Sign in to use this feature.

Years

Between: -

Subjects

remove_circle_outline
remove_circle_outline
remove_circle_outline
remove_circle_outline
remove_circle_outline
remove_circle_outline
remove_circle_outline
remove_circle_outline
remove_circle_outline

Journals

remove_circle_outline
remove_circle_outline
remove_circle_outline
remove_circle_outline

Article Types

Countries / Regions

remove_circle_outline
remove_circle_outline
remove_circle_outline

Search Results (126)

Search Parameters:
Keywords = SMV

Order results
Result details
Results per page
Select all
Export citation of selected articles as:
17 pages, 912 KB  
Article
Adaptive Actor–Critic Optimal Tracking Control for a Class of High-Order Nonlinear Systems with Partially Unknown Dynamics
by Dengguo Xu, Xinsuo Li, Fapeng Li and Jingbei Tian
Actuators 2026, 15(3), 138; https://doi.org/10.3390/act15030138 - 2 Mar 2026
Viewed by 212
Abstract
Optimal tracking control for high-order partially unknown nonlinear systems poses significant challenges, particularly in deriving tractable solutions without requiring persistent excitation (PE) conditions or precise system models. This study develops an adaptive optimal tracking control law using neural network (NN)-based reinforcement learning (RL) [...] Read more.
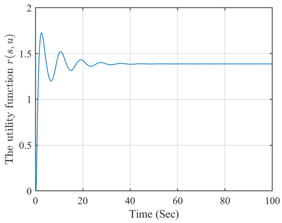
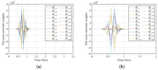
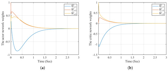
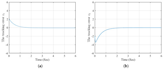
Optimal tracking control for high-order partially unknown nonlinear systems poses significant challenges, particularly in deriving tractable solutions without requiring persistent excitation (PE) conditions or precise system models. This study develops an adaptive optimal tracking control law using neural network (NN)-based reinforcement learning (RL) for high-order partially unknown nonlinear systems. By designing a cost function associated with the sliding mode variable (SMV), the original tracking control problem is equivalently transformed into solving the optimal control problem related to the tracking Hamilton–Jacobi–Bellman (HJB) equation. Since the analytical solution of the HJB equation is generally intractable, we employ a policy iteration algorithm derived from the HJB equation, where both the partial derivative of the optimal tracking cost function and the optimal control law are approximated by NNs. The proposed RL framework achieves simplification through actor–critic training laws derived under the condition that a simple function is zero. Finally, both a numerical example and a single-link robotic arm application are provided to demonstrate the effectiveness and advantages of the proposed adaptive optimal tracking control method. Full article
Show Figures

Figure 1

15 pages, 4680 KB  
Article
Design and Voltage-Controlled Reconfigurability of an Interdigital Bandpass Filter
by Mohamed Guermal, Jamal Zbitou, Fouad Aytouna, Stephane Ginestar and Mohammed El Gibari
Telecom 2026, 7(1), 16; https://doi.org/10.3390/telecom7010016 - 2 Feb 2026
Viewed by 403
Abstract
This paper presents the design of a highly reconfigurable interdigital bandpass filter (BPF) developed through a three-stage design approach. In the first stage, the influence of four low-loss dielectric substrates on the filter response is systematically analyzed to identify the optimal [...] Read more.
This paper presents the design of a highly reconfigurable interdigital bandpass filter (BPF) developed through a three-stage design approach. In the first stage, the influence of four low-loss dielectric substrates on the filter response is systematically analyzed to identify the optimal configuration. The selected substrate demonstrates excellent performance, achieving an input return loss of −38 dB, an insertion loss of −0.9 dB at 4.30 GHz, and a wide passband corresponding to a bandwidth (BW) of 2.20 GHz. In the second stage, two variable capacitors were incorporated into the baseline geometry, enabling manual tuning of the center frequency (f0) from 5.10 to 6.34 GHz, with (S11) better than −25 dB and (S12) close to −0.60 dB. In the final stage, the capacitors were replaced by SMV1413 varactor diodes, transforming the design into a fully voltage-controlled tunable filter. This configuration provides continuous frequency agility from 4.70 to 5 GHz without modifying the physical structure, while achieving (S11) levels down to −40 dB and insertion loss as low as −0.7 dB. The proposed architecture offers a compact, low-loss, and electrically reconfigurable solution, making it a promising solution for next-generation RF front-ends, adaptive wireless systems, and cognitive radio applications. Two independent Electromagnetic solvers (EM) were employed to validate the filter’s performance: an EM based on the Finite Integration Technique and the Advanced Design System 2026 (ADS) solver using the Method of Moments (MoM). The close agreement between the results produced by both platforms confirms the accuracy and robustness of the proposed reconfigurable bandpass filter structure. Full article
Show Figures

