Voltage Adaptability of Hierarchical Optimization for Photovoltaic Inverter Control Parameters in AC/DC Hybrid Receiving-End Power Grids
Abstract
1. Introduction
2. Analysis of the Dynamic Coupling Characteristics of Reactive Power and Transient Voltage
2.1. Steady Operation
2.2. Process of LVRT and Fault Recovery
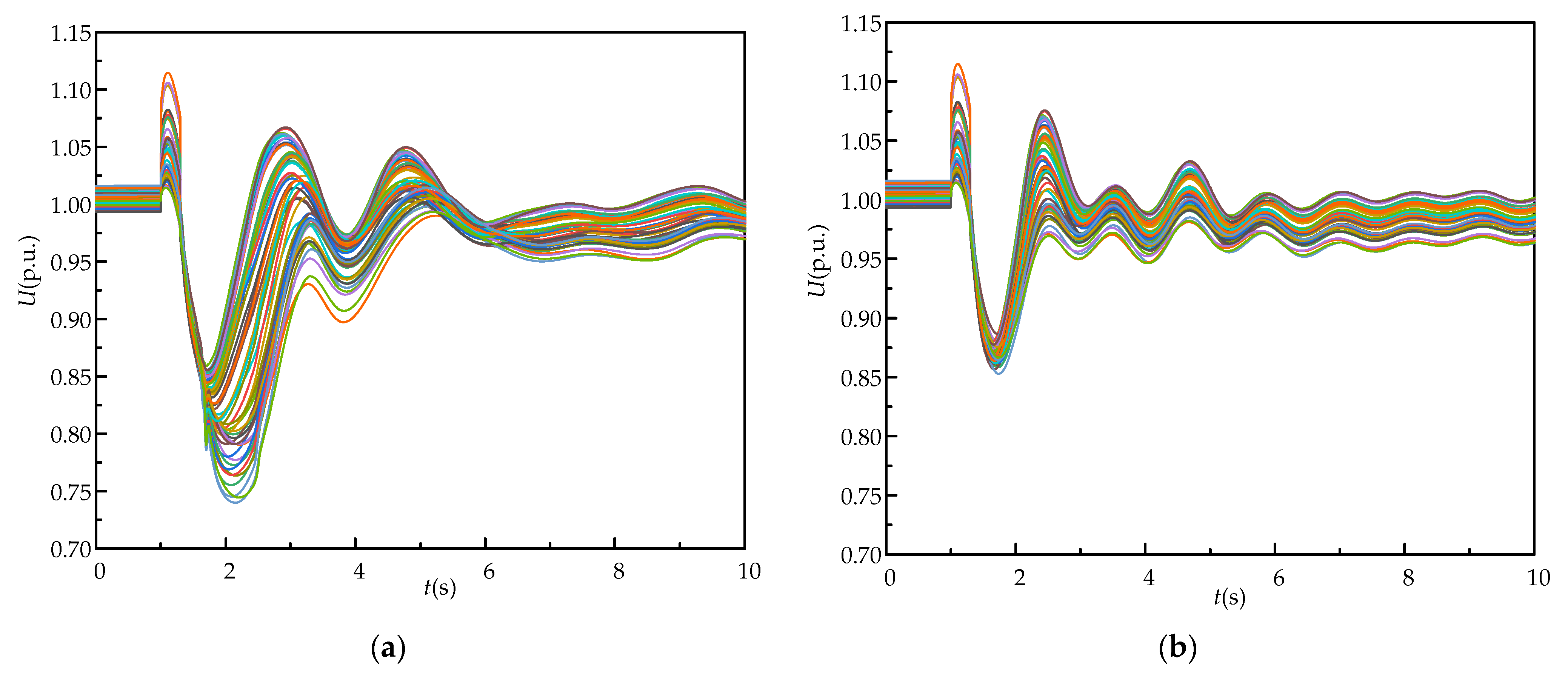
3. Photovoltaic Inverter Control Parameter Sensitivity Analysis
