Sign in to use this feature.

Years

Between: -

Subjects

remove_circle_outline
remove_circle_outline
remove_circle_outline
remove_circle_outline
remove_circle_outline
remove_circle_outline
remove_circle_outline
remove_circle_outline
remove_circle_outline

Journals

remove_circle_outline
remove_circle_outline
remove_circle_outline
remove_circle_outline
remove_circle_outline
remove_circle_outline
remove_circle_outline
remove_circle_outline
remove_circle_outline
remove_circle_outline
remove_circle_outline
remove_circle_outline
remove_circle_outline
remove_circle_outline
remove_circle_outline
remove_circle_outline

Article Types

Countries / Regions

remove_circle_outline
remove_circle_outline
remove_circle_outline
remove_circle_outline
remove_circle_outline

Search Results (1,291)

Search Parameters:
Keywords = PVP

Order results
Result details
Results per page
Select all
Export citation of selected articles as:
35 pages, 4987 KB  
Article
Sustainable Solar Mineralization of Polyvinylpyrrolidone via a Regenerable TiO2/Cellulose–Activated Carbon Composite with Integrated Waste Reuse for Urea Oxidation
by Samar M. Mahgoub, Hossain ABM Sharif, Ahmed A. Allam, Abdelatty M. Radalla, Hussein Nassar H. Eweis, Hala Mohamed and Rehab Mahmoud
Catalysts 2026, 16(3), 213; https://doi.org/10.3390/catal16030213 - 28 Feb 2026
Viewed by 27
Abstract
The persistence of water-soluble polymers such as polyvinylpyrrolidone (PVP) in aquatic environments presents a major challenge for conventional wastewater treatment. Herein, a sunlight-active TiO2/activated carbon (TiO2/AC) composite fabricated via a simple physical mixing route is reported for the synergistic [...] Read more.
The persistence of water-soluble polymers such as polyvinylpyrrolidone (PVP) in aquatic environments presents a major challenge for conventional wastewater treatment. Herein, a sunlight-active TiO2/activated carbon (TiO2/AC) composite fabricated via a simple physical mixing route is reported for the synergistic adsorption and photocatalytic mineralization of PVP K30. The optimal composite (2:1 weight ratio) exhibits a high surface area (412 m2 g−1) and an integrated anatase–carbon architecture. The process operates through a sequential “adsorb-and-shuttle” mechanism, whereby PVP is first concentrated on the composite in the dark (30.2% removal in 8 h) and subsequently degraded under solar irradiation. This dual function leads to 86.4% PVP removal and 72.1% total organic carbon (TOC) mineralization, demonstrating true polymer destruction rather than mere surface accumulation. The composite demonstrates robust performance in simulated wastewater, retaining over 68% PVP removal and 55% TOC mineralization in a complex matrix containing competing inorganic ions and natural organic matter. Spectroscopic and thermogravimetric analyses confirm PVP chain scission and near-complete removal of adsorbed residues. An optimized ethanol-washing protocol enables effective catalyst regeneration, with the composite retaining 85% of its initial activity after five cycles. A detailed techno-economic analysis confirms the economic viability of this regeneration strategy at industrial scales (>1000 kg/year), projecting cost savings exceeding 60% compared to fresh catalyst use. Importantly, the PVP-loaded spent TiO2–AC was successfully repurposed as an electrocatalyst for the urea oxidation reaction, achieving a high current density of 163.7 mA cm−2, which surpasses the performance of the pristine composite. The greenness of the overall process was validated using analytical eco-scale (ESA), method volume intensity (AMVI), and white analytical chemistry (WAC) metrics. Overall, this work presents a sustainable, solar-driven platform that advances a circular economy model, integrating effective polymer wastewater remediation with subsequent energy valorization of the spent material. Full article
(This article belongs to the Special Issue Advanced Catalysis for Energy and a Sustainable Environment)
24 pages, 5189 KB  
Article
Electrospun PLA/PVP K90 Biphasic-Release Sublingual Film for Motion Sickness Treatment
by Wenwen Zhang, Qilin Wang, Wei Yi, Hongxi Wang, Deng-Guang Yu and Tao Yi
Biomolecules 2026, 16(3), 363; https://doi.org/10.3390/biom16030363 - 28 Feb 2026
Viewed by 30