Figure 1

15 pages, 2283 KB  
Article
Enhanced Soybean Immunity to the Soybean Mosaic Virus Through RNA Interference Targeting the CP Gene
by Tao Wang, Le Gao, Liqun Wang, Rui Ren, Rui Zhai, Xu Wang, Fuming Xiao, Long Yan, Xiaotong Lei, Tongtong Jin and Haijian Zhi
Plants 2026, 15(3), 430; https://doi.org/10.3390/plants15030430 - 30 Jan 2026
Viewed by 356
Abstract
The soybean mosaic virus (SMV), a significant viral pathogen impacting soybean cultivation, leads to substantial yield losses and diminishes seed quality. In a prior study, we developed a targeted silencing vector using RNA interference (RNAi) technology targeting the CP gene, which codes for [...] Read more.
The soybean mosaic virus (SMV), a significant viral pathogen impacting soybean cultivation, leads to substantial yield losses and diminishes seed quality. In a prior study, we developed a targeted silencing vector using RNA interference (RNAi) technology targeting the CP gene, which codes for the viral coat proteins in the SMV genome. This vector was delivered into soybean plants through Agrobacterium-mediated transformation. In our current research, we utilized ongoing molecular characterization and resistance screening to identify four genetically pure lines that display moderate to high resistance to SMV. Additionally, the transgenic plants exhibited resistance to three other potyviruses: the bean common mosaic virus, the recombinant soybean mosaic virus, and the watermelon mosaic virus. Greenhouse and field trials conducted with these lines demonstrated that RNAi-mediated silencing of the CP gene significantly enhanced disease resistance. It is noteworthy that, in comparison to the receptor plants, the transgenic plants exhibited no significant differences in maturity, plant height, branching number, node number, pod number, or 100-seed weight. These results offer valuable genetic resources and theoretical support for molecular breeding strategies aimed at combating SMV in soybeans, as well as for RNAi-based methods to control plant viral infections. Full article
(This article belongs to the Topic Plant Breeding, Genetics and Genomics, 2nd Edition)
Show Figures

Figure 1

30 pages, 5390 KB  
Article
Multi-Year Assessment of Soil Moisture Dynamics Under Nature-Based Vineyard Floor Management in the Oltrepò Pavese (Northern Italy)
by Antonio Gambarani, Massimiliano Bordoni, Matteo Giganti, Valerio Vivaldi, Matteo Gatti, Stefano Poni, Alberto Vercesi and Claudia Meisina
Agriculture 2026, 16(3), 316; https://doi.org/10.3390/agriculture16030316 - 27 Jan 2026
Viewed by 410
Abstract
Nature-based Solutions (NbS) such as rolled cover crops are increasingly adopted in rainfed vineyards to reduce soil degradation and drought risk, but their effectiveness depends on local soil physical conditions. We compared spontaneous inter-row vegetation managed by mowing (Control) with a cereal-based rolled [...] Read more.
Nature-based Solutions (NbS) such as rolled cover crops are increasingly adopted in rainfed vineyards to reduce soil degradation and drought risk, but their effectiveness depends on local soil physical conditions. We compared spontaneous inter-row vegetation managed by mowing (Control) with a cereal-based rolled cover crop (C-R) in two vineyards of the Oltrepò Pavese (Northern Italy) with contrasting texture, structure, and slope: Canevino (CNV) and Santa Maria della Versa (SMV). From 2021 to 2025, continuous soil moisture monitoring was combined with field measurements of saturated hydraulic conductivity (Ks) and bulk density, interpreted using temporal indicators (MRD, ITS) and a drought index (SWDI) calibrated to field moisture thresholds. During wet phases, average saturation at 50 cm was consistently higher at SMV (about 78 to 84 percent) than at CNV (about 68 to 75 percent). Under water-limited conditions, management contrasts were most evident at SMV: at 50 cm during the post-termination dry phase, saturation remained around 70 percent under C-R versus about 64 percent under the Control, and Ks was higher under C-R (8.32 × 10−6 m/s in topsoil) than under the Control (7.39 × 10−6 m/s). At CNV, SWDI at 50 cm indicated a moderate improvement in one agronomic year (median −1.2 under C-R versus −5.3 under the Control in 2021 to 2022), while a full tillage operation in 2024 defined a disturbed phase that was interpreted separately. SWDI occasionally suggested severe drought levels not fully matching field evidence, highlighting the need for site-calibrated reference thresholds in structured fine-textured soils. Overall, soil physical properties set the hydrological envelope, while rolled cover management can enhance buffering and preserve conductive pathways during dry phases; therefore, NbS performance should be evaluated with site-adapted monitoring and cautious inference from temporally autocorrelated time series. Full article
Show Figures

