay caused by dehydration at elevated temperatures, hindering their application in medium- to high-temperature proton exchange membrane fuel cells (MHT-PEMFCs). To address this, Nafion/SiO2 composite membranes with systematically varied filler contents were fabricated via [...] Read more.
Perfluorosulfonic acid (PFSA) membranes suffer from severe conductivity decay caused by dehydration at elevated temperatures, hindering their application in medium- to high-temperature proton exchange membrane fuel cells (MHT-PEMFCs). To address this, Nafion/SiO2 composite membranes with systematically varied filler contents were fabricated via a sol–gel-assisted casting strategy to enhance hydration stability and proton transport. Spectroscopic and microscopic analyses reveal a homogeneous nanoscale dispersion of SiO2 within the Nafion matrix, along with strong interfacial hydrogen bonding between SiO2 and sulfonic acid groups. These interactions effectively suppress polymer crystallinity and stabilize hydrated ionic domains. Thermogravimetric analysis confirms markedly improved water retention in the composite membranes at intermediate temperatures. Proton conductivity measurements at 50% relative humidity (RH) identify the Nafion/SiO2-3 membrane as exhibiting optimal transport behavior, delivering the highest conductivity of 61.9 mS·cm−1 at 120 °C and significantly improved conductivity retention compared to Nafion 117. Furthermore, single-cell tests under MHT-PEMFC conditions (120 °C, 50% RH) demonstrate the practical efficacy of these membrane-level enhancements, with the Nafion/SiO2-3 membrane exhibiting an open-circuit voltage and peak power density 11.2% and 8.9% higher, respectively, than those of pristine Nafion under identical MEA fabrication and operating conditions. This study elucidates a clear structure–property–transport relationship in SiO2-reinforced PFSA membranes, demonstrating that controlled inorganic incorporation is a robust strategy for extending the operational temperature window of PFSA-based proton exchange membranes toward device-level applications. Full article
Show Figures

Figure 1

18 pages, 3774 KB  
Article
A Study on Reinforcing Marine Soft Clay with Marine Recyclable Aggregate Prepared from Seawater, Alkali Activator, and Recycled Particles from Paste Using CT Observation
by Xiaoyang Chen, Mingyuan Wang, Yajun Wang, Zuguo Zhang and Jinjing Chen
J. Mar. Sci. Eng. 2026, 14(2), 180; https://doi.org/10.3390/jmse14020180 - 14 Jan 2026
Viewed by 157
Abstract
This study investigated the use of Marine Recyclable Aggregate (MRA), synthesized from Recycled Particles from Paste (RPPs) obtained from construction waste, seawater, and alkali activator (Na2O∙3.3SiO2, NS), for reinforcing marine soft clay. RPP is a laboratory-prepared material used to [...] Read more.
This study investigated the use of Marine Recyclable Aggregate (MRA), synthesized from Recycled Particles from Paste (RPPs) obtained from construction waste, seawater, and alkali activator (Na2O∙3.3SiO2, NS), for reinforcing marine soft clay. RPP is a laboratory-prepared material used to simulate construction waste. The physicochemical properties of MRA were characterized using X-ray diffraction (XRD), thermal field emission scanning electron microscopy (SEM), energy-dispersive spectroscopy (EDS), and thermogravimetric analysis (TGA). The results revealed that the key hydration products in MRA are Friedel’s salt (3CaO·Al2O3·CaCl2·10H2O, FS), xCaO·SiO2·nH2O (C-S-H), and CaO·Al2O3·2SiO2·4H2O (C-A-S-H). The formation of these hydration products enables MRA to maintain stability in marine environments. The deformation characteristics of MRA-reinforced soft clay under various conditions were investigated by integrating X-ray computed tomography with triaxial compression tests, allowing for the three-dimensional visualization and reconstruction of the failure process. The application of MRA for soft clay reinforcement in seawater environments enhances the bearing capacity of the clay and provided significant environmental benefits. Full article
(This article belongs to the Section Ocean Engineering)
Show Figures