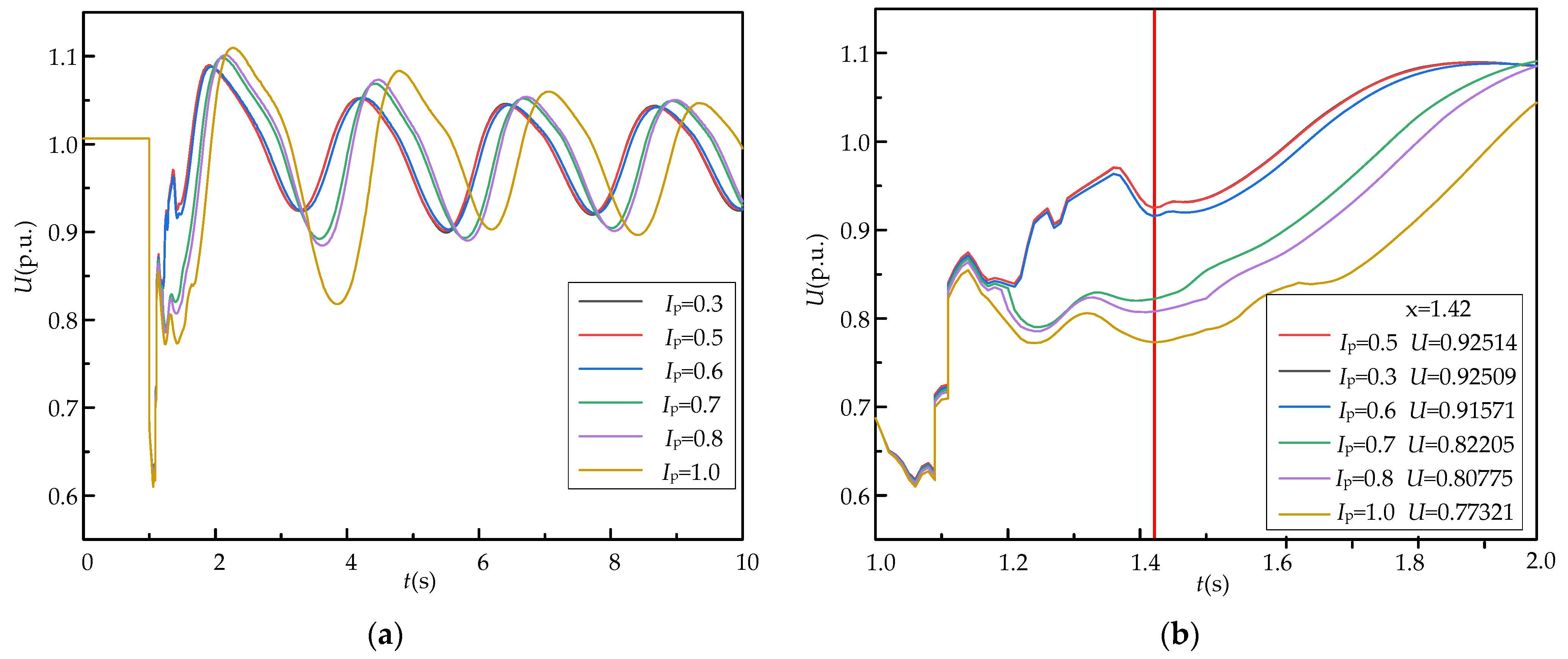
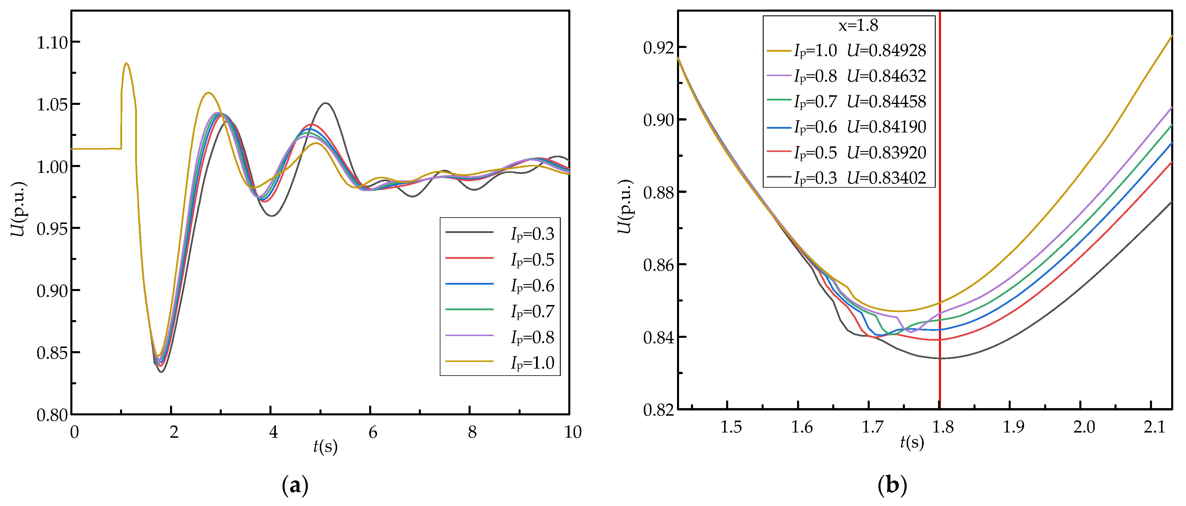
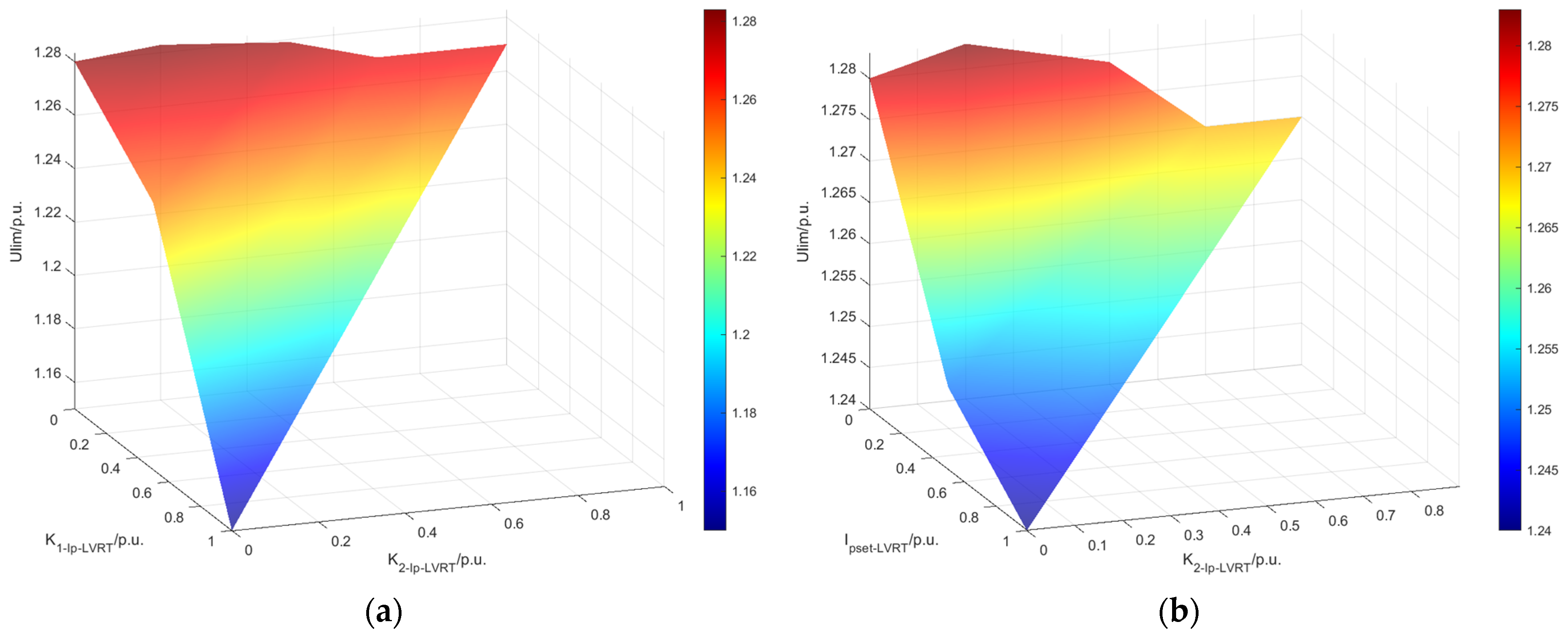
3.1. LVRT Active Current Control Parameter Sensitivity Analysis
- K1-Ip-LVRT is set to 0, 0.5, and 1, while K2-Ip-LVRT and Ipset-LVRT are set to 0;
- K2-Ip-LVRT is set to 0.2, 0.5, 0.7, and 0.9, while K1-Ip-LVRT and Ipset-LVRT are set to 0;
- Ipset-LVRT is set to 0, 0.5, and 1, while K1-Ip-LVRT and K2-Ip-LVRT are set to 0.
