Sign in to use this feature.

Years

Between: -

Subjects

remove_circle_outline
remove_circle_outline
remove_circle_outline
remove_circle_outline
remove_circle_outline
remove_circle_outline
remove_circle_outline
remove_circle_outline
remove_circle_outline

Journals

remove_circle_outline
remove_circle_outline
remove_circle_outline
remove_circle_outline
remove_circle_outline
remove_circle_outline
remove_circle_outline
remove_circle_outline

Article Types

Countries / Regions

remove_circle_outline
remove_circle_outline
remove_circle_outline
remove_circle_outline
remove_circle_outline
remove_circle_outline
remove_circle_outline

Search Results (4,489)

Search Parameters:
Keywords = Plant Hormone

Order results
Result details
Results per page
Select all
Export citation of selected articles as:
22 pages, 7305 KB  
Article
Integration of Physiological and Transcriptomic Analyses Provides Insights into the Regulatory Mechanisms of Adventitious Root Formation in Phoebe bournei Cuttings
by Yuhua Li, Haining Xu, Yongjie Zheng, Chenglin Luo, Yueting Zhang, Xinliang Liu and Yanfang Wu
Horticulturae 2025, 11(10), 1238; https://doi.org/10.3390/horticulturae11101238 - 13 Oct 2025
Abstract
Phoebe bournei is an important economic tree species in China, its large-scale propagation is limited by the difficulty of adventitious root (AR) formation in cuttings. In this study, morphological, physiological, and transcriptomic analyses were conducted to investigate the process of AR formation in [...] Read more.
Phoebe bournei is an important economic tree species in China, its large-scale propagation is limited by the difficulty of adventitious root (AR) formation in cuttings. In this study, morphological, physiological, and transcriptomic analyses were conducted to investigate the process of AR formation in P. bournei. The results showed that ARs mainly originated from callus tissue. During AR formation, soluble sugar and soluble protein contents changed significantly. Malondialdehyde (MDA) and oxygen free radicals (OFRs) peaked at first sampling stage (PB0), while the activities of polyphenol oxidase (PPO) and indoleacetic acid oxidase (IAAO) exhibited similar patterns. Lignin content increased during callus induction stage, whereas phenolic content continuously declined throughout rooting. Endogenous hormone levels also changed markedly, and Orthogonal partial least squares discriminant analysis (OPLS-DA) analysis indicated that indole-3-acetic acid (IAA) and abscisic acid (ABA) played dominant roles in this process. KEGG enrichment analysis revealed significant enrichment of the phenylpropanoid biosynthesis pathway in all three comparison groups. A total of 48 differentially expressed genes (DEGs) were enriched in plant hormone signal transduction pathways, with 22 and 14 genes associated with IAA and ABA signaling, respectively. Weighted gene co-expression network analysis (WGCNA) further identified two hub modules related to IAA and ABA contents, including eight hub genes such as D6PKL1 and ISTL1. Correlation analysis revealed that the hub genes D6PKL1 and HSP were significantly positively correlated with IAA4 in the IAA signaling pathway. Overall, this study provides new insights into the mechanisms underlying AR formation in P. bournei cuttings and offers a theoretical basis for optimizing its clonal propagation system. Full article
(This article belongs to the Section Propagation and Seeds)
Show Figures

Figure 1

16 pages, 3990 KB  
Article
G-Box Factors 14-3-3 Proteins Negatively Regulate Cucumber Mosaic Virus Infection Tolerance in Arabidopsis
by Shunkang Zhou, Dongwei Huang, Yaling Zhao, Zejie Xie, Sen Lu, Lijuan Xie, Qingqi Lin and Hua Qi
Plants 2025, 14(20), 3147; https://doi.org/10.3390/plants14203147 - 13 Oct 2025
Abstract
Cucumber mosaic virus (CMV), a representative species of the genus Cucumvirus in the family Bromoviridae, is globally distributed and infects over 1200 monocot and dicot plants. 14-3-3 proteins serve as molecular adaptors that bind phosphorylated target proteins and play significant roles in [...] Read more.
Cucumber mosaic virus (CMV), a representative species of the genus Cucumvirus in the family Bromoviridae, is globally distributed and infects over 1200 monocot and dicot plants. 14-3-3 proteins serve as molecular adaptors that bind phosphorylated target proteins and play significant roles in multiple signaling pathways, including plant growth and development, hormone signaling, and responses to abiotic and biotic stimuli. Although an increasing body of evidence supports the prominent roles of 14-3-3 proteins in regulating plant immunity, their specific roles in plant responses to CMV infection remain unclear. Here, we demonstrate that 14-3-3λ and 14-3-3κ knockout Arabidopsis plants display enhanced tolerance to CMV infection, with significantly suppressed viral replication compared to wild-type (WT) plants. Additionally, we conducted transcriptomics analysis by comparing the CMV-infected 14-3-3λ 14-3-3κ (14-3-3λ/κ) double mutant to the WT using RNA-seq. The KEGG (Kyoto Encyclopedia of Genes and Genomes) enrichment and differentially expressed gene (DEG) results mainly suggest that plant hormone signaling, transcription factor activity, and the autophagy pathway are significantly involved in 14-3-3-mediated CMV tolerance in Arabidopsis. This study reveals new functions and potential molecular mechanisms of 14-3-3 proteins in regulating plant response to CMV infection and provides valuable insights into agricultural production. Full article
(This article belongs to the Section Plant Protection and Biotic Interactions)
Show Figures