Figure 1

19 pages, 9944 KB  
Article
Molecular Simulation Study of Water–Rock Interfaces During Supercritical CO2 Sequestration
by Yuanzi Yan, Yunfeng Fan and Peng Zhang
Molecules 2026, 31(2), 268; https://doi.org/10.3390/molecules31020268 - 13 Jan 2026
Viewed by 146
Abstract
Understanding how supercritical CO2 and water interact with mineral surfaces is essential for predicting the stability and sealing performance of geological storage formations. Yet, the combined effects of mineral surface chemistry and confined pore geometry on interfacial structure and fluid dynamics remain [...] Read more.
Understanding how supercritical CO2 and water interact with mineral surfaces is essential for predicting the stability and sealing performance of geological storage formations. Yet, the combined effects of mineral surface chemistry and confined pore geometry on interfacial structure and fluid dynamics remain insufficiently resolved at the molecular scale. In this study, molecular dynamics simulations were employed to quantify how methylated SiO2, hydroxylated SiO2, and kaolinite regulate CO2–H2O interfacial behavior through variations in wettability and electrostatic interactions. The results show a clear hierarchy in water affinity across the three minerals. On methylated SiO2, the water cluster remains spherical and poorly anchored, with a contact angle of ~140°, consistent with the weakest water–surface Coulomb attractions (only −400 to −1400 kJ/mol). Hydroxylated SiO2 significantly enhances hydration, forming a cylindrical water layer with a reduced contact angle of ~61.3° and strong surface–water electrostatic binding (~−18,000 to −20,000 kJ/mol). Kaolinite exhibits the highest hydrophilicity, where water forms a continuous bridge between the two walls and the contact angle further decreases to ~24.5°, supported by the strongest mineral–water electrostatic interactions (−23,000 to −25,000 kJ/mol). Meanwhile, CO2–water attractions remain moderate (typically −2800 to −3500 kJ/mol) but are sufficient to influence CO2 distribution within the confined domain. These findings collectively reveal that surface functionalization and mineral type govern interfacial morphology, fluid confinement, and electrostatic stabilization in the sequence methylated SiO2 < hydroxylated SiO2 < kaolinite. This molecular-level understanding provides mechanistic insight into how mineral wettability controls CO2 trapping, fluid segregation, and pore-scale sealing behavior in subsurface carbon-storage environments. Full article
(This article belongs to the Topic CO2 Capture and Renewable Energy, 2nd Edition)
Show Figures

Figure 1

20 pages, 16654 KB  
Article
Study on the Mechanism of Nano-SiO2 Affecting the Strength of Cement Paste Backfill
by Dexian Li, Haiyong Cheng, Deng Liu, Shunchuan Wu, Hong Li and Xin Zhang
Buildings 2026, 16(2), 285; https://doi.org/10.3390/buildings16020285 - 9 Jan 2026
Viewed by 137
Abstract
The strength of cement paste backfill (CPB) is crucial for ensuring the safe and efficient operation of the horizontal layered approach backfill mining method. To effectively improve CPB strength, a series of experiments were carried out to systematically examine the effects of nano-SiO [...] Read more.
The strength of cement paste backfill (CPB) is crucial for ensuring the safe and efficient operation of the horizontal layered approach backfill mining method. To effectively improve CPB strength, a series of experiments were carried out to systematically examine the effects of nano-SiO2 (NS) on the mechanical properties, hydration process, setting time, and microstructure of CPB. The results show that at a content of 1.5%, NS fully utilizes its pozzolanic, filling, and nucleation effects, accelerating cement hydration, filling internal pores, and thereby increasing matrix density and CPB strength. Conversely, at 2.5%, severe agglomeration of NS into large-sized aggregates weakens these three effects of NS, increases specimen porosity, reduces matrix density, and consequently impairs the mechanical properties of CPB. This study clarifies the mechanism by which an appropriate amount of NS improves CPB mechanical properties, as well as the intrinsic reasons for the performance degradation caused by NS overdosage. The findings provide a theoretical basis and experimental support for the rational application of NS in mine backfill. Full article
Show Figures