Abstract
To overcome the limitations of traditional motion sickness medications—slow onset of action, short duration of efficacy, and poor patient compliance—this study employed coaxial electrospinning technology. Poly(lactic acid) (PLA) and polyvinylpyrrolidone K90 (PVP K90) were used as composite carrier materials. The sheath layer is [...] Read more.
To overcome the limitations of traditional motion sickness medications—slow onset of action, short duration of efficacy, and poor patient compliance—this study employed coaxial electrospinning technology. Poly(lactic acid) (PLA) and polyvinylpyrrolidone K90 (PVP K90) were used as composite carrier materials. The sheath layer is composed of highly hydrophilic PVP K90, loaded with the antihistamine diphenhydramine (DPH). The core layer, composed of biodegradable PLA with excellent sustained-release properties, carries the anticholinergic drug scopolamine hydrobromide (SH). This core–sheath nanostructured nanofiber sublingual film delivers dual anti-motion sickness drugs. A series of characterization tests revealed that the sublingual membrane exhibits a linear morphology with a distinct core–shell nanostructure. The drugs DPH and SH are distributed in an amorphous state within the sheath and core layers, respectively. Wetting performance tests indicate that the membrane’s wettability falls between those of monofilament membranes. In vitro drug release experiments revealed that DPH exhibited a “rapid onset + sustained release” biphasic profile, with cumulative release reaching 60% within 2 h and approaching complete release by 10 h, primarily via Fickian diffusion (n = 0.30). SH exhibited prolonged sustained release, approaching complete release at 12 h via non-Fickian diffusion (n = 0.55). Cytotoxicity and vital/necrotic staining experiments mutually corroborated that cell viability remained above 80%, further validating the safety and efficacy of PLA/PVP as a combined drug delivery carrier. This study provides a novel delivery system for motion sickness treatment, offering significant theoretical value and broad clinical application prospects. Full article
(This article belongs to the Special Issue Advances in Nano-Based Drug Delivery: Unveiling the Next Frontier)
28 pages, 6148 KB  
Article
Hydrothermal Synthesis of CeO2: Structure–Adsorption Performance Relationship in Methyl Orange Dye Removal
by Fatih Sargin and Funda Ak Azem
Nanomaterials 2026, 16(5), 311; https://doi.org/10.3390/nano16050311 - 28 Feb 2026
Viewed by 42
Abstract
CeO2 particles were synthesized via a hydrothermal method to investigate the influence
of precursor molarity and reaction time on their structural, optical, and adsorption characteristics. Ce(NO3)3·6H2O served as the cerium source, while PVP and Triton X-100
[...] Read more.
CeO2 particles were synthesized via a hydrothermal method to investigate the influence
of precursor molarity and reaction time on their structural, optical, and adsorption characteristics. Ce(NO3)3·6H2O served as the cerium source, while PVP and Triton X-100
acted as surfactants to regulate nucleation and particle growth. XRD and Raman analyses
confirmed the formation of single-phase cubic fluorite CeO2, whereas FTIR spectra verified
the presence of Ce–O bonding. SEM observations revealed that a decreasing precursor
molarity led to smaller and more uniform particles, while prolonged reaction times enhanced crystallinity. UV–Vis DRS and XPS analyses indicated that both the band gap
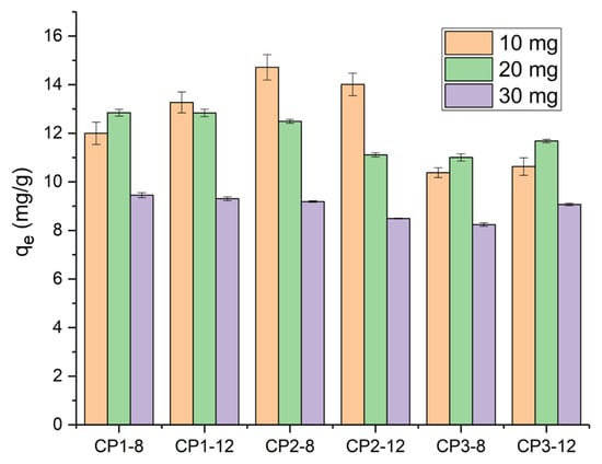
(3.06–3.12 eV) and the Ce3+/Ce4+ ratio were governed by oxygen vacancies, demonstrating defect-mediated redox behavior. Adsorption studies using methyl orange (MO) dye followed pseudo-second-order kinetics (R2 > 0.99), indicating chemisorption as the dominant mechanism. The CP1-8 sample exhibited the highest dye removal efficiency (87%) under acidic conditions (pH < pHPZC). These findings demonstrate that controlled hydrothermal synthesis enables precise tuning of CeO2 morphology, defect density, and surface chemistry, yielding efficient adsorbent materials for environmental remediation applications. Full article
(This article belongs to the Special Issue Synthesis and Application of Metal/Metal-Oxide Nanomaterials)
Show Figures

