Next Article in Journal
The Impact of Sports Drink Exposure on the Colour Stability of Restorative Materials: A Systematic Review
Previous Article in Journal
Comprehensive Insights into Friction Stir Butt Welding (FSBW) of 3D-Printed Novel Nano Chromium (Cr) Particles-Reinforced PLA Composites
Previous Article in Special Issue
Microtensile Bond Strength of Composite Restorations: Direct vs. Semi-Direct Technique Using the Same Adhesive System
 
 
Font Type:
Arial Georgia Verdana
Font Size:
Aa Aa Aa
Line Spacing:
Column Width:
Background:
Article

Patterns of Degradation of Binary Mixtures of Ultrafine Fibers Based on Poly-(3-Hydroxybutyrate) and Polyvinylpyrrolidone Under the Action of Ozonolysis

by
Svetlana G. Karpova
1,
Anatoly A. Olkhov
2,3,
Ekaterina P. Dodina
1,2,
Ivetta A. Varyan
1,2,
Yulia K. Lukanina
1,4,
Natalia G. Shilkina
1,3,
Valery S. Markin
3,
Anatoly A. Popov
1,2,
Alexandr V. Shchegolkov
5,* and
Aleksei V. Shchegolkov
6,*
1
Department of Biological and Chemical Physics of Polymers, Emanuel Institute of Biochemical Physics, Russian Academy of Sciences, 4 Kosygina Street, Moscow 119334, Russia
2
Academic Department of Innovational Materials and Technologies Chemistry, Plekhanov Russian University of Economics, 36 Stremyanny Lane, Moscow 117997, Russia
3
Semenov Federal Research Center for Chemical Physics Academy of Science, Kosygina St. 4, Moscow 119991, Russia
4
Lomonosov Institute of Fine Chemical Technologies, Russian Technological University, Moscow 119454, Russia
5
Institute of Power Engineering, Instrumentation and Radioelectronics, Tambov State Technical University, Tambov 392000, Russia
6
Center for Project Activities, Advanced Engineering School of Electric Transport, Moscow Polytechnic University, Moscow 107023, Russia
*
Authors to whom correspondence should be addressed.
J. Compos. Sci. 2026, 10(2), 73; https://doi.org/10.3390/jcs10020073
Submission received: 25 October 2025 / Revised: 23 January 2026 / Accepted: 25 January 2026 / Published: 1 February 2026

Abstract

To obtain data on the effects of ozonolysis on the structural and dynamic parameters of ultrafine fibers based on the binary compositions of poly-(3-hydroxybutyrate) (PHB) and polyvinylpyrrolidone (PVP) with varying ratios of polymer components ranging from 0/100 to 100/0 mass%, produced by electrospinning, a study was conducted. The morphology and structural–dynamic characteristics of the ultrafine fibers were examined. Comprehensive research was carried out, combining thermophysical measurements (DSC), dynamic measurements using an electron paramagnetic resonance (EPR) technique, scanning electron microscopy, and infrared spectroscopy. The influence of the mixture’s composition and ozonolysis on the degree of crystallinity of PHB and the molecular mobility of the TEMPO radical (tetramethylpiperidine-1-oxyl) in the amorphous regions of the PHB/PVP fiber material was demonstrated. The low-temperature maximum on the DSC thermograms provided information about the fraction of hydrogen bonds in the mixed compositions, allowing for the enthalpy of thermal destruction of these bonds in both the original and oxidized samples to be determined. The study showed significant changes in the degree of crystallinity of PHB, the enthalpy of hydrogen bond destruction, molecular mobility, moisture absorption of the compositions, and the activation energy of rotational diffusion in the amorphous regions of the PHB/PVP mixed compositions. It was established that within the 50/50% PHB/PVP ratio, an inversion transition occurs from the dispersion material to the dispersion medium. Ozonolysis induces a sharp change in the material’s structure. The conducted research provided the first opportunity to assess the impact of ozonolysis on the structural and dynamic characteristics of PHB/PVP ultrafine fibers at a molecular level. These materials may serve as a therapeutic system for controlled drug delivery.

1. Introduction

Today, most scientific research and practical developments are devoted to the use of biodegradable compositions in biomedicine, the packaging industry, and solving environmental problems [1,2,3]. It is known that mixing a number of polymers not only significantly improves performance but also contributes to the emergence of new physico-chemical composition parameters that were not inherent in the original components. An effective way to control the macromolecular structure of materials is the formation of composite materials from mixed polymer solutions [4]. Natural polymers are highly effective biostimulants characterized by a high degree of biocompatibility with the human body, which activate the protective mechanisms of the body [5]. These polymers are used to create drug delivery systems, including controlled-release ones, sutures, endoprostheses, and wound dressings, as well as matrices for tissue engineering in surgery, cosmetology, traumatology, dentistry, oncology, and many other fields of medicine [6].
The main representative of the natural polyesters of the polyhydroxyalkanoate family, poly (3-hydroxybutyrate) (PHB), along with its beneficial properties, has a number of undesirable characteristics, such as high cost and fragility. The advantage of PHB is that it can be produced by enzymatic synthesis using microorganisms and is completely biodegradable compared to other degradable polymers [7]. PHB has good biodegradability, so the polymer is widely used to increase the biodegradability and recyclability of protective clothing, especially during a pandemic [8,9]. These biomaterials are characterized by the ability to break down after performing their functions. The desire to improve the properties of PHB and expand the scope of its application led to the modification of materials and the creation of composite materials [10,11,12].
Various fillers are added to the polymer matrix of PHB to obtain a polymer with the desired properties [13,14,15,16]. Polyvinylpyrrolidone has a number of physical, chemical, and biological properties that are necessary for its practical application. As the molecular weight of PVP increases, its chemical resistance increases. A special and unusual property of PVP is its solubility, both in water and in various organic solvents, since the polymer has both hydrophilic and hydrophobic functional groups. However, the high sensitivity of PVP to moisture limits its use. This problem is solved by mixing PVP with moisture-resistant polymers such as PHB, polylactide, polycaprolactone, etc., while maintaining the biodegradability of the material.
Of particular interest is the inclusion of PVP in electroformed fibrous materials suitable for various medical and pharmaceutical applications, since this nonionic polymer is biocompatible, biodegradable, and nontoxic [17]. PVP is used to produce rapidly soluble nanofibers for electroplating, as well as to increase the dissolution rate of poorly soluble drugs in water [18,19,20].
The large surface area of the fibrous material increases the rate of dissolution of the injected drug, thereby potentially increasing its bioavailability [21]. It is also known that an amorphous polymer such as PVP is able to interact with drugs and transfer them to an amorphous state [22]. The special properties associated with their nanoscale size ensure a longer drug release period, thereby improving their therapeutic effect and reducing their cytotoxic effects [23]. Fibrillar matrices and mats formed by nanofibers are actively used in the development of biosensors and nanofilters, for wound treatment, for enzyme immobilization, for creating systems for prolonged and targeted drug delivery, and in other fields of modern biology and medicine [24,25].
Interactions such as hydrogen bonds, dipole–dipole interactions, and interactions caused by electrostatic forces occur in polymer compositions [26,27]. These should be taken into account, since intermolecular interactions can affect the structure of the system and the kinetics of the absorption and release of the encapsulated drug. The mesomeric structure of PVP allows for the formation of hydrogen bonds between pyrrolidone rings in the presence of moisture, as indicated by the O-H stretching band in PVP in the range of 3200–3700 cm−1 [27]. In this work, the occurrence of strong intermolecular interactions, such as hydrogen bonds, was reported. It has been shown that the formation of hydrogen bonds leads to a decrease in the free volume of the polymer matrix [26]. Hao and Li found that the formation of a large number of hydrogen bonds can reduce the rate of drug release [28]. In fact, the interaction between the drug and the matrix is a key factor influencing the release of the drug. It was shown in [29] that, due to its chemical structure, PVP forms complexes with many polymers through hydrogen bonds. It has been proven that fibrous materials based on PVP are suitable for the delivery of biologically active compounds that are poorly soluble in water, since PVP reduces the formation of crystals in biologically active compounds and increases the rate of their dissolution in an aqueous medium [30,31]. A large surface area usually increases the rate of dissolution of the injected drug, thereby potentially increasing its bioavailability [32]. Due to its unusual properties, PVP acquires many new uses. Recently, studies of PHB-based fibrous materials containing chitosan [25], graphene oxide [33], and polylactide [16,34], as well as iron (III), zinc porphyrin, magnesium porphyrin, and porphyrin complexes [15,35,36,37], have shown the effect of low-molecular-weight additives and the mixing of various components.
The processes of biodegradation, oxidation, and hydrolysis are significantly influenced not only by the morphology of the surface of the film or fibrous material, but also by the structural organization of the amorphous and crystalline phases formed in the volume of the composite [26,38]. By changing the composition of the PHB/PVP mixture and, consequently, changing the morphology and structure of the polymer, composite mixtures with different physico-chemical characteristics can be obtained.
The combination of dynamic and structural methods is an effective way to assess the state of the amorphous and crystalline phases of polymers and their mixtures, allowing for a more complete assessment of the characteristics of PHB/PVP mixtures. To form matrices with the specified properties, it is necessary to establish the relationship between the composition of mixtures of ultrathin PHB/PVP fibers, their morphology, and their structural organization.
The effects of oxygen, ozone, and ultraviolet radiation on the polymer, water absorption, and the action of microorganisms can cause significant changes in the polymer structure. Moreover, these factors can act simultaneously or sequentially. The study of the effect of ozone on medical materials and products is of great interest, since ozonation is an effective method of sterilizing medical devices. Currently, a series of studies on the ozonolysis of PHB fibers with additives has shown that the chemical structure of the additive, its concentration, and the size of the particles introduced into the PHB structure determine the nature of the changes in the molecular dynamics of the polymer [13,14,16,34,39]. However, the effect of ozonolysis on the structural and dynamic parameters of PHB and compositions based on them remains insufficiently studied at present.
The purpose of this work is to determine the diameter and geometry of the cross-section of fibers based on PHB/PVP polymers, to carry out a comparative analysis of the effect of the composition of the mixture obtained by electroplating, and to identify the effect of ozonolysis on the structural and dynamic parameters of the polymer compositions under study using EPR, DSC, and IR spectroscopy.