Figure 1

20 pages, 3139 KB  
Article
Genome-Wide Identification and Expression Analysis of the SRS Gene Family in Hylocereus undatus
by Fanjin Peng, Lirong Zhou, Shuzhang Liu, Renzhi Huang, Guangzhao Xu and Zhuanying Yang
Plants 2025, 14(20), 3139; https://doi.org/10.3390/plants14203139 (registering DOI) - 11 Oct 2025
Viewed by 105
Abstract
SHORT INTERNODE (SHI)-Related Sequence (SRS) transcription factors play crucial roles in plant growth, development, and stress responses and have been extensively studied in various plant species. However, the molecular functions and regulatory mechanisms of SRS genes in the economically important tropical fruit crop [...] Read more.
SHORT INTERNODE (SHI)-Related Sequence (SRS) transcription factors play crucial roles in plant growth, development, and stress responses and have been extensively studied in various plant species. However, the molecular functions and regulatory mechanisms of SRS genes in the economically important tropical fruit crop pitaya (Hylocereus undatus) remain poorly understood. This study identified 9 HuSRS genes in pitaya via bioinformatics analysis, with subcellular localization predicting nuclear distributions for all. Gene structure analysis showed 1–4 exons, and conserved motifs (RING-type zinc finger and IXGH domains) were shared across subclasses. Phylogenetic analysis classified the HuSRS genes into three subfamilies. Subfamily I (HuSRS1HuSRS4) is closely related to poplar and tomato homologs and subfamily III (HuSRS6HuSRS8) contains a recently duplicated paralogous pair (HuSRS7/HuSRS8) and shows affinity to rice SRS genes. Protein structure prediction revealed dominance of random coils, α-helices, and extended strands, with spatial similarity correlating to subfamily classification. Interaction networks showed HuSRS1, HuSRS2, HuSRS7 and HuSRS8 interact with functional proteins in transcription and hormone signaling. Promoter analysis identified abundant light/hormone/stress-responsive elements, with HuSRS5 harboring the most motifs. Transcriptome and qPCR analyses revealed spatiotemporal expression patterns: HuSRS4, HuSRS5, and HuSRS7 exhibited significantly higher expression levels in callus (WG), which may be associated with dedifferentiation capacity. In seedlings, HuSRS9 exhibited extremely high transcriptional accumulation in stem segments, while HuSRS1, HuSRS5, HuSRS7 and HuSRS8 were highly active in cotyledons. This study systematically analyzed the characteristics of the SRS gene family in pitaya, revealing its evolutionary conservation and spatio-temporal expression differences. The research results have laid a foundation for in-depth exploration of the function of the SRS gene in the tissue culture and molecular breeding of pitaya. Full article
(This article belongs to the Section Plant Genetics, Genomics and Biotechnology)
Show Figures

Figure 1

22 pages, 4936 KB  
Article
Transcriptome Analysis Reveals the Genetic Basis of Phenotypic Traits of Vaccinium uliginosum L. at Different Elevations in the Changbai Mountains
by Yue Wang, Jun Li, Luying Zhao, Kai Mu, Ruijian Wang and Qichang Zhang
Forests 2025, 16(10), 1571; https://doi.org/10.3390/f16101571 - 11 Oct 2025
Viewed by 70
Abstract
The morphological traits of Vaccinium uliginosum L., including plant height, leaf area, and fruit weight, have changed significantly across an elevational gradient in the Changbai Mountains. To elucidate the molecular mechanisms underlying these morphological variations, RNA-Seq technology was employed to identify differentially expressed [...] Read more.
The morphological traits of Vaccinium uliginosum L., including plant height, leaf area, and fruit weight, have changed significantly across an elevational gradient in the Changbai Mountains. To elucidate the molecular mechanisms underlying these morphological variations, RNA-Seq technology was employed to identify differentially expressed genes (DEGs), key metabolic pathways, and associated biological functions of V. uliginosum at seven elevations in the Changbai Mountains. A total of 1190 DEGs significantly associated with morphological variations were identified. These genes are mainly involved in lipid synthesis, carbohydrate metabolism, energy metabolism, and signal transduction. Redundancy analysis (RDA) revealed that fatty acyl-ACP thioesterase B (FATB) and ribulose-bisphosphate carboxylase small subunit (cbbS) exhibited a significant association with morphological variation. Integrated analysis indicated that high-altitude plants likely enhance lipid synthesis and cell wall stability while also inhibiting photosynthesis and carbohydrate metabolism. The regulatory mechanisms underlying hormone signal transduction may be relatively complex, as evidenced by the enhanced activity of gibberellin and reduced biological effects of auxin, abscisic acid, and ethylene. This study is the first to provide transcriptomic evidence elucidating the genetic basis of altitudinal morphological adaptation in V. uliginosum, integrating phenotypic traits with gene expression profiles across an elevational gradient. Full article
(This article belongs to the Section Genetics and Molecular Biology)
Show Figures