Figure 1

34 pages, 1830 KB  
Review
Polyvinylpyrrolidone-Modified Construction Materials for Enhanced Durability and Environmental Resilience: A Critical Review
by Alaa M. Rashad and Sara A. ElMoied
Sustainability 2026, 18(4), 1982; https://doi.org/10.3390/su18041982 - 14 Feb 2026
Viewed by 177
Abstract
Polymer modification is a well-established strategy for improving the performance and extending the service life of cementitious and other construction materials, with direct implications for environmental sustainability and infrastructure resilience. Among these polymers, polyvinylpyrrolidone (PVP), a non-ionic, water-soluble, and highly compatible polymer, has [...] Read more.
Polymer modification is a well-established strategy for improving the performance and extending the service life of cementitious and other construction materials, with direct implications for environmental sustainability and infrastructure resilience. Among these polymers, polyvinylpyrrolidone (PVP), a non-ionic, water-soluble, and highly compatible polymer, has emerged as a uniquely versatile additive for mitigating degradation in aggressive environments. This review provides a critical and comprehensive synthesis of the state-of-the-art research on PVP’s roles in cement, mortar, concrete, and asphalt systems. The novelty of this work lies in its mechanistic integration and system-level interpretation, which consolidate fragmented knowledge across multiple domains—ranging from rheology and durability to nanotechnology and interfacial engineering—into a unified and coherent framework. Through cross-study comparison, this approach establishes a comprehensive understanding of PVP’s role in cementitious systems while outlining clear pathways for future research and practical implementation. This review provides the first integrated framework that connects PVP’s molecular structure, adsorption behavior, and ion-coordination mechanisms to its macroscopic influence on rheology, hydration, microstructure, and long-term durability. The review critically analyzes the underlying mechanisms, including physical pore-filling and crack-bridging, as well as chemical ion-coordination, which collectively govern PVP’s performance. Key quantitative findings are consolidated, showing that optimal PVP addition can reduce water absorption by over 35%, increase fracture toughness by ~47%, and, when used as an interfacial modifier, enhance the strain capacity of fiber-reinforced composites by over 100%. Reported benefits include improved workability, enhanced mechanical performance and toughness, superior durability under chemical and frost exposure, and the development of functional materials such as self-sensing concretes and photocatalytic coatings that support structural health monitoring and pollution mitigation. Overall, this review synthesizes current knowledge, consolidates experimental evidence in tabular form, and identifies future opportunities for leveraging PVP in the design of sustainable, low-impact, and environmentally resilient construction materials and infrastructures. Full article
Show Figures

Figure 1

17 pages, 3506 KB  
Article
Experimental Insights into Influence of Surfactants on Thermophysical Properties of a Titanium Oxide Water Nanofluid
by George Cătălin Tofan, Bogdan Pricop, Cătălin Andrei Ţugui and Alina Adriana Minea
Appl. Sci. 2026, 16(4), 1890; https://doi.org/10.3390/app16041890 - 13 Feb 2026
Viewed by 201
Abstract
Nanofluid development is facing the challenge of instability despite the significant body of research dedicated to developing new nanoparticle-enhanced fluids. Numerous combinations of fluids and particles have been studied; however, the research on surfactants is rather limited, and the results are scattered. This [...] Read more.
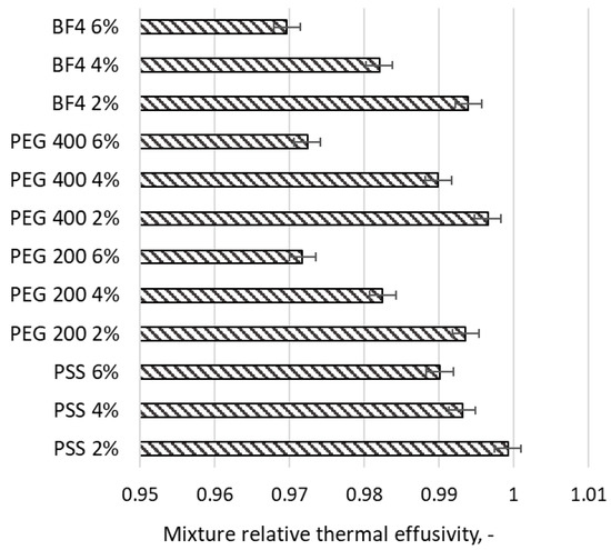
Nanofluid development is facing the challenge of instability despite the significant body of research dedicated to developing new nanoparticle-enhanced fluids. Numerous combinations of fluids and particles have been studied; however, the research on surfactants is rather limited, and the results are scattered. This paper is dedicated to the study of two regular polymeric surfactants (PVP and PSS) as well as two polyethylene glycols and one ionic liquid as possible alternatives. The results of a coordinated experiment are followed by a discussion of the density, thermal conductivity, thermal effusivity and viscosity of several samples with the same amount of titanium oxide nanoparticles dispersed in water and different mass concentrations of surfactants (2, 4 and 6%wt.). The results indicated that both the thermal properties and viscosity are negatively affected by the addition of surfactant, which is a drawback. The viscosity remains within a reasonable variation (i.e., between a 0.7 and 1.5% increase) for concentrations of PEG 200, PEG 400 and PSS up to 2%wt. Also, the addition of titania nanoparticles increases the water thermal conductivity by 1.8%, while the addition of surfactant decreases the overall values by around 5%. This disadvantage is amplified when also considering the foam creation, characteristic of all regular surfactants, that limits their real-life applications in turbulent flow. Full article
(This article belongs to the Special Issue Hydrocolloids: Characteristics and Applications)
Show Figures

