Sign in to use this feature.

Years

Between: -

Subjects

remove_circle_outline
remove_circle_outline
remove_circle_outline
remove_circle_outline
remove_circle_outline
remove_circle_outline
remove_circle_outline
remove_circle_outline
remove_circle_outline

Journals

remove_circle_outline
remove_circle_outline
remove_circle_outline
remove_circle_outline
remove_circle_outline
remove_circle_outline
remove_circle_outline

Article Types

Countries / Regions

remove_circle_outline
remove_circle_outline
remove_circle_outline
remove_circle_outline
remove_circle_outline
remove_circle_outline
remove_circle_outline

Search Results (2,716)

Search Parameters:
Keywords = PV simulator

Order results
Result details
Results per page
Select all
Export citation of selected articles as:
28 pages, 5580 KB  
Article
HIL Implementation of Proposed Fractional-Order Linear-Quadratic-Integral Controller for PV-Module Voltage Regulation to Enhance the Classical Perturb and Observe Algorithm
by Noureddine Bouarroudj, Abdelkader Lakhdari, Djamel Boucherma, Abdelhamid Djari, Yehya Houam, Vicente Feliu-Batlle, Maamar Bettayeb, Boualam Benlahbib, Rasheed Abdulkader, Walied Alfraidi and Hassan M. Hussein Farh
Fractal Fract. 2026, 10(2), 84; https://doi.org/10.3390/fractalfract10020084 - 26 Jan 2026
Abstract
This paper addresses the limitations of conventional single-stage direct-control maximum power point tracking (MPPT) methods, such as the Perturb and Observe (P&O) algorithm. Fixed-step-size duty-cycle perturbations cause a trade-off between slow tracking with small oscillations and fast tracking with large oscillations, along with [...] Read more.
This paper addresses the limitations of conventional single-stage direct-control maximum power point tracking (MPPT) methods, such as the Perturb and Observe (P&O) algorithm. Fixed-step-size duty-cycle perturbations cause a trade-off between slow tracking with small oscillations and fast tracking with large oscillations, along with poor responsiveness to rapid weather variations and output voltage fluctuations. Two main contributions are presented. First, a fractional-order DC–DC boost converter (FOBC) is introduced, incorporating fractional-order dynamics to enhance system performance beyond improvements in control algorithms alone. Second, a novel indirect-control MPPT strategy based on a two-stage architecture is developed, where the P&O algorithm generates the optimal voltage reference and a fractional-order linear-quadratic-integral (FOLQI) controller—designed using a fractional-order small-signal model—regulates the PV module voltage to generate the FOBC duty cycle. Hardware-in-the-loop simulations confirm substantial performance improvements. The proposed FOLQI-based indirect-control approach with FOBC achieves a maximum MPPT efficiency of 99.26%. An alternative indirect method using a classical linear-quadratic-integral (LQI) controller with an integer-order boost converter reaches 98.38%, while the conventional direct-control P&O method achieves only 94.21%, demonstrating the superiority of the proposed fractional-order framework. Full article
(This article belongs to the Special Issue Fractional-Order Dynamics and Control in Green Energy Systems)
Show Figures

Figure 1

31 pages, 23835 KB  
Article
Simulation-Based Structural Optimization of Composite Hulls Under Slamming Loads: A Transferable Methodology for Resilient Offshore Applications
by Giovanni Maria Grasso, Ludovica Maria Oliveri and Ferdinando Chiacchio
J. Mar. Sci. Eng. 2026, 14(3), 254; https://doi.org/10.3390/jmse14030254 - 26 Jan 2026
Abstract
The growing demand for floating offshore structures calls for lightweight, impact-resilient, and sustainable design approaches. This study explores the optimization of composite fibree layup in a 30 m hull subjected to slamming-type hydrodynamic loads. Although based on a recreational vessel, the model serves [...] Read more.
The growing demand for floating offshore structures calls for lightweight, impact-resilient, and sustainable design approaches. This study explores the optimization of composite fibree layup in a 30 m hull subjected to slamming-type hydrodynamic loads. Although based on a recreational vessel, the model serves as a transferable case for offshore applications such as wave energy devices, offshore wind platforms, and floating PV systems. A finite element method (FEM) model was developed using shell elements and a sinusoidal time-dependent pressure to simulate slamming events on the wet surface of the hull. The response was evaluated under different fiber orientation schemes, aiming to reduce structural mass while maintaining stress levels within safety margins. Results showed that strategic layup optimization led to a measurable reduction in total material usage, without compromising structural integrity. These outcomes suggest multiple advantages, including an approximately 14% reduction in raw material demand, which in turn facilitates for potential downsizing of propulsion systems and transportation energy due to lighter structures. Such improvements contribute indirectly to reduced emissions and operational costs. The methodology presented offers a replicable approach to composite optimization under transient marine loads, with relevance for sustainable offshore structural design. Full article
Show Figures