2. Materials and Methods

The study examined composite materials based on biodegradable polymers—poly(3-hydroxybutyrate) and polyvinylpyrrolidone (PVP). To obtain fibers, a natural biodegradable polymer, poly(3-hydroxybutyrate) series 16F, obtained by microbiological synthesis by BIOMER (Krailling, Germany), was used. The starting polymer is a white finely dispersed powder. The molecular weight of PHB is Mw = 4.6 × 105 g/mol, density d = 1.248 g/cm3. PVP (Central Drug House (CDH) Corp., New Delhi, India) (Mw = 3 × 105 g/mol; density = 1.2 g/cm3). When obtaining fibers via electroforming, the solvent CHCl3 was used (chemically pure, PJSC Khimprom, Novocheboksarsk, Russia). Electroformations were performed using a single-capillary laboratory unit (manufactured by the L.Ya. Karpov Institute of Physics and Technology, Moscow, Russia) with the following parameters: voltage 17 kV, capillary diameter 0.7 mm, distance from capillary to precipitation electrode 18 cm.
Polymer solutions were prepared for the manufacture of fibers with different ratios of PHB polymers: PVP—100:0, 97:3, 91:9, 83:17, 65:35, 50:50, 30:70, 20:80, 10:90, 0:100 mass%. Polymer ratios were selected based on a fractional study of the effect of low concentrations of PVP on the structure and the sorption properties of PHB fibers. In the molding solution, the polymer concentration was always 7 wt.%. This concentration was selected experimentally and is optimal from the point of view of a stable electroforming process. The viscosity of polymer solutions with different polymer ratios ranged from 1.5 to 3.5 Pa·s. The electrical conductivity of the polymer solutions was in the range of 2–4 microns/cm.
X-band electron paramagnetic resonance (EPR) spectra were recorded on an automated EPR-B spectrometer (FIC HF RAS, Moscow, Russia). The microwave power did not exceed 1 mW to avoid saturation effects. The modulation amplitude was always significantly less than the resonance line width and did not exceed 0.5 Hz. A stable nitroxyl radical TEMPO (tetramethylpiperidine-1oxyl) was used as a spin probe. The radical was introduced into the fibers from the gas phase at a temperature of 60 °C for one hour. The concentration of the radical in the polymer was determined by integrating the EPR spectra; a vacuum solution of TEMPO in CCl4 with a radical concentration of ~1 × 10−3 mol/L served as a reference.
To determine the experimental correlation time spectra of nitroxyl radical rotation in the range 5 × 10−11 < τ < 1 × 10−9, it is convenient to use the following ratio [40]:
τ = ΔH+ × [(I +/I−)0.5 − 1] × 6.65 ×10−10
where ΔH+ is the width of the spectrum component located in a weak field, I+/I− is the ratio of the intensities of the components in weak and strong fields. The measurement error τ was ±5%. In the interval 1 × 10−9 < τ < 7 × 10−9, the correlation times can be calculated as follows. First, the effective (approximate) correlation time is found from the experimental spectrum using the formula presented above, and then the true correlation time is determined using a nomogram [41].
The radical was introduced into the fibers from the gas phase at a temperature of 80 °C for one hour. The concentration of the radical in the polymer was determined by integrating the EPR spectra. The reference standard was a vacuum solution of TEMPO in CCl4 with a radical concentration of ~1 × 10−3 mol/L. The equilibrium concentration of the adsorbed radical in samples of the studied compositions of equal mass was calculated using WIN-EPR SIMFONIA software, version 1.2, is a product from Bruker (Billerica, MA, USA). During the recording of the spectra, the amplification was recorded, the sample was weighed, and then the concentration of the radical in each sample was calculated using OriginPro 2025b software.
The samples were studied by DSC using a DSC 204 F1 device from Netzsch (Netzsch GmbH & Co., KG, Selb, Germany) in a nitrogen atmosphere at a heating rate of 10 K/min. The average statistical error in measuring thermal effects was ±3%. The polymer sample weight was 0.02–0.03 g.
The geometry of fibrous materials was studied by electron microscopy (SEM) using a Hitachi TM-1000 scanning electron microscope (Hitachi Ltd., Tokyo, Japan) at an accelerating voltage of 20 kV. A layer of gold with a thickness of 100–200 Ǻ was sprayed onto the surface of a sample of nonwoven fibrous material.
The moisture absorption of the PHB/PVP-blended fibers was measured using the weight method (McBen scales with a quartz spiral; spiral sensitivity—1.36 mm/mg). For the experiment, a sample measuring ≈ 5 × 3 cm and weighing between 60 and 100 mg was cut from a large mat obtained by electroforming. To measure water vapor sorption, the sample was suspended on a quartz spiral and placed in a thermostated vacuum column of a special isothermal vacuum gravimetry apparatus. To remove water, which is always present in the fiber at natural room humidity, the column was evacuated for 1 h using an oil fore-vacuum pump to a pressure of 0.1 mm Hg. The column was then disconnected from the pump and connected to a filling cylinder at a saturated vapor pressure depending on the temperature. The elongation of the quartz spiral due to the increase in the weight of the suspended sample was recorded using a cathetometer. After reaching sorption equilibrium (the spiral stops elongating), the column was disconnected from the filling cylinder, and the water vapor pressure in the cylinder itself was increased. Then, the column was reconnected to the filling cylinder and moisture absorption was recorded at increased water vapor pressure. This procedure (interval sorption) was repeated until the water vapor activity in the cylinder reached 0.8–0.9. Thus, for each pressure interval, a kinetic sorption curve (the dependence of weight gain on time) could be constructed and moisture absorption at the same pressure could be calculated. The water diffusion coefficient was calculated from the kinetic curve in each pressure interval, and the sorption isotherm (the dependence of moisture absorption on water vapor activity) was constructed from the interval moisture absorption values. The diffusion coefficient was calculated using the following formula:
D = (tgαL2)/5.784
where tgα is the tangent of the slope angle of the diffusion kinetic curves, calculated using the standard equation [42]
tgα = (Δln × (1 − ΔN/ΔN∞))/(Δt × 60)
L—average fiber diameter (μm); 5.784—coefficient including the value of π and time dimensions.
The hydrogen bond content in the fibers was determined using IR Fourier spectroscopy. The research was conducted using equipment from the Center for New Materials and Technologies at the Institute of Bioorganic Chemistry and Physics of the Russian Academy of Sciences, Spectrum 100 IR Fourier spectrometer (PerkinElmer, Inc., Shelton, CT, USA). HATR sampling accessory with HATR ZnSe plate was used for the IR spectroscopy study. The spectra were obtained with a resolution of 2 cm−1, in the range of 4000–650 cm−1. Each spectrum requires eight scans (data collection time is 60 s). Background spectra were obtained before scanning each sample. This paper presents the absorption spectra using the transmission spectra (T) obtained on a PerkinElmer Spectrum 100 spectrometer, which can be converted to absorption spectra (A) using the instrument’s software (A = log10 (1/T)).
To determine the hydrogen bond content, the band in the range of 3400 cm−1 was considered (its area was recorded) [43,44]. The ozonation of samples was carried out for a certain period of time at atmospheric pressure and T = (20 ± 2) °C in an atmosphere of an ozone–oxygen mixture with a partial ozone concentration equal to 5.0 × 10−5 mol/L.

3. Results and Discussion

3.1. Influence of Composition on Fiber Geometric Parameters

Figure 1 shows micrographs of the studied composite compositions. Fibers with a high concentration (91–100%) of PHB (Figure 1A,B) have multiple thickenings in the form of elongated ellipses with a longitudinal size of 25–30 μm and a transverse size of 10–15 μm. The average diameter of the cylindrical sections is in the range of 2–3 μm. The appearance of thickenings is explained by the low electrical conductivity of the polymer solutions (2–4 μS/cm), and the high crystallization ability of PHB. A different morphology is observed in the nonwoven fibrous material PVP (Figure 1B). The material consists of alternating fibers and film structures. The average fiber diameter ranges from 2 to 5 μm. This complex morphology of the material is due to the suboptimal molecular weight of PVP. Additionally, the electroforming process is unstable, and the fiber formation process alternates with the electrostatic dusting process, resulting in the formation of film structures. As we have shown earlier [45], the fiber formation process is influenced by both the polymer concentration and its molecular weight, under certain parameters in which three types of processes are realized: droplet formation, simultaneous droplet and fiber formation, and a stable fiber formation process. In our case, we are dealing with a transient process of fiber formation, which is accompanied by a partial transition of fibrous structures into droplets due to a low concentration of molecular meshes. With an increase in the concentration of PVP in mixtures, the geometry of the fibers is leveled, which is explained by the high level of interaction of polymers in solution with the formation of intermolecular bonds like hydrogen bonds. Due to intermolecular interaction, additional molecular meshes are created and the number of thickenings on the fibers decreases dramatically.
A different morphology is observed in the nonwoven fibrous PVP material (Figure 1F). The material contains alternating fibers and film structures. The average diameter of the fibers ranges from two to five microns. This complex morphology of the material is due to the suboptimal molecular weight of PVP. In this case, the electroforming process is unstable and the fibrous formation process alternates with the process of droplet formation and coagulation, resulting in the formation of film structures. We analyzed this interaction in an earlier article [46]. These processes are observed in mixtures with a high concentration (70–100%) of PVP, as shown in Figure 1E,F. The average diameter of the fibers in the mixtures ranges from 0.5 to 5 microns (standard deviation +/− 0.6 microns). The conformation and average size of the thickenings are in the range of 25–100 microns (standard deviation +/− 0.6 microns).