Figure 1

17 pages, 31454 KB  
Article
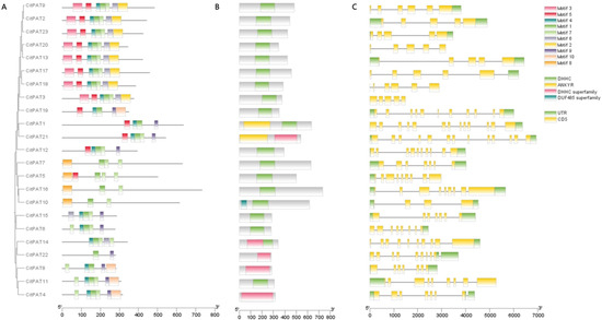
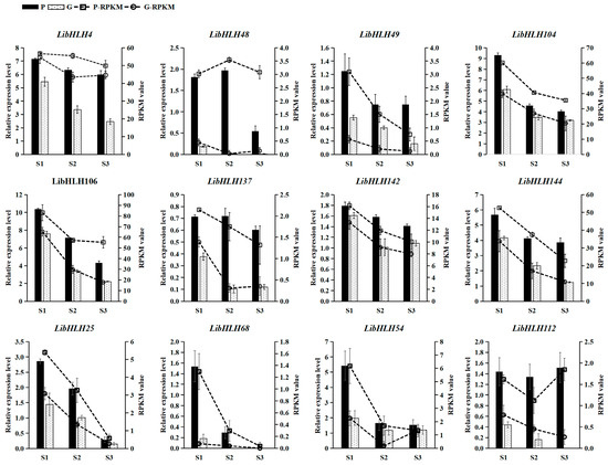
Genome-Wide Identification of the bHLH Gene Family and Expression Analysis in Anthocyanin Synthesis in Lagerstroemia indica Leaves
by Lu Feng, Yanhong Guo, Xu Han, Aiqin Ding and Jing Shu
Horticulturae 2025, 11(10), 1219; https://doi.org/10.3390/horticulturae11101219 - 10 Oct 2025
Viewed by 104
Abstract
The basic Helix-Loop-Helix (bHLH) transcription factor family is crucial for plant growth, development, and stress response regulation. Despite previous studies on the bHLH gene family in Lagerstroemia indica, many bHLH genes remain unidentified, hindering further research on LibHLHs. Here, we identified [...] Read more.
The basic Helix-Loop-Helix (bHLH) transcription factor family is crucial for plant growth, development, and stress response regulation. Despite previous studies on the bHLH gene family in Lagerstroemia indica, many bHLH genes remain unidentified, hindering further research on LibHLHs. Here, we identified 150 LibHLHs from the genome of L. indica and categorized them into 12 subfamilies (comprising 25 subgroups) showing conservation within subgroups. Cis-acting element analysis suggests roles in plant development, and responses to light, hormones, and stress. Examination of gene expression patterns highlighted the potential involvement of specific genes, such as LibHLH25 in subgroup IIIf, LibHLH68, LibHLH106, and LibHLH142 in subgroup IIIb, and LibHLH112 in subgroup VIIa, in anthocyanin biosynthesis in leaves of L. indica. This investigation enhances our comprehension of the complexity of the bHLH gene family and highlights the potential roles of LibHLHs in anthocyanin biosynthesis in L. indica, offering valuable insights for future genetic breeding endeavors. Full article
(This article belongs to the Section Genetics, Genomics, Breeding, and Biotechnology (G2B2))
Show Figures