Figure 1

20 pages, 730 KB  
Article
Improving the Energy Performance of Residential Buildings Through Solar Renewable Energy Systems and Smart Building Technologies: The Cyprus Example
by Oğulcan Vuruşan and Hassina Nafa
Sustainability 2026, 18(3), 1195; https://doi.org/10.3390/su18031195 - 24 Jan 2026
Viewed by 127
Abstract
Residential buildings in Mediterranean regions remain major contributors to energy consumption and greenhouse gas emissions. Existing studies often assess renewable energy technologies or innovative building solutions in isolation, with limited attention to their combined performance across different residential typologies. This study evaluates the [...] Read more.
Residential buildings in Mediterranean regions remain major contributors to energy consumption and greenhouse gas emissions. Existing studies often assess renewable energy technologies or innovative building solutions in isolation, with limited attention to their combined performance across different residential typologies. This study evaluates the integrated impact of solar renewable energy systems and smart building technologies on the energy performance of residential buildings in Cyprus. A typology-based methodology is applied to three representative residential building types—detached, semi-detached, and apartment buildings—using dynamic energy simulation and scenario analysis. Results show that solar photovoltaic systems achieve higher standalone reductions than solar thermal systems, while smart building technologies significantly enhance operational efficiency and photovoltaic self-consumption. Integrated solar–smart scenarios achieve up to 58% reductions in primary energy demand and 55% reductions in CO2 emissions, and 25–30 percentage-point increases in PV self-consumption, enabling detached and semi-detached houses to approach national nearly zero-energy building (nZEB) performance thresholds. The study provides climate-specific, quantitative evidence supporting integrated solar–smart strategies for Mediterranean residential buildings and offers actionable insights for policy-making, design, and sustainable residential development. Full article
Show Figures

Figure 1

16 pages, 2368 KB  
Article
PSCAD-Based Analysis of Short-Circuit Faults and Protection Characteristics in a Real BESS–PV Microgrid
by Byeong-Gug Kim, Chae-Joo Moon, Sung-Hyun Choi, Yong-Sung Choi and Kyung-Min Lee
Energies 2026, 19(3), 598; https://doi.org/10.3390/en19030598 - 23 Jan 2026
Viewed by 114
Abstract
This paper presents a PSCAD-based analysis of short-circuit faults and protection characteristics in a real distribution-level microgrid that integrates a 1 MWh battery energy storage system (BESS) with a 500 kW power conversion system (PCS) and a 500 kW photovoltaic (PV) plant connected [...] Read more.
This paper presents a PSCAD-based analysis of short-circuit faults and protection characteristics in a real distribution-level microgrid that integrates a 1 MWh battery energy storage system (BESS) with a 500 kW power conversion system (PCS) and a 500 kW photovoltaic (PV) plant connected to a 22.9 kV feeder. While previous studies often rely on simplified inverter models, this paper addresses the critical gap by integrating actual manufacturer-defined control parameters and cable impedances. This allows for a precise analysis of sub-millisecond transient behaviors, which is essential for developing robust protection schemes in inverter-dominated microgrids. The PSCAD model is first verified under grid-connected steady-state operation by examining PV output, BESS power, and grid voltage at the point of common coupling. Based on the validated model, DC pole-to-pole faults at the PV and ESS DC links and a three-phase short-circuit fault at the low-voltage bus are simulated to characterize the fault current behavior of the grid, BESS and PV converters. The DC fault studies confirm that current peaks are dominated by DC-link capacitor discharge and are strongly limited by converter controls, while the AC three-phase fault is mainly supplied by the upstream grid. As an initial application of the model, an instantaneous current change rate (ICCR) algorithm is implemented as a dedicated DC-side protection function. For a pole-to-pole fault, the ICCR index exceeds the 100 A/ms threshold and issues a trip command within 0.342 ms, demonstrating the feasibility of sub-millisecond DC fault detection in converter-dominated systems. Beyond this example, the validated PSCAD model and associated data set provide a practical platform for future research on advanced DC/AC protection techniques and protection coordination schemes in real BESS–PV microgrids. Full article
(This article belongs to the Section A1: Smart Grids and Microgrids)
Show Figures