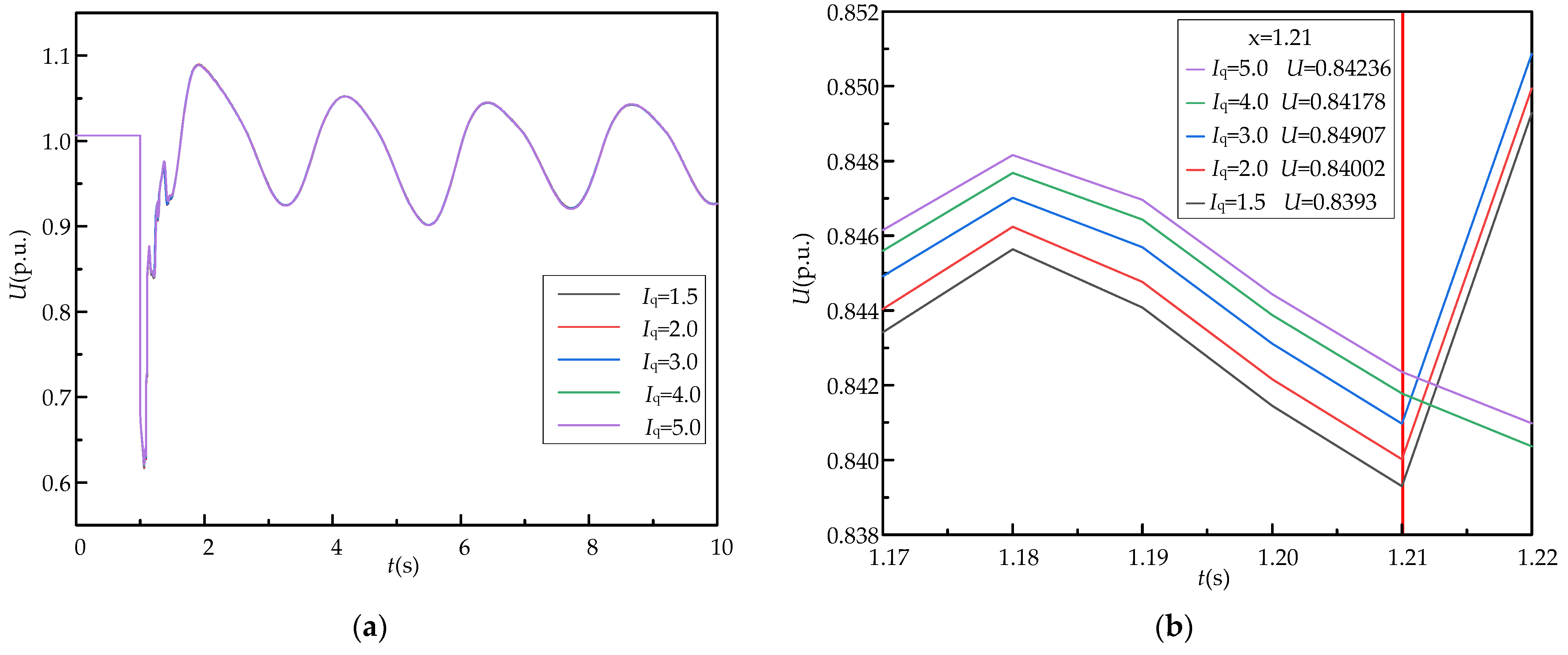
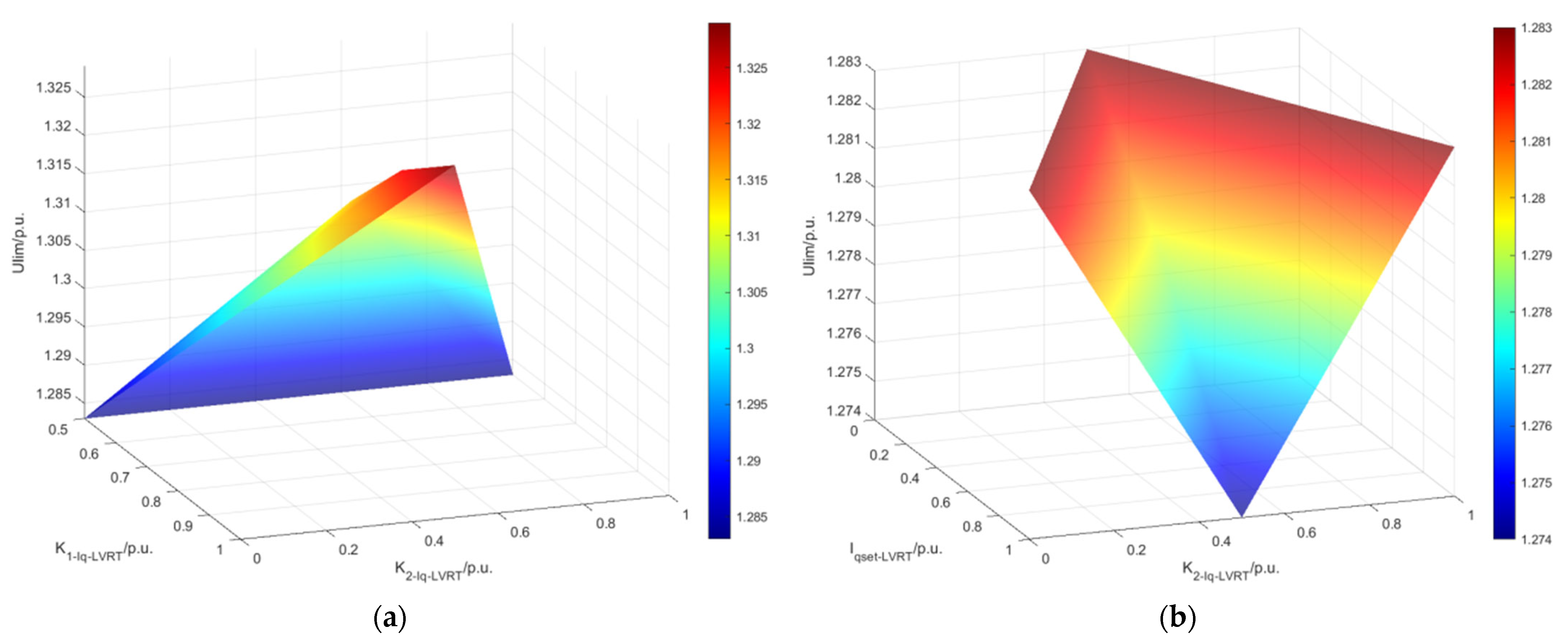
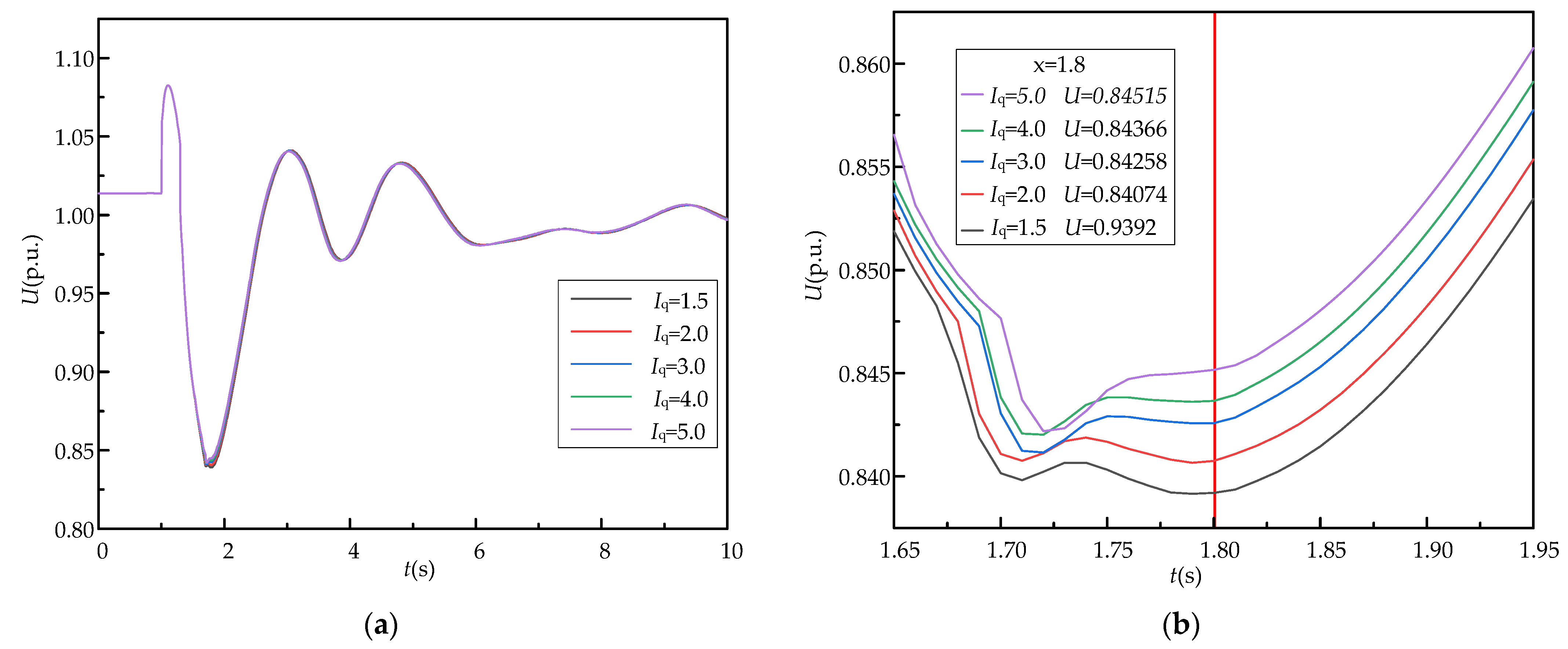
3.2. LVRT Reactive Current Control Parameter Sensitivity Analysis
- K1-Iq-LVRT is set to 1.5, 2, 2.5, and 3, while K2-Iq-LVRT and Iqset-LVRT are set to 0.5 and 0.2, respectively;
- K2-Iq-LVRT is set to 0, 0.5, and 1, while K1-Ip-LVRT and Ipset-LVRT are set to 1.5 and 0.2, respectively;