Figure 1

19 pages, 3257 KB  
Article
Integrated Multi-Omics Analysis Reveals the Survival Strategy of Dongxiang Wild Rice (DXWR, Oryza rufipogon Griff.) Under Low-Temperature and Anaerobic Stress
by Jilin Wang, Cheng Huang, Hongping Chen, Lijuan Tang and Dianwen Wang
Plants 2025, 14(20), 3120; https://doi.org/10.3390/plants14203120 - 10 Oct 2025
Viewed by 239
Abstract
Dongxiang wild rice (DXWR, Oryza rufipogon Griff.), the northernmost known wild rice species, exhibits exceptional tolerance to combined low-temperature and anaerobic stress during seed germination, providing a unique model for understanding plant adaptation to complex environmental constraints. Here, we employed an integrated multi-omics [...] Read more.
Dongxiang wild rice (DXWR, Oryza rufipogon Griff.), the northernmost known wild rice species, exhibits exceptional tolerance to combined low-temperature and anaerobic stress during seed germination, providing a unique model for understanding plant adaptation to complex environmental constraints. Here, we employed an integrated multi-omics approach combining genomic, transcriptomic, and metabolomic analyses to unravel the synergistic regulatory mechanisms underlying this tolerance. Genomic comparative analysis categorized DXWR genes into three evolutionary groups: 18,480 core genes, 15,880 accessory genes, and 6822 unique genes. Transcriptomic profiling identified 10,593 differentially expressed genes (DEGs) relative to the control, with combined stress triggering the most profound changes, specifically inducing the upregulation of 5573 genes and downregulation of 5809 genes. Functional characterization revealed that core genes, including DREB transcription factors, coordinate energy metabolism and antioxidant pathways; accessory genes, such as glycoside hydrolase GH18 family members, optimize energy supply via adaptive evolution; and unique genes, including specific UDP-glycosyltransferases (UDPGTs), confer specialized stress resilience. Widely targeted metabolomics identified 889 differentially accumulated metabolites (DAMs), highlighting significant accumulations of oligosaccharides (e.g., raffinose) to support glycolytic energy production and a marked increase in flavonoids (153 compounds identified, e.g., procyanidins) enhancing antioxidant defense. Hormonal signals, including jasmonic acid and auxin, were reconfigured to balance growth and defense responses. We propose a multi-level regulatory network based on a “core-unique-adaptive” genetic framework, centered on ERF family transcriptional hubs and coordinated through a metabolic adaptation strategy of “energy optimization, redox homeostasis, and growth inhibition relief”. These findings offer innovative strategies for improving rice stress tolerance, particularly for enhancing germination of direct-seeded rice under early spring low-temperature and anaerobic conditions, by utilizing key genes such as GH18s and UDPGTs, thereby providing crucial theoretical and technological support for addressing food security challenges under climate change. Full article
Show Figures

Figure 1

17 pages, 4443 KB  
Article
Physiological and Transcriptional Responses of Sorghum Seedlings Under Alkali Stress
by Xinyu Liu, Bo Wang, Yiyu Zhao, Min Chu, Han Yu, Di Gao, Jiaheng Wang, Ziqi Li, Sibei Liu, Yuhan Li, Yulei Wei, Jinpeng Wei and Jingyu Xu
Plants 2025, 14(19), 3106; https://doi.org/10.3390/plants14193106 - 9 Oct 2025
Viewed by 235
Abstract
Saline-alkali stress seriously affects the growth and development of crops. Sorghum bicolor (L.), a C4 plant, is an important cereal crop in the world, and its growth and geographical distribution are limited by alkali conditions. In this study, sorghum genotypes with different alkaline [...] Read more.
Saline-alkali stress seriously affects the growth and development of crops. Sorghum bicolor (L.), a C4 plant, is an important cereal crop in the world, and its growth and geographical distribution are limited by alkali conditions. In this study, sorghum genotypes with different alkaline resistance (alkaline-sensitive Z1 and alkaline-tolerant Z14) were used as experimental materials to explore the effects of alkali on sorghum seedlings. RNA-seq technology was used to examine the differentially expressed genes (DEGs) in alkali-tolerant Z14 to reveal the molecular mechanism of sorghum response to alkali stress. The results showed that plant height, root length, and biomass of both cultivars decreased with time under 80 mM NaHCO3 treatment, but Z14 showed better water retention abilities. The photosynthetic fluorescence parameters and chlorophyll content also decreased, but the Fv/Fm, ETH, ΦPSII, and chlorophyll content of Z14 were significantly higher than those of Z1. The level of reactive oxygen species (ROS) increased in both sorghum varieties under alkali stress, while the enzyme activities of SOD, POD, CAT, and APX were also significantly increased, especially in Z14, resulting in lower ROS compared with Z1. Transcriptome analysis revealed around 6000 DEGs in Z14 sorghum seedlings under alkali stress, among which 267 DEGs were expressed in all comparison groups. KEGG pathways were enriched in the MAPK signaling pathway, plant hormone signal transduction, and RNA transport. bHLHs, ERFs, NACs, MYBs, and other transcription factor families are actively involved in the response to alkali stress. A large number of genes involved in photosynthesis and the antioxidant system were found to be significantly activated under alkali stress. In the stress signal transduction cascades, Ca2+ signal transduction pathway-related genes were activated, about 23 PP2Cs in ABA signaling were upregulated, and multiple MAPK and other kinase-related genes were triggered by alkali stress. These findings will help decipher the response mechanism of sorghum to alkali stress and improve its alkali tolerance. Full article
Show Figures