Figure 1

14 pages, 1253 KB  
Proceeding Paper
Performance Evaluation of an Improved Particle Swarm Optimization Algorithm Against Nature-Inspired Methods for Photovoltaic Parameter
by Oussama Khouili, Fatima Wardi, Mohamed Louzazni and Mohamed Hanine
Eng. Proc. 2025, 117(1), 32; https://doi.org/10.3390/engproc2025117032 - 22 Jan 2026
Viewed by 67
Abstract
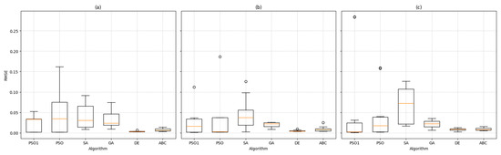
Accurate parameter extraction is essential for reliable photovoltaic (PV) modeling and performance assessment. This study proposes an improved Particle Swarm Optimization (IPSO) algorithm and presents a comparative evaluation against particle swarm optimization (PSO), Genetic Algorithm (GA), Differential Evolution (DE), Artificial Bee Colony (ABC), [...] Read more.
Accurate parameter extraction is essential for reliable photovoltaic (PV) modeling and performance assessment. This study proposes an improved Particle Swarm Optimization (IPSO) algorithm and presents a comparative evaluation against particle swarm optimization (PSO), Genetic Algorithm (GA), Differential Evolution (DE), Artificial Bee Colony (ABC), simulated annealing (SA), and Nelder–Mead (NM) for estimating the parameters of single-, double-, and triple-diode PV models. All algorithms are tested using identical experimental I–V data and evaluated in terms of Root Mean Square Error (RMSE), Mean Absolute Error (MAE), Mean Bias Error (MBE), coefficient of determination (R2), and computational time. The proposed IPSO significantly enhances convergence accuracy and stability for SDMs and DDMs, achieving very low best-case RMSE values with R2 exceeding 0.9999. For the more complex TDM, IPSO attains the lowest best-case error, while DE and ABC exhibit superior robustness in terms of mean error and variance. Overall, the results demonstrate the effectiveness of the proposed IPSO and highlight the trade-off between accuracy and robustness when selecting optimization algorithms for PV parameter extraction. Full article
Show Figures

Figure 1

16 pages, 2031 KB  
Article
Semitransparent Perovskite-Emulating Photovoltaic Covers for Lettuce Production
by Miriam Distefano, Giovanni Avola, Alessandra Alberti, Salvatore Valastro, Gaetano Calogero, Giovanni Mannino and Ezio Riggi
Agriculture 2026, 16(2), 282; https://doi.org/10.3390/agriculture16020282 - 22 Jan 2026
Viewed by 43
Abstract
Semitransparent perovskite photovoltaic (sPV) covers offer an attractive route for agrivoltaics, but their spectrally selective transmittance must be validated on plants cultivated under panel or in simulated conditions. Here, an AVA–MAPI perovskite module transmission profile was replicated using a programmable multi-channel LED platform [...] Read more.
Semitransparent perovskite photovoltaic (sPV) covers offer an attractive route for agrivoltaics, but their spectrally selective transmittance must be validated on plants cultivated under panel or in simulated conditions. Here, an AVA–MAPI perovskite module transmission profile was replicated using a programmable multi-channel LED platform and compared with a Reference McCree-adapted LED spectrum at identical photon flux density. Two lettuce cultivars (Lactuca sativa L.; ‘Canasta’ and ‘Trocadero’) were grown hydroponically in a light-sealed phytotron for 30 days (300 μmol m−2 s−1; 16/8 h photoperiod) under uniform temperature and humidity. Leaf gas exchange was quantified by fitting photosynthetic light-response curves, and plant performance was concurrently evaluated through growth metrics, biomass partitioning, and pigment-related traits (chlorophyll a/b, total carotenoids). The perovskite-emulated spectrum measurably reshaped net CO2 assimilation across the PAR domain—yielding higher AN at selected irradiances in post hoc contrasts—yet these physiological shifts did not translate into differences in leaf area, shoot or root biomass, or pigment concentrations—demonstrating spectral plasticity and agricultural compatibility of field-characterized perovskite transmission spectra. Overall, perovskite-emulated light sustained agronomically equivalent lettuce performance under moderate irradiance, supporting the feasibility of semitransparent perovskite PV covers, while underscoring the need for validation under natural sunlight. Full article
(This article belongs to the Section Agricultural Systems and Management)
Show Figures