Figure 1

19 pages, 2842 KB  
Article
Signaling Pathway Analysis and Downstream Genes Associated with Disease Resistance Mediated by GmSRC7
by Aoga Li, Chongyang Yao, Ting Yan, Xiaomin Hao, Dongying Geng, Qi Zhang, Hui Li, Wenquan Bao and Yue Bai
Plants 2026, 15(2), 318; https://doi.org/10.3390/plants15020318 - 21 Jan 2026
Viewed by 394
Abstract
GmSRC7 is a broad-spectrum antiviral R gene from soybean, but its downstream and functionally related genes remain unclear. Virus-induced gene silencing (VIGS) assays in Nicotiana benthamiana (Nb) showed that suppression of several gene families—WRKY transcription factors, chaperones, ethylene pathway components, MAPK [...] Read more.
GmSRC7 is a broad-spectrum antiviral R gene from soybean, but its downstream and functionally related genes remain unclear. Virus-induced gene silencing (VIGS) assays in Nicotiana benthamiana (Nb) showed that suppression of several gene families—WRKY transcription factors, chaperones, ethylene pathway components, MAPK cascade elements, salicylic acid (SA) signaling genes, calcium-dependent protein kinases, nuclear migration proteins, RNA replication-related genes, and immune regulators—consistently weakened GmSRC7-mediated resistance to Soybean Mosaic Virus (SMV) and Tobacco Mosaic Virus (TMV). Targeted silencing of four regulatory genes—NbEDS1, NbARF1, NbSGT1, and NbCOI1—markedly enhanced GmSRC7-mediated resistance to SMV and TMV in our experiments. Silencing the serine/threonine kinase gene NbPBS1 increased GmSRC7-conferred resistance to SMV but did not significantly alter its resistance to TMV. Transient expression assays showed that NbARF1, NbSGT1, and NbCOI1 antagonize GmSRC7-mediated defense against SMV and TMV, whereas NbPBS1 specifically suppresses anti-SMV activity without affecting TMV resistance. Transient overexpression of SA-degrading enzymes (AtS3H, AtS5H, and NahG) significantly reduced GmSRC7-conferred resistance to SMV, indicating that SA is essential for this R protein-mediated defense. Genes were also grouped by immune pathways and function: co-expression of chaperone family genes inhibited GmSRC7 activity against SMV and TMV, while co-expression of WRKY family genes enhanced anti-SMV activity of GmSRC7. Finally, transient silencing of soybean genes GmEDS1, GmSGT1-1, GmSGT1-2, GmJAR1, and GmSGS3 compromised GmSRC7-mediated resistance to SMV. Full article
(This article belongs to the Special Issue Advances in Plant Molecular Biology and Gene Function)
Show Figures