Figure 1

27 pages, 1751 KB  
Systematic Review
Therapeutic Efficacy of Soy-Derived Bioactives: A Systematic Review of Nutritional Potency, Bioactive Therapeutics, and Clinical Biomarker Modulation
by Zara Fatima, Nizwa Itrat, Beenish Israr and Abdul Momin Rizwan Ahmad
Foods 2025, 14(19), 3447; https://doi.org/10.3390/foods14193447 - 9 Oct 2025
Viewed by 390
Abstract
Soybeans (Glycine max) are nutrient-dense legumes and a high-quality plant-based protein source containing all essential amino acids. With a protein content of 36–40%, soy surpasses many other plant-derived proteins in nutritional value. Its bioactive components, particularly peptides and isoflavones, contribute to [...] Read more.
Soybeans (Glycine max) are nutrient-dense legumes and a high-quality plant-based protein source containing all essential amino acids. With a protein content of 36–40%, soy surpasses many other plant-derived proteins in nutritional value. Its bioactive components, particularly peptides and isoflavones, contribute to reducing inflammation, oxidative stress, and the risk of chronic diseases. In undernourished regions such as Pakistan, where protein-energy malnutrition is prevalent among women and children, soy offers a sustainable and cost-effective nutritional intervention. This review synthesizes findings from biochemical analyses, nutritional profiling, and clinical trials evaluating the impact of soybean protein and its bioactive compounds on growth, metabolic health, immune function, and disease prevention. Emphasis was placed on studies relevant to food-insecure populations and technological innovations enhancing soy product bioavailability. Soy protein has been shown to have positive effects on hormonal regulation, cardiovascular health, cognitive function, and immune support. Technological approaches such as fortification and fermentation improve nutritional bioavailability and sensory acceptance. The integration of soy into local diets enhanced nutritional adequacy, promoted environmental sustainability, and aligned with Sustainable Development Goals. Soybeans represent a sustainable, nutrient-rich solution to combat protein-energy malnutrition in vulnerable communities. Their high-quality protein profile, therapeutic properties, and adaptability to local food systems make them an effective strategy for improving public health and supporting environmental resilience. Full article
Show Figures

Figure 1

23 pages, 3088 KB  
Article
PvPR10-3 Expression Confers Salt Stress Tolerance in Arabidopsis and Interferes with Jasmonic Acid and ABA Signaling
by Kaouthar Feki, Hanen Kamoun, Amal Ben Romdhane, Sana Tounsi, Wissal Harrabi, Sirine Salhi, Haythem Mhadhbi, Maurizio Trovato and Faiçal Brini
Plants 2025, 14(19), 3092; https://doi.org/10.3390/plants14193092 - 7 Oct 2025
Viewed by 380
Abstract
Salt stress is a major abiotic factor limiting crop productivity worldwide, as it disrupts plant growth, metabolism, and survival. In this study, we report that the genes PvPR10-2 and PvPR10-3 were significantly up-regulated in bean leaves and stems in response to combined salt [...] Read more.
Salt stress is a major abiotic factor limiting crop productivity worldwide, as it disrupts plant growth, metabolism, and survival. In this study, we report that the genes PvPR10-2 and PvPR10-3 were significantly up-regulated in bean leaves and stems in response to combined salt and jasmonic acid (NaCl–JA) treatment. Foliar application of JA with salt induced physiological alterations, including stem growth inhibition, H2O2 accumulation, and activation of antioxidant enzymes. To investigate the role of PvPR10-3 in response to salt and phytohormones, we introduced this gene into Arabidopsis and found that its heterologous expression conferred salt tolerance to the transgenic lines. Interestingly, exogenous JA contributed to salt tolerance by reducing H2O2 levels, inducing ROS-scavenging enzymes, and promoting the accumulation of phenolic compounds and ABA. Furthermore, gene expression analysis of the transgenic lines revealed that PvPR10-3 expression under NaCl–JA stress is associated with the induction of JA-related genes like MYC2, JAZ2, JAZ11, and JAZ12, as well as SA-responsive genes, like ALD1 and TGA2, and two ABA-independent components DREB2A and ERD1, suggesting potential coordination between JA, ABA, and SA signaling in salt stress response. Additionally, key flowering regulators (FT, GI) were upregulated in transgenic lines under NaCl–JA treatment, suggesting a previously unexplored link between salt tolerance pathways and the regulation of flowering time. Taken together, our findings suggest a role of PvPR10-3 in enhancing salt stress tolerance and the involvement of exogenous JA in tolerance potentially by modulating ROS balance, hormone-associated gene expression, and protective secondary metabolites. Full article
(This article belongs to the Section Plant Physiology and Metabolism)
Show Figures