Figure 1

32 pages, 6496 KB  
Article
An Optimization Method for Distribution Network Voltage Stability Based on Dynamic Partitioning and Coordinated Electric Vehicle Scheduling
by Ruiyang Chen, Wei Dong, Chunguang Lu and Jingchen Zhang
Energies 2026, 19(2), 571; https://doi.org/10.3390/en19020571 - 22 Jan 2026
Viewed by 48
Abstract
The integration of high-penetration renewable energy sources (RESs) and electric vehicles (EVs) increases the risk of voltage fluctuations in distribution networks. Traditional static partitioning strategies struggle to handle the intermittency of wind turbine (WT) and photovoltaic (PV) generation, as well as the spatiotemporal [...] Read more.
The integration of high-penetration renewable energy sources (RESs) and electric vehicles (EVs) increases the risk of voltage fluctuations in distribution networks. Traditional static partitioning strategies struggle to handle the intermittency of wind turbine (WT) and photovoltaic (PV) generation, as well as the spatiotemporal randomness of EV loads. Furthermore, existing scheduling methods typically optimize EV active power or reactive compensation independently, missing opportunities for synergistic regulation. The main novelty of this paper lies in proposing a spatiotemporally coupled voltage-stability optimization framework. This framework, based on an hourly updated electrical distance matrix that accounts for RES uncertainty and EV spatiotemporal transfer characteristics, enables hourly dynamic network partitioning. Simultaneously, coordinated active–reactive optimization control of EVs is achieved by regulating the power factor angle of three-phase six-pulse bidirectional chargers. The framework is embedded within a hierarchical model predictive control (MPC) architecture, where the upper layer performs hourly dynamic partition updates and the lower layer executes a five-minute rolling dispatch for EVs. Simulations conducted on a modified IEEE 33-bus system demonstrate that, compared to uncoordinated charging, the proposed method reduces total daily network losses by 4991.3 kW, corresponding to a decrease of 3.9%. Furthermore, it markedly shrinks the low-voltage area and generally raises node voltages throughout the day. The method effectively enhances voltage uniformity, reduces network losses, and improves renewable energy accommodation capability. Full article
(This article belongs to the Section E: Electric Vehicles)
Show Figures