3.2. Thermal Characteristics of PHB/PVP Compositions Before and After Ozonolysis

An effective way to assess the state of amorphous and crystalline phases of polymers and their mixtures is to combine dynamic and structural research methods. The combination of structural and dynamic methods allows for a more complete assessment of the structural evolution of the PHB/PVP mixture. To form matrices with specified properties, it is necessary to establish the relationship between the composition of the mixture of ultrafine PHB/PVP fibers and their morphology and structural organization.
Figure 1. Micrographs of nonwoven fibrous materials based on PHB–PVP mixtures: 100:0—(A); 91:9—(B); 65:35—(C); 50:50—(D); 30:70—(E); 0:100—(F).
Figure 1. Micrographs of nonwoven fibrous materials based on PHB–PVP mixtures: 100:0—(A); 91:9—(B); 65:35—(C); 50:50—(D); 30:70—(E); 0:100—(F).
Jcs 10 00073 g001
The study of processes occurring in polymers and polymer mixtures under the influence of ozonolysis is very important from the point of view of practical use, since polymer products are exposed to aggressive factors in the environment. It is known that various types of external influences on polymers are powerful initiators of physical and chemical processes in polymer materials. However, the effect of such an active oxidant as ozone on the morphology and behavior of products obtained on the basis of these biopolymers remains insufficiently studied at present.
When mixing two polymers, PHB and PVP, along with changes in the morphology of the fiber material, changes in their thermophysical and structural–dynamic characteristics should be expected.
In this work, the crystalline phase of ultrathin PHB fibers in a binary PHB/PVP composition was studied by DSC both before and after ozonolysis.
For example, Figure 2 shows thermograms of heating compositions with a ratio of 83/17, 50/50, and 30/70% (PHB/PVP) for binary systems before and after ozonolysis. A series of DSC thermograms for samples of different compositions showed that in all mixed compositions of fiber material (with the exception of compositions 100/0, 97/3, 95/5, and 0/100 PHB/PVP), both before and after ozonolysis, there are two peaks on the DSC thermograms. The first peak corresponds to the cleavage of hydrogen bonds, and the second peak corresponds to the melting of the PHB homopolymer.
Table 1 presents data on PHB crystallinity (χ), enthalpy (∆H), hydrogen bond cleavage temperature (Th), and melting temperature of the PHB crystalline fraction (Tm) as a function of system composition before and after ozonolysis.
Figure 3 shows the dependencies of χ PHB and enthalpy (∆H) of hydrogen bond destruction on the composition of the system before and after ozonolysis.
Let us consider the binary system PHB/PVP before ozonolysis. Easily crystallizable PHB exhibits an asymmetric endothermic melting peak (Tm) at 176.7 °C, indicating a fairly wide distribution of crystallites in terms of both the size and degree of perfection. The degree of crystallinity of PHB in a mixture with a PVP content of up to 5% increases (from 55.8 to 69.8%), and when a higher PVP content of up to 50% is present in the system, it begins to decrease sharply (to 48.3%). The “crystallinity–mixture composition” curve includes a break in the range of compositions of 50/50% PHB/PVP, and when there is a higher PVP content in the mixture, the crystallinity of PHB changes rather weakly (Figure 3).
At low concentrations of PVP in the structure of ultrafine fibers, this polymer is distributed in the form of tiny particles, which are centers of crystallization due to the intermolecular interactions between the components of the mixture, which causes a significant increase in χ. At higher concentrations of PVP, the molecules segregate into particles of sufficient size to form a crystalline structure and can no longer act as crystallization centers, but form a dispersed phase with the formation of interphase layers. The presence of intermolecular interactions between PHB and PVP molecules and the formation of an increasing proportion of interphase layers with increasing PVP concentration in the system prevents PHB crystallization in the fiber. Therefore, as the PVP concentration increases, the degree of PHB crystallinity decreases.
The melting point of PHB is 176.4 °C, and in mixed compositions of ultrathin fibers it is ~175 °C. As the PVP content increases, the shift in Tm values to lower temperatures is due to the influence of its molecules on the crystallization process of biopolyester, since there is an intermolecular interaction between polymers. With an increase in the content of PVP in the mixture, a change in the melting point of PHB, as well as its crystallinity, towards lower values is observed. This change indicates that the crystalline phase of PHB becomes less perfect in the binary mixture under study. During crystallization, polyvinylpyrrolidone molecules act as a steric obstacle to the ideal packing of polyester molecules in crystallites and also form hydrogen bonds, and the higher the PVP content, the greater this effect (Figure 3).
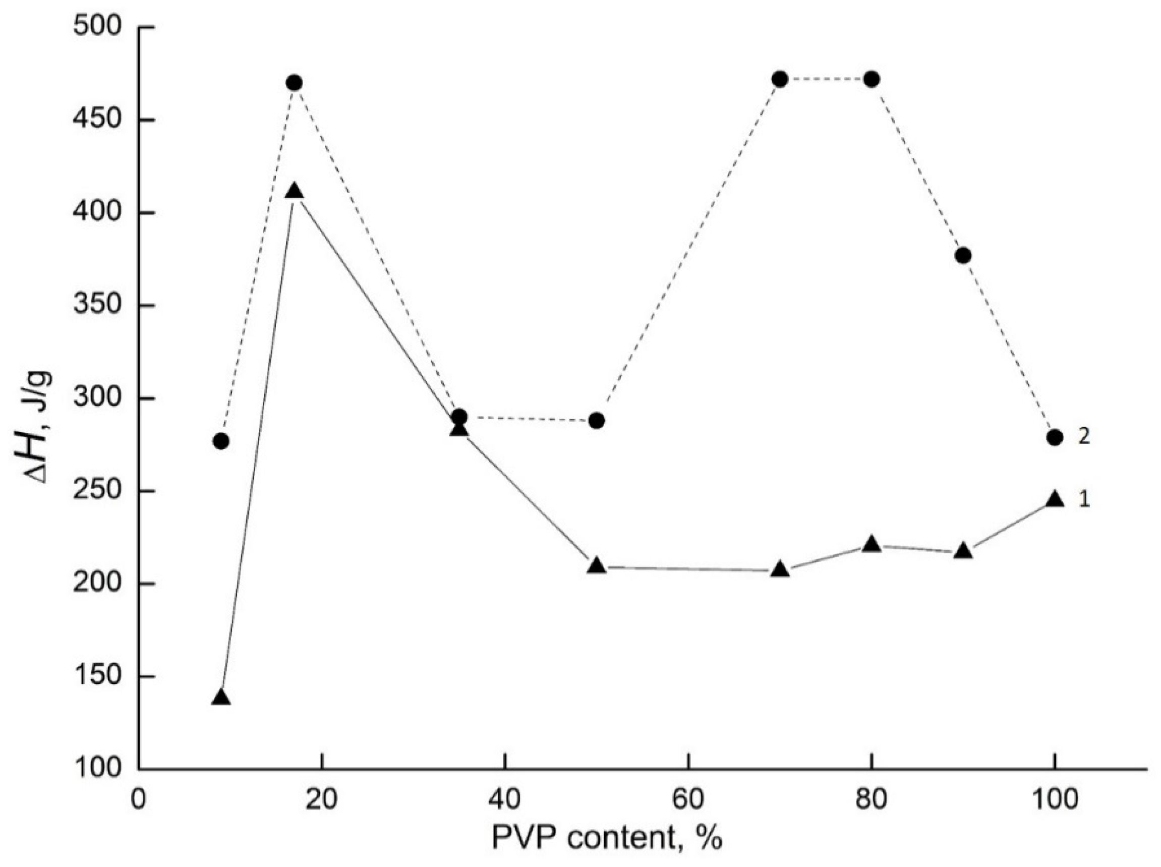
If we assume that hydrogen bonds are formed only in PVP, then the dependence of ∆H on the composition will be a straight line parallel to the x-axis. However, such a dependence is observed only in the range from 50 to 100% PVP, and the concentration of hydrogen bonds remains practically unchanged (Figure 4). When the concentration of PHB in the system increases from 50 to 83%, a sharp increase in ∆H is observed, and with higher concentrations of PHB in the mixture, this parameter decreases sharply. When PHB is added to the composition, a new type of polymer interaction appears, which results from the formation of hydrogen bonds between the PVP and PHB groups. We assume that when PHB is added to the composition its interaction with PVP molecules can destroy the previously formed hydrogen network in PVP. Earlier, we noted that phase inversion occurs in the 50/50% composition range. In the range from 50 to 100% PVP, the continuous phase is the hydrophilic PVP polymer, in which a network of hydrogen bonds is mainly formed. In compositions with a high PVP content, when PHB becomes the dispersed phase and the contact with PVP molecules is sharply reduced, the proportion of hydrogen bonds between PVP and PHB is sharply reduced. However, with an increase in the PHB fraction from 50 to 83% in the system, the enthalpy of hydrogen bond cleavage increases sharply (Figure 4), indicating the formation of hydrogen bonds between PVP and PHB groups.
A characteristic feature is the fact that moisture absorption by the system begins at precisely 83% PHB in the composition (Figure 5). It is the presence of water molecules in the system that causes the formation of hydrogen bonds, as confirmed by an experiment using a binary composition of 30/70% PHB/PVP. While the endotherms of heating in this mixture had two melting peaks during the first scan, no hydrogen bond cleavage peaks were observed during the second scan, which indicates that hydrogen bonds are formed only when water molecules are present in the system. The maximum formation of such bonds occurs in compositions of precisely 83/17% PHB/PVP and is due, in our opinion, to the fine distribution of the PVP phase in the system when there is a high number of contact points between the two polymers, and the result of such an interaction is a sharp increase in ∆H. The peak position of the DSC curve corresponding to the cleavage of hydrogen bonds decreases from 80.1 to 54 °C with an increase in the concentration of PHB in the composition, which indicates a weaker interaction during the formation of hydrogen bonds, and also indicates the formation of such a bond between the PHB and PVP groups (Table 1). The DSC curves also show that the temperature range for the destruction of hydrogen bonds lies within a wide range of 30–120 °C.
The results obtained, such as the thermal characteristics of the PHB/PVP system and the nature of their changes depending on the composition of the components, enable us to draw a preliminary conclusion that there is a certain range of polymer concentrations (50/50% range), through which the transition is accompanied by a phase inversion. It is in the 50/50% concentration range that the geometric parameters of the composition fibers change dramatically (Figure 1). If a strong and dense network of hydrogen bonds is formed in the initial PVP, with a high content in mixed compositions, which holds water molecules well, then when more than PHB molecules are introduced at a rate of over 50%, there is a sharp increase in ∆H, reflecting the formation of additional hydrogen bonds during the interaction between PVP and PHB molecules. Although this interaction appears to be weaker than the energy of PVP hydrogen bonds, it can nevertheless also lead to a change in the free volume in the system, which in turn should affect the molecular dynamics of macromolecules; this will be analyzed further using the EPR method.
Thus, the obtained dependencies of thermal characteristics indicate that when PHB is mixed with PVP (up to 9%), the crystal structure of PHB becomes more perfect, and the proportion of crystallites increases as a result of the additional crystallization of the smallest PVP particles. At higher PVP concentrations (9–50%), the fiber structure undergoes changes, PVP molecules segregate into larger formations and form a discrete phase in the PHB structure, interphase layers are formed, and the degree of crystallinity decreases due to intermolecular interactions between PVP and PHB molecules. In the range of 17–100% PVP in the mixture, a network of hydrogen bonds is formed.
Now let us consider the effect of ozonolysis on the thermophysical properties of the ultrathin fibers under study. When biomedical materials are used, ozone affects their structure alongside the mechanical and thermal influences. Firstly, ozone is formed during the operation of powerful electrical devices that support the vital functions of patients during surgical operations, as well as during therapy or monitoring in hospitals. Secondly, in some specific cases, ozone continues to be used for the sterilization of medical devices. Despite the daily contact of this aggressive compound with polymers, the effect of such an active oxidant as ozone on their morphological and structural characteristics remains an understudied area of polymer materials science.
The effect of ozonolysis at a temperature of 22 °C on the structure of PHB/PVP fibrous material has been studied. An amorphous–crystalline system always strives for a minimum amount of free energy. This process is facilitated when intermolecular interaction decreases (the structure loosens at elevated temperatures, during destruction, etc.). Loose amorphous areas relax to a supercooled melt state, and crystalline areas relax to a minimum free energy by changing their dimensions, primarily their longitudinal dimensions. ΔG = ΔH − TΔS.
Ozone oxidation affects the polymer structure in two ways. Two parallel and opposite processes occur: an increase in chain rigidity and an increase in their flexibility. The tendency of a macromolecule to straighten and reorient or to curl into a ball is determined by the conformational criterion β* = h/L = √2/k (where h is the average distance between the ends of the chains, L is the contour length of the chain, and k is the number of segments). Chains with β > β* tend to reorient, while macromolecules with β < β* tend to adopt a tangle conformation. It is known that the following are oxidized at a high rate: (1) loops on end surfaces are oxidized at the highest rate due to their high stresses and, having large values of β, are straightened under the influence of ozone; (2) under conditions where steric hindrances are partially removed, chains with a high degree of straightness adopt more straightened conformations; (3) as a result of the strengthening of intermolecular interactions during the formation of oxygen-containing groups in the side chains during ozonolysis, the coefficient β increases, and the degree of chain-straightening increases. All these processes cause an increase in the degree of crystallinity χ. At the same time, the processes of macromolecule destruction and their transition to a sufficiently folded conformation take place.
The Table 1 and Figure 3 and Figure 4 show the data for χ PHB, enthalpy (ΔH), and hydrogen bond-breaking temperature (TBD) for the system composition after ozonolysis.
As can be seen from Figure 3, after ozonolysis for 25 min, the proportion of the crystalline fraction in compositions with PHB content of up to 50% increases. Moreover, in PHB and a system with 3% PVP, χ increases by ~3%, and at a higher concentration of PHB in the mixture, by ~12%. This difference is explained by the presence of interphase layers in mixed compositions with a lower packing density compared to the homopolymer, where the chains are oxidized at an increased rate and a more intensive process of polymer chain pre-orientation takes place. A decrease in the proportion of crystalline formations also increases the accessibility of amorphous polymer regions to ozone exposure. Similar results were obtained when studying the effect of ozonolysis on the structure of ultrathin PHB/PLA fibers [14,16].
In the 50/50% composition range, phase inversion occurs, and when the PVP content exceeds 50%, this hydrophilic polymer becomes the continuous phase in the system, while PHB becomes the discrete phase. In this concentration range, the opposite pattern is observed: the proportion of the crystalline fraction decreases sharply and reaches 24.6% in compositions with a PVP content of 90% (Figure 3). It can be assumed that as the concentration of PHB in the system decreases, its distribution is carried out by increasingly finer formations, and ozone increasingly destroys PHB, resulting in a sharp decrease in the proportion of crystallites. It is important to note that if, in a system with a PHB content of up to 50%, this polymer is in an oriented state, then in a system with a concentration of less than 50%, this polymer is in an isotropic state with a low content of dense structures based on oriented chains, which causes a sharp decrease in the degree of crystallinity in the mixture during ozonolysis.
An unusual pattern is observed with the concentration of hydrogen bonds in mixtures of the studied polymers after ozone exposure. When PVP is added at a rate of up to 50%, the enthalpy of destruction of these bonds in the fibers has a pronounced maximum at a PHB/PVP ratio of 83/17% both before and after ozonolysis. It is at this ratio of components that the sorption of water molecules into the system is observed, as shown in Figure 5. As in the initial samples, the formation of hydrogen bonds occurs not only in PVP, but also between PHB and PVP groups. With an increase in PVP concentration, the proportion of such bonds decreases (Figure 3). However, in compositions with a higher PVP content (>50%), a sharp jump in the enthalpy of hydrogen bond cleavage is observed in the system, which provides a reason to believe that a high proportion of bonds are formed between the PVP and PHB groups, since the enthalpy of destruction in PVP almost did not change after ozonolysis. It can be assumed that in PHB, due to the breakage of the main chain during ozonolysis, there is a decrease in the average molecular weight, which leads to an increase in segmental mobility due to the removal of conformational restrictions and, as a result, a high concentration of hydroxyl groups is formed and the probability of hydrogen bond formation increases (Figure 4).
If the enthalpy of hydrogen bond destruction in the initial samples (50 < PVP < 100%) is in the range of 244–210 J/g, then after ozonolysis it shows a wider range of values, from 230 to 472 J/g. In the range 0 < PVP < 50%, the nature of the change in ΔH hydrogen bond-breaking before and after ozonation is identical, but the enthalpy values needed to break these bonds after ozonolysis are higher (Table 1, Figure 3). As noted earlier, a characteristic feature of the presented dependencies (in the range 0 < PVP < 50%) is that the maximum value of ΔH occurs at 17% PVP. It is at a ratio of 93/17% PHB/PVP that the system begins to sorb water (Figure 5), the source of hydrogen bond formation. Moreover, after ozonolysis, compositions with a PVP content >50% have a higher moisture absorption rate than the initial systems, which contributes to an increase in the concentration of hydrogen bonds (Figure 4).
With a decrease in the concentration of PVP, the temperature peak in hydrogen bond rupture and enthalpy shift to the lower temperature regions. Thus, 100% PVP forms a dense network of hydrogen bonds that hold water molecules. After the introduction of PHB into the compositions, a decrease in enthalpy is observed, which leads to a decrease in the concentration of such bonds and, consequently, a decrease in the integral heat of their rupture. The effects that we observe regarding changes in the structural features of the PHB mixture/PVP will probably lead to a change in the segmental mobility of polymers. These changes will be further analyzed by the EPR method.
The position of the DSC curve after ozonolysis, which is responsible for the destruction of hydrogen bonds and shifts from 71 to 58 °C with an increase in the proportion of PHB in the system. The DSC curves show that the destruction of hydrogen bonds at low PVP concentrations in the system occurs in the range from 30 to 90 °C, while when there is higher PVP content in the mixture (>50%), this process occurs in a wider range—from 40 to 140 °C.
Thus, the study of the structural features of fibrous material systems has shown that both the crystalline fraction and the concentration of hydrogen bonds tend to change significantly during the formation of PHB/PVP fibrous material. The ozone oxidation of ultrathin PHB/PVP fibers has a strong effect on the fiber structure and is accompanied by significant changes.
The obtained dependencies of thermal characteristics indicate that, both before and after ozone oxidation in mixtures of PHB with PVP up to 9%, the crystal structure of PHB becomes more perfect, and the proportion of crystallites increases as a result of the additional crystallization on the smallest PVP particles. At higher concentrations of 9 < PVP < 50%, the fiber structure undergoes changes and crystallinity decreases sharply as PVP molecules segregate into larger formations and form a discrete phase in the PHB structure, alongside the formation of voluminous interphase layers due to the strong intermolecular interaction between the components of the mixture. Ozone oxidation for up to 25 min leads to an increase in the degree of crystallinity of PHB compared to unoxidized polymers in the concentration range 0 < PHB < 50% and, most significantly, in samples 9 < PVP < 50%, since oxidation in loose interphase layers proceeds at a higher rate. It is the presence of such interphase formations that contributes to the more intense oxidation compared to the initial polymers, with a predominance of pre-orientation processes and, as a result, pre-crystallization.
There is a certain concentration range of 50/50% during which the transition is accompanied by phase inversion, i.e., the continuous phase of PHB transitions into the dispersed phase. The opposite picture is observed at a PHB concentration < 50%, when ozonolysis of the fiber causes a sharp decrease in the degree of PHB crystallinity. In such mixtures, PHB is a discrete phase and is in an isotropic state. Destruction processes prevail in such a system, accompanied by a decrease in the degree of crystallinity, which is more significant at lower PHB concentrations in the composition due to the increasingly fine distribution of PHB in the mixture structure. Extreme dependencies of the concentration of hydrogen bonds on the composition of the system have been obtained. The dependence of the enthalpy of hydrogen bond cleavage in the initial systems on the composition has one extremum at a ratio of 83/17% PHB/PVP, and after ozone oxidation, two extrema in the range of 83/17% and 30/70% PHB/PVP. This can be explained by the destruction of PVP and PHB chains and the accumulation of terminal hydroxyl fragments and, as a result, the intensive formation of hydrogen H-bonds.
The enthalpy of hydrogen bond-breaking in PVP after ozonolysis changed very little. The observed effects of the structural features of the PHB/PVP mixture’s composition should change the segmental mobility of polymers; this will be analyzed further using the EPR method.