Figure 1

18 pages, 319 KB  
Article
Effects of Extracorporeal Shockwave Therapy on Pain and Mobility in Client-Owned Dogs with Refractory Elbow and Stifle Osteoarthritis: A Randomized Double-Blinded Trial
by Annika Klein, Elena V. Winkler, Yury Zablotski, Monika A. Mille, Frederik Volz and Susanne K. Lauer
Animals 2026, 16(4), 541; https://doi.org/10.3390/ani16040541 - 9 Feb 2026
Viewed by 392
Abstract
Introduction: Extracorporeal shockwave therapy (ESWT) is used as an adjunctive treatment for canine osteoarthritis (OA), but its effects in dogs with treatment-refractory advanced disease remain unclear. This study compared the efficacy of one versus two sessions of focused ESWT administered approximately 28 days [...] Read more.
Introduction: Extracorporeal shockwave therapy (ESWT) is used as an adjunctive treatment for canine osteoarthritis (OA), but its effects in dogs with treatment-refractory advanced disease remain unclear. This study compared the efficacy of one versus two sessions of focused ESWT administered approximately 28 days apart in dogs with refractory elbow or stifle OA. Methods: In this randomized, double-blinded clinical trial, twenty-four client-owned dogs with treatment-refractory elbow (n = 12) or stifle (n = 12) osteoarthritis received ESWT using an identical per-session protocol (X-Trode, 1000 pulses at 0.14 mJ/mm2; PulseVet-Zomedica, Ann Arbor, MI, USA), once (Group L) or twice (Group E). Orthopedic examination, goniometric and limb circumference measurements, and kinetic gait analysis (peak vertical pressure [PVP], vertical impulse [VI]) were performed on days 0, 28, and 56. Owner questionnaires (Canine Brief Pain Inventory [CBPI], Client Specific Outcome Measures [CSOM]) were collected on days 0, 28, 56, and 84. Data were analyzed using chi-squared tests, t-tests, and mixed effects models in R. Results: Age, weight, BCS, and radiographic osteoarthritis severity did not differ between groups at baseline. Improvement was small and limited to selected parameters. Vertical impulse and limb circumference increased more consistently in Group E, whereas peak vertical pressure increased in both groups, including before ESWT in Group L. No sustained or treatment-associated improvement was detected in symmetry variables or joint range of motion. Owner-reported outcomes showed variable patterns without consistent treatment effects. ESWT was well tolerated, and no major adverse events occurred. Conclusion: ESWT produced modest, inconsistent improvements in dogs with treatment-refractory OA, with slightly more consistent effects following two sessions. Therapeutic efficacy appeared limited in this end-stage population. Full article
21 pages, 4512 KB  
Article
Tunable Hydrophilicity in PES-Based Nanofiber Membranes via Oxygen Plasma Treatment
by Rahma Al Busaidi, Bushra Al Abri, Myo Myint, Sergey Dobretsov, Tamadher Al Salmani, Htet Htet Kyaw and Mohammed Al-Abri
Membranes 2026, 16(2), 65; https://doi.org/10.3390/membranes16020065 - 3 Feb 2026
Viewed by 545
Abstract
To tailor surface chemistry and wettability for advanced membrane applications, this study investigates PES-, PES–PVP-, and PES–GO-based nanofiber membranes modified through oxygen plasma treatment. The plasma process introduced reactive functional groups, including SO3H, C=O, and OH, onto the fiber surfaces, converting [...] Read more.
To tailor surface chemistry and wettability for advanced membrane applications, this study investigates PES-, PES–PVP-, and PES–GO-based nanofiber membranes modified through oxygen plasma treatment. The plasma process introduced reactive functional groups, including SO3H, C=O, and OH, onto the fiber surfaces, converting the membranes from hydrophobic to super-hydrophilic and enhancing their surface reactivity. This modification enabled tunable wettability, allowing controlled adjustment of the membrane’s hydrophilic behavior. Overall, the results demonstrate the effectiveness of plasma engineering in developing versatile nanofiber membranes with customizable surface properties for a wide range of applications. Full article
Show Figures