Figure 1

17 pages, 16243 KB  
Article
The Governing Role of Si/Al Ratio in the Structural Evolution and Mechanical Properties of N-A-S-H Gel
by Min Hu, Jiayun Chen, Bo Xia and Jiejin Chen
Materials 2026, 19(2), 246; https://doi.org/10.3390/ma19020246 - 7 Jan 2026
Viewed by 243
Abstract
Alkali-activated cementitious materials are environmentally friendly alternatives to traditional cement. The structure of their core product, sodium aluminosilicate hydrate (N-A-S-H) gel, is regulated by the silicon-to-aluminum (Si/Al) ratio; however, the atomic-scale mechanism underlying this influence remains unclear. Integrating reactive force field molecular dynamics [...] Read more.
Alkali-activated cementitious materials are environmentally friendly alternatives to traditional cement. The structure of their core product, sodium aluminosilicate hydrate (N-A-S-H) gel, is regulated by the silicon-to-aluminum (Si/Al) ratio; however, the atomic-scale mechanism underlying this influence remains unclear. Integrating reactive force field molecular dynamics simulations and experiments, this study systematically reveals the regulation mechanism of the Si/Al ratio (1.0–2.0) on the microstructure and macroscopic properties of N-A-S-H gels. Starting from well-defined PS and PSS oligomers, the simulation results demonstrate that the Si/Al ratio governs the polymerization pathway, aluminum coordination environment (especially the content of pentacoordinate aluminum), and evolution of nanoporosity. When the Si/Al ratio is approximately 1.8, the system exhibits the highest silicate polymerization degree, lowest nanoporosity, and densest three-dimensional (3D) network structure; deviation from this ratio leads to structural degradation due to charge imbalance or excessive polymerization. These computational findings are validated by experiments on fly ash-based geopolymers: the material achieves the highest compressive strength at a Si/Al ratio of 1.8. The consistency between simulations and experiments collectively reveals a cross-scale action mechanism: the Si/Al ratio determines the macroscopic mechanical properties by regulating the nanoscale packing density and defect distribution of the gel. This study provides critical atomic-scale insights for the rational design of high-performance geopolymers. Full article
(This article belongs to the Topic Novel Cementitious Materials)
Show Figures

Graphical abstract

18 pages, 5716 KB  
Article
Influence of Coupled Activated Recycled Fine Powder on the Performance of Ultra-High-Performance Concrete
by Chun Lu, Ming Zhang, Nirmal Shrestha, Dongdong Yang and Chengxiao Yu
Materials 2026, 19(1), 201; https://doi.org/10.3390/ma19010201 - 5 Jan 2026
Viewed by 228
Abstract
Ultra-High-Performance Concrete (UHPC) is being increasingly utilized in major engineering projects due to its excellent mechanical properties, strong durability, and superior overall performance. Nevertheless, the widespread use of premium cementitious materials leads to high expenses and a substantial environmental impact. In this work, [...] Read more.
Ultra-High-Performance Concrete (UHPC) is being increasingly utilized in major engineering projects due to its excellent mechanical properties, strong durability, and superior overall performance. Nevertheless, the widespread use of premium cementitious materials leads to high expenses and a substantial environmental impact. In this work, crushed recycled paste was calcined at 600 °C for two hours to produce calcined recycled fine powder (RFP) with varying hydration reactivity. UHPC was produced using the RFP in place of some of the cement. Chemical activation was accomplished by adding a composite activator system made up of Ca(OH)2, Na2SO4, Na2SiO3·9H2O, and K2SO4 in order to further improve the performance of UHPC. Particle size, viscosity, fluidity, mechanical properties, and hydration products were analyzed to establish the best activator type and dosage, as well as the ideal activation procedure for recycled fine powder. By mass replacement of cementitious materials, when 15.0% of the calcined recycled fine powder was added, the compressive strength of UHPC reached 149.1 MPa, a 23.2% increase over reference UHPC without calcined recycled fine powder. The results show that the calcined recycled fine powder ground for 60 min exhibits the highest activity. More hydrated products were formed in UHPC as a result of the addition of Ca(OH)2. The compressive strength peaked at 162.2 MPa at an incorporation rate of 1.5%, which is 8.8% higher than UHPC without an activator. Full article
Show Figures