3.3. Study of the Surface of PHB/PVP Fiber Material Using Ir Spectroscopy

The surface structure of ultrathin PHB, PVP, and mixture fibers was monitored using IR Fourier spectroscopy with the MIPI (multiple interrupted total internal reflection) method in the range of 4000–650 cm−1. To determine the hydrogen bond content, the band in the range from 3433 to 3334 cm−1 was considered (its area was recorded). Figure 6 shows the IR spectra of the studied polymers.
A peak characterizing the presence of hydrogen bonds is observed in PVP fibers and blended compositions. If peaks occur at 3334–3406 cm−1, a significant increase in PHB concentration (more than 50%) in the mixed composition is accompanied by a significant increase in frequency, which indicates the formation of hydrogen bonds, which are characterized by weaker interaction compared to the interaction in PVP. As noted earlier, when more than 50% PHB is added to the fiber material, an additional network of hydrogen bonds is formed between the PHB and PVP groups, resulting in a shift in the hydrogen bond band to higher frequencies (Figure 6). These bonds on the surface of the fibrous material are formed, with weaker interaction compared to the formation of hydrogen bonds in PVP. After ozonolysis, peaks are observed in the polymers, characterizing the presence of hydrogen bonds at a frequency lower than in the initial polymers, which indicates an increase in intermolecular interaction during the formation of the hydrogen bond network (Figure 7).
The result obtained can be explained by the increase in the molecular dynamics of macromolecule segments after ozone destruction, when the density of destroyed macromolecule areas, and consequently the hydrogen bond network, increases.
Based on the curves shown in Figure 7, it can be concluded that the MNVPO method also indicates the presence of breaks in the curves in the 50/50% composition range, as well as the presence of an additional network of hydrogen bonds between PVP and PHB in this range with a PHB concentration >50%.