Figure 1

7 pages, 1111 KB  
Proceeding Paper
Radiation-Tolerant Bipolar Resistive Switching Characteristics of Hybrid Polymer–Oxide Composites for Resistive Random Access-Memory Applications
by Ming-Cheng Kao, Kai-Huang Chen, Yi-Kai Kao and Wei-Chou Chen
Eng. Proc. 2025, 120(1), 28; https://doi.org/10.3390/engproc2025120028 - 2 Feb 2026
Viewed by 205
Abstract
In this study, ZnO thin films were prepared on the flexible stainless steel (FSS) substrates by the sol–gel method. ZnO nanorods were then hydrothermally grown in the presence of polyvinyl pyrrolidone (PVP) to obtain polymer/nanooxide composites. The microstructure and resistive switching properties of [...] Read more.
In this study, ZnO thin films were prepared on the flexible stainless steel (FSS) substrates by the sol–gel method. ZnO nanorods were then hydrothermally grown in the presence of polyvinyl pyrrolidone (PVP) to obtain polymer/nanooxide composites. The microstructure and resistive switching properties of the composites were investigated. X-ray diffraction results confirmed that the PVP-doped ZnO nanorods retained the hexagonal wurtzite structure and had a preferred (002) orientation despite a slight decrease in crystallinity. Surface morphology analysis showed that the addition of PVP resulted in an increase in the nanorod density and a more regular hexagonal structure. Electrical measurements showed a significant improvement in the resistive switching behavior, with a high-resistance state to low-resistance state (HRS/LRS) ratio of 4.67 × 103. In addition, radiation-tolerant cyclic tests demonstrated that the polymer–oxide hybrid structure effectively buffered irradiation-induced defects, stabilized conductive filament pathways, and preserved switching reliability. These results highlight the potential of PVP-doped ZnO nanorod composites as reliable, flexible, and radiation-tolerant RRAM devices for future aerospace and high-radiation electronics applications. Full article
(This article belongs to the Proceedings of 8th International Conference on Knowledge Innovation and Invention)
Show Figures

Figure 1

25 pages, 2808 KB  
Article
Patterns of Degradation of Binary Mixtures of Ultrafine Fibers Based on Poly-(3-Hydroxybutyrate) and Polyvinylpyrrolidone Under the Action of Ozonolysis
by Svetlana G. Karpova, Anatoly A. Olkhov, Ekaterina P. Dodina, Ivetta A. Varyan, Yulia K. Lukanina, Natalia G. Shilkina, Valery S. Markin, Anatoly A. Popov, Alexandr V. Shchegolkov and Aleksei V. Shchegolkov
J. Compos. Sci. 2026, 10(2), 73; https://doi.org/10.3390/jcs10020073 - 1 Feb 2026
Viewed by 267
Abstract
To obtain data on the effects of ozonolysis on the structural and dynamic parameters of ultrafine fibers based on the binary compositions of poly-(3-hydroxybutyrate) (PHB) and polyvinylpyrrolidone (PVP) with varying ratios of polymer components ranging from 0/100 to 100/0 mass%, produced by electrospinning, [...] Read more.
To obtain data on the effects of ozonolysis on the structural and dynamic parameters of ultrafine fibers based on the binary compositions of poly-(3-hydroxybutyrate) (PHB) and polyvinylpyrrolidone (PVP) with varying ratios of polymer components ranging from 0/100 to 100/0 mass%, produced by electrospinning, a study was conducted. The morphology and structural–dynamic characteristics of the ultrafine fibers were examined. Comprehensive research was carried out, combining thermophysical measurements (DSC), dynamic measurements using an electron paramagnetic resonance (EPR) technique, scanning electron microscopy, and infrared spectroscopy. The influence of the mixture’s composition and ozonolysis on the degree of crystallinity of PHB and the molecular mobility of the TEMPO radical (tetramethylpiperidine-1-oxyl) in the amorphous regions of the PHB/PVP fiber material was demonstrated. The low-temperature maximum on the DSC thermograms provided information about the fraction of hydrogen bonds in the mixed compositions, allowing for the enthalpy of thermal destruction of these bonds in both the original and oxidized samples to be determined. The study showed significant changes in the degree of crystallinity of PHB, the enthalpy of hydrogen bond destruction, molecular mobility, moisture absorption of the compositions, and the activation energy of rotational diffusion in the amorphous regions of the PHB/PVP mixed compositions. It was established that within the 50/50% PHB/PVP ratio, an inversion transition occurs from the dispersion material to the dispersion medium. Ozonolysis induces a sharp change in the material’s structure. The conducted research provided the first opportunity to assess the impact of ozonolysis on the structural and dynamic characteristics of PHB/PVP ultrafine fibers at a molecular level. These materials may serve as a therapeutic system for controlled drug delivery. Full article
Show Figures