Figure 1

25 pages, 5247 KB  
Article
Transcriptome-Wide Profiling of RNA M6A Modifications in Soybean Reveals Shared and Specific Mechanisms of Resistance to Viral and Bacterial Infections
by Guoqing Peng, Jianan Zou, Honghao Dong, Jing Wang, Qiuyu Wang, Dawei Xin, Qingshan Chen and Zhaoming Qi
Agronomy 2026, 16(2), 208; https://doi.org/10.3390/agronomy16020208 - 15 Jan 2026
Viewed by 345
Abstract
Bacterial and viral diseases significantly reduce soybean (Glycine max) yield and quality. RNA modifications, particularly N6-methyladenosine (m6A), are increasingly recognized as having a regulatory role in plant–pathogen interactions, but the m6A methylome of soybean during [...] Read more.
Bacterial and viral diseases significantly reduce soybean (Glycine max) yield and quality. RNA modifications, particularly N6-methyladenosine (m6A), are increasingly recognized as having a regulatory role in plant–pathogen interactions, but the m6A methylome of soybean during viral and bacterial infection has not yet been characterized. Here, we performed transcriptome sequencing and MeRIP-seq (methylated RNA immunoprecipitation followed by high-throughput sequencing) of soybean leaves infected with Soybean mosaic virus (SMV) and/or Pseudomonas syringae pv. glycinea (Psg). In general, m6A peaks were highly enriched near stop codons and in 3′-UTR regions of soybean transcripts, and m6A methylation was negatively correlated with transcript abundance. Multiple genes showed differential methylation between infected and control plants: 1122 in Psg-infected plants, 539 in SMV-infected plants, and 2269 in co-infected plants; 195 (Psg), 84 (SMV), and 354 (Psg + SMV) of these transcripts were both differentially methylated and differentially expressed. Interestingly, viral infection was predominantly associated with hypermethylation and downregulation, whereas bacterial infection was predominantly associated with hypomethylation and upregulation. GO and KEGG enrichment analysis revealed shared processes likely affected by changes in m6A methylation during bacterial and viral infection, including ATP-dependent RNA helicase activity, RNA binding, and endonuclease activity, as well as specific processes affected by only one pathogen. Our findings shed light on the role of m6A modifications during pathogen infection and highlight potential targets for epigenetic editing to increase the broad-spectrum disease resistance of soybean. Full article
(This article belongs to the Section Pest and Disease Management)
Show Figures

Figure 1

21 pages, 2073 KB  
Article
Development and Evaluation of a Real-Time Home Monitoring Application Utilising Long Short-Term Memory Integrated in a Smartphone
by Abdussalam Salama, Reza Saatchi, Maryam Bagheri, Mahpara Saleem and Muhammad Usman Shad
Algorithms 2025, 18(12), 780; https://doi.org/10.3390/a18120780 - 11 Dec 2025
Viewed by 567
Abstract
A novel real-time home monitoring application was developed that utilises long short-term memory (LSTM) and is integrated in a smartphone. Its personalised LSTM accurately learns to detect abnormal movement patterns. The application locally processes the smartphone’s accelerometery data in the form of a [...] Read more.
A novel real-time home monitoring application was developed that utilises long short-term memory (LSTM) and is integrated in a smartphone. Its personalised LSTM accurately learns to detect abnormal movement patterns. The application locally processes the smartphone’s accelerometery data in the form of a signal magnitude vector (SMV) to analyse and interpret the movement patterns. The LSTM was conceptualised by a univariate time-series regression model. It adaptively updates its training parameters by processing the individual’s last seven days of movement data, thus providing a stable, individualised, and dynamic activity baseline. It then quantifies the normal and abnormal movement patterns by continuously comparing the learnt information against the current accelerometery readings. An abnormal movement pattern, e.g., a fall or an unexpected period of inactivity triggers multi-channel alerts to care givers using SMS and email. The application’s performance was evaluated using the data collected from 25 adult volunteers, aged 40–70 years. By interpreting their movement patterns, the application demonstrated a detection accuracy quantified by the coefficient of determination (R2) = 0.93 and an absolute error of 0.05. This precision highlighted a low false positive rate in a real-world evaluation. The study successfully demonstrated a robust, cost-effective, and privacy-preserving home monitoring technology. Full article
(This article belongs to the Special Issue AI-Assisted Medical Diagnostics)
Show Figures