3.4. Dynamic Characteristics of the Amorphous Phase of Mixed Compositions of PHB/PVP Fiber Material Before and After Ozonolysis

In partially crystalline polymers, the structure of amorphous regions is largely determined by the influence of their crystalline phase. Consequently, mixing highly crystalline (PHB) and non-crystallizing (PVP) polymers changes not only the degree of crystallinity of the biopolyester, but also the molecular dynamics in the amorphous regions. To study molecular mobility, the EPR method was used with the stable nitroxide radical TEMPO, which acts as a molecular probe.
Let us consider the influence of the PHV/PVP mixture composition on the dynamics of polymer molecules. It is known that the amorphous phase is a set of structures characterized by different packing densities and macromolecule conformations and, accordingly, different molecular dynamics of polymer chains. The EPR spectra of the radical in the PHB matrix and in mixed compositions have a complex appearance (see, for example, Figure 8), due to the distribution of paramagnetic molecules by rotational mobility [47,48]. The software [49] allows for one to take into account the anisotropy of the rotational mobility of radicals, the continuous (log-normal) distribution of paramagnetic molecules by rotational diffusion coefficients, and the high-frequency, low-amplitude oscillations of molecules near the equilibrium position—quasi-libration. It is known that the amorphous phase is a set of structures characterized by different packing densities and different molecular dynamics of polymer chains. The EPR spectrum is a superposition of the spectra of radicals located in different regions of the amorphous phase which, therefore, have different mobilities.
The correlation time was determined from the characteristics of the EPR spectra. The EPR spectra of the radical in the matrices of the PHB homopolymer and the PHB/PVP binary system represent a superposition of two spectra corresponding to two populations of radicals with characteristic correlation times of τ1 and τ2 (where τ1 characterizes molecular mobility in denser amorphous regions (slow component) and τ2 in less dense ones (fast component), which is due to the heterogeneous structure of amorphous regions and the different distribution of the probe radical due to the rotational mobility in the polymer matrix (Figure 8).
Previously, in order to determine the rotational mobility characteristics of probe molecules, a computer simulation of EPR spectra was performed using the BrDistr program [49]. It should be noted that computer modeling of the EPR spectra of low-molecular dopants in polymers in the rotational correlation time range of 10−7–10−8 s is a very costly procedure. In addition, the specificity of this work is related to the qualitative analysis of changes in radical mobility depending on composition and external influences, rather than the interpretation of the exact values of rotational mobility parameters. For this reason, we needed to introduce a parameter that would qualitatively characterize the rotational mobility of radicals and be sufficiently sensitive to small changes in the shape of the spectrum. In [49], it is shown that the greatest difference in the spectra is observed in the region of high-field and low-field components, so we chose the characteristic rotational correlation time, calculated using the well-known formula presented earlier (1), as the spectrum shape parameter.
The change in crystallinity causes a change in the density of chain packing and their conformation in amorphous regions and, as a result, an increase (or decrease) in molecular dynamics τ.
Let us consider the influence of the PHB/PVP mixture composition and ozonolysis time on the dynamics of polymer molecules.
Figure 8 shows the EPR spectra of the TEMPO nitroxyl radical in PHB/PVP samples.
Figure 9 shows the dependence of correlation times τ on the composition of the mixture at different ozone oxidation times. The data obtained by the EPR method demonstrate the effect of ozonolysis duration on molecular dynamics in PHB/PVP fibers.
Let us consider the change in τ in mixed compositions in a binary mixture of PHB/PVP. It is known that the polymer components of a crystallizing system mutually influence both the crystallization processes and the amorphous component, leading to changes in diffusion-transport characteristics, the effect of oxidation/ozonolysis, hydrolysis, and the thermal stability of composite films and fibers [14,16,25,33,34,36,49,50]. The structure of PHB is characterized by high rigidity; therefore, τ has fairly high values (~107.8 × 10−10 s). The dependence of the correlation time on the composition is extreme. An increase in the concentration of PVP to 5% causes a significant increase in this parameter. It is in this range that the proportion of crystalline regions in the composition increases, which is accompanied by an increase in the proportion of straightened chains in amorphous interlayers. As a result, the molecular dynamics in the intercrystalline regions slow down.
A further increase in PVP concentration, up to 50%, is accompanied by an increase in molecular dynamics, which correlates well with the data presented in the previous section on the degree of crystallinity. In the PVP concentration range from 9 to 50%, interphase, fairly loose layers are formed, which lead to an increase in molecular dynamics (averaged over the entire amorphous phase). Parallel to the processes of the growth and destruction of crystalline structures, hydrogen bonds are formed, which strengthen intermolecular interactions and, as a result, slow down molecular dynamics. However, experimentally, there is an increase in molecular dynamics, which indicates the predominance of processes that loosen the amorphous phase.
It is at a ratio of precisely 17/83% PHB/PVP that moisture absorption and the formation of a network of hydrogen bonds begin. Since a strong decrease in τ is experimentally observed in the composition range 9 < PHB < 50%, it can be assumed that the effect of loosening the structure of the mixture prevails over the increase in the rigidity of the system due to the formation of hydrogen bonds.
The characteristic point of the compositions (50/50%) is clearly visible on the curves in Figure 6. The nature of the change in the thermal and dynamic characteristics of the PHB/PVP binary system depending on the composition of the polymer components allows us to conclude that there is a certain concentration range, 50/50%, at which transition is accompanied by phase inversion, i.e., when the continuous PHB phase turns into a dispersed one. With a higher PVP content in the mixture (more than 50%), when the continuous phase is the hydrophilic PVP polymer, the dependence of τ on the composition of the system also has a pronounced maximum at a ratio of 40/60% PHB/PVP, which indicates the predominant influence of hydrogen bond network formation over decompaction processes on molecular dynamics. The dependence of τ on the composition of the system is extreme. When 60% PVP is added to the composition, a slowdown in molecular dynamics is observed compared to the 50/50% mixture, and with a further increase in the PVP content, the correlation time begins to gradually decrease (Figure 9).
As noted earlier, at a PVP concentration > 50%, when this hydrophilic polymer is a continuous phase, rapid moisture absorption begins (Figure 4) and a network of hydrogen bonds forms, resulting in a slowdown in the molecular dynamics of chains in the amorphous phase. The glassy dense network of the PVP polymer prevents the effective penetration of radicals into its amorphous structure, which is confirmed by the downward curve of the radical concentration with an increase in the proportion of PVP in the system, as shown in Figure 9.
Let us consider the effect of ozonolysis on the dynamics of macromolecules in a mixture. First, let us consider the effect of the degree of oxidation on molecular dynamics in the concentration range 0 < PHB < 50%. It is important to note that in this concentration range, PHB is in an oriented state with a high proportion of chains in a straightened conformation. During ozone oxidation, two opposite processes occur simultaneously: chain destruction followed by an increase in molecular dynamics, and the accumulation of oxygen-containing groups on the side chains of the polymer, accompanied by an increase in intermolecular interaction and an increase in chain stiffness, followed by a slowdown in segmental mobility. The rupture of straightened chains, which are reoriented in the process, also leads to an increase in τ. Another aspect leading to an increase in τ is the rupture and straightening of chains at the end surfaces of crystallites (due to the highest stresses being found at the end surfaces of crystallites). All these components cause an increase in τ during the ozonolysis of the system.
Figure 8 shows the dependence of correlation time τ on the composition of the mixture at different ozone oxidation times. The mixtures were exposed to ozonolysis for 15, 25, 50, and 80 min. The ‘correlation time–composition’ curve includes a gap in the range of compositions 50/50% PHB/PVP. Let us consider the nature of these dependencies in the range 0 < PHB < 50%. Oxidation causes an increase in the correlation time in polymers after ozonolysis for 15 and 25 min for all compositions in this concentration range, which indicates a slowdown in molecular dynamics, i.e., the process of increasing the proportion of straightened chains in the amorphous regions of the fiber and the formation of a network of hydrogen bonds as a result of the oxidation of side groups and subsequent cross-linking prevails.
Similar patterns have been identified, as shown earlier, in the dependence of χ on the composition of the mixture in this concentration range. It can be concluded that ozonolysis of the system in a short time interval contributes not only to an increase in the degree of crystallinity, but also to an increase in the density of amorphous regions, an increase in the proportion of straightened macromolecule segments, an increase in chain rigidity and, as a result, a slowdown in molecular dynamics. The results obtained indicate the predominance of physical cross-linking and macromolecule orientation processes over destruction processes.
With a longer oxidation time in the mixture’s composition, there is a tendency for τ to decrease. Consequently, with an oxidative exposure of 0–25 min, processes involving the straightening of macromolecules and an increase in their rigidity predominate. During longer ozonolysis periods, destruction processes become more intense, prevailing over pre-orientation processes and being accompanied by an increase in molecular dynamics. The data in the Table 1 show that the formation of a network of hydrogen bonds occurs mainly in PVP, without significantly affecting segmental dynamics in the concentration range 0 < PHB < 50%.
Data on radical concentration in samples were obtained (Figure 9). Both before and after ozonolysis, the radical concentration decreases sharply, despite a significant increase in molecular dynamics, which indicates a loosening of the amorphous structure. This can be explained by the glassy state of PVP when the radical is mainly concentrated in the PHB and in the interphase layers. After ozonolysis, the radical concentration in the presented range significantly decreased, which is explained by an increase in the degree of crystallinity in this interval of polymer compositions. It is important to note that the ‘radical concentration–mixture composition’ curve also experiences a break.
In the concentration range 50 < PVP < 100%, the continuous phase is the hydrophilic polymer PVP. If biopolyester is a hydrophobic polymer and moisture absorption is characterized by fairly low indicators in the range from 0 to 50%, then at PVP concentrations above 50%, these indicators increase sharply, especially after ozonolysis of the system, which contributes to the formation of hydrogen bonds, which, in turn, compact the structure of amorphous regions (Figure 4). After ozonolysis for 25 min, moisture absorption increases (by ~20%), the concentration of low-molecular fragments increases and, as a result, an additional network of hydrogen bonds is formed, not only in PVP, but also between PHB and PVP groups, resulting in increased chain stiffness in the fiber, as evidenced by the increase in correlation time. It is characteristic that in PVP, the concentration of hydrogen bonds after ozone oxidation changed extremely little.
The previous section showed that after ozonolysis for 25 min, the concentration of crystalline areas of biopolyester after ozonolysis decreased sharply in the range of 50 < PVP < 100%, which indicates destruction not only in amorphous areas, but also in crystalline formations. It is important to note that at a concentration of PHB < 50%, this polymer is in an isotropic state. As a result of ozonolysis, a large number of low-molecular-weight fragments of PHB and PVP chains are formed in the system, which leads to an increase in segmental mobility due to the removal of conformational restrictions. As a result, the concentration of hydrogen bonds increases sharply (Figure 3) and the density of the network of these bonds increases (Figure 6). The intensity of growth τ in this concentration range increases significantly with increasing duration of ozonolysis (Figure 8). It should also be noted that the structure of biopolyester in the range 50 < PVP < 100% is in an isotropic state and the pre-orientation processes are minimal after oxidation; therefore, the destruction processes cause an increase in the molecular dynamics of low-molecular fragments with a high concentration of hydroxyl groups, which in turn causes an increase in the intensity of hydrogen bond formation. This is particularly evident in fibers with a sufficiently high concentration of biopolyester (40–30%).
In the range of compositions exceeding 50% PVP, the radical concentration after ozone oxidation becomes higher compared to unoxidized fibers, which is probably due to the predominance of processes increasing the proportion of amorphous areas.
Thus, the ozonolysis of PHB/PVP blends showed that short ozone exposure times (up to 25 min) on the structure of fibrous material (0 < PVP < 50%) lead to an increase in the density of amorphous areas of the polymer, which is due to the processes of pre-orientation and the intermolecular physical cross-linking of chains. With longer exposure times to ozonolysis, processes leading to the loosening of amorphous regions and, as a result, to an increase in molecular dynamics, prevail, and these changes are caused by the predominance of destruction processes in the amorphous phase of the fiber. In the range 50 < PVP < 100%, throughout the entire ozonolysis time interval, the correlation time increases, which indicates an increase in chain rigidity due to the formation of an extensive network of hydrogen bonds after the destruction of macromolecules.
As the duration of fiber material oxidation increases, so does the concentration of hydrogen bonds and, as a result, molecular dynamics slow down more noticeably.
Additional information on the dynamic behavior of PHB/PVP systems of various compositions was obtained by studying the temperature dependence of the radical rotation rate and determining the corresponding activation energies Eτ. The equilibrium concentration of the radical (C) adsorbed in samples of fibers of equal mass was calculated using WIN-EPR SIMFONIA software, version 1.2, is a product from Bruker. This dependence is shown in Figure 10.
A characteristic feature of Eτ as a function of the percentage content of PVP in PHB is a sharp increase in this parameter with small additions of PVP to the PHB structure (Figure 10). Such a sharp jump in the values of the probe rotation activation energy when small concentrations of PVP are introduced is probably associated not only with an increase in the crystallinity of the system (increase in specific melting enthalpy, see Table 1), but also with a change in the state of the intercrystalline polymer phase, where, as previously reported, an increase in the content of denser areas was observed. With an increase in the concentration of polyvinylpyrrolidone in the composition, the Eτ values decrease, and at a PVP concentration of more than 50%, there is a sharp increase in this parameter due to the formation of a denser amorphous structure (formation of a network of hydrogen bonds). After ozone oxidation for 25 min, an increase in Eτ values is observed.
The obtained dependencies correlate well with the previously obtained dependencies, τ, χ, on the composition of the mixture.
The nature of the temperature dependencies varies depending on the composition of the mixture. In systems with a high concentration of PHB, the correlation time of the radical at the initial stage of heating the polymer to 40 °C increases, which indicates the thawing of increasingly dense amorphous regions.
Thus, an increase in the concentration of PVP in the mixture to 9% (when the degree of crystallinity increases and molecular dynamics decreases) causes an increase in the activation energy of the radical. Changes in the activation energy of probe rotation upon the introduction of PVP are associated with a change in the state of the intercrystalline amorphous interlayer. The increase in activation energy can be explained by the formation of a denser amorphous phase in the mixture due to the formation of crystallites on polyvinylpyrrolidone particles. With a higher PHB content in the mixture, a decrease in this parameter is observed, and in the region of 50/50% PHB/PVP compositions, similarly to the previously presented patterns, χ, ΔH, τ, Cpaд, there is a break in this dependence.