Figure 1

16 pages, 937 KB  
Review
The Dawn of Precision Medicine in Pediatric Nephrology: Lumasiran and the Era of siRNA Therapies for Primary Hyperoxaluria Type 1
by John Dotis and Maria Fourikou
J. Pers. Med. 2026, 16(1), 15; https://doi.org/10.3390/jpm16010015 - 2 Jan 2026
Viewed by 331
Abstract
Primary hyperoxaluria type 1 (PH1) is a rare autosomal recessive disorder that causes progressive renal failure, nephrolithiasis, and nephrocalcinosis in children. It is characterized by hepatic overproduction of oxalate. Conventional management, which involves combined liver–kidney transplantation, vitamin B6 supplementation, and intense hydration, does [...] Read more.
Primary hyperoxaluria type 1 (PH1) is a rare autosomal recessive disorder that causes progressive renal failure, nephrolithiasis, and nephrocalcinosis in children. It is characterized by hepatic overproduction of oxalate. Conventional management, which involves combined liver–kidney transplantation, vitamin B6 supplementation, and intense hydration, does not address the underlying metabolic defect for most patients and it generally provides only supportive care. The first approved disease-modifying treatment for pediatric PH1 is Lumasiran, a small interfering RNA (siRNA) therapeutic. By specifically inhibiting the hepatic glycolate oxidase mRNA, Lumasiran lowers the production of oxalate at its origin. Along with fewer kidney stone events and stabilization of nephrocalcinosis, clinical trials (ILLUMINATE-A/B/C) showed significant decreases in urinary oxalate excretion. The most frequently reported adverse event is mild injection-site reactions, which are generally well tolerated. The molecular mechanism, pharmacokinetics, and clinical effectiveness of Lumasiran in children with PH1 are compiled in this review. We go over possible long-term safety concerns, the impact of early intervention on renal outcomes, and the function of siRNA therapies in pediatric precision medicine. Furthermore, we highlight Lumasiran’s importance as a model for targeted treatment in uncommon pediatric kidney diseases by considering it in the larger context of RNAi-based therapies. A paradigm shift in pediatric nephrology is signaled by Lumasiran, which changes the therapeutic approach from supportive care to precision, targeted medicine. Further research and empirical data will clarify its long-term advantages, the best ways to treat it, and the possible use of siRNA technologies for other genetic renal disorders. Full article
(This article belongs to the Section Mechanisms of Diseases)
Show Figures

Graphical abstract

20 pages, 6375 KB  
Article
Research on the Thermal–Mechanical Synergistic Activation Mechanism of Coal Gangue and Its Hydration Characteristics
by Jiajun Chen, Qianyu Sun, Miaomiao Li, Kuizhou Dou, Yirui Song and Xudong Tan
Buildings 2026, 16(1), 152; https://doi.org/10.3390/buildings16010152 - 29 Dec 2025
Viewed by 297
Abstract
The coal washing and processing industry generates substantial quantities of coal gangue, which exerts significant impacts on soil and groundwater environments. Activating the reactivity of inert coal gangue to achieve comprehensive utilization in the field of cementitious materials holds considerable importance. This study [...] Read more.
The coal washing and processing industry generates substantial quantities of coal gangue, which exerts significant impacts on soil and groundwater environments. Activating the reactivity of inert coal gangue to achieve comprehensive utilization in the field of cementitious materials holds considerable importance. This study investigates a method that synergistically utilizes thermal activation and mechanical activation to enhance the reactivity of coal gangue. The approach aims to reduce the temperature required for thermal activation while effectively stimulating the reactive properties. Furthermore, the mechanisms underlying the thermal–mechanical synergistic activation and its hydration characteristics are thoroughly examined. Experimental results demonstrate that thermo-mechanical synergistic activation, in comparison to sole thermal activation at 950 °C, enhances reaction activity by 28.3%, improves mechanical properties by 27.4%, reduces setting time by 65 min, and significantly optimizes flow performance. The XRD, FT-IR, and TG-DTG analyses demonstrate that the interlayer hydrogen bonds of kaolinite are disrupted during the thermal activation stage, resulting in the formation of amorphous and highly reactive metakaolinite. Subsequent mechanical activation after thermal treatment significantly reduces particle size, further breaks the interlayer hydrogen bonds of kaolinite, and leads to the complete disintegration of the lattice framework. This process markedly enhances the degree of amorphization and thoroughly disrupts the long-range ordered crystalline structure of the kaolinite mineral phase in coal gangue. Concurrently, the d002 interplanar spacing of kaolinite expands by 0.155 Å, leading to an increase in reactivity. SEM-EDS analysis reveals that C-S-H gel is embedded within the mortar matrix, with a reduction in calcium hydroxide content and Ca/Si ratio, and an increase in Al/Si ratio in coal gangue mortar. This confirms that the thermo-mechanical synergistic activation introduces highly reactive Ca2+ and Al3+ from coal gangue into the secondary hydration reaction, resulting in the formation of a gel structure characterized by high stability and enhanced durability. Full article
(This article belongs to the Section Building Materials, and Repair & Renovation)
Show Figures