Figure 1

23 pages, 9747 KB  
Article
Classification of Calcium-Dependent Protein Kinases and Their Transcriptional Response to Abiotic Stresses in Halophyte Nitraria sibirica
by Lu Lu, Ting Chen, Tiangui Yang, Chunxia Han, Jingbo Zhang, Jinhui Chen and Tielong Cheng
Plants 2025, 14(19), 3091; https://doi.org/10.3390/plants14193091 - 7 Oct 2025
Viewed by 237
Abstract
Calcium-dependent protein kinases (CDPKs) are key Ca2+ sensors in plants, mediating responses to abiotic stresses via phosphorylation signaling. In the halophyte Nitraria sibirica, which thrives in saline soils, we identified 19 CDPK genes (NsCDPKs) and classified them into four [...] Read more.
Calcium-dependent protein kinases (CDPKs) are key Ca2+ sensors in plants, mediating responses to abiotic stresses via phosphorylation signaling. In the halophyte Nitraria sibirica, which thrives in saline soils, we identified 19 CDPK genes (NsCDPKs) and classified them into four canonical angiosperm clades, highlighting conserved functional modules. Promoter analysis revealed diverse cis-acting elements responsive to light, hormones (ABA, MeJA, auxin, GA, SA), and abiotic stresses (drought, cold, wounding), along with numerous MYB binding sites, suggesting complex transcriptional regulation. Transcriptome profiling under salt stress (100 and 400 mM NaCl) showed induction of most NsCDPKs, with several genes significantly upregulated in roots and stems, indicating coordinated whole-plant activation. These salt-responsive NsCDPKs were also upregulated by cold but repressed under PEG-simulated drought, indicating stress-specific regulatory patterns. Fifteen MYB transcription factors, differentially expressed under salt stress, were predicted to interact with NsCDPK promoters, implicating them as upstream regulators. This study identified a potential salt- and cold-responsive CDPK regulatory module and a MYB-mediated transcriptional hierarchy in N. sibirica, providing insights into the molecular mechanisms of salinity adaptation and highlighting candidate genes that could be explored for improving salt tolerance in crop species. Full article
Show Figures

Figure 1

15 pages, 2411 KB  
Article
The PAT Gene Family in Citrus: Genome-Wide Identification and Its Potential Implications for Organic Acid Metabolism
by Yinchun Li, Ziyi Huang, Ziyan Jiang, Yijing Fan, Lifang Sun and Shaojia Li
Agronomy 2025, 15(10), 2350; https://doi.org/10.3390/agronomy15102350 - 6 Oct 2025
Viewed by 179
Abstract
Protein palmitoylation, a key post-translational modification (PTM) regulating protein transport and function, is catalyzed by palmitoyl transferases (PATs). PATs play vital roles in plant growth, development, and stress responses, yet their characterization in citrus remains limited. This study identified 23 PAT genes (CitPATs) [...] Read more.
Protein palmitoylation, a key post-translational modification (PTM) regulating protein transport and function, is catalyzed by palmitoyl transferases (PATs). PATs play vital roles in plant growth, development, and stress responses, yet their characterization in citrus remains limited. This study identified 23 PAT genes (CitPATs) possessing the conserved DHHC domain in the citrus genome through comprehensive genome-wide analysis. Analysis revealed that most CitPAT proteins are hydrophilic, basic, and stable, with significant variations in sequence length. Gene structure and motif analysis confirmed 10 conserved motifs, with the DHHC domain being the most conserved among all 23 members. The CitPAT genes were unevenly distributed across nine chromosomes and exhibit high evolutionary conservation. Promoter analysis identified numerous cis-acting elements associated with abiotic stress and hormone responses, including basic regulatory elements, light-responsive elements, and stress-responsive elements, with light-responsive elements being predominant. Expression profiling during fruit development revealed distinct correlation patterns with citric acid dynamics: CitPAT6, CitPAT18, and CitPAT23 showed positive correlations with acid accumulation, while CitPAT1, CitPAT10, and CitPAT13 exhibited negative correlations. Further RT-qPCR experiments revealed that CitPAT1 and CitPAT10 consistently demonstrated strong negative correlations with citrate content throughout fruit development. This functional diversification suggests roles in regulating citric acid metabolism. These findings provide novel insights into quality formation in facility-cultivated citrus and establish a foundation for understanding PAT-mediated regulation of fruit development. Full article
(This article belongs to the Special Issue The Dynamics of Fruit Quality: From Formation to Regulation)
Show Figures