4. Conclusions

This work presents the results of structural and dynamic studies combining EPR, DSC, and IR spectroscopy methods, showing the influence of the composition of the PHB/PVP mixture and ozone oxidation on the degree of crystallinity, the enthalpy of hydrogen bond-breaking, and the molecular dynamics of macromolecules in the amorphous regions of ultrathin fibers. The intermolecular interaction between PHB and PVP determines the degree of structural changes in the fiber. This work shows the following:
-
Small additions of PVP (up to 5% inclusive) to the structure of PHB fiber material cause a significant increase in the degree of crystallinity and a slowdown in molecular dynamics.
-
Higher concentrations of PVP (in the range from 9 to 50%) in the system lead to a sharp decrease in these parameters, which is explained by the formation of interphase regions.
-
Ozonolysis (for 25 min) in this concentration range causes an increase in the degree of crystallinity and a decrease in molecular dynamics in the fiber material. In the concentration range above 50% PVP, there is a sharp decrease in crystallinity after ozonolysis, while in unoxidized polymers this parameter remained practically constant. Ozonolysis of fibers (in the concentration range 0 < PHB < 50%) leads to an increase in the rigidity of amorphous regions at the initial stage of oxidation, followed by an increase in molecular mobility at deeper degrees of oxidation.
-
The molecular mobility of chains in systems with a PVP concentration > 50% slows down sharply with increasing ozonolysis time (across the entire time range) and is particularly significant in systems with 60 and 70% PVP, which is due to the formation of hydrogen bonds in the composition.
These studies have made it possible, for the first time, to interpret the effect of the aggressive factor ozone on the structural and dynamic characteristics of PHB/PVP fibers at the molecular level.
In this work, crystallinity measurements were performed using the DSC method on a DSC204 F1 device manufactured by Netzsch, Selb, Germany (Center for Collective Use of the Institute of Biochemical Physics of the Russian Academy of Sciences, New Materials and Technologies).

Author Contributions

Conceptualization, S.G.K. and A.A.O.; software, E.P.D., I.A.V. and Y.K.L.; formal analysis, S.G.K.; investigation, A.V.S. (Aleksei V. Shchegolkov); resources, A.V.S. (Alexandr V. Shchegolkov); data curation, I.A.V. and E.P.D.; writing—original draft preparation, N.G.S., V.S.M. and A.A.P.; writing—review and editing, N.G.S., V.S.M. and A.A.P.; visualization, A.V.S. (Aleksei V. Shchegolkov); supervision, N.G.S., V.S.M. and A.A.P.; project administration, A.V.S. (Alexandr V. Shchegolkov); funding acquisition, A.V.S. (Aleksei V. Shchegolkov). All authors have read and agreed to the published version of the manuscript.

Funding

This work (Aleksei V. Shchegolkov and Alexandr V. Shchegolkov) was carried out with the financial support of the Ministry of Science and Higher Education of the Russian Federation (State Assignment of the Ministry of Education and Science of the Russian Federation FZRR-2024-0003).

Data Availability Statement

The data presented in this study are available on request from the first author.

Conflicts of Interest

The authors declare no conflicts of interest.

Abbreviations

The following abbreviations are used in this manuscript:
AOatomic oxygen
BPNbronze powder needle
CBcarbon black
CNMcarbon nanomaterials
CNTcarbon nanotubes
CVDchemical vapor deposition
HDPEhigh-density polyethylene
ITRinterphase thermal resistance
MWCNTmulti-walled carbon nanotubes
PDMSpolydimethylsiloxane
SEMscanning electron microscopy
TEMtransmission electron microscopy
PAPaluminum pigment powder
PCMpolymer conductive composites
PTCpositive temperature coefficient of resistance
WPUwaterborne polyurethane