- Iqset-LVRT is set to 0, 0.1, and 0.2, while K1-Ip-LVRT and K2-Ip-LVRT are set to 1.5 and 0.5, respectively.
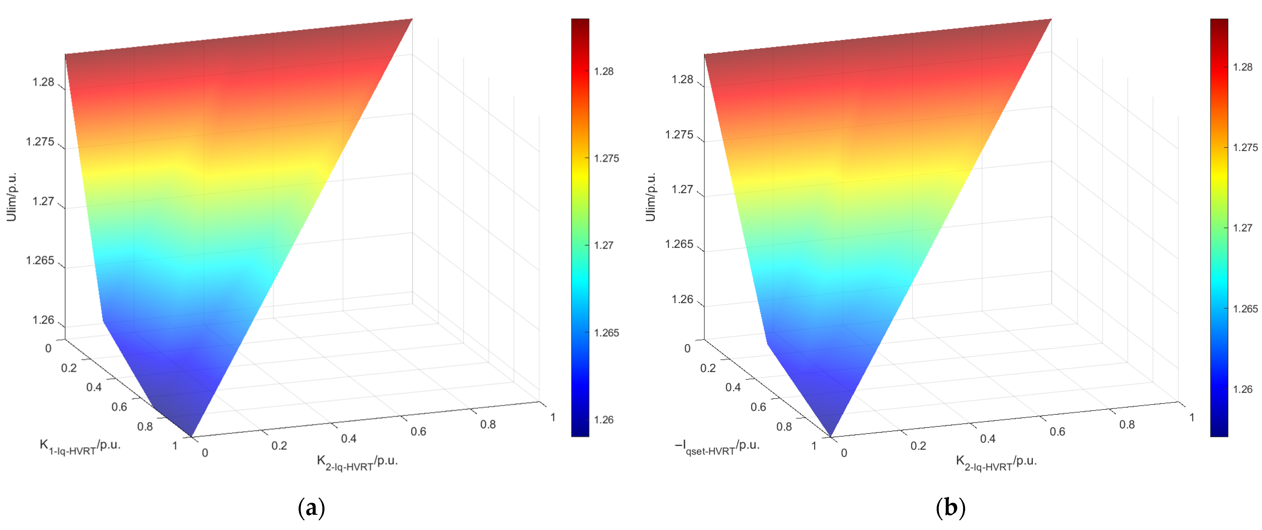
3.3. HVRT Reactive Current Control Parameter Sensitivity Analysis
- Parameter K1-Iq-HVRT is set to 0, 1, 2, and 3, respectively; K2-Iq-HVRT = 0, Iqset-HVRT = 0;
- Parameter K2-Iq-HVRT is set to 0, 0.5, and 1, respectively; K1-Iq-HVRT = 0, Iqset-HVRT = 0;
- Parameter Iqset-HVRT is set to 0, −0.1, and −0.2, respectively; K1-Iq-HVRT = 0, K2-Iq-HVRT = 0.