Figure 1

26 pages, 6505 KB  
Article
Hybrid Wavelet–Transformer–XGBoost Model Optimized by Chaotic Billiards for Global Irradiance Forecasting
by Walid Mchara, Giovanni Cicceri, Lazhar Manai, Monia Raissi and Hezam Albaqami
J. Sens. Actuator Netw. 2026, 15(1), 12; https://doi.org/10.3390/jsan15010012 - 22 Jan 2026
Viewed by 49
Abstract
Accurate global irradiance (GI) forecasting is essential for improving photovoltaic (PV) energy management, stabilizing renewable power systems, and enabling intelligent control in solar-powered applications, including electric vehicles and smart grids. The highly stochastic and non-stationary nature of solar radiation, influenced by rapid atmospheric [...] Read more.
Accurate global irradiance (GI) forecasting is essential for improving photovoltaic (PV) energy management, stabilizing renewable power systems, and enabling intelligent control in solar-powered applications, including electric vehicles and smart grids. The highly stochastic and non-stationary nature of solar radiation, influenced by rapid atmospheric fluctuations and seasonal variability, makes short-term GI prediction a challenging task. To overcome these limitations, this work introduces a new hybrid forecasting architecture referred to as WTX–CBO, which integrates a Wavelet Transform (WT)-based decomposition module, an encoder–decoder Transformer model, and an XGBoost regressor, optimized using the Chaotic Billiards Optimizer (CBO) combined with the Adam optimization algorithm. In the proposed architecture, WT decomposes solar irradiance data into multi-scale components, capturing both high-frequency transients and long-term seasonal patterns. The Transformer module effectively models complex temporal and spatio-temporal dependencies, while XGBoost enhances nonlinear learning capability and mitigates overfitting. The CBO ensures efficient hyperparameter tuning and accelerated convergence, outperforming traditional meta-heuristics such as Particle Swarm Optimization (PSO) and Genetic Algorithms (GA). Comprehensive experiments conducted on real-world GI datasets from diverse climatic conditions demonstrate the outperformance of the proposed model. The WTX–CBO ensemble consistently outperformed benchmark models, including LSTM, SVR, standalone Transformer, and XGBoost, achieving improved accuracy, stability, and generalization capability. The proposed WTX–CBO framework is designed as a high-accuracy decision-support forecasting tool that provides short-term global irradiance predictions to enable intelligent energy management, predictive charging, and adaptive control strategies in solar-powered applications, including solar electric vehicles (SEVs), rather than performing end-to-end vehicle or photovoltaic power simulations. Overall, the proposed hybrid framework provides a robust and scalable solution for short-term global irradiance forecasting, supporting reliable PV integration, smart charging control, and sustainable energy management in next-generation solar systems. Full article
(This article belongs to the Special Issue AI and IoT Convergence for Sustainable Smart Manufacturing)
Show Figures

Figure 1

24 pages, 5286 KB  
Article
A Conditional Value-at-Risk-Based Bidding Strategy for PVSS Participation in Energy and Frequency Regulation Ancillary Markets
by Xiaoming Wang, Kesong Lei, Hongbin Wu, Bin Xu and Jinjin Ding
Sustainability 2026, 18(2), 1122; https://doi.org/10.3390/su18021122 - 22 Jan 2026
Viewed by 29
Abstract
As the participation of photovoltaic–storage systems (PVSS) in the energy and frequency regulation ancillary service markets continues to increase, the market risks caused by photovoltaic output uncertainty will directly affect photovoltaic integration efficiency and the provision of system flexibility, thereby having a significant [...] Read more.
As the participation of photovoltaic–storage systems (PVSS) in the energy and frequency regulation ancillary service markets continues to increase, the market risks caused by photovoltaic output uncertainty will directly affect photovoltaic integration efficiency and the provision of system flexibility, thereby having a significant impact on the sustainable development of power systems. Therefore, studying the risk decision-making of PVSS in the energy and frequency regulation markets is of great importance for supporting the sustainable development of power systems. First, to address the issue where the existing studies regard PVSS as a price taker and fail to reflect the impact of bids on clearing prices and awarded quantities, this paper constructs a market bidding framework in which PVSS acts as a price-maker. Second, in response to the revenue volatility and tail risk caused by PV uncertainty, and the fact that existing CVaR-based bidding studies focus mainly on a single energy market, this paper introduces CVaR into the price-maker (Stackelberg) bidding framework and constructs a two-stage bi-level risk decision model for PVSS. Finally, using the Karush–Kuhn–Tucker (KKT) conditions and the strong duality theorem, the bi-level nonlinear optimization model is transformed into a solvable single-level mixed-integer linear programming (MILP) problem. A simulation study based on data from a PV–storage power generation system in Northwestern China shows that compared to PV systems participating only in the energy market and PVSS participating only in the energy market, PVSS participation in both the energy and frequency regulation joint markets results in an expected net revenue increase of approximately 45.9% and 26.3%, respectively. When the risk aversion coefficient, β, increases from 0 to 20, the expected net revenue decreases slightly by about 0.4%, while CVaR increases by about 3.4%, effectively measuring the revenue at different risk levels. Full article
Show Figures