Figure 1

16 pages, 6867 KB  
Article
A Polycistronic tRNA-amiRNA System Reveals the Antiviral Roles of NbAGO1a/1b/2 Against Soybean mosaic virus Infection
by Wenhua Bao, Danyang Sun, Yan Qiu, Xiaoke Zhao and Hada Wuriyanghan
Plants 2025, 14(24), 3724; https://doi.org/10.3390/plants14243724 - 6 Dec 2025
Viewed by 636
Abstract
RNA interference (RNAi) is a crucial antiviral defense mechanism in plants, where Argonaute (AGO) proteins play a central role. However, the function of AGO proteins in the interaction between Soybean mosaic virus (SMV) and Nicotiana benthamiana remains unclear. In this study, SMV pathogenicity [...] Read more.
RNA interference (RNAi) is a crucial antiviral defense mechanism in plants, where Argonaute (AGO) proteins play a central role. However, the function of AGO proteins in the interaction between Soybean mosaic virus (SMV) and Nicotiana benthamiana remains unclear. In this study, SMV pathogenicity was confirmed using an SMV-GFP infectious clone, with typical symptoms and systemic GFP fluorescence observed 14 days post-inoculation. Real-time quantitative reverse transcription polymerase chain reaction analysis revealed dynamic regulation of multiple NbAGO genes upon infection. Notably, NbAGO1a, NbAGO1b, and NbAGO2 were significantly upregulated and positively correlated with viral accumulation, suggesting their critical roles in antiviral defense. Based on these findings, these three genes were selected as targets for artificial microRNA (amiRNA) silencing. Three amiRNAs were designed for each gene using the Arabidopsis miR1596 backbone, with the most effective sequences exhibiting silencing efficiencies ranging from 75.2% to 98.1%. A polycistronic tRNA-amiRNA (PTA) cassette was constructed using Golden Gate cloning technology to simultaneously target all three genes. Co-infection assays indicated that the PTA cassette enhanced SMV accumulation more effectively than single amiRNAs, as evidenced by increased GFP fluorescence (49.1–60.5%) and pronounced leaf necrosis. The PTA system downregulated the expression of NbAGO1a, NbAGO1b, and NbAGO2 by 18.4–26.7%. Furthermore, silencing NbAGO2 alone resulted in severe necrosis, underscoring its essential role in this antiviral defense mechanism. This study elucidates the importance of NbAGO1a, NbAGO1b, and NbAGO2 in antiviral immunity and demonstrates the utility of the PTA system for efficient multi-gene silencing, offering valuable insights for developing RNAi-based antiviral strategies. Full article
(This article belongs to the Special Issue Advances in Plant Molecular Biology and Gene Function)
Show Figures

Figure 1

12 pages, 6388 KB  
Article
MutMap-Based Cloning of a Soybean Mosaic Virus Resistance Gene
by Bin Wang, Xiaofang Zhong, Debin Yu, Demin Rao, Lu Niu, Hongwei Xun, Xiangyu Zhu, Lu Yi, Xueyan Qian and Fangang Meng
Plants 2025, 14(22), 3504; https://doi.org/10.3390/plants14223504 - 17 Nov 2025
Viewed by 682
Abstract
Soybean is rich in protein and oil and serves as the most important legume crop globally. Soybean mosaic virus (SMV) is a severe threat to soybean production worldwide. MutMap, a gene-mapping technology based on map-based cloning and whole-genome resequencing, is utilized to clone [...] Read more.
Soybean is rich in protein and oil and serves as the most important legume crop globally. Soybean mosaic virus (SMV) is a severe threat to soybean production worldwide. MutMap, a gene-mapping technology based on map-based cloning and whole-genome resequencing, is utilized to clone key regulatory genes for agronomic traits in plants. However, no relevant studies have reported the cloning of genes resistant to SMV. We used an M3 mutant population derived from ethyl methanesulfonate mutagenesis of Williams 82, and conducted field inoculation experiments involving the SMV-SC3 strain. After field validation, two lines with high resistance to SMV were finally identified. Using MutMap, we initially screened candidate genes for SMV resistance and found that the G-to-A transitions of one candidate resistance gene, Glyma.13G194900, were at base positions 122 and 166. These transitions resulted in the substitution of glycine with glutamic acid (GGA→GAA) and valine with aspartic acid (GTT→GAT), respectively. Transgenic functional validation in soybean showed that the mutant allele of Glyma.13G194900 (designated Glyma.13G194900M) substantially enhanced resistance to SMV-SC3, in contrast to the wild-type allele, which did not enhance resistance. Our results demonstrate that MutMap can rapidly identify SMV resistance-related genes to provide a genetic resource that accelerates the breeding of new SMV-resistant soybean. Full article
(This article belongs to the Special Issue Genetic Approaches to Enhancing Disease Resistance in Crops)
Show Figures