Figure 1

18 pages, 2292 KB  
Article
Effects of Ca/Si and Si/Al Ratios on the Wood Biomass Ash-Based Alkali-Activated Materials with Pozzolanic Additives
by Yiying Du, Ina Pundienė and Jolanta Pranckevičienė
Buildings 2026, 16(1), 51; https://doi.org/10.3390/buildings16010051 - 22 Dec 2025
Viewed by 262
Abstract
Wood biomass ash (WBA) is a by-product from biofuel energy plants. The disposal of this waste is connected with numerous environmental concerns. A more sustainable choice is to recycle it as a raw material for building and construction materials. However, due to its [...] Read more.
Wood biomass ash (WBA) is a by-product from biofuel energy plants. The disposal of this waste is connected with numerous environmental concerns. A more sustainable choice is to recycle it as a raw material for building and construction materials. However, due to its unstable characteristics, its application in alkali-activated materials (AAM) poses a challenge. One issue is the development of the mechanical properties. To improve them, pozzolanic additives, including coal fly ash (CFA), metakaolin (MK), and natural zeolite (NZ), were added at replacement ratios of 10–40%. Calcium hydroxide, sodium hydroxide, and sodium silicate were used together as ternary activators. The samples were cured at 60 °C for the first 24 h and for the remaining 27 days at room temperature. Mechanical behavior, water absorption, and chemical compositions were examined. The results obtained from XRF were compared with the calculation results of the chemical compositions based on the mix design and oxide compositions of the raw materials. The results show that the respective optimum replacement ratios were 30% CFA, 20% MK, and 20% NZ, with the highest compressive strength corresponding to 22.71, 20.53, and 24.33 MPa, and the highest flexural strength of 4.49, 4.32, and 4.21 MPa. NZ was the most effective in AAM, due to the highest Si/Al ratio in the Ca-rich ambient. Then, CFA contributed less, and MK was the least efficient when used in combination with WBA in AAM. The reduction of Ca/Si ratios in the AAM caused by the pozzolanic additives favors the formation of a binder system made of different hydrates and facilitates the strength enhancement when the Ca/Si ratio is lower than 0.35. Full article
Show Figures