4. Hierarchical Optimization Strategy for Photovoltaic Inverter Control Parameters
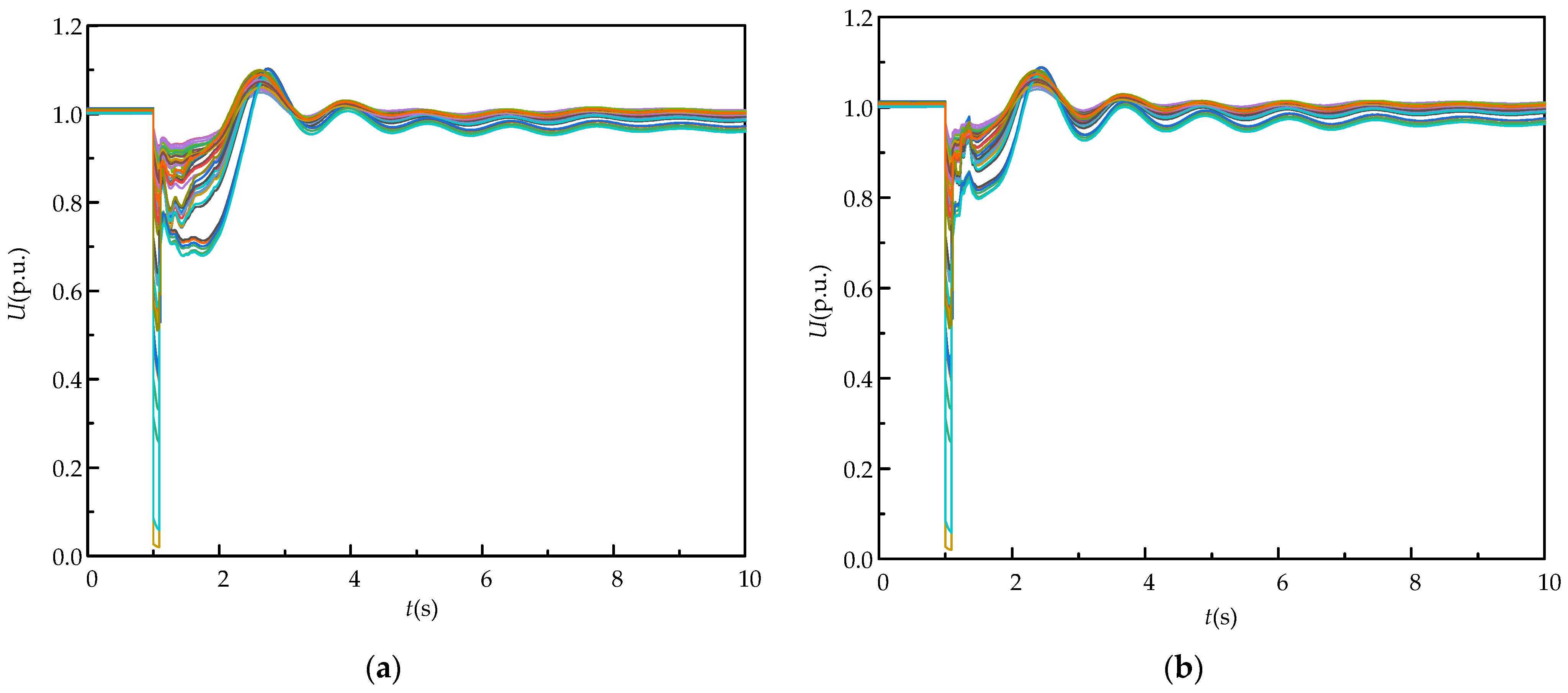
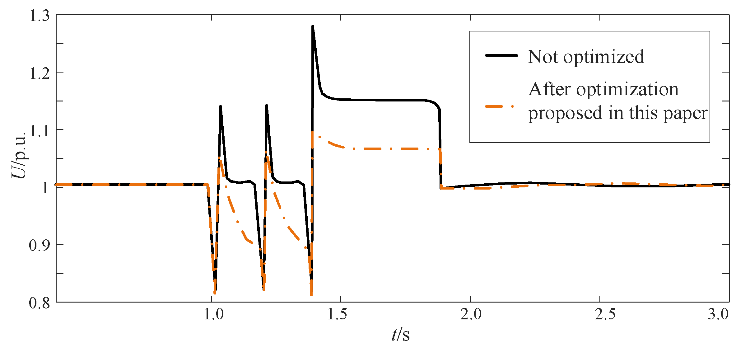
5. Simulations
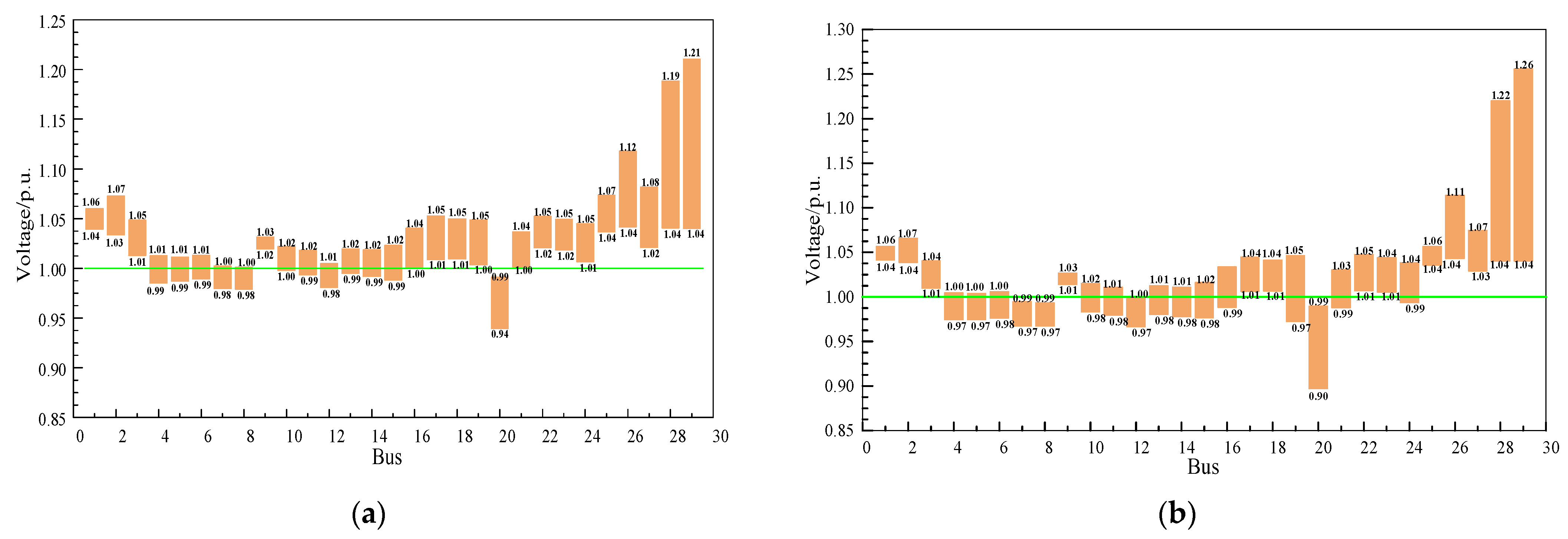
5.1. Revised IEEE 10-Generator 39-Bus System
5.2. Henan Power Grid
6. Conclusions
Author Contributions
Funding
Data Availability Statement
Conflicts of Interest
References
- Shu, Y.B.; Tang, Y.; Zhang, Z.L.; Zhang, F.Y.; Zhong, W.Z.; Shi, H.B.; Wang, G.Z.; Chen, C.S.; Gu, Z.Y. Analysis and lessons of the April 28, 2025 blackout in the Iberian Peninsula power system. Proc. CSEE 2025, 45, 6603–6612. [Google Scholar] [CrossRef]
- Zhang, M.; Liu, J.; Lin, J.G.; Zhao, X.B. Environmental benefit analysis of rooftop distributed photovoltaic development under the “dual carbon” background. Energy Res. Util. 2021, 6, 37–41. [Google Scholar] [CrossRef]
- Spanish National Security Council. Analysis Report on the Electricity Crisis on April 28, 2025: Unclassified Version; Spanish Government: Madrid, Spain, 2025. Available online: https://www.lamoncloa.gob.es/consejodeministros/resumenes/Documents/2025/Informe-no-confidencial-Comite-de-analisis-28A.pdf (accessed on 17 June 2025).
- Sebastian, O.H.; Carlos, B.D. Trade-off between frequency stability and renewable generation–studying virtual inertia from solar PV and operating stability constraints. Renew. Energy 2024, 232, 121075. [Google Scholar] [CrossRef]
- Liu, C.; Wu, T.; Zhu, J.; Wei, R.; Wu, Y.; Tian, A. A transient reactive power control strategy of PV-ESS enhances the system transient stability. J. Energy Storage 2024, 92, 112302. [Google Scholar] [CrossRef]
- Qu, Y.; Han, X.; Meng, T.; Liu, X.; Chen, D.; Liu, Z. Fast assessment method for transient voltage stability of photovoltaic receiving-end grid. Adv. Math. Phys. 2024, 1, 7361194. [Google Scholar] [CrossRef]
- Wang, Q.; Zhang, Y.; Tian, P.; Ren, B.; Li, Q.; Luo, P.; Hao, J. Research on the influence of load model with distributed PV generation on the voltage stability of receiving-end power grid. Energy Rep. 2023, 9, 880–886. [Google Scholar] [CrossRef]
- Li, T.; Jiang, X.; Yu, L.; Yan, X.; Wang, J. Voltage Transient Analysis and Control Discussion of a Power Grid with High Proportion of Photovoltaic and Large-Capacity DC Receiving. In Proceedings of the 2024 3rd Asian Conference on Frontiers of Power and Energy (ACFPE), Chengdu, China, 25–27 October 2024. [Google Scholar] [CrossRef]
- Gerdroodbari, Y.Z.; Razzaghi, R.; Shahnia, F. Improving voltage regulation and unbalance in distribution networks using peer-to-peer data sharing between single-phase PV inverters. IEEE Trans. Power Deliv. 2021, 37, 2629–2639. [Google Scholar] [CrossRef]
- Hao, W.; Chen, M.; Gan, D. Short-term voltage stability analysis and enhancement strategies for power systems with photovoltaic penetration. IEEE Access 2024, 12, 88728–88738. [Google Scholar] [CrossRef]
- Cui, H.; Wang, C.; Ye, J.; Yang, B. Research of interaction of distributed PV system with multiple access points and distribution network. Power Syst. Prot. Control 2015, 43, 91–97. [Google Scholar]
- Wang, J.; Zhang, Z.; Yi, J.; Chen, Z.; Liu, C. Transient Voltage Characteristics Analysis of DC Receiving-End Power Grid with Large-Scale Integrated Distributed Photovoltaics. In Proceedings of the 2024 3rd International Conference on Power Systems and Electrical Technology (PSET), Beijing, China, 5–8 August 2024. [Google Scholar] [CrossRef]
- Wang, J.M.; Sun, H.D.; Zhang, J.; Ren, D.; Yin, Y.; Bu, G.Q. Stability characteristics and coordinated control strategy of interconnected grid integrated with UHVDC transmission line from Jinping to Sunan. Power Syst. Technol. 2012, 36, 66–70. [Google Scholar] [CrossRef]