Figure 1

13 pages, 1209 KB  
Article
Learning Curve of Robotic Pancreaticoduodenectomy with Portal–Superior Mesenteric Vein Resection for Pancreatic Cancers
by Peng-Yu Ku, Yi-Ju Chen, Hui-Chen Lin, Yung-Hsien Chen and Sheng-Yang Huang
J. Clin. Med. 2025, 14(22), 7986; https://doi.org/10.3390/jcm14227986 - 11 Nov 2025
Viewed by 536
Abstract
Background: Pancreaticoduodenectomy (PD) with portal–superior mesenteric vein (PV-SMV) resection is increasingly performed in borderline-resectable periampullary cancer. While conventional PD is the reference standard, robotic PD (RPD) may improve operative ergonomics and recovery; its performance and learning curve in PV-SMV resection remain unclear. [...] Read more.
Background: Pancreaticoduodenectomy (PD) with portal–superior mesenteric vein (PV-SMV) resection is increasingly performed in borderline-resectable periampullary cancer. While conventional PD is the reference standard, robotic PD (RPD) may improve operative ergonomics and recovery; its performance and learning curve in PV-SMV resection remain unclear. Materials and Methods: We retrospectively reviewed consecutive patients undergoing PD with PV-SMV resection at a single tertiary center by a single surgeon (July 2016–September 2022). Twenty-seven patients met the inclusion criteria and were grouped as conventional PD (n = 14) or RPD (n = 13). To assess the learning curve, RPD cases were stratified as early (cases 1–3) versus late (cases 4–13). Primary outcomes were operative time and blood loss; secondary outcomes included 90-day morbidity/mortality, R0 margin, lymph node yield, length of stay, readmission, and overall survival. Results: Baseline characteristics were comparable between conventional PD and RPD. Median operative time was longer with RPD vs. conventional PD (624.0 [IQR 579.0–794.0] vs. 529.5 [456.5–636.5] mins; p = 0.024). Median blood loss trended lower with RPD (350.0 [200.0–1950.0] vs. 1455.0 [630.0–2940.0] mL; p = 0.254). Rates of clinically relevant complications (including POPF, DGE, and hemorrhage), R0 resection (69% vs. 64%), lymph node retrieval, length of stay, 90-day readmission, 90-day mortality, and overall survival were similar between conventional PD and RPD. Within RPD, operative time and blood loss improved from the early to late phases (794.0 → 601.5 min; 1950.0 → 275.0 mL), consistent with a learning-curve effect, though not statistically significant in this small cohort. Conclusions: In selected patients, RPD with PV-SMV resection is feasible and achieves oncologic and short-term clinical outcomes comparable to conventional PD, with evidence of efficiency gains as experience accrues. These findings support structured training and case accumulation for the safe adoption of complex robotic pancreatic surgery. Full article
Show Figures

Figure 1

26 pages, 1475 KB  
Article
Multi-Environment Evaluation of Soybean Variety Heike 88: Transgressive Segregation and Regional Adaptation in Northern China
by Dezhi Han, Xiaofei Yan, Wei Li, Hongchang Jia, Honglei Ren and Wencheng Lu
Agriculture 2025, 15(20), 2106; https://doi.org/10.3390/agriculture15202106 - 10 Oct 2025
Cited by 1 | Viewed by 932
Abstract
Heike 88, a new soybean variety developed through strategic hybridization of Heijiao 08-1611 × Heihe 43 followed by pedigree selection, was evaluated across seven locations in Heilongjiang Province from 2019 to 2022. The variety demonstrated stable performance with a 10.3% average yield advantage [...] Read more.
Heike 88, a new soybean variety developed through strategic hybridization of Heijiao 08-1611 × Heihe 43 followed by pedigree selection, was evaluated across seven locations in Heilongjiang Province from 2019 to 2022. The variety demonstrated stable performance with a 10.3% average yield advantage over regional check varieties and mean yields of 3188 kg ha−1. Principal component analysis revealed that genetic variation accounted for 43.4% and 32.6% of performance variance in the first two components, indicating successful transgressive segregation where the pure line exceeded both parental lines through complementary gene action. Performance relative to parental averages ranged from −20% to +40% across the temperature gradient, demonstrating strong genotype-environment interaction effects. Machine learning analysis identified year effect (13% importance), accumulated temperature (7.6% importance), and oil content (4% importance) as primary yield drivers. Complete resistance to soybean mosaic virous (SMV) and cyst nematode attack was observed across all locations, with excellent gray leaf spot resistance (grades 0–1) maintained under natural pathogen pressure. Seed quality parameters remained stable across environments, with protein content ranging from 41.69% to 42.25% and oil content from 19.74% to 20.13%, indicating minimal environmental effects on compositional traits. Yield stability improved progressively over the evaluation period, with the coefficient of variation decreasing from 18.7% in 2019 to 6.7% in 2022, while absolute yields increased from 2550 to 3200 kg ha−1. These results demonstrate successful exploitation of transgressive segregation for regional adaptation through strategic parent selection and pedigree breeding, supporting commercial deployment in northern China’s challenging production environments while providing methodological guidance for future breeding programs targeting environmental specificity. Full article
(This article belongs to the Special Issue Crop Yield Improvement in Genetic and Biology Breeding)
Show Figures