References

  1. Wu, F.; Misra, M.; Mohanty, A.K. Challenges and New Opportunities on Barrier Performance of Biodegradable Polymers for Sustainable Packaging. Prog. Polym. Sci. 2021, 117, 101395. [Google Scholar] [CrossRef]
  2. Luzi, F.; Puglia, D.; Torre, L. Natural Fiber Biodegradable Composites and Nanocomposites: A Biomedical Application. In Biomass, Biopolymer-Based Materials, and Bioenergy: Construction, Biomedical, and Other Industrial Applications; Woodhead Publishing: Cambridge, UK, 2019. [Google Scholar]
  3. Corsi, I.; Venditti, I.; Trotta, F.; Punta, C. Environmental Safety of Nanotechnologies: The Eco-Design of Manufactured Nanomaterials for Environmental Remediation. Sci. Total Environ. 2023, 864, 161181. [Google Scholar] [CrossRef] [PubMed]
  4. Su, F.; Iwata, T.; Tanaka, F.; Doi, Y. Crystal Structure and Enzymatic Degradation of Poly(4-Hydroxybutyrate). Macromolecules 2003, 36, 6401–6409. [Google Scholar] [CrossRef]
  5. Volova, T.G.; Boyandin, A.N.; Prudnikova, S.V. Biodegradation of Polyhydroxyalkanoates in Natural Soils. J. Sib. Fed. Univ. Biol. 2015, 2, 152–167. [Google Scholar] [CrossRef]
  6. Pieja, A.J.; Rostkowski, K.H.; Criddle, C.S. Distribution and Selection of Poly-3-Hydroxybutyrate Production Capacity in Methanotrophic Proteobacteria. Microb. Ecol. 2011, 62, 564–573. [Google Scholar] [CrossRef]
  7. Nobes, G.A.R.; Marchessault, R.H.; Maysinger, D. Polyhydroxyalkanoates: Materials for Delivery Systems. Drug Deliv. J. Deliv. Target. Ther. Agents 1998, 5, 167–177. [Google Scholar] [CrossRef]
  8. Ivanoska-Dacikj, A.; Stachewicz, U. Smart Textiles and Wearable Technologies-Opportunities Offered in the Fight against Pandemics in Relation to Current COVID-19 State. Rev. Adv. Mater. Sci. 2020, 59, 487–505. [Google Scholar] [CrossRef]
  9. De Sio, L.; Ding, B.; Focsan, M.; Kogermann, K.; Pascoal-Faria, P.; Petronela, F.; Mitchell, G.; Zussman, E.; Pierini, F. Personalized Reusable Face Masks with Smart Nano-Assisted Destruction of Pathogens for COVID-19: A Visionary Road. Chem.—Eur. J. 2021, 27, 6112–6130. [Google Scholar] [CrossRef]
  10. Borah, A.R.; Hazarika, P.; Duarah, R.; Goswami, R.; Hazarika, S. Biodegradable Electrospun Membranes for Sustainable Industrial Applications. ACS Omega 2024, 9, 11129–11147. [Google Scholar] [CrossRef]
  11. Ladhari, S.; Vu, N.N.; Boisvert, C.; Saidi, A.; Nguyen-Tri, P. Recent Development of Polyhydroxyalkanoates (PHA)-Based Materials for Antibacterial Applications: A Review. ACS Appl. Bio Mater. 2023, 6, 1398–1430. [Google Scholar] [CrossRef]
  12. Ferri, M.; Papchenko, K.; Degli Esposti, M.; Tondi, G.; De Angelis, M.G.; Morselli, D.; Fabbri, P. Fully Biobased Polyhydroxyalkanoate/Tannin Films as Multifunctional Materials for Smart Food Packaging Applications. ACS Appl. Mater. Interfaces 2023, 15, 28594–28605. [Google Scholar] [CrossRef]
  13. Karpova, S.G.; Ol’khov, A.A.; Zhul’kina, A.L.; Popov, A.A.; Iordanskii, A.L. Nonwoven Materials Based on Electrospun Ultrathin Fibers of Poly(3-Hydroxybutyrate) and Complex Tin Chloride–Porphyrin. Polym. Sci.—Ser. A 2021, 63, 369–381. [Google Scholar] [CrossRef]
  14. Karpova, S.G.; Varyan, I.A.; Olkhov, A.A.; Popov, A.A. A Feature of the Crystalline and Amorphous Structure of Ultra Thin Fibers Based on Poly(3-Hydroxybutyrate) (PHB) Containing Minor Concentrations of Hemin and a Complex of Tetraphenylporphyrin with Iron. Polymers 2022, 14, 4055. [Google Scholar] [CrossRef] [PubMed]
  15. Karpova, S.G.; Chumakova, N.A.; Lobanov, A.V.; Olkhov, A.A.; Vetcher, A.A.; Iordanskii, A.L. Evaluation and Characterization of Ultrathin Poly(3-Hydroxibutirate) Fibers Loaded with Tetraphenylporphyrin and Its Complexes with Fe(III) and Sn(IV). Polymers 2022, 14, 610. [Google Scholar] [CrossRef] [PubMed]
  16. Karpova, S.G.; Ol’khov, A.A.; Popov, A.A.; Zhulkina, A.L.; Kosenko, R.Y.; Iordanskii, A.L. Study of the Effect of External Factors on the Structural and Dynamic Parameters of Film Materials Based on Poly(3-Hydroxybutyrate) and Polyactide. Nanobiotechnol. Rep. 2021, 16, 211–221. [Google Scholar] [CrossRef]
  17. Palmeiro-Sánchez, T.; O’Flaherty, V.; Lens, P.N.L. Polyhydroxyalkanoate Bio-Production and Its Rise as Biomaterial of the Future. J. Biotechnol. 2022, 348, 10–25. [Google Scholar] [CrossRef]
  18. Franco, P.; De Marco, I. The Use of Poly(N-Vinyl Pyrrolidone) in the Delivery of Drugs: A Review. Polymers 2020, 12, 1114. [Google Scholar] [CrossRef]
  19. Kurakula, M.; Koteswara Rao, G.S.N. Moving Polyvinyl Pyrrolidone Electrospun Nanofibers and Bioprinted Scaffolds toward Multidisciplinary Biomedical Applications. Eur. Polym. J. 2020, 136, 109919. [Google Scholar] [CrossRef]
  20. Teodorescu, M.; Bercea, M. Poly(Vinylpyrrolidone)—A Versatile Polymer for Biomedical and Beyond Medical Applications. Polym.-Plast. Technol. Eng. 2015, 54, 923–943. [Google Scholar] [CrossRef]
  21. Vrbata, P.; Berka, P.; Stránská, D.; Doležal, P.; Musilová, M.; Čižinská, L. Electrospun Drug Loaded Membranes for Sublingual Administration of Sumatriptan and Naproxen. Int. J. Pharm. 2013, 457, 168–176. [Google Scholar] [CrossRef]
  22. Li, X.; Kanjwal, M.A.; Lin, L.; Chronakis, I.S. Electrospun Polyvinyl-Alcohol Nanofibers as Oral Fast-Dissolving Delivery System of Caffeine and Riboflavin. Colloids Surf. B Biointerfaces 2013, 103, 182–188. [Google Scholar] [CrossRef]
  23. Ulubayram, K.; Calamak, S.; Shahbazi, R.; Eroglu, I. Nanofibers Based Antibacterial Drug Design, Delivery and Applications. Curr. Pharm. Des. 2015, 21, 1930–1943. [Google Scholar] [CrossRef]
  24. Michalak, M.; Kwiecień, M.; Kawalec, M.; Kurcok, P. Oxidative Degradation of Poly(3-Hydroxybutyrate). A New Method of Synthesis for the Malic Acid Copolymers. RSC Adv. 2016, 6, 12809–12818. [Google Scholar] [CrossRef]
  25. Karpova, S.G.; Ol’khov, A.A.; Iordanskii, A.L.; Lomakin, S.M.; Shilkina, N.S.; Popov, A.A. Structural Dynamic Properties of Nonwoven Composite Mixtures Based on Ultrafine Tissues of Poly(3-Hydroxybutyrate) with Chitosan. Russ. J. Phys. Chem. B 2016, 10, 687–698. [Google Scholar] [CrossRef]
  26. Weber, J.; Du, N.; Guiver, M.D. Influence of Intermolecular Interactions on the Observable Porosity in Intrinsically Microporous Polymers. Macromolecules 2011, 44, 1763–1767. [Google Scholar] [CrossRef]
  27. Rahma, A.; Munir, M.M.; Khairurrijal; Prasetyo, A.; Suendo, V.; Rachmawati, H. Intermolecular Interactions and the Release Pattern of Electrospun Curcumin-Polyvinyl(Pyrrolidone) Fiber. Biol. Pharm. Bull. 2016, 39, 163–173. [Google Scholar] [CrossRef]
  28. Hao, Y.M.; Li, K. Entrapment and Release Difference Resulting from Hydrogen Bonding Interactions in Niosome. Int. J. Pharm. 2011, 403, 245–253. [Google Scholar] [CrossRef]
  29. Hu, X.; Liu, S.; Zhou, G.; Huang, Y.; Xie, Z.; Jing, X. Electrospinning of Polymeric Nanofibers for Drug Delivery Applications. J. Control. Release 2014, 185, 12–21. [Google Scholar] [CrossRef]
  30. Xi, J.; Kong, L.; Gao, Y.; Gong, Y.; Zhao, N.; Zhang, X. Properties of Poly(3-Hydroxybutyrate-Co-3-Hydroxyhexanoate) Films Modified with Polyvinylpyrrolidone and Behavior of MC3T3-E1 Osteoblasts Cultured on the Blended Films. J. Biomater. Sci. Polym. Ed. 2005, 16, 1395–1408. [Google Scholar] [CrossRef]
  31. Gnatowski, A.; Sosnowski, M. Effect of PVP and Polybond Compatibilizers on Dynamic Properties of Polymer Blends Analyzed with DMTA. Adv. Sci. Technol. Res. J. 2018, 12, 36–40. [Google Scholar] [CrossRef]
  32. Ignatova, M.; Nachev, N.; Spasova, M.; Manolova, N.; Rashkov, I.; Naydenov, M. Electrospun 5-Chloro-7-Iodo-8-Hydroxyquinoline (Clioquinol)-Containing Poly(3-Hydroxybutyrate)/Polyvinylpyrrolidone Antifungal Materials Prospective as Active Dressings against Esca. Polymers 2022, 14, 367. [Google Scholar] [CrossRef] [PubMed]
  33. Karpova, S.G.; Olkhov, A.A.; Varyan, I.A.; Shilkina, N.G.; Berlin, A.A.; Popov, A.A.; Iordanskii, A.L. Biocomposites Based on Electrospun Fibers of Poly(3-Hydroxybutyrate) and Nanoplatelets of Graphene Oxide: Thermal Characteristics and Segmental Dynamics at Hydrothermal and Ozonation Impact. Polymers 2023, 15, 4171. [Google Scholar] [CrossRef] [PubMed]
  34. Olkhov, A.A.; Tyubaeva, P.M.; Vetcher, A.A.; Karpova, S.G.; Kurnosov, A.S.; Rogovina, S.Z.; Iordanskii, A.L.; Berlin, A.A. Aggressive Impacts Affecting the Biodegradable Ultrathin Fibers Based on Poly(3-Hydroxybutyrate), Polylactide and Their Blends: Water Sorption, Hydrolysis and Ozonolysis. Polymers 2021, 13, 941. [Google Scholar] [CrossRef] [PubMed]
  35. Karpova, S.G.; Olkhov, A.A.; Popov, A.A.; Iordanskii, A.L.; Shilkina, N.G. Characteristics of the Parameters of Superfine Fibers of Poly(3-Hydroxybutyrate) Modified with Tetraphenylporphyrin. Inorg. Mater. Appl. Res. 2021, 12, 44–54. [Google Scholar] [CrossRef]
  36. Karpova, S.G.; Ol’khov, A.A.; Chvalun, S.N.; Tyubaeva, P.M.; Popov, A.A.; Iordanskii, A.L. Comparative Structural Dynamic Analysis of Ultrathin Fibers of Poly-(3-Hydroxybutyrate) Modified by Tetraphenyl–Porphyrin Complexes with the Metals Fe, Mn, and Zn. Nanotechnol. Russ. 2019, 14, 367–379. [Google Scholar] [CrossRef]
  37. Karpova, S.G.; Ol’khov, A.A.; Krivandin, A.V.; Shatalova, O.V.; Lobanov, A.V.; Popov, A.A.; Iordanskii, A.L. Effect of Zinc–Porphyrin Complex on the Structure and Properties of Poly(3-Hydroxybutyrate) Ultrathin Fibers. Polym. Sci.—Ser. A 2019, 61, 70–84. [Google Scholar] [CrossRef]
  38. Raza, Z.A.; Abid, S.; Banat, I.M. Polyhydroxyalkanoates: Characteristics, Production, Recent Developments and Applications. Int. Biodeterior. Biodegrad. 2018, 126, 45–56. [Google Scholar] [CrossRef]
  39. Karpova, S.G.; Olkhov, A.A.; Bakirov, A.V.; Chvalun, S.N.; Shilkina, N.G.; Popov, A.A. Poly(3-Hydroxybutyrate) Matrices Modified with Iron(III) Complexes with Tetraphenylporphyrin. Analysis of the Structural Dynamic Parameters. Russ. J. Phys. Chem. B 2018, 12, 142–154. [Google Scholar] [CrossRef]
  40. Sysoeva, N.A.; Karmilov, A.Y.; Buchachenko, A.L. NMR in Paramagnetic Complexes of Radicals with Organic Ligands. Chem. Phys. 1976, 15, 321–330. [Google Scholar] [CrossRef]
  41. Vasserman, A.M.; Barashkova, I.I.; Yasina, L.L.; Pupov, V.S. Rotary and Progressive Diffusion of the Nitroxyl Radical in Amorphous Polymers. Polym. Sci. U.S.S.R. 1977, 19, 2389–2398. [Google Scholar] [CrossRef]
  42. Ol’khov, A.A.; Karpova, S.G.; Staroverova, O.V.; Kucherenko, E.L.; Ishchenko, A.A.; Iordanskii, A.L. Effect of External Factors on the Structure of Ultrathin Fibers of Poly(3-Hydroxybutyrate) and Dipyridamole. Fibre Chem. 2016, 48, 284–291. [Google Scholar] [CrossRef]
  43. Gladkova, O.L.; Parkhats, M.V.; Gorbachova, A.N.; Terekhov, S.N. FTIR Spectra and Normal-Mode Analysis of Chlorin E6 and Its Degradation-Induced Impurities. Spectrochim. Acta—Part A Mol. Biomol. Spectrosc. 2010, 76, 388–394. [Google Scholar] [CrossRef] [PubMed]
  44. Ol’khov, A.A.; Tyubaeva, P.M.; Zernova, Y.N.; Kurnosov, A.S.; Karpova, S.G.; Iordanskii, A.L. Structure and Properties of Biopolymeric Fibrous Materials Based on Polyhydroxybutyrate–Metalloporphyrin Complexes. Russ. J. Gen. Chem. 2021, 91, 546–553. [Google Scholar] [CrossRef] [PubMed]
  45. Ol’khov, A.A.; Staroverova, O.V.; Gol’dshtrakh, M.A.; Khvatov, A.V.; Gumargalieva, K.Z.; Iordanskii, A.L. Electrospinning of Biodegradable Poly-3-Hydroxybutyrate. Effect of the Characteristics of the Polymer Solution. Russ. J. Phys. Chem. B 2016, 10, 830–838. [Google Scholar] [CrossRef]
  46. Karpova, S.G.; Olkhov, A.A.; Varyan, I.A.; Dodina, E.P.; Lukanina, Y.K.; Shilkina, N.G.; Popov, A.A.; Vetcher, A.A.; Filatova, A.G.; Iordanskii, A.L. Structural Characterization and Segmental Dynamics Evaluation in Eco-Friendly Polymer Electrospun Fibers Based on Poly(3-hydroxybutyrate)/Polyvinylpyrrolidone Blends to Evaluate Their Sustainability. J. Compos. Sci. 2025, 9, 355. [Google Scholar] [CrossRef]
  47. Kamaev, P.P.; Aliev, I.I.; Iordanskii, A.L.; Wasserman, A.M. Molecular Dynamics of the Spin Probes in Dry and Wet Poly(3-Hydroxybutyrate) Films with Different Morphology. Polymer 2001, 42, 515–520. [Google Scholar] [CrossRef]
  48. Saalmueller, J.W.; Long, H.W.; Volkmer, T.; Wiesner, U.; Maresch, G.G.; Spiess, H.W. Characterization of the Motion of Spin Probes and Spin Labels in Amorphous Polymers with Two-Dimensional Field-Step ELDOR. J. Polym. Sci. Part B Polym. Phys. 1996, 34, 1093–1104. [Google Scholar] [CrossRef]
  49. Chernova, D.A.; Vorobiev, A.K. Molecular Mobility of Nitroxide Spin Probes in Glassy Polymers: Models of the Complex Motion of Spin Probes. J. Appl. Polym. Sci. 2011, 121, 102–110. [Google Scholar] [CrossRef]
  50. Aversa, C.; Barletta, M.; Cappiello, G.; Gisario, A. Compatibilization Strategies and Analysis of Morphological Features of Poly(Butylene Adipate-Co-Terephthalate) (PBAT)/Poly(Lactic Acid) PLA Blends: A State-of-Art Review. Eur. Polym. J. 2022, 173, 111304. [Google Scholar]
Figure 2. Thermogram of ultrafine fibers of PHB/PVP compositions, initial (a,c,e) and ozonated (b,d,f).
Figure 2. Thermogram of ultrafine fibers of PHB/PVP compositions, initial (a,c,e) and ozonated (b,d,f).
Jcs 10 00073 g002aJcs 10 00073 g002b
Figure 3. Dependence of χ (1, 2) and τ (3, 4) on composition: 2, 3—initial; 1, 4—oxidized fibers.
Figure 3. Dependence of χ (1, 2) and τ (3, 4) on composition: 2, 3—initial; 1, 4—oxidized fibers.
Jcs 10 00073 g003
Figure 4. Dependence of ∆H on the concentration of the PHB/PVP mixture: 1—initial; 2—oxidized sample (standard deviation +/− 3 J/g).
Figure 4. Dependence of ∆H on the concentration of the PHB/PVP mixture: 1—initial; 2—oxidized sample (standard deviation +/− 3 J/g).
Jcs 10 00073 g004
Figure 5. Dependence of moisture absorption on system composition: 1—initial; 2—oxidized fibers (standard deviation +/− 2%).
Figure 5. Dependence of moisture absorption on system composition: 1—initial; 2—oxidized fibers (standard deviation +/− 2%).
Jcs 10 00073 g005
Figure 6. IR spectra of mixed compositions of initial (a) and oxidized (b) polymers.
Figure 6. IR spectra of mixed compositions of initial (a) and oxidized (b) polymers.
Jcs 10 00073 g006
Figure 7. Dependence of hydrogen bonds on the composition of the system: 1—initial; 2—oxidized fibers.
Figure 7. Dependence of hydrogen bonds on the composition of the system: 1—initial; 2—oxidized fibers.
Jcs 10 00073 g007
Figure 8. Experimental EPR spectra of the TEMPO nitroxyl radical in a PHB/PVP mixture: 1—100/0; 2—97/3; 3—95/5; 4—91/9; 5—83/17; 6—65/35; 7—50/50; 8—40/60; 9—30/70; 10—20/80; 11—0/100%.
Figure 8. Experimental EPR spectra of the TEMPO nitroxyl radical in a PHB/PVP mixture: 1—100/0; 2—97/3; 3—95/5; 4—91/9; 5—83/17; 6—65/35; 7—50/50; 8—40/60; 9—30/70; 10—20/80; 11—0/100%.
Jcs 10 00073 g008
Figure 9. Change in correlation time depending on the composition of the fiber material with increasing ozonolysis time: 1—initial; 2—15 min; 3—25 min; 4—50 min; 5—80 min.
Figure 9. Change in correlation time depending on the composition of the fiber material with increasing ozonolysis time: 1—initial; 2—15 min; 3—25 min; 4—50 min; 5—80 min.
Jcs 10 00073 g009
Figure 10. Dependence of radical concentration (1, 2) and activation energy (3, 4) on mixture composition for initial (1, 3) and oxidized (2, 4) samples.
Figure 10. Dependence of radical concentration (1, 2) and activation energy (3, 4) on mixture composition for initial (1, 3) and oxidized (2, 4) samples.
Jcs 10 00073 g010
Table 1. Degree of crystallinity (melting enthalpy (∆H, J/g), melting temperature of PHB (Tm. °C), and hydrogen bond-breaking temperature (Th). All characteristics were obtained by DSC.
Table 1. Degree of crystallinity (melting enthalpy (∆H, J/g), melting temperature of PHB (Tm. °C), and hydrogen bond-breaking temperature (Th). All characteristics were obtained by DSC.
Initial Composition PHB/PVPPHB 100%PHB/PVP 97/3%PHB/PVP 91/9%PHB/PVP 83/17%PHB/PVP 65/35%PHB/PVP 50/50%PHB/PVP 30/70%PHB/PVP 20/80%PHB/PVP 10/90%PVP 100%
PHBχ, %
(∆ ± 1.5%)
55.869.868.062.860.756.045.848.548.3-
Tm °C176.4175.0175.5175.5175.5175.5175.7174.5174.5-
PVP∆H, J/g (∆ ± 3 J/g)--12.470.099.0104.2144.8176.5199.5244.8
Th °C 54.067.068.569.270.078.079.080.1
After ozonolysis
PHBχ, %
(∆ ± 1.5%)
57.870.072.467.264.560.050.734.624.6-
Tm °C174.8175.0175.0175.0175.8175.1175.3175.2175.5-
PVP∆H, J/g (∆ ± 3 J/g)--25.080.0100.0110.0331.0335.0340.0267.8
Th °C 53.050.052.063.585.478.077.071.1
Disclaimer/Publisher’s Note: The statements, opinions and data contained in all publications are solely those of the individual author(s) and contributor(s) and not of MDPI and/or the editor(s). MDPI and/or the editor(s) disclaim responsibility for any injury to people or property resulting from any ideas, methods, instructions or products referred to in the content.