- Fang, Y.J. Reducing the risk of system collapse caused by transmission section opening through emergency control-reflections on the Indian blackout. Autom. Electr. Power Syst. 2013, 37, 1–6. [Google Scholar]
- Eftekharnejad, S.; Vittal, V.; Heydt, G.T.; Keel, B.; Loehr, J. Impact of increased penetration of photovoltaic generation on power system. IEEE Trans. Power Syst. 2012, 28, 893–901. [Google Scholar] [CrossRef]
- Awad, A.S.; Turcotte, D.; El-Fouly, T.H. Impact assessment and mitigation techniques for high penetration levels of renewable energy sources in distribution networks: Voltage-control perspective. J. Mod. Power Syst. Clean Energy 2021, 10, 450–458. [Google Scholar] [CrossRef]
- Ni, S.; Cui, C.G.; Zheng, Q.R.; Hao, H.L.; Yang, N. Stochastic multi-objective reactive power optimization of distribution network based on multiple wind turbines correlative scenario generation method. Zhejiang Electr. Power 2020, 39, 103–111. [Google Scholar] [CrossRef]
- Chai, Y.; Guo, L.; Wang, C.; Zhao, Z.; Du, X.; Pan, J. Network partition and voltage coordination control for distribution networks with high penetration of distributed PV units. IEEE Trans. Power Syst. 2022, 33, 3396–3407. [Google Scholar] [CrossRef]
- Zhu, K.; Qin, H.; Zhao, J.; Wan, C.; Zheng, S.; Zhang, X. Network Partition-based Multi-timescale Coordinated Voltage Regulation of Distribution Networks with High-penetration Distributed PVs. In Proceedings of the 2024 IEEE 8th Conference on Energy Internet and Energy System Integration (EI2), Beijing, China, 25–27 October 2024. [Google Scholar] [CrossRef]
- Zhao, B.; Xu, Z.; Xu, C.; Wang, C.; Lin, F. Network partition-based zonal voltage control for distribution networks with distributed PV systems. IEEE Trans. Smart Grid 2017, 9, 4087–4098. [Google Scholar] [CrossRef]
- Gui, Y.H.; Nainar, K.; Bendtsen, J.D.; Diewald, N.; Iov, F.; Yang, Y.; Blaabjerg, F.; Xue, Y.; Liu, J.; Hong, T.; et al. Voltage support with PV inverters in low-voltage distribution networks: An overview. IEEE J. Emerg. Sel. Top. Power Electron. 2024, 12, 1503–1522. [Google Scholar] [CrossRef]
- Fazio, A.R.D.; Risi, C.; Russo, M.; De Santis, M. Coordinated optimization for zone-based voltage control in distribution grids. IEEE Trans. Ind. Appl. 2022, 58, 173–184. [Google Scholar] [CrossRef]
- Li, Z.; Wang, W.B.; Han, S.F.; Lin, L.J. Voltage adaptability of distributed photovoltaic access to a distribution network considering reactive power support. Power Syst. Prot. Control 2022, 50, 32–41. [Google Scholar] [CrossRef]
- Emarati, M.; Barani, M.; Farahmand, H.; Aghaei, J.; del Granado, P.C. A two-level over-voltage control strategy in distribution networks with high PV penetration. Int. J. Electr. Power Energy Syst. 2021, 130, 1776–1781. [Google Scholar] [CrossRef]
- Cheng, Z.; Wang, L.; Zeng, S.; Su, C.; Zhang, R.; Zhou, W. Partition-global dual-layer collaborative voltage control strategy for active distribution network with high proportion of renewable energy. IEEE Access 2024, 12, 22546–22556. [Google Scholar] [CrossRef]
- Aboshady, F.M.; Pisica, I.; Zobaa, A.F.; Taylor, G.A.; Ceylan, O.; Ozdemir, A. Reactive power control of PV inverters in active distribution grids with high PV penetration. IEEE Access 2023, 11, 81477–81496. [Google Scholar] [CrossRef]
- Reguieg, Z.; Bouyakoub, I.; Mehedi, F.; Bouhadji, F. Enhancing Electrical Grid Stability through Power Quality Optimization via PV-PO-UPQC: An Integrated Approach. In Proceedings of the 2024 2nd International Conference on Electrical Engineering and Automatic Control (ICEEAC), Kunming, China, 7–9 June 2024. [Google Scholar] [CrossRef]