Figure 1

26 pages, 5090 KB  
Article
High Basal Expression and Dual Stress Responsiveness of Soybean (Glycine max) Resistance Gene SRC4
by Zikai Zhou, Zhuo Bao, Di Miao, Yuxi Zhou, Niu Niu and Hada Wuriyanghan
Plants 2025, 14(18), 2820; https://doi.org/10.3390/plants14182820 - 9 Sep 2025
Cited by 1 | Viewed by 1037
Abstract
Genes involved in disease resistance are crucial for plant immune systems, yet their transcriptional regulatory mechanisms remain poorly understood. SRC4, a key member of the soybean mosaic virus resistance cluster (SRC), encodes a Ca2+-binding EF-hand domain and possesses antiviral activity, [...] Read more.
Genes involved in disease resistance are crucial for plant immune systems, yet their transcriptional regulatory mechanisms remain poorly understood. SRC4, a key member of the soybean mosaic virus resistance cluster (SRC), encodes a Ca2+-binding EF-hand domain and possesses antiviral activity, but its expression regulation is unclear. Here, we systematically analyzed 4085 soybean (Glycine max) transcriptome datasets and conducted SMV inoculation experiments to characterize SRC4 expression patterns. Cis-acting element analysis identified 12 regulatory elements in the SRC4 promoter, including salicylic acid (SA)-responsive elements. Furthermore, a ProSRC4::GUS reporter vector was constructed and functional analysis was performed in tobacco (Nicotiana benthamiana) and transgenic Arabidopsis thaliana. SRC4 exhibited significantly higher basal expression than typical resistance genes (R genes) and was induced by SMV infection, SA treatment, and Ca2+ supplementation, with peak expression at 2–5 h post-treatment (hpi). In transgenic tobacco overexpressing NahG, neither SMV nor Ca2+ could induce ProSRC4::GUS expression, demonstrating that SRC4 transcriptional regulation is mediated through SA signaling pathways. SRC4 showed predominant expression in roots and leaves and responded to temperature stress. Transgenic plants overexpressing SRC4 exhibited enhanced tolerance to both 12 °C and 37 °C temperature stress. This study elucidates the molecular mechanisms underlying SRC4 transcriptional regulation through Ca2+ and SA signaling pathways, revealing its dual role in both biotic and abiotic stress responses, especially in temperature stress. Full article
Show Figures

Figure 1

17 pages, 1281 KB  
Article
Jinyuan 601 a Novel High-Protein Soybean Variety with Improved Agronomic Traits and Nutritional Quality
by Xinyu Wei, Xiaoguang Yu, Xiangjin Chen, Shaobin Cui, Jieyin Cui, Ran Wei, Henan Diao, Honglei Ren, Wencheng Lu and Xiaodong Tang
Life 2025, 15(9), 1414; https://doi.org/10.3390/life15091414 - 8 Sep 2025
Cited by 1 | Viewed by 972
Abstract
The global demand for high-protein soybeans is rapidly increasing, driven by the growing popularity of healthy foods and plant-based protein products. To address this demand, a novel high-protein soybean variety, Jinyuan 601, was developed through a systematic breeding program. This study details the [...] Read more.
The global demand for high-protein soybeans is rapidly increasing, driven by the growing popularity of healthy foods and plant-based protein products. To address this demand, a novel high-protein soybean variety, Jinyuan 601, was developed through a systematic breeding program. This study details the breeding process, agronomic characteristics, and performance evaluation of Jinyuan 601, which was derived from a cross between Heihe YX10-534 (female parent) and Heihe No. 45 (male parent). The variety was selected over multiple generations (F2–F7) and stabilized as Heihe 18-250, demonstrating excellent quality, upright stalks, and resistance to diseases and pests. Jinyuan 601 exhibits a protein content of 43.66% and a fat content of 17.21%, meeting the standard for high-protein soybeans (≥43% protein). It has a growth period of 111 days, with a plant height of 93.2 cm, and shows moderate resistance to soybean mosaic virus (SMV). Yield trials conducted over two years (2021–2022) produced an average of 2292 kg ha−1, representing a 3.0% increase over the control variety (Huajiang No. 2). This variety holds significant potential for applications in health foods, plant-based products, and sustainable agriculture, contributing to food security and reducing reliance on soybean imports. Full article
(This article belongs to the Section Plant Science)
Show Figures