Share and Cite

MDPI and ACS Style

Karpova, S.G.; Olkhov, A.A.; Dodina, E.P.; Varyan, I.A.; Lukanina, Y.K.; Shilkina, N.G.; Markin, V.S.; Popov, A.A.; Shchegolkov, A.V.; Shchegolkov, A.V. Patterns of Degradation of Binary Mixtures of Ultrafine Fibers Based on Poly-(3-Hydroxybutyrate) and Polyvinylpyrrolidone Under the Action of Ozonolysis. J. Compos. Sci. 2026, 10, 73. https://doi.org/10.3390/jcs10020073

AMA Style

Karpova SG, Olkhov AA, Dodina EP, Varyan IA, Lukanina YK, Shilkina NG, Markin VS, Popov AA, Shchegolkov AV, Shchegolkov AV. Patterns of Degradation of Binary Mixtures of Ultrafine Fibers Based on Poly-(3-Hydroxybutyrate) and Polyvinylpyrrolidone Under the Action of Ozonolysis. Journal of Composites Science. 2026; 10(2):73. https://doi.org/10.3390/jcs10020073

Chicago/Turabian Style

Karpova, Svetlana G., Anatoly A. Olkhov, Ekaterina P. Dodina, Ivetta A. Varyan, Yulia K. Lukanina, Natalia G. Shilkina, Valery S. Markin, Anatoly A. Popov, Alexandr V. Shchegolkov, and Aleksei V. Shchegolkov. 2026. "Patterns of Degradation of Binary Mixtures of Ultrafine Fibers Based on Poly-(3-Hydroxybutyrate) and Polyvinylpyrrolidone Under the Action of Ozonolysis" Journal of Composites Science 10, no. 2: 73. https://doi.org/10.3390/jcs10020073

APA Style

Karpova, S. G., Olkhov, A. A., Dodina, E. P., Varyan, I. A., Lukanina, Y. K., Shilkina, N. G., Markin, V. S., Popov, A. A., Shchegolkov, A. V., & Shchegolkov, A. V. (2026). Patterns of Degradation of Binary Mixtures of Ultrafine Fibers Based on Poly-(3-Hydroxybutyrate) and Polyvinylpyrrolidone Under the Action of Ozonolysis. Journal of Composites Science, 10(2), 73. https://doi.org/10.3390/jcs10020073

Article Metrics

Back to TopTop