Figure 1

24 pages, 1667 KB  
Article
ddRADseq Applications for Petunia × hybrida Clonal Line Breeding: Genotyping and Variant Identification for Target-Specific Assays
by Angelo Betto, Francesco Scariolo, Giovanni Gabelli, Damiano Riommi, Silvia Farinati, Alessandro Vannozzi, Fabio Palumbo and Gianni Barcaccia
Horticulturae 2026, 12(2), 160; https://doi.org/10.3390/horticulturae12020160 - 30 Jan 2026
Viewed by 263
Abstract
Molecular genotyping is a key factor for plant breeding programming and plant variety protection (PVP). However, its potential still remains to be elucidated when considering ornamental plants like Petunia × hybrida. In this study, a petunia breeding clone collection, including sister line [...] Read more.
Molecular genotyping is a key factor for plant breeding programming and plant variety protection (PVP). However, its potential still remains to be elucidated when considering ornamental plants like Petunia × hybrida. In this study, a petunia breeding clone collection, including sister line groups, was genotyped through double digest Restriction-site Associated DNA sequencing (ddRADseq), and its genetic diversity and structure were studied. In addition to estimating the high genetic similarity observed among sister lines, this approach allowed the unique discrimination of each clone too. Molecular results agreed with genealogy data, supporting the assessment of genotyping effectiveness. In addition, the minimal number of variants able to uniquely discriminate and/or correctly cluster the experimental lines was investigated. The loci number could be reduced to eight to achieve line discrimination, and a method to identify the specific variant sets is presented. Conversely, to preserve the original clustering with minor adjustments, one hundred loci were required and were obtained through minor allele frequency (MAF) filtering. Moreover, analysis of the chromosomal distribution of variants revealed a predominant accumulation in distal regions. Genetic analyses were repeated considering only variants located in coding sequences and results were in agreement with what previously observed, disclosing the potential of the expressed regions for genotyping purposes. Eventually, the applied approach enabled the investigation of SNPs within genes putatively involved in traits of interest. Our findings encourage the adoption of high-throughput and cost-effective sequencing techniques for petunia genotyping aimed at achieving PVP, supporting new variety registration, and developing marker-assisted breeding (MAB) and marker-assisted selection (MAS) strategies. Full article
Show Figures

Figure 1

20 pages, 5502 KB  
Article
Laser-Assisted Synthesis of Polymer-Coated Gold Nanoparticles for Studying Gamma Radiation Resistance
by Alejandra Y. Díaz-Ortíz, Eugenio Rodríguez González, Rodrigo Melendrez-Amavizca, Elisa A. Cázares-López, Edgar G. Zamorano-Noriega, Ramón Ochoa-Landín, Santos J. Castillo, María L. Mota and Ana B. López-Oyama
Processes 2026, 14(3), 454; https://doi.org/10.3390/pr14030454 - 28 Jan 2026
Viewed by 255
Abstract
This study focuses on fabrication and comprehensive characterization of gold nanoparticles (AuNPs) stabilized with polyvinylpyrrolidone (PVP) and polyethylene glycol (PEG), correlating polymer degradation with colloidal stability and localized surface plasmon resonance (LSPR) behavior under controlled gamma doses from 5 to 125 Gy. AuNPs [...] Read more.
This study focuses on fabrication and comprehensive characterization of gold nanoparticles (AuNPs) stabilized with polyvinylpyrrolidone (PVP) and polyethylene glycol (PEG), correlating polymer degradation with colloidal stability and localized surface plasmon resonance (LSPR) behavior under controlled gamma doses from 5 to 125 Gy. AuNPs were synthesized via laser-assisted synthesis (LAS) in aqueous medium containing PVP or PEG as a stabilizing and capping agent. Morphology, size distribution, and surface functionalization of the resulting AuNPs@polymer-stabilized were verified through UV-Vis spectroscopy, FTIR, XRD, DLS, zeta potential, and TEM. Results show that the polymer shell effectively preserved the nanoparticles’ integrity by minimizing aggregation and maintaining LSPR features even after exposure to high gamma doses (>75 Gy). PVP demonstrated superior protection compared to PEG, due to the robustness of the solvation layer and carbonyl groups of PVP coating around the AuNPs. These findings highlight the potential of polymer-stabilized AuNPS for applications in radiation-rich environments, while demonstrating LAS as an environmentally friendly and efficient synthesis route. Full article
Show Figures