Figure 1

15 pages, 2861 KB  
Review
Portal Vein Thrombosis, Management and Approaches in Liver Transplantation: A Narrative Review
by João Bernardo Sancio, Raul Valério Ponte, Thiago Beduschi and Daiki Soma
J. Clin. Med. 2025, 14(17), 6100; https://doi.org/10.3390/jcm14176100 - 28 Aug 2025
Cited by 2 | Viewed by 3008
Abstract
This review delves into the complexities of managing portal vein thrombosis (PVT) in the context of liver transplantation (LT). PVT, which is a common finding in cirrhotic livers, can significantly jeopardize LT outcomes. Here, we explore the incidence, underlying mechanisms, and comprehensive management [...] Read more.
This review delves into the complexities of managing portal vein thrombosis (PVT) in the context of liver transplantation (LT). PVT, which is a common finding in cirrhotic livers, can significantly jeopardize LT outcomes. Here, we explore the incidence, underlying mechanisms, and comprehensive management strategies for PVT throughout the pre-, intra-, and postoperative phases of LT in cirrhotic patients. Before transplantation, key interventions include anticoagulation therapies, transjugular intrahepatic portosystemic shunts (TIPS), and various endovascular techniques aimed at recanalizing the portal vein. During LT, surgical approaches range from straightforward eversion thrombectomy to more intricate procedures, such as jump grafts from the superior mesenteric vein (SMV), renoportal anastomosis (RPA), and portocaval hemitransposition, tailored to the extent of the thrombosis. In cases of extensive PVT, multivisceral transplantation (MVT) emerges as a viable option. Post-transplant management centers on thromboprophylaxis and anticoagulation, balancing the prevention of thrombotic events with the risk of bleeding complications. This review underscores the critical importance of early identification and proactive management of PVT to enhance outcomes for LT candidates. Full article
(This article belongs to the Section Gastroenterology & Hepatopancreatobiliary Medicine)
Show Figures

Figure 1

30 pages, 2417 KB  
Article
Hardware-Accelerated SMV Subscriber: Energy Quality Pre-Processed Metrics and Analysis
by Mihai-Alexandru Pisla, Bogdan-Adrian Enache, Vasilis Argyriou, Panagiotis Sarigiannidis and George-Calin Seritan
Electronics 2025, 14(16), 3297; https://doi.org/10.3390/electronics14163297 - 19 Aug 2025
Viewed by 679
Abstract
The paper presents an FPGA-based, hardware-accelerated IEC 61850-9-2 Sampled Measured Values (SMV) subscriber—termed the high-speed SMV subscriber (HS3)—by integrating real-time energy-quality (EQ) analytics directly into the subscriber pipeline while preserving a deterministic, microsecond-scale operation under high stream counts. Building on a prior hardware [...] Read more.
The paper presents an FPGA-based, hardware-accelerated IEC 61850-9-2 Sampled Measured Values (SMV) subscriber—termed the high-speed SMV subscriber (HS3)—by integrating real-time energy-quality (EQ) analytics directly into the subscriber pipeline while preserving a deterministic, microsecond-scale operation under high stream counts. Building on a prior hardware decoder that achieved sub-3 μs SMV parsing for up to 512 subscribed svIDs with modest logic utilization (<8%), the proposed design augments the pipeline with fixed-point RTL modules for single-bin DFT frequency estimation, windowed true-RMS computation, and per-sample active power evaluation, all operating in a streaming fashion with configurable windows and resolutions. A lightweight software layer performs only residual scalar combinations (e.g., apparent power, form factor) on pre-aggregated hardware outputs, thereby minimizing CPU load and memory traffic. The paper’s aim is to bridge the gap between software-centric analytics—common in toolkit-based deployments—and fixed-function commercial firmware, by delivering an open, modular architecture that co-locates SMV subscription and EQ pre-processing in the same hardware fabric. Implementation on an MPSoC platform demonstrates that integrating EQ analytics does not compromise the efficiency or accuracy of the primary decoding path and sustains the latency targets required for protection-and-control use cases, with accuracy consistent with offline references across representative test waveforms. In contrast to existing solutions that either compute PQ metrics post-capture in software or offer limited in-FPGA analytics, the main contributions lie in a cohesive, resource-efficient integration that exposes continuous, per-channel EQ metrics at microsecond granularity, together with an implementation-level characterization (latency, resource usage, and error against reference calculations) evidencing suitability for real-time substation automation. Full article
(This article belongs to the Section Circuit and Signal Processing)
Show Figures

Figure 1

Back to TopTop