Figure 1

14 pages, 7949 KB  
Article
Regulation Mechanism of Alkanolamines on Hydration and Microstructural Evolution of Thermally Treated Volcanic Rock Powder–Cement System
by Jingbin Yang, Shaojiang Wang, Fanyuan Mu and Zhenping Sun
Processes 2026, 14(1), 22; https://doi.org/10.3390/pr14010022 - 20 Dec 2025
Cited by 1 | Viewed by 366
Abstract
Utilizing abundant volcanic rock resources as supplementary cementitious materials is a critical pathway for regional low-carbon construction. However, the high crystallinity of natural volcanic rocks limits their reactivity. This study systematically investigates the regulation mechanisms of Triethanolamine (TEA) and Triisopropanolamine (TIPA) on the [...] Read more.
Utilizing abundant volcanic rock resources as supplementary cementitious materials is a critical pathway for regional low-carbon construction. However, the high crystallinity of natural volcanic rocks limits their reactivity. This study systematically investigates the regulation mechanisms of Triethanolamine (TEA) and Triisopropanolamine (TIPA) on the hydration kinetics and microstructure of a cement system containing Volcanic Rock Powder (VRP) thermally treated at 700 °C. Dissolution kinetics reveal that both TEA and TIPA inhibit Si release but exhibit distinct structural selectivity in promoting metal ion dissolution: TEA demonstrates superior efficiency in promoting the release of Al and Ca ions due to lower steric hindrance, whereas TIPA exhibits a stronger specific activation capacity for insoluble Fe, which is likely attributed to the electron-donating inductive effect. Macroscopic tests show that TEA at 0.05% dosage significantly improved the 28-day compressive strength by 20.4%, attributed to the synergistic effect of efficient chemical activation and pore structure refinement. In contrast, the stronger surface activity of TIPA introduced substantial detrimental macropores; this deterioration in physical structure severely offset its chemical contributions, leading to slow late-age strength development. The study highlights the critical trade-off between chemical activation and microstructural evolution, confirming that TEA is a more suitable activator than TIPA for the Al/Fe-rich thermally treated VRP. Full article
(This article belongs to the Special Issue Synthesis, Performance and Applications of Cementitious Materials)
Show Figures

Figure 1

19 pages, 6973 KB  
Article
Catalytic Transformation of Ginsenoside Re over Mesoporous Silica-Supported Heteropoly Acids: Generation of Diverse Rare Ginsenosides in Aqueous Ethanol Revealed by HPLC-HRMSn
by Qi Wang, Yanyan Chang, Bing Li, Zhenxuan Zhang, Mengya Zhao, Huanxi Zhao and Yang Xiu
Molecules 2025, 30(24), 4753; https://doi.org/10.3390/molecules30244753 - 12 Dec 2025
Viewed by 341
Abstract
The efficient generation of structurally diverse rare ginsenosides from abundant precursors remains a significant challenge. In this study, a heterogeneous catalyst, 12-tungstosilicic acid supported on mesoporous silica (HSiW@mSiO2), was developed for the transformation of ginsenoside Re in aqueous ethanol solution. The [...] Read more.
The efficient generation of structurally diverse rare ginsenosides from abundant precursors remains a significant challenge. In this study, a heterogeneous catalyst, 12-tungstosilicic acid supported on mesoporous silica (HSiW@mSiO2), was developed for the transformation of ginsenoside Re in aqueous ethanol solution. The reaction was conducted under mild conditions, and the products were systematically analyzed using high-performance liquid chromatography coupled with multistage tandem mass spectrometry and high-resolution mass spectrometry. A total of 24 transformation products were identified, arising from deglycosylation, epimerization, dehydration, cyclization, and nucleophilic addition reactions. Structural elucidation revealed the formation of deglycosylated, hydrated and dehydrated derivatives, C-20 epimers, and novel ethoxylated protopanaxatriol-type ginsenosides resulting from solvent incorporation at the C-24(25) or C-20 position. Product distribution varied with reaction parameters, including solvent composition, reaction time, temperature, and catalyst dosage. The synthesized HSiW@mSiO2 catalyst could be readily recovered by centrifugation and reused for five consecutive cycles, with complete conversion of ginsenoside Re maintained in the first two runs and a gradual decline in conversion to approximately 50% by the fifth cycle. This work demonstrates the efficacy of solid acid catalysts in enabling the structural diversification of ginsenosides through solvent-involved pathways. Full article
(This article belongs to the Section Natural Products Chemistry)
Show Figures