- Ikaouassen, H.; Raddaoui, A.; Rezkallah, M. Performance and stability analysis of enhanced Lyapunov function and predictive voltage control with active damping for single-phase PV/grid electric power system. Iran. J. Sci. Technol. Trans. Electr. Eng. 2024, 48, 731–746. [Google Scholar] [CrossRef]
- Vieira, R.; Guerra, M.I.; Bandeira, S. Analysis of the power quality of a grid-connected photovoltaic system. IEEE Lat. Am. Trans. 2020, 18, 714–721. [Google Scholar] [CrossRef]
- Zhou, C. Research on Coordinated Optimization of Reactive Power Compensation and Power Quality in Photovoltaic Grid-Connected Systems. In Proceedings of the 2025 7th International Conference on Information Science, Electrical and Automation Engineering (ISEAE), Harbin, China, 18–20 April 2025. [Google Scholar] [CrossRef]
- Mahela, O.P.; Khan, B.; Alhelou, H.H.; Siano, P. Power quality assessment and event detection in distribution network with wind energy penetration using Stockwell transform and fuzzy clustering. IEEE Trans. Ind. Inform. 2020, 16, 6922–6932. [Google Scholar] [CrossRef]
- Babakmehr, M.; Sartipizadeh, H.; Simões, M.G. Compressive informative sparse representation-based power quality events classification. IEEE Trans. Ind. Inform. 2020, 16, 909–921. [Google Scholar] [CrossRef]
- Kawabe, K.; Tanaka, K. Impact of dynamic behavior of photovoltaic power generation systems on short-term voltage stability. IEEE Trans. Power Syst. 2015, 30, 3416–3424. [Google Scholar] [CrossRef]
- Sambath, R.; Selvaraj, T. Enhanced grid stability in PV systems using an improved Luo converter and neural network-based droop control. Electr. Eng. 2025, 107, 4215–4239. [Google Scholar] [CrossRef]
- Sarwar, M.; Ajjarapu, V.; Matavalam, A.R.R.; Roy, S.; Pico, H.N.V. Short-term voltage stability improvement in power system through grid-forming hybrid PV plants. IEEE Trans. Ind. Appl. 2025, 61, 7892–7902. [Google Scholar] [CrossRef]
- Meng, Q.; Xu, J.; Ge, L.; Wang, Z.; Wang, J.; Xu, L.; Tang, Z. Economic optimization operation approach of integrated energy system considering wind power consumption and flexible load regulation. J. Electr. Eng. Technol. 2024, 19, 209–221. [Google Scholar] [CrossRef]
- Meng, Q.; He, Y.; Hussain, S.; Lu, J.; Guerrero, J.M. Day-ahead economic dispatch of wind-integrated microgrids using coordinated energy storage and hybrid demand response strategies. Sci. Rep. 2025, 15, 26579–26592. [Google Scholar] [CrossRef] [PubMed]
- Guo, C.; Ye, C.; Ding, Y.; Li, J.; Dai, J.; Zhou, X. Chance-constrained optimization for VPPs with base stations considering diverse communication rate requirements. IEEE Trans. Sustain. Energy 2026, 17, 648–660. [Google Scholar] [CrossRef]
- Zhou, Y.; Han, Z.; Zhai, Q.; Wu, L.; Cao, X.; Guan, X. A data-and-model-driven acceleration approach for large-scale network-constrained unit commitment problem with uncertainty. IEEE Trans. Sustain. Energy 2025, 16, 2299–2311. [Google Scholar] [CrossRef]
- Lai, Q.Y.; Chen, M.Q.; Li, S.Y.; Kang, Z.R.; Gan, D.Q. Transient voltage analysis for receiving power system with high PV penetration based on rational fraction fitting method. Proc. CSEE 2019, 39, 3186–3194. [Google Scholar] [CrossRef]
- Rahimi, E.; Gole, A.M.; Davies, J.B.; Fernando, I.T.; Kent, K.L. Commutation failure analysis in multi-infeed HVDC systems. IEEE Trans. Power Deliv. 2011, 26, 378–384. [Google Scholar] [CrossRef]




















| Control Strategy | Process | Control Parameters | Value Range |
|---|---|---|---|
| active power current control | period of both LVRT and fault recovery | K1-Ip-LVRT | 0~1 |
| K2-Ip-LVRT | 0~1 | ||
| Ipset-LVRT | 0~1 | ||