Figure 1

20 pages, 15768 KB  
Article
Capacity Configuration and Scheduling Optimization on Wind–Photovoltaic–Storage System Considering Variable Reservoir–Irrigation Load
by Jian-hong Zhu, Yu He, Juping Gu, Xinsong Zhang, Jun Zhang, Yonghua Ge, Kai Luo and Jiwei Zhu
Electronics 2026, 15(2), 454; https://doi.org/10.3390/electronics15020454 - 21 Jan 2026
Viewed by 55
Abstract
High penetration and output volatility of island wind and photovoltaics (PV) pose challenges to energy consumption and supply–demand balance, and cost-effective energy storage configuration. A coupled dispatch model for a wind–PV–storage system is proposed, which treats multiple canal units as virtual ‘loads’ that [...] Read more.
High penetration and output volatility of island wind and photovoltaics (PV) pose challenges to energy consumption and supply–demand balance, and cost-effective energy storage configuration. A coupled dispatch model for a wind–PV–storage system is proposed, which treats multiple canal units as virtual ‘loads’ that switch between generation and pumping under constraints of power balance and available water head model. Considering the variable reservoir–irrigation feature, a multi-objective model framework is developed to minimize both economic cost and storage capacity required. An augmented Lagrangian–Nash product enhanced NSGA-II (AL-NP-NSGA-II) algorithm enforces constraints of irrigation shortfall and overflow via an augmented Lagrangian term and allocates fair benefits across canal units through a Nash product reward. Moreover, updates of Lagrange multipliers and reward weights maintain power balance and accelerate convergence. Finally, a case simulation (3.7 MW wind, 7.1 MW PV, and 24 h rural load) is performed, where 440.98 kWh storage eliminates shortfall/overflow and yields 1.5172 × 104 CNY. Monte Carlo uncertainty analysis (±10% perturbations in load, wind, and PV) shows that increasing storage to 680 kWh can stabilize reliability above 98% and raise economic benefit to 1.5195 × 104 CNY. The dispatch framework delivers coordination of irrigation and power balance in island microgrids, providing a systematic configuration solution. Full article
Show Figures

Figure 1

41 pages, 5360 KB  
Article
Jellyfish Search Algorithm-Based Optimization Framework for Techno-Economic Energy Management with Demand Side Management in AC Microgrid
by Vijithra Nedunchezhian, Muthukumar Kandasamy, Renugadevi Thangavel, Wook-Won Kim and Zong Woo Geem
Energies 2026, 19(2), 521; https://doi.org/10.3390/en19020521 - 20 Jan 2026
Viewed by 184
Abstract
The optimal allocation of Photovoltaic (PV) and wind-based renewable energy sources and Battery Energy Storage System (BESS) capacity is an important issue for efficient operation of a microgrid network (MGN). The impact of the unpredictability of PV and wind generation needs to be [...] Read more.
The optimal allocation of Photovoltaic (PV) and wind-based renewable energy sources and Battery Energy Storage System (BESS) capacity is an important issue for efficient operation of a microgrid network (MGN). The impact of the unpredictability of PV and wind generation needs to be smoothed out by coherent allocation of BESS unit to meet out the load demand. To address these issues, this article proposes an efficient Energy Management System (EMS) and Demand Side Management (DSM) approaches for the optimal allocation of PV- and wind-based renewable energy sources and BESS capacity in the MGN. The DSM model helps to modify the peak load demand based on PV and wind generation, available BESS storage, and the utility grid. Based on the Real-Time Market Energy Price (RTMEP) of utility power, the charging/discharging pattern of the BESS and power exchange with the utility grid are scheduled adaptively. On this basis, a Jellyfish Search Algorithm (JSA)-based bi-level optimization model is developed that considers the optimal capacity allocation and power scheduling of PV and wind sources and BESS capacity to satisfy the load demand. The top-level planning model solves the optimal allocation of PV and wind sources intending to reduce the total power loss of the MGN. The proposed JSA-based optimization achieved 24.04% of power loss reduction (from 202.69 kW to 153.95 kW) at peak load conditions through optimal PV- and wind-based DG placement and sizing. The bottom level model explicitly focuses to achieve the optimal operational configuration of MGN through optimal power scheduling of PV, wind, BESS, and the utility grid with DSM-based load proportions with an aim to minimize the operating cost. Simulation results on the IEEE 33-node MGN demonstrate that the 20% DSM strategy attains the maximum operational cost savings of €ct 3196.18 (reduction of 2.80%) over 24 h operation, with a 46.75% peak-hour grid dependency reduction. The statistical analysis over 50 independent runs confirms the sturdiness of the JSA over Particle Swarm Optimization (PSO) and Osprey Optimization Algorithm (OOA) with a standard deviation of only 0.00017 in the fitness function, demonstrating its superior convergence characteristics to solve the proposed optimization problem. Finally, based on the simulation outcome of the considered bi-level optimization problem, it can be concluded that implementation of the proposed JSA-based optimization approach efficiently optimizes the PV- and wind-based resource allocation along with BESS capacity and helps to operate the MGN efficiently with reduced power loss and operating costs. Full article
(This article belongs to the Section A1: Smart Grids and Microgrids)
Show Figures