Graphical abstract

26 pages, 25162 KB  
Article
Enhancing Cement Hydration and Mechanical Strength via Co-Polymerization of Sodium Humate with Superplasticizer Monomers and Sequential Blending with Aluminum Sulfate and Carbon Fibers
by Zhiyuan Song, Sidra Chaudhary, Yan Ding, Yujiao Yan, Qinxiang Jia, Yong Wu, Xiaoyong Li and Yang Sun
Buildings 2025, 15(24), 4422; https://doi.org/10.3390/buildings15244422 - 7 Dec 2025
Viewed by 378
Abstract
This study presents a new ternary copolymer synthesized via aqueous free-radical polymerization from sodium humate, sodium 2-methylprop-2-ene-1-sulfonate (SMAS), and 2-acrylamido-2-methylpropane sulfonic acid (AMPS). The resulting highly water-soluble, three-dimensional porous copolymer is complexed with aluminum sulfate to form a composite admixture containing AlO(OH), which [...] Read more.
This study presents a new ternary copolymer synthesized via aqueous free-radical polymerization from sodium humate, sodium 2-methylprop-2-ene-1-sulfonate (SMAS), and 2-acrylamido-2-methylpropane sulfonic acid (AMPS). The resulting highly water-soluble, three-dimensional porous copolymer is complexed with aluminum sulfate to form a composite admixture containing AlO(OH), which acts as a highly effective accelerator for cement hydration. This system significantly shortens the initial and final setting times to averages of 2.62 min and 4.53 min, respectively, and enhances early-age mechanical strength (1.7 MPa compressive, 1.4 MPa flexural at 6 h). These improvements are correlated with the formation of key crystalline phases, including Al2Si2O5(OH)4 and Ca3Al2O6·xH2O gel. Incorporation of 50-mesh carbon fibers further reduces setting times (2.21 min initial, 3.93 min final) and increases 24 h strength (5.2 MPa compressive, 2.7 MPa flexural), despite a slight reduction in early strength (at 6 h). In contrast, 200-mesh carbon fibers extend the initial setting time and diminish early strength, associated with the formation of less effective gel phases such as Ca3Al2O6·xH2O, (CaO)x(Al2O3)11, and Ca4Al2O7·xH2O. Among these, the Al2Si2O5(OH)4 phase demonstrates superior performance, while finer carbon fibers show limited effectiveness in bridging hydration products. Conventionally employed as retarders or reinforcing agents, humate-based polymers and carbon fibers are shown here to function as dual-functional admixtures—serving as efficient setting accelerators while enhancing mechanical properties through tailored material design. This strategy offers a promising pathway for developing advanced multifunctional cement admixtures. Full article
(This article belongs to the Section Building Materials, and Repair & Renovation)
Show Figures

Figure 1

19 pages, 3181 KB  
Article
Performance Enhancement of Alkali-Activated Binder-Stabilized Expansive Soils via KH-550 Modification
by Yongke Wei, Cheng Zhao, Shouzhong Feng, Changbai Wang, Qiang Wang and Peiyuan Chen
Buildings 2025, 15(24), 4418; https://doi.org/10.3390/buildings15244418 - 7 Dec 2025
Viewed by 370
Abstract
Expansive soils undergo significant volumetric changes during wetting and drying, often leading to structural deterioration and engineering difficulties. Alkali-activated binders have been widely utilized to improve the mechanical performance and durability of such soils. This study examines the performance of γ-aminopropyltriethoxysilane (KH-550)-modified alkali-activated [...] Read more.
Expansive soils undergo significant volumetric changes during wetting and drying, often leading to structural deterioration and engineering difficulties. Alkali-activated binders have been widely utilized to improve the mechanical performance and durability of such soils. This study examines the performance of γ-aminopropyltriethoxysilane (KH-550)-modified alkali-activated binder-stabilized expansive soils (AABS). As a result, the addition of KH-550 extended the setting times by up to 89% and enhanced fluidity by 6–27%, thereby improving the workability of AABS. The additive delayed early hydration while accelerating later-stage gel formation via hydrolysis and Si–O–Si bond generation, promoting the development of C-(A)-S-H. Microstructural observations indicated a refinement of pores and a reduction in capillary porosity, yielding a denser and more homogeneous matrix. Autogenous shrinkage was reduced by as much as 32.5%, and the unconfined compressive strength of 7 d AABS increased by 58.1% at an optimal KH-550 dosage of 1.0 wt.%, with mechanical performance remaining stable under wet–dry cycling. Overall, these results suggest that KH-550 serves as an effective organic–inorganic bridging agent, offering a viable strategy for the stabilization of expansive soils. Full article
(This article belongs to the Section Building Materials, and Repair & Renovation)
Show Figures

Figure 1

Back to TopTop