Figure 1

16 pages, 2036 KB  
Article
High Proportion of Blue Light Contributes to Product Quality and Resistance to Phytophthora Infestans in Tomato Seedlings
by Chengyao Jiang, Yue Ma, Kexin Zhang, Yu Song, Zixi Liu, Mengyao Li, Yangxia Zheng, Sang Ge, Tonghua Pan, Junhua Xie and Wei Lu
Agriculture 2025, 15(19), 2082; https://doi.org/10.3390/agriculture15192082 - 6 Oct 2025
Viewed by 262
Abstract
Plant seedlings are sensitive to cultivation environment factors and highly susceptible to pathogenic infections under adverse conditions such as inappropriate light environment. In this study, five kinds of LED lighting sources with different red (R) and blue (B) light combinations were set up: [...] Read more.
Plant seedlings are sensitive to cultivation environment factors and highly susceptible to pathogenic infections under adverse conditions such as inappropriate light environment. In this study, five kinds of LED lighting sources with different red (R) and blue (B) light combinations were set up: R10B0, R7B3, R5B5, R2B8 and R0B10 (with R:B ratios of 10:0, 7:3, 5:5, 2:8 and 0:10, respectively) to explore their effects on tomato seedlings’ growth, AsA-GSH cycle, endogenous hormones, and resistance to Phytophthora infestans, providing a basis for factory seedling light-quality selection. The results showed that with the increase in the proportion of blue light in the composite light, the growth indicators, photosynthetic characteristic parameters and enzyme activities of tomato seedlings generally increased. The contents of AsA, reduced glutathione, and oxidized glutathione all reached the maximum under high-proportion blue-light treatments (R2B8 and R0B10). The high-blue-light groups (R2B8 and R0B10) had the highest AsA and glutathione contents. The red–blue combinations reduced inhibitory ABA and increased growth-promoting hormones (e.g., melatonin), while monochromatic light increased ABA to inhibit growth. After inoculation with P. infestans, the apoplastic glucose content was the highest under the red–blue-combined treatments (R5B5 and R2B8), while the total glucose content in leaves was the highest under the combined light R2B8 treatment. In conclusion, high-proportion blue-light treatment can greatly promote the photosynthetic process of tomato, enhance the AsA-GSH cycle, and achieve the best effect in improving the resistance of tomatoes to P. infestans. Given these, the optimal light environment setting was R:B = 2:8. Full article
Show Figures

Figure 1

20 pages, 2510 KB  
Article
Effects of Arbuscular Mycorrhizal Fungi on the Physiological Responses and Root Organic Acid Secretion of Tomato (Solanum lycopersicum) Under Cadmium Stress
by Dejian Zhang, Xinyu Liu, Yuyang Zhang, Jie Ye and Qingping Yi
Horticulturae 2025, 11(10), 1204; https://doi.org/10.3390/horticulturae11101204 - 6 Oct 2025
Viewed by 317
Abstract
Arbuscular Mycorrhizal Fungi (AMF) can form symbiotic relationships with most plants. They can alleviate the toxic effects of heavy metals on plants. This study analyzed the effects of AMF (Diversispora versiformis, D.v.) on the physiological responses and root organic acid [...] Read more.
Arbuscular Mycorrhizal Fungi (AMF) can form symbiotic relationships with most plants. They can alleviate the toxic effects of heavy metals on plants. This study analyzed the effects of AMF (Diversispora versiformis, D.v.) on the physiological responses and root organic acid secretion of tomato (Solanum lycopersicum L.) under cadmium (Cd) stress, in order to elucidate how AMF enhance Cd tolerance. The results indicated that when the AMF inoculation rate of tomato seedlings ranged from 26.75% to 38.23%, the AMF treatment significantly promoted tomato growth. Cd significantly reduced the agronomic traits of tomato. However, AMF inoculation dramatically lowered the Cd level from 19.32 mg/kg to 11.54 mg/kg in tomato roots, and effectively reduced the negative effect of Cd toxicity on seedling growth. Cd stress also significantly reduced the chlorophyll fluorescence parameters, chlorophyll contents, and photosynthetic intensity parameters in seedling leaves, while the AMF treatment significantly increased these indicators. Under Cd stress, the AMF treatment significantly increased the activities of SOD, POD, and CAT, and reduced the levels of reactive oxygen species and the contents of osmotic regulatory substances in roots. Under Cd stress conditions, the AMF treatment also significantly increased the auxin level (57.24%) and reduced the abscisic acid level (18.19%), but had no significant effect on trans-zeatin riboside and gibberellin contents in roots. Cd stress markedly reduced the content of malic acid and succinic acid by 17.28% and 25.44%, respectively; however, after the AMF inoculation, these indicators only decreased by 2.47% and 2.63%, respectively. Under Cd stress, AMF could increase tomato roots’ antioxidant capacity to reduce ROS level, thereby alleviating the toxicity induced by ROS and maintaining reactive oxygen metabolism, enhancing the plant’s stress resistance. In summary, the AMF treatment enhances the osmotic regulation capacity and maintains the stability of cell membranes by reducing the levels of osmotic regulatory substances in roots. It also enhances the Cd tolerance of tomato plants by regulating the contents of root hormones and aerobic respiration metabolites, among other pathways. Therefore, inoculating plants with AMF is a prospective strategy for enhancing their adaptive capacity to Cd-polluted soils. Full article
Show Figures