Figure 1

24 pages, 4083 KB  
Article
Voltage Adaptability of Hierarchical Optimization for Photovoltaic Inverter Control Parameters in AC/DC Hybrid Receiving-End Power Grids
by Ran Sun, Jianbo Wang, Feng Yao, Zhaohui Cui, Xiaomeng Li, Hao Zhang, Jiahao Wang and Lixia Sun
Processes 2026, 14(2), 350; https://doi.org/10.3390/pr14020350 - 19 Jan 2026
Viewed by 124
Abstract
The high rate of photovoltaic integration poses significant challenges in terms of violations of voltage limits in power grids. Additionally, the operational behavior of PV systems under fault conditions requires thorough investigation in receiving-end grids. This paper analyzes the dynamic coupling characteristics between [...] Read more.
The high rate of photovoltaic integration poses significant challenges in terms of violations of voltage limits in power grids. Additionally, the operational behavior of PV systems under fault conditions requires thorough investigation in receiving-end grids. This paper analyzes the dynamic coupling characteristics between reactive power and transient voltage in a receiving-end grid with high PV penetration and multiple HVDC infeeds, considering typical AC and DC fault scenarios. Voltage adaptability issues in PV generation systems are also examined. Through an enhanced sensitivity analysis method, the suppression capabilities of transient voltage peaks are quantified in the control parameters of low-voltage ride-through (LVRT) and high-voltage ride-through (HVRT) photovoltaic inverters. On this basis, a hierarchical optimization strategy for PV inverter control parameters is proposed to mitigate post-fault transient voltage peaks and improve the transient voltage response both during and after faults. The feasibility of the proposed method has been verified through simulation on a revised 10-generator 39-bus power system. Following optimization, the transient voltage peak is reduced from 1.263 to 1.098. This validation offers support for the reliable grid connection of the Henan Power Grid. In the events of the N-2 fault at 500 kV and Tian-zhong HVDC monopolar block fault, the post-fault voltage at each node remains below 1.1 p.u. This serves as evidence of a significant enhancement in transient voltage stability within the Henan Power Grid, demonstrating effective improvements in power supply reliability and operational performance. Full article
Show Figures

Figure 1

24 pages, 1551 KB  
Article
Modeling Urban–Rural Energy Mutual Assistance Through Photovoltaic–Carbon Sink Synergy: A System Dynamics Approach
by Yujia Zhang, Lihong Wu, Xinfa Tang and Guozu Hao
Processes 2026, 14(2), 347; https://doi.org/10.3390/pr14020347 - 19 Jan 2026
Viewed by 121
Abstract
China’s dual carbon goals and rural revitalization strategy necessitate innovative models that integrate energy transition with ecological conservation. However, a critical disconnect persists between photovoltaic (PV) promotion and forest carbon sink projects, limiting their collective potential for coordinated urban–rural emission reduction and common [...] Read more.
China’s dual carbon goals and rural revitalization strategy necessitate innovative models that integrate energy transition with ecological conservation. However, a critical disconnect persists between photovoltaic (PV) promotion and forest carbon sink projects, limiting their collective potential for coordinated urban–rural emission reduction and common prosperity. To bridge this gap, this study pioneers an integrated “cooperation-mutual assistance” framework that synergizes PV and carbon sinks. A system dynamics model encompassing economic, energy, and environmental subsystems is developed to simulate the long-term evolution (2025–2050) of this synergy under multiple policy scenarios. The simulation results demonstrate that this integrated model can achieve substantial co-benefits: It enables a cumulative carbon emission reduction of 17.5 Gt (gigatons of CO2 equivalent) from 2025 to 2050, boosts regional GDP by 4.8% by 2050 compared to the baseline scenario, and narrows the urban–rural income gap by prioritizing rural resident income growth. The main contribution of this study is the novel integration of PV and carbon sinks into a unified analytical framework, quantitatively verifying its win–win potential. These findings provide a critical scientific basis for crafting integrated policies that combine carbon markets, green finance, and smart grid planning. Full article
Show Figures