Graphical abstract

21 pages, 1612 KB  
Article
Multi-Phasic CECT Peritumoral Radiomics Predict Treatment Response to Bevacizumab-Based Chemotherapy in RAS-Mutated Colorectal Liver Metastases
by Feiyan Jiao, Yiming Liu, Zhongshun Tang, Shuai Han, Tian Li, Yuanpeng Zhang, Peihua Liu, Guodong Huang, Hao Li, Yongping Zheng, Zhou Li and Sai-Kit Lam
Bioengineering 2026, 13(2), 137; https://doi.org/10.3390/bioengineering13020137 - 24 Jan 2026
Viewed by 413
Abstract
This study aims to investigate the predictive value of pre-treatment multi-phasic contrast-enhanced computed tomography (CECT) radiomic features for treatment resistance in patients with rat sarcoma virus (RAS)-mutated colorectal liver metastases (CRLMs) receiving bevacizumab-based chemotherapy. Seventy-three samples with RAS-mutated CRLMs receiving bevacizumab-combined chemotherapy regimens [...] Read more.
This study aims to investigate the predictive value of pre-treatment multi-phasic contrast-enhanced computed tomography (CECT) radiomic features for treatment resistance in patients with rat sarcoma virus (RAS)-mutated colorectal liver metastases (CRLMs) receiving bevacizumab-based chemotherapy. Seventy-three samples with RAS-mutated CRLMs receiving bevacizumab-combined chemotherapy regimens were evaluated. Radiomic features were extracted from arterial phase (AP), portal venous phase (PVP), AP-PVP subtraction image, and Delta phase (DeltaP, calculated as AP-to-PVP ratio) images. Three groups of radiomics features were extracted for each phase, including peritumor, core tumor, and whole-tumor regions. For each of the four phases, a two-sided independent Mann–Whitney U test with the Bonferroni correction and K-means clustering was applied to the remnant features for each phase. Subsequently, the Least Absolute Shrinkage and Selection Operator (LASSO) algorithm was then applied for further feature selection. Six machine learning algorithms were then used for model development and validated on the independent testing cohort. Results showed peritumoral radiomic features and features derived from Laplacian of Gaussian (LoG) filtered images were dominant in all the compared machine learning algorithms; NB models yielded the best-performing prediction (Avg. training AUC: 0.731, Avg. testing AUC: 0.717) when combining all features from different phases of CECT images. This study demonstrates that peritumoral radiomic features and LoG-filtered pre-treatment multi-phasic CECT images were more predictive of treatment response to bevacizumab-based chemotherapy in RAS-mutated CRLMs compared to core tumor features. Full article
Show Figures

Graphical abstract

23 pages, 3644 KB  
Article
Anti-Photoaging Effect of Soluble Microneedles Loaded with Hydroxytyrosol
by Jie Wang, Gaofei Zhu, Mengke Han, Xinyu Hou, Yishu Wang, Xiuhua Zhang, Jinhua Zhang, Huarong Shao and Fei Liu
Int. J. Mol. Sci. 2026, 27(2), 1005; https://doi.org/10.3390/ijms27021005 - 20 Jan 2026
Viewed by 380
Abstract
Skin photoaging, marked by structural and functional changes, is mainly caused by long-term ultraviolet (UV) exposure. This study sought to create hydroxytyrosol (HT)-loaded soluble microneedles (HT MNs) and thoroughly assess their anti-photoaging effects and underlying mechanisms in vitro and in vivo. The optimized [...] Read more.
Skin photoaging, marked by structural and functional changes, is mainly caused by long-term ultraviolet (UV) exposure. This study sought to create hydroxytyrosol (HT)-loaded soluble microneedles (HT MNs) and thoroughly assess their anti-photoaging effects and underlying mechanisms in vitro and in vivo. The optimized HT MNs, featuring tips with 10% HT + 5% hyaluronic acid (HA) and a backing layer of 10% polyvinyl pyrrolidone (PVP), demonstrated robust mechanical strength (withstanding an axial force of 10 N without fracture), adequate penetration depth (>200 μm), and efficient skin self-recovery post-removal. In vitro, HT MNs notably boosted cell viability, reduced reactive oxygen species (ROS) levels, and suppressed senescence-associated β-galactosidase (A-β-Gal) expression in UVA-exposed human skin fibroblasts (HSF). In vivo, in a UVA + UVB-irradiated mouse model, HT MNs significantly enhanced skin hydration and elasticity, increased collagen density (confirmed by Masson staining), decreased malondialdehyde (MDA) content, and elevated the activities of glutathione (GSH), catalase (CAT), and glutathione peroxidase (GSH-Px). Western blot analysis further revealed that HT MNs upregulated the expression of collagen type I alpha 1 (COL1A1), elastin (ELN), hyaluronan synthase 2 (HAS2), and filaggrin (FLG), while downregulating matrix metalloproteinase 1. Overall, these findings suggest that HT MNs effectively mitigate UV-induced photoaging through antioxidant, anti-senescence, and extracellular matrix (ECM)-regulating mechanisms, underscoring their potential as a novel transdermal anti-photoaging therapy. Full article
(This article belongs to the Section Molecular Biology)
Show Figures