Figure 1

14 pages, 2538 KB  
Article
Transcriptomic Insights into the Effects of Inoculation Density in Areca catechu Tissue Culture
by Jinqi Yan, Yu Li, Zijia Liu, Yusheng Zheng, Jixin Zou and Dongdong Li
Plants 2025, 14(19), 3073; https://doi.org/10.3390/plants14193073 - 4 Oct 2025
Viewed by 263
Abstract
Tissue culture technology represents a promising strategy for addressing the supply constraints of Areca catechu seedlings. Significant differences in embryoid proliferation were observed between isolated (CK) and aggregated (GL) culture conditions during subculture. To elucidate the underlying mechanisms, transcriptomic analysis was performed. Growth [...] Read more.
Tissue culture technology represents a promising strategy for addressing the supply constraints of Areca catechu seedlings. Significant differences in embryoid proliferation were observed between isolated (CK) and aggregated (GL) culture conditions during subculture. To elucidate the underlying mechanisms, transcriptomic analysis was performed. Growth analysis indicated that GL embryoids exhibited the highest growth rate (50.2%) between days 12 and 15, with a peak proliferation efficiency of 50.52%. KEGG analysis identified plant hormone signaling as a key pathway. ELISA quantification demonstrated consistently higher JA levels in CK embryos, peaking at 294.06 ng/g on day 15, while IAA levels were significantly elevated in GL embryos (46.42 ng/g on day 15). The transcription factor AcGIF1 was identified as a central regulator, with further experiments confirming that JA negatively regulates and IAA positively regulates its expression. This study provides critical insights into the molecular mechanisms governing embryoid proliferation in response to inoculation density. Full article
Show Figures

Figure 1

17 pages, 1009 KB  
Article
Physiological and Transcriptome Analysis of Drought-Tolerant Mutant ds-1 of Blue Fescue (Festuca glauca) Under Drought Stress
by Yong Zhang, Peng Han, Xuefeng Xiao, Wei Chen, Hang Liu, Hengfeng Zhang and Lu Xu
Int. J. Plant Biol. 2025, 16(4), 116; https://doi.org/10.3390/ijpb16040116 - 4 Oct 2025
Viewed by 182
Abstract
Blue fescue (Festuca glauca) is a widely used ornamental grass worldwide. Drought is an important limiting factor for the growth and development of blue fescue; therefore, cultivating new strains of blue fescue with a strong drought tolerance is of great significance [...] Read more.
Blue fescue (Festuca glauca) is a widely used ornamental grass worldwide. Drought is an important limiting factor for the growth and development of blue fescue; therefore, cultivating new strains of blue fescue with a strong drought tolerance is of great significance for its production practice. To investigate the drought tolerance mechanism of ds-1, this study subjected both ds-1 and “Festina” to a natural drought treatment and measured their physiological and biochemical indicators. A transcriptomic analysis was also conducted to explore the underlying molecular mechanisms. The results showed that, after the drought treatment, the relative water content (RWC), water use efficiency (WUE), and photosynthetic rate (Pn) of ds-1 leaves were significantly higher than those of “Festina”; in addition, the contents of H2O2 and O2, the relative electrical conductivity (REC), the malondialdehyde (MDA) content, the gas conductance (Gs), and the transpiration rate (Tr) were significantly lower than those of “Festina”. The peroxidase (POD) activity of ds-1 was significantly higher than that of “Festina”, while the superoxide dismutase (SOD) activity of ds-1 was significantly lower than that of “Festina”. The transcriptome data analysis showed that there were a total of 9475 differentially expressed genes (DEGs) between ds-1 and “Festina”. A Venn plot analysis showed 692 DEGs between ds-1—8d vs. “Festina”—8d and ds-1—16d vs. “Festina”—16d. A KEGG enrichment analysis showed that these 692 genes were mainly enriched in 86 pathways, including those related to the photosynthesis antenna protein, plant hormone signal transduction, MAPK signaling, starch and sucrose metabolism, and arginine and proline metabolism. Further screening identified genes that may be associated with drought stress, including PYL, PP2C, SnRK2, ABF, BRI1, JAZ, MYC2, Lhc, and MPK6. The qRT-PCR results indicated that the expression trends of the DEGs were consistent with the transcriptome sequencing results. Our research results can provide a basis for exploring candidate genes for drought tolerance in blue fescue. In addition, our research results provide valuable genetic resources for the development of drought-resistant ornamental grass varieties, which can help reduce water consumption in cities and decrease labor and capital investment. Full article
Show Figures

Figure 1

Back to TopTop