| reactive power current control | period of both LVRT and fault recovery | K1-Iq-LVRT | 1.5~3 |
| K2-Iq-LVRT | 0~1 | ||
| Iqset-LVRT | 0~0.2 | ||
| Iq0 | / |
| Control Strategy | Period | Control Parameters | Value Range |
|---|---|---|---|
| active power current control | both HVRT and fault recovery | K1-Ip-HVRT | 0~1 |
| K2-Ip-HVRT | 0~1 | ||
| Ipset-HVRT | 0~1 | ||
| reactive power current control | both HVRT and fault recovery | K1-Iq-HVRT | 0~3 |
| K2-Iq-HVRT | 0~1 | ||
| Iqset-HVRT | −0.2~0 | ||
| Iq0 | / |
| [xmin, xmax] (p.u.) | [0, 0.5] | [0.5, 1] |
|---|---|---|
| SK1-Ip-LVRT | −0.06 | −0.2 |
| SIpset-LVRT | −0.06 | −0.02 |
| SK2-Iq-LVRT | 0 | 0 |
| SIqset-LVRT | −0.008 | −0.01 |
| [xmin, xmax] (p.u.) | [0.2, 0.5] | [0.5, 0.7] | [0.7, 0.9] | |||
| SK2-Ip-LVRT | −0.013 | −0.045 | 0 | |||
| [xmin, xmax] (p.u.) | [0, 0.5] | [0.5, 0.67] | [0.67, 0.83] | [0.83, 1] | ||
| SK1-Iq-LVRT | 0 | 0.186 | 0.054 | 0.036 | ||
| [xmin, xmax] (p.u.) | [0, 0.5] | [0.5, 1] | ||
| SK2-Iq-HVRT | 0 | 0 | ||
| SIqset-HVRT | −0.044 | −0.008 | ||
| [xmin, xmax] (p.u.) | [0, 0.33] | [0.33, 0.67] | [0.67, 1] | |
| SK1-Iq-HVRT | −0.06 | −0.012 | 0 | |
| Optimization Level | Optimized Parameters |
|---|---|
| primary | K1-Iq-HVRT\Iqset-HVRT |
| secondary | K1-Ip-LVRT\K2-Ip-LVRT\Ipset-LVRT |
| tertiary | K1-Iq-LVRT |
| Process | Optimized Control Parameters | Range | Result Without Optimization | Optimized Result |
|---|---|---|---|---|
| during LVRT and fault recovery (active current control) | K1-Ip-LVRT | 0~1 | 0.5 | 1 |
| K2-Ip-LVRT | 0~1 | 0.2 | 0.7 | |
| Ipset-LVRT | 0~1 | 0.8 | 1 | |
| during LVRT and fault recovery (reactive current control) | K1-Iq-LVRT | 1.5~3 | 2.8 | 2.1 |
| during HVRT and fault recovery (reactive current control) | K1-Iq-HVRT | 0~3 | 1.5 | 3.0 |
| Iqset-HVRT | −0.2~0 | 0.1 | −0.2 |
| Variable | Without Optimization | Primary Level | Secondary Level | Tertiary Level |
|---|---|---|---|---|
| maximum transient overvoltage | 1.263 | 1.207 | 1.116 | 1.098 |
Disclaimer/Publisher’s Note: The statements, opinions and data contained in all publications are solely those of the individual author(s) and contributor(s) and not of MDPI and/or the editor(s). MDPI and/or the editor(s) disclaim responsibility for any injury to people or property resulting from any ideas, methods, instructions or products referred to in the content. |
© 2026 by the authors. Licensee MDPI, Basel, Switzerland. This article is an open access article distributed under the terms and conditions of the Creative Commons Attribution (CC BY) license.
Share and Cite
Sun, R.; Wang, J.; Yao, F.; Cui, Z.; Li, X.; Zhang, H.; Wang, J.; Sun, L. Voltage Adaptability of Hierarchical Optimization for Photovoltaic Inverter Control Parameters in AC/DC Hybrid Receiving-End Power Grids. Processes 2026, 14, 350. https://doi.org/10.3390/pr14020350
Sun R, Wang J, Yao F, Cui Z, Li X, Zhang H, Wang J, Sun L. Voltage Adaptability of Hierarchical Optimization for Photovoltaic Inverter Control Parameters in AC/DC Hybrid Receiving-End Power Grids. Processes. 2026; 14(2):350. https://doi.org/10.3390/pr14020350
Chicago/Turabian StyleSun, Ran, Jianbo Wang, Feng Yao, Zhaohui Cui, Xiaomeng Li, Hao Zhang, Jiahao Wang, and Lixia Sun. 2026. "Voltage Adaptability of Hierarchical Optimization for Photovoltaic Inverter Control Parameters in AC/DC Hybrid Receiving-End Power Grids" Processes 14, no. 2: 350. https://doi.org/10.3390/pr14020350
APA StyleSun, R., Wang, J., Yao, F., Cui, Z., Li, X., Zhang, H., Wang, J., & Sun, L. (2026). Voltage Adaptability of Hierarchical Optimization for Photovoltaic Inverter Control Parameters in AC/DC Hybrid Receiving-End Power Grids. Processes, 14(2), 350. https://doi.org/10.3390/pr14020350