Graphical abstract

22 pages, 8827 KB  
Article
Assessment of Offshore Solar Photovoltaic and Wind Energy Resources in the Sea Area of China
by Yanan Wu, Yang Bai, Qingwei Zhou and He Wu
Energies 2026, 19(2), 458; https://doi.org/10.3390/en19020458 - 16 Jan 2026
Viewed by 364
Abstract
Against the backdrop of China’s “dual carbon” targets, the energy transition is accelerating. However, the expansion of onshore renewables is often constrained by land scarcity. Offshore areas thus present a promising alternative. In this study, high-resolution wind field data from 1995 to 2024 [...] Read more.
Against the backdrop of China’s “dual carbon” targets, the energy transition is accelerating. However, the expansion of onshore renewables is often constrained by land scarcity. Offshore areas thus present a promising alternative. In this study, high-resolution wind field data from 1995 to 2024 were generated using the WRF model driven by ERA5 reanalysis, enabling a 30-year spatiotemporal assessment of offshore wind power density (at 160 m hub height) and photovoltaic potential (PVP) across China’s four major seas—the Bohai Sea, Yellow Sea, East China Sea, and South China Sea. The results show clear spatial and seasonal patterns: solar PV potential decreases from south to north, with the South China Sea exhibiting the highest and most stable annual average PVP (16–18%) and summer peaks exceeding 25%. Wind energy resources are spatially heterogeneous; the East China Sea and Taiwan Strait are identified as the richest zones, where wind power density frequently reaches 800–1800 W/m2 during autumn and winter. Importantly, a pronounced seasonal complementarity is observed: wind peaks in autumn/winter while solar peaks in spring/summer at representative coastal sites. This study provides, for the first time, a long-term, integrated assessment of both offshore wind and solar resources over all four Chinese seas, offering quantitative data and a scientific basis for differentiated marine energy planning, optimized siting, and the design of wind–solar hybrid systems. Full article
Show Figures

Figure 1

22 pages, 1324 KB  
Article
Dissolvable Face Mask with Liposomal Licorice Extract and Kojic Acid: An Innovative Approach for Skin Brightening
by Theerada Taesotikul, Supusson Pengnam, Thapakorn Charoenying, Boonnada Pamornpathomkul, Prin Chaksmithanont, Prasopchai Patrojanasophon and Chaiyakarn Pornpitchanarong
Cosmetics 2026, 13(1), 21; https://doi.org/10.3390/cosmetics13010021 - 14 Jan 2026
Viewed by 593
Abstract
This study developed a biodegradable dissolvable face mask incorporating liposomal kojic acid (KA) and licochalcone A from licorice extract (LE) to enhance skin delivery and performance. Liposomes were prepared by thin-film hydration method. The film matrix, composed of PVA/PVP/PEG400/HA, was optimized using factorial [...] Read more.
This study developed a biodegradable dissolvable face mask incorporating liposomal kojic acid (KA) and licochalcone A from licorice extract (LE) to enhance skin delivery and performance. Liposomes were prepared by thin-film hydration method. The film matrix, composed of PVA/PVP/PEG400/HA, was optimized using factorial design to achieve suitable mechanical strength and rapid dissolution. The optimized mask, containing liposomal KA (1% w/v) and licochalcone A (0.025% w/v), was evaluated for antioxidant activity, ex vivo skin deposition, and short-term efficacy (Approval from the Institutional Review Board of Silpakorn University, Thailand; Ethics Approval No. REC 67.1001-146-7726/COA 68.0320-013 Date of registration: 20 March 2025). The optimized liposomes exhibited a mean particle size of 66–72 nm, entrapment efficiency above 65%, and a zeta potential of −12.5 mV (licochalcone A) and −1.67 mV (KA). Liposomal licochalcone A and KA showed potent antioxidant activity compared to their native forms. The optimized film dissolved within approximately 15 min on moist skin and showed favorable handling properties. Ex vivo studies revealed significantly higher skin deposition of both KA and licochalcone A from the liposomal mask compared with free and liposomal dispersions (p < 0.05). In a 7-day clinical evaluation, the mask significantly improved skin hydration and reduced melanin index (p < 0.05). No irritation or adverse reactions were observed, and user satisfaction was high. This liposomal dissolvable mask offered an effective, well-tolerated, and eco-friendly approach to enhancing skin brightness and hydration, supporting its potential as a sustainable cosmeceutical innovation. Full article
(This article belongs to the Section Cosmetic Formulations)
Show Figures

Graphical abstract

Back to TopTop