Figure 1

11 pages, 1564 KB  
Article
On Possibility of Converting Electricity Generation System Based on Fossil Fuels to Fully Renewable—Polish Case
by Andrzej Szlęk
Energies 2026, 19(2), 483; https://doi.org/10.3390/en19020483 - 19 Jan 2026
Viewed by 183
Abstract
The energy sector in all countries around the world is undergoing a transformation, with the main trend being the increasing share of renewable sources. Some countries, such as those in the European Union, have set themselves the goal of completely phasing out fossil [...] Read more.
The energy sector in all countries around the world is undergoing a transformation, with the main trend being the increasing share of renewable sources. Some countries, such as those in the European Union, have set themselves the goal of completely phasing out fossil fuels by 2050. Currently, the energy systems of European countries are far from this goal, and fossil fuels play a key role in balancing energy systems. This article presents a one-year simulation of a hypothetical Polish energy system based solely on renewable sources and utilizing biomethane, synthetic ammonia, and solid biomass as sources to ensure energy supply in the event of unfavorable weather conditions, which means a lack of wind and solar radiation. Six variants of these systems were analyzed, demonstrating the feasibility of such a system using only biogas as a stabilizing fuel. The required generating capacities of wind turbines, photovoltaic panels, and installations for converting biomethane, ammonia, and solid biomass into electricity were determined. Calculations were based on historical data recorded in 2024 in the Polish energy system. It was found that by increasing currently installed PV and wind turbines by a factor of 4.8 and installing 24 GW of ICE engines fueled with biomethane and an additional 10 GW of ORC modules, current electricity demand would be covered 100% by renewable energy sources. The same goal can be achieved without ORC modules by increasing the installed power of PV and wind turbines by a factor of 6.8. The novelty of this research is the application of the fully renewable concept of electricity generation systems to Polish reality using real-life data. Full article
(This article belongs to the Section A: Sustainable Energy)
Show Figures

Figure 1

22 pages, 3350 KB  
Article
Challenges in the Legal and Technical Integration of Photovoltaics in Multi-Family Buildings in the Polish Energy Grid
by Robert Kowalak, Daniel Kowalak, Konrad Seklecki and Leszek S. Litzbarski
Energies 2026, 19(2), 474; https://doi.org/10.3390/en19020474 - 17 Jan 2026
Viewed by 253
Abstract
This article analyzes the case of a typical modern residential area, which was built following current legal regulations in Poland. For the purposes of the calculations, a housing estate consisting of 32 houses was assumed, with a connection power of 36 kW each. [...] Read more.
This article analyzes the case of a typical modern residential area, which was built following current legal regulations in Poland. For the purposes of the calculations, a housing estate consisting of 32 houses was assumed, with a connection power of 36 kW each. The three variants evaluate power consumption and photovoltaic system operation: Variant I assumes no PV installations and fluctuating consumer power demands; Variant II involves PV installations in all estate buildings with a total capacity matching the building’s 36 kW connection power and minimal consumption; and Variant III increases installed PV capacity per building to 50 kW, aligning with apartment connection powers, also with minimal consumption. The simulations performed indicated that there may be problems with voltage levels and current overloads of network elements. Although in case I the transformer worked properly, after connecting the PV installation in an extreme case, it was overloaded by about 117% (Variant II) or even about 180% (Variant III). The described case illustrates the impact of changes in regulations on the stability of the electricity distribution network. A potential solution to this problem is to oversize the distribution network elements, introduce power restrictions for PV installations or to oblige prosumers to install energy storage facilities. Full article
(This article belongs to the Special Issue Advances in the Design and Application of Solar Energy in Buildings)
Show Figures

Figure 1

Back to TopTop